Global Optimality under Internet of Vehicles: Strategy to Improve Traffic Safety and Reduce Energy Dissipation
Abstract
1. Introduction
2. Literature Review
3. Methodology
3.1. Model
3.2. Linear Stability Analysis
3.3. Numerical Simulations
4. Results and Discussion
4.1. Analytical Results
4.2. Simulation Results
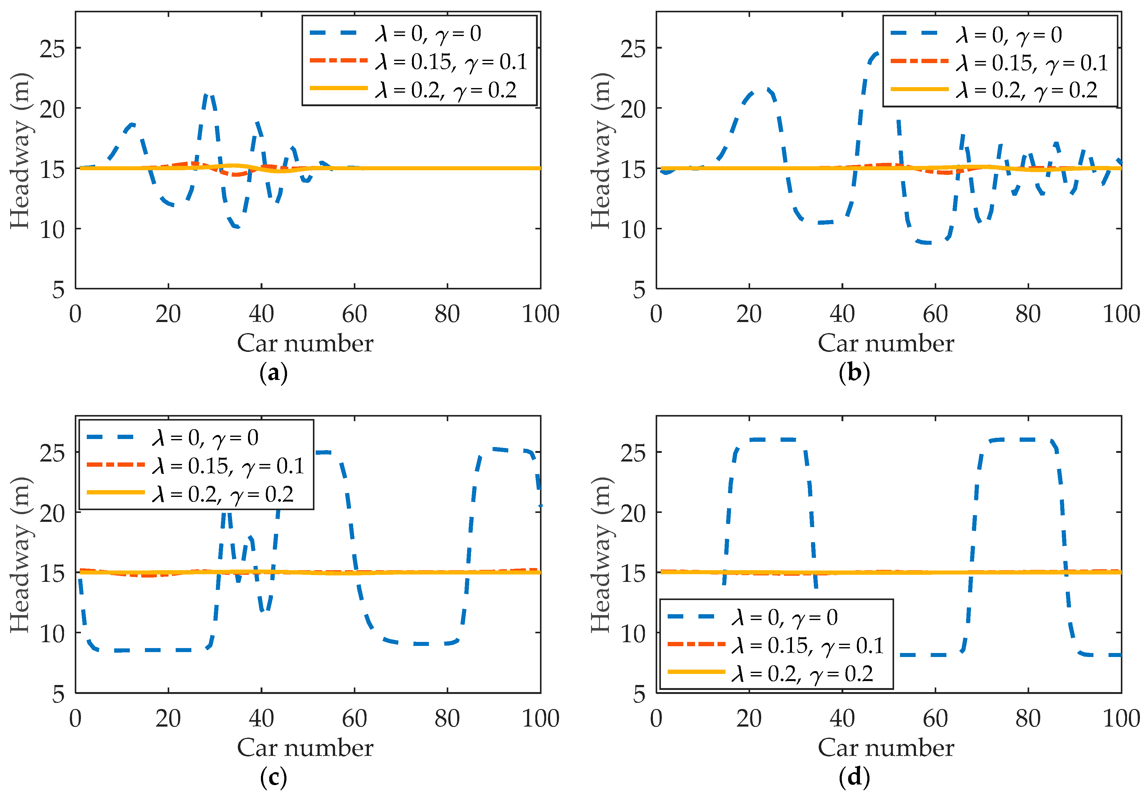
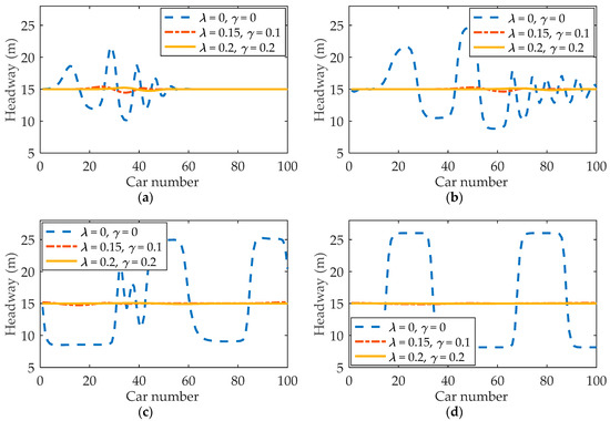
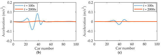
4.2.1. Evolution Processes of Traffic Flow
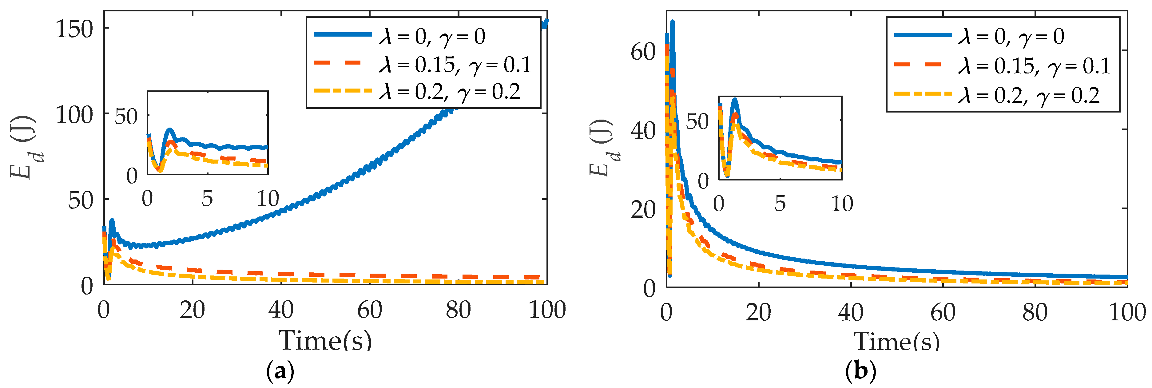
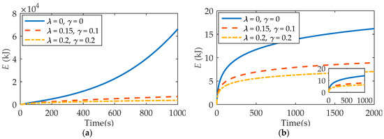
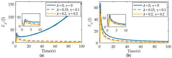
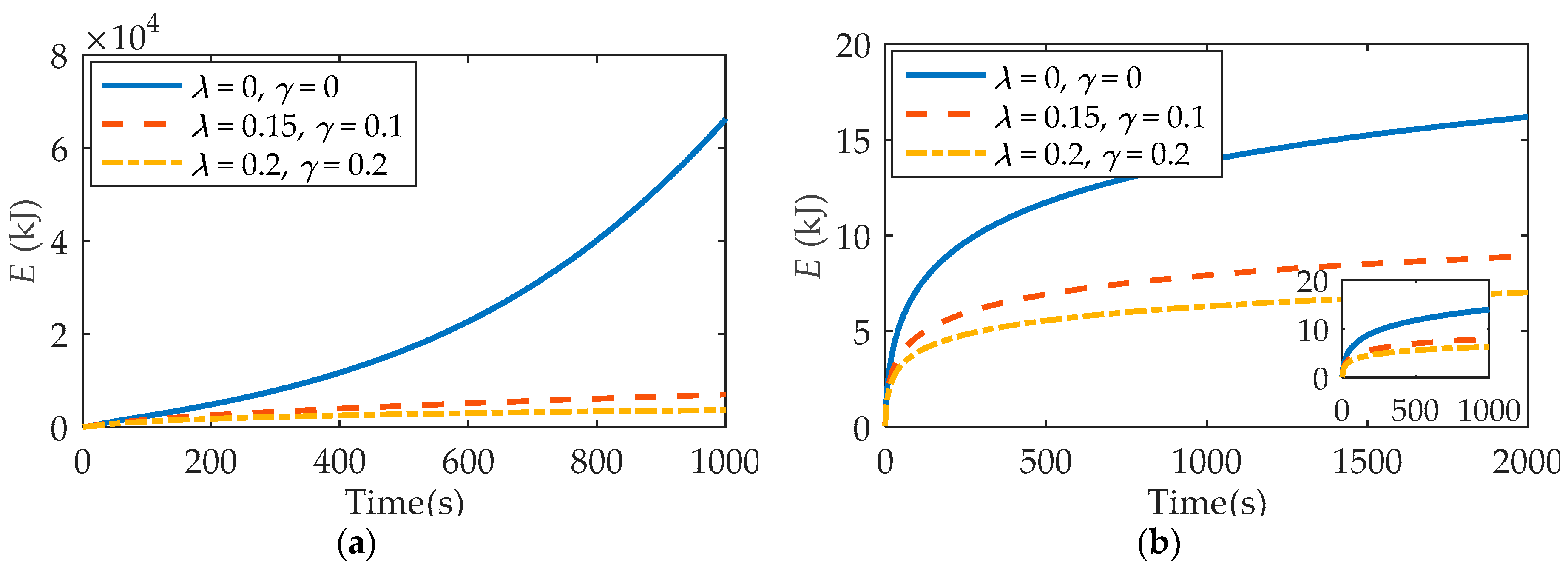
4.2.2. Energy Dissipation of Traffic Flow
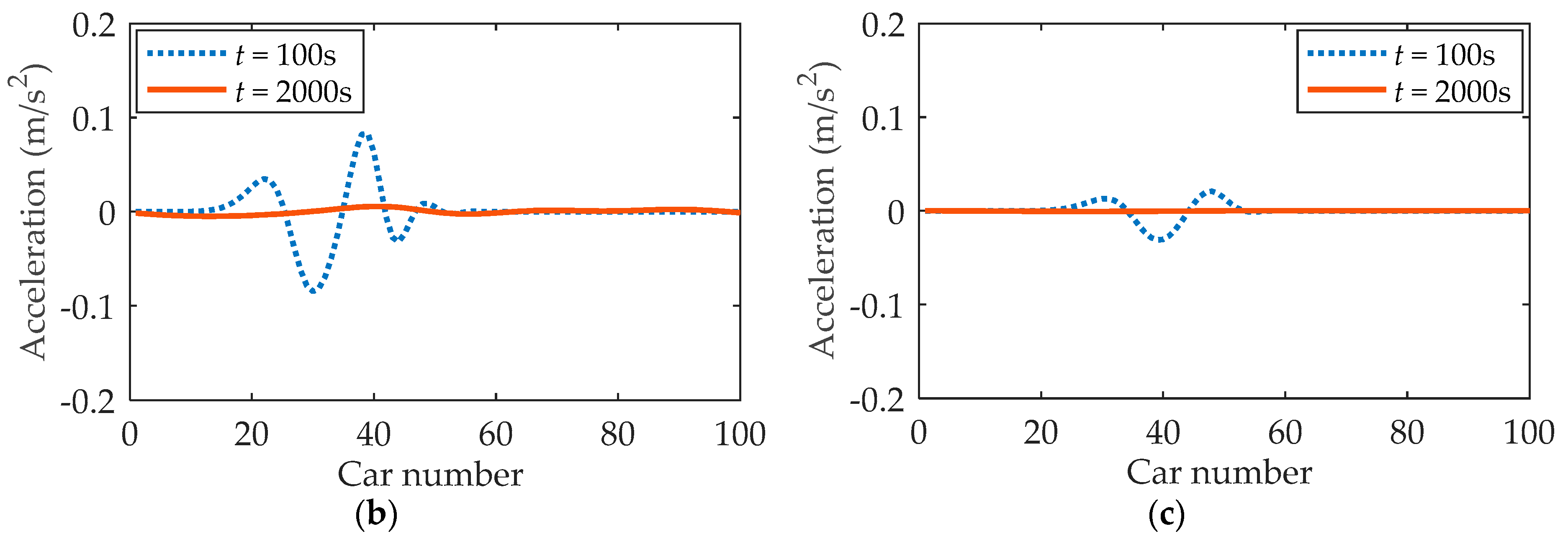
4.2.3. Applicability of GO-FVD Model
5. Conclusions
Author Contributions
Funding
Acknowledgments
Conflicts of Interest
References
- Laureshyn, A.; Svensson, A.; Hydén, C. Evaluation of traffic safety, based on micro-level behavioural data: Theoretical framework and first implementation. Accid. Anal. Prev. 2010, 42, 1637–1646. [Google Scholar] [CrossRef]
- Stavrinos, D.; Jones, J.L.; Garner, A.A.; Griffin, R.; Franklin, C.A.; Ball, D.; Welburn, S.C.; Ball, K.K.; Sisiopiku, V.P.; Fine, P.R. Impact of distracted driving on safety and traffic flow. Accid. Anal. Prev. 2013, 61, 63–70. [Google Scholar] [CrossRef]
- Fotouhi, A.; Yusof, R.; Rahmani, R.; Mekhilef, S.; Shateri, N. A review on the applications of driving data and traffic information for vehicles’ energy conservation. Renew. Sustain. Energy Rev. 2014, 37, 822–833. [Google Scholar] [CrossRef]
- Tan, J.H. Rear-End Collision Risk Management of Freeways in Heavy Fog. Ph.D. Thesis, Tsinghua University, Beijing, China, June 2015. [Google Scholar]
