Quantifying the Energy, Environmental, Economic, Resource Co-Benefits and Risks of GHG Emissions Abatement: The Case of Passenger Vehicles in China
Abstract
1. Introduction
2. Methods and Data
2.1. Model Framework
2.2. Calculation Flows
2.3. Data and Assumptions
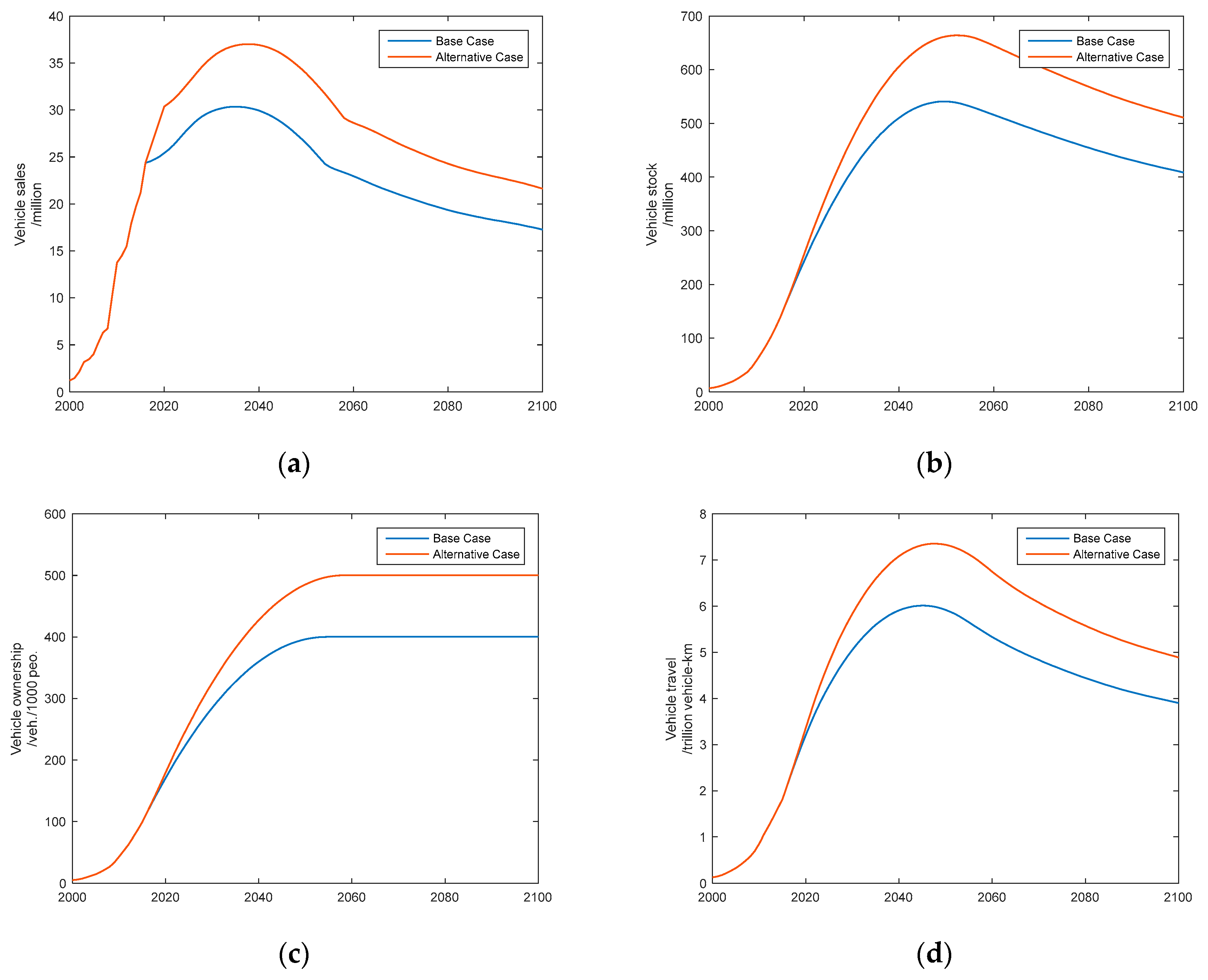
3. Results
3.1. Future Trends
3.2. Co-Benefits and Risks
4. Discussions
Author Contributions
Funding
Conflicts of Interest
References
- Rogelj, J.; den Elzen, M.; Höhne, N.; Fransen, T.; Fekete, H.; Winkler, H.; Schaeffer, R.; Sha, F.; Riahi, K.; Meinshausen, M. Paris Agreement climate proposals need a boost to keep warming well below 2 °C. Nature 2016, 534, 631–639. [Google Scholar] [CrossRef] [PubMed]
- IPCC. Climate Change 2014: Mitigation of Climate Change; Intergovernmental Panel on Climate Change: Geneva, Switzerland; Cambridge University Press: Cambridge, UK, 2014. [Google Scholar]
- Dong, H.; Dai, H.; Dong, L.; Fujita, T.; Geng, Y.; Klimont, Z.; Inoue, T.; Bunya, S.; Fujii, M.; Masui, T. Pursuing air pollutant co-benefits of CO2 mitigation in China: A provincial leveled analysis. Appl. Energy 2015, 144, 165–174. [Google Scholar] [CrossRef]
- Thompson, T.M.; Rausch, S.; Saari, R.K.; Selin, N.E. A systems approach to evaluating the air quality co-benefits of US carbon policies. Nat. Clim. Chang. 2014, 4, 917–923. [Google Scholar] [CrossRef]
- West, J.J.; Smith, S.J.; Silva, R.A.; Naik, V.; Zhang, Y.; Adelman, Z.; Fry, M.M.; Anenberg, S.; Horowitz, L.W.; Lamarque, J.-F. Co-benefits of mitigating global greenhouse gas emissions for future air quality and human health. Nat. Clim. Chang. 2013, 3, 885–889. [Google Scholar] [CrossRef] [PubMed]
- Xie, Y.; Dai, H.; Dong, H.; Hanaoka, T.; Masui, T. Economic Impacts from PM2.5 Pollution-Related Health Effects in China: A Provincial-Level Analysis. Environ. Sci. Technol. 2016, 50, 4836–4843. [Google Scholar] [CrossRef] [PubMed]
