Exploring Potential Pathways toward Energy-Related Carbon Emission Reduction in Heavy Industrial Regions of China: An Input–Output Approach
Abstract
1. Introduction
2. Methods and Data
2.1. Energy-Related CO2 Emissions
2.2. Non-Competitive Environmentally Extended I–O Framework
2.3. Production and CO2 Emission Linkages Model
2.4. Data
3. Results
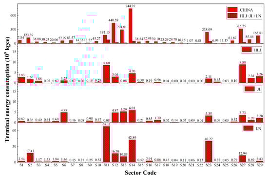
3.1. Terminal Energy Consumption
3.2. CO2 Emissions
3.3. Sectoral CO2 Emission Intensity
3.4. Sector–System Production and CO2 Emission Linkages
3.5. Sector–Sector Production and CO2 Emissions Linkages
4. Discussion
4.1. Carbon Reduction Potential of Heavy Industrial Regions
4.2. Dividing Sectoral Clusters
4.3. Improvement Measures for Sectors
5. Conclusions
Author Contributions
Funding
Acknowledgments
Conflicts of Interest
Abbreviations
| BL | backward linkage |
| BLC | backward linkage of CO2 emission |
| CI | CO2 emission intensity |
| CNY | Chinese yuan |
| CO2 | carbon dioxide |
| FL | forward linkage |
| FLC | forward linkage of CO2 emission |
| GD | Guangdong |
| GHG | greenhouse gas |
| HLJ | Heilongjiang |
| I–O | input–output |
| IPCC | Intergovernmental Panel on Climate Change |
| JL | Jilin |
| LN | Liaoning |
| Mtce | million tons of coal equivalent |
| UBL | unified backward linkage |
| UBLC | unified backward linkage of CO2 emission |
| UFL | unified forward linkage |
| UFLC | unified forward linkage of CO2 emission |
Appendix A




| Sector Code | HLJ | JL | LN |
|---|---|---|---|
| S1 | |||
| S2 | |||
| S3 | |||
| S4 | |||
| S5 | |||
| S6 | |||
| S7 | |||
| S8 | |||
| S9 | |||
| S10 | |||
| S11 | |||
| S12 | |||
| S13 | |||
| S14 | |||
| S15 | |||
| S16 | |||
| S17 | |||
| S18 | |||
| S19 | |||
| S20 | |||
| S21 | |||
| S22 | |||
| S23 | |||
| S24 | |||
| S25 | |||
| S26 | |||
| S27 | |||
| S28 | |||
| S29 |
References
- Henson, S.A.; Beaulieu, C.; Ilyina, T.; John, J.G.; Long, M.; Séférian, R.; Tjiputra, J.; Sarmiento, J.L. Rapid emergence of climate change in environmental drivers of marine ecosystems. Nat. Commun. 2017, 8. [Google Scholar] [CrossRef] [PubMed]
- Quadrelli, R.; Peterson, S. The energy-climate challenge: Recent trends in CO2 emissions from fuel combustion. Energy Policy 2007, 35, 5938–5952. [Google Scholar] [CrossRef]
- Hansen, J.; Kharecha, P.; Sato, M.; Masson-Delmotte, V.; Ackerman, F.; Beerling, D.J.; Hearty, P.J.; Hoegh-Guldberg, O.; Hsu, S.L.; Parmesan, C.; et al. Assessing “dangerous climate change”: Required reduction of carbon emissions to protect young people, future generations and nature. PLoS ONE 2013, 8, e81648. [Google Scholar] [CrossRef] [PubMed]
- General Office of the State Council, PRC. The 11th Five-Year-Plan of Energy Conservation and Emission Mitigation. 2010. Available online: http://www.gov.cn/zhengce/content/2010-05/05/content_4872.htm (accessed on 5 December 2019).
- General Office of the State Council, PRC. The 12th Five-Year-Plan of Energy Conservation and Emission Mitigation. 2012. Available online: http://www.gov.cn/zhengce/content/2012-08/12/content_2728.htm (accessed on 5 December 2019).
- General Office of the State Council, PRC. The 13th Five-Year-Plan of Energy Conservation and Emission Mitigation. 2017. Available online: http://www.gov.cn/zhengce/content/2017-01/05/content_5156789.htm (accessed on 5 December 2019).