- Liu, Y.; Yan, X.D.; Wang, Y.; Yang, Z.; Wu, J.W. Grid mapping for spatial pattern analyses of recurrent urban traffic congestion based on taxi GPS sensing data. Sustainability 2017, 9, 533. [Google Scholar] [CrossRef]
- Faria, M.; Rolim, C.; Duarte, G.; Farias, T.; Baptista, P. Assessing energy consumption impacts of traffic shifts based on real-world driving data. Transp. Res. Part D Transp. Environ. 2018, 62, 489–507. [Google Scholar] [CrossRef]
- Farooq, D.; Moslem, S.; Duleba, S. Evaluation of driver behavior criteria for evolution of sustainable traffic safety. Sustainability 2019, 11, 3142. [Google Scholar] [CrossRef]
- Torrent-Moreno, M.; Mittag, J.; Santi, P.; Hartenstein, H. Vehicle-to-Vehicle communication: Fair transmit power control for safety-critical information. IEEE Trans. Veh. Technol. 2009, 58, 3684–3703. [Google Scholar] [CrossRef]
- Knorr, F.; Schreckenberg, M. Influence of inter-vehicle communication on peak hour traffic flow. Phys. A 2012, 391, 2225–2231. [Google Scholar] [CrossRef]
- Zhang, Y.; Yang, X.G.; Liu, Q.X.; Li, C.Y. Who will use pre-trip traveler information and how will they respond? Insights from Zhongshan metropolitan area, China. Sustainability 2015, 7, 5857–5874. [Google Scholar] [CrossRef]
- Jia, R.; Jiang, P.C.; Liu, L.; Cui, L.Z.; Shi, Y.L. Data driven congestion trends prediction of urban transportation. IEEE Internet Things J. 2017, 5, 581–591. [Google Scholar] [CrossRef]
- Balasubramaniam, A.; Paul, A.; Hong, W.H.; Seo, H.; Kim, J.H. Comparative analysis of intelligent transportation systems for sustainable environment in smart cities. Sustainability 2017, 9, 1120. [Google Scholar] [CrossRef]
- Guchhait, A.; Maji, B.; Kandar, D. A hybrid V2V system for collision-free high-speed internet access in intelligent transportation system. Trans. Emerg. Telecommun. Technol. 2018, 29, e3282. [Google Scholar] [CrossRef]