- Habib, K.; Wenzel, H. Exploring rare earths supply constraints for the emerging clean energy technologies and the role of recycling. J. Clean. Prod. 2014, 84, 348–359. [Google Scholar] [CrossRef]
- Simon, B.; Ziemann, S.; Weil, M. Potential metal requirement of active materials in lithium-ion battery cells of electric vehicles and its impact on reserves: Focus on Europe. Resour. Conserv. Recycl. 2015, 104(Part A), 300–310. [Google Scholar] [CrossRef]
- Hao, H.; Geng, Y.; Li, W.; Guo, B. Energy consumption and GHG emissions from China’s freight transport sector: Scenarios through 2050. Energy Policy 2015, 85, 94–101. [Google Scholar] [CrossRef]
- Hao, H.; Geng, Y.; Sarkis, J. Carbon footprint of global passenger cars: Scenarios through 2050. Energy 2016, 101, 121–131. [Google Scholar] [CrossRef]
- Hao, H.; Geng, Y.; Wang, H.; Ouyang, M. Regional disparity of urban passenger transport associated GHG (greenhouse gas) emissions in China: A review. Energy 2014, 68, 783–793. [Google Scholar] [CrossRef]
- Hao, H.; Liu, Z.; Zhao, F.; Li, W.; Hang, W. Scenario analysis of energy consumption and greenhouse gas emissions from China’s passenger vehicles. Energy 2015, 91, 151–159. [Google Scholar] [CrossRef]
- Hao, H.; Wang, H.; Ouyang, M. Fuel conservation and GHG (Greenhouse gas) emissions mitigation scenarios for China’s passenger vehicle fleet. Energy 2011, 36, 6520–6528. [Google Scholar] [CrossRef]
- Hao, H.; Wang, H.; Ouyang, M. Fuel consumption and life cycle GHG emissions by China’s on-road trucks: Future trends through 2050 and evaluation of mitigation measures. Energy Policy 2012, 43, 244–251. [Google Scholar] [CrossRef]
- CAAM. China Automotive Industry Yearbook 2016; China Association of Automobile Manufacturers: Beijing, China, 2017. [Google Scholar]
- NBS. China Statistical Yearbook 2016; National Bureau of Statistics: Beijing, China, 2017.