- Ouyang, Y.; Li, P. On the nexus of financial development, economic growth, and energy consumption in China: New perspective from a GMM panel VAR approach. Energy Econ. 2018, 71, 238–252. [Google Scholar] [CrossRef]
- Yang, D.; Liu, B.; Ma, W.; Guo, Q.; Li, F.; Yang, D. Sectoral energy-carbon nexus and low-carbon policy alternatives: A case study of Ningbo, China. J. Clean. Prod. 2017, 156, 480–490. [Google Scholar] [CrossRef]
- Shan, Y.; Liu, J.; Liu, Z.; Xu, X.; Shao, S.; Wang, P.; Guan, D. New provincial CO2 emission inventories in China based on apparent energy consumption data and updated emission factors. Appl. Energy 2016, 184, 742–750. [Google Scholar] [CrossRef]
- Zhang, W.; Li, K.; Zhou, D.; Zhang, W.; Gao, H. Decomposition of intensity of energy-related CO2 emission in Chinese provinces using the LMDI method. Energy Policy 2016, 92, 369–381. [Google Scholar] [CrossRef]
- Sun, Q.; Shi, K.; Damerell, P.; Whitham, C.; Yu, G.; Zou, C. Carbon dioxide and methane fluxes: Seasonal dynamics from inland riparian ecosystems, northeast China. Sci. Total Environ. 2013, 465, 48–55. [Google Scholar] [CrossRef]
- Acs, Z.; Plummer, L.A.; Sutter, R. Penetrating the knowledge filter in “rust belt” economies. Ann. Reg. Sci. 2009, 43, 989–1012. [Google Scholar] [CrossRef]
- Wang, C.; Wang, F.; Zhang, H.; Ye, Y.; Wu, Q.; Su, Y. Carbon Emissions Decomposition and Environmental Mitigation Policy Recommendations for Sustainable Development in Shandong Province. Sustainability 2014, 6, 8164–8179. [Google Scholar] [CrossRef]
- Chinese Bureau of Statistics. China Energy Statistics Yearbook 2013; China Statistics Press: Beijing, China, 2013. (In Chinese)
- Li, S.; Wang, S. Examining the effects of socioeconomic development on China’s carbon productivity: A panel data analysis. Sci. Total Environ. 2019, 659, 681–690. [Google Scholar] [CrossRef] [PubMed]
- Leontief, W. Composite Commodities and the Problem of Index Numbers. Econ. Soc. 1936, 1, 39–59. [Google Scholar] [CrossRef]
- Leontief, W. Environmental Repercussions and the Economic Structure: An Input-output Approach. Rev. Econ. Stat. 1970, 52, 262–271. [Google Scholar] [CrossRef]
- Song, J.; Yang, W.; Wang, S.; Wang, X.; Higano, Y.; Fang, K. Exploring potential pathways towards fossil energy-related GHG emission peak prior to 2030 for China: An integrated input-output simulation model. J. Clean. Prod. 2018, 178, 688–702. [Google Scholar] [CrossRef]
- Yang, W.; Song, J.; Wang, H.; Dong, L. Insights into variations and determinants of water pollutant discharge in Jilin, China: Investigations from multiple perspectives. J. Clean. Prod. 2019, 241, 118386. [Google Scholar] [CrossRef]
- Li, L.; Zhang, J.; Tang, L. Sensitivity analysis of China’s energy-related CO2 emissions intensity for 2012 based on input-output Model. Proced. Comput. Sci. 2017, 122, 331–338. [Google Scholar] [CrossRef]
- Su, B.; Ang, B.W.; Low, M. Input-output analysis of CO2 emissions embodied in trade and the driving forces: Processing and normal exports. Ecol. Econ. 2013, 88, 119–125. [Google Scholar] [CrossRef]
- Su, B.; Ang, B.W.; Li, Y. Input-output and structural decomposition analysis of Singapore's carbon emissions. Energy Policy 2017, 105, 484–492. [Google Scholar] [CrossRef]
- Hondo, H.; Sakai, S.; Tanno, S. Sensitivity analysis of total CO2 emission intensities estimated using an input-output table. Appl. Energy 2002, 72, 689–704. [Google Scholar] [CrossRef]
- Butnar, I.; Llop, M. Structural decomposition analysis and input-output subsystems: Changes in CO2 emissions of Spanish service sectors (2000–2005). Ecol. Econ. 2011, 70, 2012–2019. [Google Scholar] [CrossRef]
- Supasa, T.; Hsiau, S.; Lin, S.; Wongsapai, W.; Chang, K.; Wu, J. Sustainable energy and CO2 reduction policy in Thailand: An input-output approach from production- and consumption-based perspectives. Energy Sustain. Dev. 2017, 41, 36–48. [Google Scholar] [CrossRef]