- Thakur, A.; Malekian, R. Fog computing for detecting vehicular congestion, an Internet of Vehicles based approach: A review. IEEE Intell. Transp. Syst. Mag. 2019, 11, 8–16. [Google Scholar] [CrossRef]
- Alam, K.M.; Saini, M.; Saddik, A.E. Toward social Internet of Vehicles: Concept, architecture and applications. IEEE Access 2015, 3, 343–357. [Google Scholar] [CrossRef]
- Lee, E.K.; Gerla, M.; Pau, G.; Lee, U.; Lim, J.H. Internet of Vehicles: From intelligent grid to autonomous cars and vehicular fogs. Int. J. Distrib. Sens. Netw. 2016, 12. [Google Scholar] [CrossRef]
- Liu, Y.; Wu, J.; Li, J.H.; Chen, H.; Li, G.L. ISRF: Interest semantic reasoning based fog firewall for information-centric Internet of Vehicles. IET Intell. Transp. Syst. 2019, 13, 975–982. [Google Scholar] [CrossRef]
- Fernandes, P.; Nunes, U. Platooning with IVC-enabled autonomous vehicles: Strategies to mitigate communication delays, improve safety and traffic flow. IEEE Trans. Intell. Transp. Syst. 2012, 13, 91–106. [Google Scholar] [CrossRef]
- Li, Z.P.; Li, W.Z.; Xu, S.Z.; Qian, Y.Q. Analyses of vehicle’s self-stabilizing effect in an extended optimal velocity model by utilizing historical velocity in an environment of intelligent transportation system. Nonlinear Dyn. 2015, 80, 529–540. [Google Scholar] [CrossRef]
- Kuang, H.; Xu, Z.P.; Li, X.L.; Lo, S.M. An extended car-following model accounting for the average headway effect in intelligent transportation system. Phys. A 2017, 471, 778–787. [Google Scholar] [CrossRef]
- Jiang, R.; Wu, Q.S.; Zhu, Z.J. Full velocity difference model for a car-following theory. Phys. Rev. E 2001, 64, 017101. [Google Scholar] [CrossRef]
- Saifuzzaman, M.; Zheng, Z.D. Incorporating human-factors in car-following models: A review of recent developments and research needs. Transp. Res. Part C Emerg. Technol. 2014, 48, 379–403. [Google Scholar] [CrossRef]