- iCET. China Passenger Vehicle Fuel Consumption Development Annual Report 2016; Innovation Center for Energy and Transportation: Beijing, China, 2017. [Google Scholar]
- MIIT. Database for Automobile Fuel Consumption of China; Ministry of Industry and Information Technology: Beijing, China, 2017.
- SAE-China. Technology Roadmap for Energy-Saving and New Energy Vehicles; Chinese Society of Automotive Engineers: Beijing, China, 2016. [Google Scholar]
- Hao, H.; Cheng, X.; Liu, Z.; Zhao, F. Electric vehicles for greenhouse gas reduction in China: A cost-effectiveness analysis. Transp. Res. Part D Transp. Environ. 2017, 56, 68–84. [Google Scholar] [CrossRef]
- Hao, H.; Qiao, Q.; Liu, Z.; Zhao, F.; Chen, Y. Comparing the life cycle greenhouse gas emissions from vehicle production in China and the USA: Implications for targeting the reduction opportunities. Clean Technol. Environ. Policy 2017, 19, 1509–1522. [Google Scholar] [CrossRef]









| SC1 (BAU) | SC2 (HVO) | SC3 (PEI) | SC4 (VLW) | SC5 (EVP) | SC6 (FCP) | |
|---|---|---|---|---|---|---|
| Vehicle sales | BC | AC | BC | BC | BC | BC |
| Energy-efficient technology deployment | BC | BC | AC | BC | BC | BC |
| Lightweighting technology deployment | BC | BC | BC | AC | BC | BC |
| Advanced vehicle deployment | BC | BC | BC | BC | AC1 | AC2 |
| EV all-electric range | BC | BC | BC | BC | AC | BC |
© 2019 by the authors. Licensee MDPI, Basel, Switzerland. This article is an open access article distributed under the terms and conditions of the Creative Commons Attribution (CC BY) license (http://creativecommons.org/licenses/by/4.0/).
Share and Cite
Hao, H.; Liu, F.; Sun, X.; Liu, Z.; Zhao, F. Quantifying the Energy, Environmental, Economic, Resource Co-Benefits and Risks of GHG Emissions Abatement: The Case of Passenger Vehicles in China. Sustainability 2019, 11, 1344. https://doi.org/10.3390/su11051344
Hao H, Liu F, Sun X, Liu Z, Zhao F. Quantifying the Energy, Environmental, Economic, Resource Co-Benefits and Risks of GHG Emissions Abatement: The Case of Passenger Vehicles in China. Sustainability. 2019; 11(5):1344. https://doi.org/10.3390/su11051344
Chicago/Turabian StyleHao, Han, Feiqi Liu, Xin Sun, Zongwei Liu, and Fuquan Zhao. 2019. "Quantifying the Energy, Environmental, Economic, Resource Co-Benefits and Risks of GHG Emissions Abatement: The Case of Passenger Vehicles in China" Sustainability 11, no. 5: 1344. https://doi.org/10.3390/su11051344
APA StyleHao, H., Liu, F., Sun, X., Liu, Z., & Zhao, F. (2019). Quantifying the Energy, Environmental, Economic, Resource Co-Benefits and Risks of GHG Emissions Abatement: The Case of Passenger Vehicles in China. Sustainability, 11(5), 1344. https://doi.org/10.3390/su11051344