- Xu, X.; Mu, M.; Wang, Q. Recalculating CO2 emissions from the perspective of value-added trade: An input-output analysis of China’s trade data. Energy Policy 2017, 107, 158–166. [Google Scholar] [CrossRef]
- Chang, N. Changing industrial structure to reduce carbon dioxide emissions: A Chinese application. J. Clean. Prod. 2015, 103, 40–48. [Google Scholar] [CrossRef]
- Su, B.; Ang, B.W. Input-output analysis of CO2 emissions embodied in trade: The effects of spatial aggregation. Ecol. Econ. 2010, 70, 10–18. [Google Scholar] [CrossRef]
- Wang, Z.; Yang, Y. Features and influencing factors of carbon emissions indicators in the perspective of residential consumption: Evidence from Beijing, China. Ecol. Indic. 2016, 61, 634–645. [Google Scholar] [CrossRef]
- Wei, J.; Huang, K.; Yang, S.; Li, Y.; Hu, T.; Zhang, Y. Driving forces analysis of energy-related carbon dioxide (CO2) emissions in Beijing: An input-output structural decomposition analysis. J. Clean. Prod. 2017, 163, 58–68. [Google Scholar] [CrossRef]
- Murakami, K.; Kaneko, S.; Dhakal, S.; Sharifi, A. Changes in per capita CO2 emissions of six large Japanese cities between 1980 and 2000: An analysis using “The Four System Boundaries” approach. Sustain. Cities Soc. 2020, 52, 101784. [Google Scholar] [CrossRef]
- Li, J.; Huang, G.; Liu, L. Ecological network analysis for urban metabolism and carbon emissions based on input-output tables: A case study of Guangdong province. Ecol. Model. 2018, 383, 118–126. [Google Scholar] [CrossRef]
- IPCC. 2006 IPCC Guidelines for National Greenhouse Gas Inventories, Prepared by the National Greenhouse Gas Inventories Programme; Eggleston, H.S., Buendia, L., Miwa, K., Ngara, T., Tanabe, K., Eds.; IGES: Kanagawa, Japan, 2006. [Google Scholar]
- Simpson, D.; Tsukui, J. The Fundamental Structure of Input-output Tables, An International Comparison. Rev. Econ. Stat. 1965, 4, 434–446. [Google Scholar] [CrossRef]
- Chen, G.Q.; Wu, X.F. Energy overview for globalized world economy: Source, supply chain and sink. Renew. Sustain. Energy Rev. 2017, 69, 735–749. [Google Scholar] [CrossRef]
- Zhao, X.; Chen, B.; Yang, Z.F. National water footprint in an input-output framework-A case study of China 2002. Ecol. Model. 2009, 220, 245–253. [Google Scholar] [CrossRef]
- Su, B.; Ang, B.W. Input-output analysis of CO2 emissions embodied in trade: Competitive versus non-competitive imports. Energy Policy 2013, 56, 83–87. [Google Scholar] [CrossRef]
- Ghosh, A. Input-output approach in an allocation system. Economica 1958, 25, 58–64. [Google Scholar] [CrossRef]
- Chinese Input-Output Association. Chinese Input-output Table 2012; China Statistics Press: Beijing, China, 2015. (In Chinese)
- Statistics Bureau of Heilongjiang. Heilongjiang Input-Output Table 2012; China Statistics Press: Beijing, China, 2015. (In Chinese)
- Statistics Bureau of Jilin. Jilin Input-Output Table 2012; China Statistics Press: Beijing, China, 2015. (In Chinese)
- Statistics Bureau of Liaoning. Liaoning Input-Output Table 2012; China Statistics Press: Beijing, China, 2015. (In Chinese)
- Statistics Bureau of Heilongjiang. Heilongjiang Statistical Yearbook 2013; China Statistics Press: Beijing, China, 2013. (In Chinese)
- Statistics Bureau of Jilin. Jilin Statistical Yearbook 2013; China Statistics Press: Beijing, China, 2013. (In Chinese)
- Statistics Bureau of Liaoning. Liaoning Statistical Yearbook 2013; China Statistics Press: Beijing, China, 2013. (In Chinese)
- Lenzen, M. Aggregation versus disaggregation in Input-Output Analysis of the environment. Econ. Syst. Res. 2011, 1, 73–89. [Google Scholar] [CrossRef]
- Lenzen, M. Environmentally important paths, linkages and key sectors in the Australian economy. Struct. Chang. Econ. Dyn. 2003, 14, 1–34. [Google Scholar] [CrossRef]