- Pipes, L.A. An operational analysis of traffic dynamics. J. Appl. Phys. 1953, 24, 274–281. [Google Scholar] [CrossRef]
- Reuschel, A. Vehicle movements in the column uniformly accelerated or delayed. Oesterrich Ingr. Arch. 1950, 4, 193–215. [Google Scholar]
- Gazis, D.C.; Herman, R.; Rothery, R.W. Nonlinear follow-the-leader models of traffic flow. Oper. Res. 1961, 9, 545–567. [Google Scholar] [CrossRef]
- Newell, G.F. Nonlinear effects in the dynamics of car following. Oper. Res. 1961, 9, 209–229. [Google Scholar] [CrossRef]
- Kometani, E.; Sasaki, T. Dynamic Behavior of Traffic with a Nonlinear Spacing-Speed Relationship. In Proceedings of the Symposium on Theory of Traffic Flow, Research Laboratory, General Motors, New York, NY, USA, 7–8 December 1959. [Google Scholar]
- Gipps, P.G. A behavioural car-following model for computer simulation. Transp. Res. Part B Methodol. 1981, 15, 105–111. [Google Scholar] [CrossRef]
- Helly, W. Simulation of Bottlenecks in Single-Lane Traffic Flow. In Proceedings of the Symposium on Theory of Traffic Flow, Research Laboratory, General Motors, New York, NY, USA, 7–8 December 1959. [Google Scholar]
- Treiber, M.; Hennecke, A.; Helbing, D. Congested traffic states in empirical observations and microscopic simulations. Phys. Rev. E 2000, 62, 1805–1824. [Google Scholar] [CrossRef]
- Bando, M.; Hasebe, K.; Nakayama, A.; Shibata, A.; Sugiyama, Y. Dynamical model of traffic congestion and numerical simulation. Phys. Rev. E 1995, 51, 1035–1042. [Google Scholar] [CrossRef]
- Helbing, D.; Tilch, B. Generalized force model of traffic dynamics. Phys. Rev. E 1998, 58, 133–138. [Google Scholar] [CrossRef]