- Li, Z.; Pan, L.; Fu, F.; Liu, P.; Ma, L.; Amorelli, A. China’s regional disparities in energy consumption: An input-output analysis. Energy 2014, 78, 426–438. [Google Scholar] [CrossRef]
- Ang, B.W.; Pandiyan, G. Decomposition of energy-induced CO2 emissions in manufacturing. Energy Econ. 1997, 19, 363–374. [Google Scholar] [CrossRef]
- Chen, W.; Lei, Y.; Wu, S.; Li, L. Opportunities for low-carbon socioeconomic transition during the revitalization of Northeast China: Insights from Heilongjiang province. Sci. Total Environ. 2019, 683, 380–388. [Google Scholar] [CrossRef]
- Jiang, T.; Huang, S.; Yang, J. Structural carbon emissions from industry and energy systems in China: An input-output analysis. J. Clean. Prod. 2019, 240, 118116. [Google Scholar] [CrossRef]





| Intermediate Use | Final Demand | Total Output | ||
|---|---|---|---|---|
| Intermediate inputs | Domestic inputs | |||
| Imports | ||||
| Primary input | ||||
| Total input | ||||
| CO2 emission | ||||
| Sector Code | Sectors |
|---|---|
| S1 | Agriculture, forestry, animal husbandry, and fishery products and services |
| S2 | Mining and washing of coal |
| S3 | Extraction of petroleum and natural gas |
| S4 | Mining and processing of metal ores |
| S5 | Mining and processing of non-metal ores |
| S6 | Manufacture of food and tobacco |
| S7 | Manufacture of textile |
| S8 | Manufacture of textile, wearing apparel, shoes, hats, leather, feather, and related products |
| S9 | Processing of wood, bamboo, rattan, palm, and straw products and manufacture of furniture |
| S10 | Manufacture of paper and paper products; education and sport activities |
| S11 | Petroleum processing and coking |
| S12 | Manufacture of chemical products |
| S13 | Manufacture of non-metallic mineral products |
| S14 | Smelting and calendaring of metals |
| S15 | Manufacture of metal products |
| S16 | Manufacture of general and special purpose machinery |
| S17 | Manufacture of transport equipment |
| S18 | Manufacture of electrical machinery and equipment |
| S19 | Manufacture of communication equipment, computer and other electronic equipment |
| S20 | Other manufacturing industries |
| S21 | Waste material |
| S22 | Repair services for metal products, machinery, and equipment |
| S23 | Production and supply of heat and electricity |
| S24 | Production and supply of gas |
| S25 | Production and supply of water |
| S26 | Construction |
| S27 | Transport, storage, and post |
| S28 | Wholesale, retail trades, hotels, and catering services |
| S29 | Other service sectors a |
© 2020 by the authors. Licensee MDPI, Basel, Switzerland. This article is an open access article distributed under the terms and conditions of the Creative Commons Attribution (CC BY) license (http://creativecommons.org/licenses/by/4.0/).
Share and Cite
Peng, J.; Sun, Y.; Song, J.; Yang, W. Exploring Potential Pathways toward Energy-Related Carbon Emission Reduction in Heavy Industrial Regions of China: An Input–Output Approach. Sustainability 2020, 12, 2148. https://doi.org/10.3390/su12052148
Peng J, Sun Y, Song J, Yang W. Exploring Potential Pathways toward Energy-Related Carbon Emission Reduction in Heavy Industrial Regions of China: An Input–Output Approach. Sustainability. 2020; 12(5):2148. https://doi.org/10.3390/su12052148
Chicago/Turabian StylePeng, Jingyao, Yidi Sun, Junnian Song, and Wei Yang. 2020. "Exploring Potential Pathways toward Energy-Related Carbon Emission Reduction in Heavy Industrial Regions of China: An Input–Output Approach" Sustainability 12, no. 5: 2148. https://doi.org/10.3390/su12052148
APA StylePeng, J., Sun, Y., Song, J., & Yang, W. (2020). Exploring Potential Pathways toward Energy-Related Carbon Emission Reduction in Heavy Industrial Regions of China: An Input–Output Approach. Sustainability, 12(5), 2148. https://doi.org/10.3390/su12052148