- Andersen, G.J.; Sauer, C.W. Optical information for car following: The driving by visual angle (DVA) model. Hum. Factors J. Hum. Factors Ergon. Soc. 2007, 49, 878–896. [Google Scholar] [CrossRef]
- Kikuchi, C.; Chakroborty, P. Car following model based on a fuzzy inference system. Transp. Res. Rec. J. Transp. Res. Board 1992, 1365, 82–91. [Google Scholar]
- Biswas, S.; Tatchikou, R.; Dion, F. Vehicle-to-vehicle wireless communication protocols for enhancing highway traffic safety. IEEE Commun. Mag. 2006, 44, 74–82. [Google Scholar] [CrossRef]
- Ibáñez, J.A.G.; Zeadally, S.; Contreras-Castillo, J. Integration challenges of intelligent transportation systems with connected vehicle, cloud computing, and Internet of Things technologies. IEEE Wirel. Commun. 2015, 22, 122–128. [Google Scholar] [CrossRef]
- Talebpour, A.; Mahmassani, H.S. Influence of connected and autonomous vehicles on traffic flow stability and throughput. Transp. Res. Part C Emerg. Technol. 2016, 71, 143–163. [Google Scholar] [CrossRef]
- Qin, Y.Y.; Wang, H.; Wang, W.; Ni, D.H. Review of car-following models of adaptive cruise control. J. Traffic Transp. Eng. 2017, 17, 121–130. (In Chinese) [Google Scholar]
- Kesting, A.; Treiber, M.; Schönhof, M.; Kranke, F.; Helbing, D. Jam-Avoiding Adaptive Cruise Control (ACC) and Its Impact on Traffic Dynamics. In Traffic and Granular Flow’05; Schadschneider, A., Pöschel, T., Kühne, R., Schreckenberg, M., Wolf, D.E., Eds.; Springer: Berlin, Germany, 2007. [Google Scholar]
- Kesting, A.; Treiber, M.; Helbing, D. Enhanced intelligent driver model to access the impact of driving strategies on traffic capacity. Philos. Trans. A Math. Phys. Eng. Sci. 2010, 368, 4585–4605. [Google Scholar] [CrossRef]
- Monneau, R.; Roussignol, M.; Tordeux, A. Invariance and homogenization of an adaptive time gap car-following model. Nonlinear Differ. Equ. Appl. 2014, 21, 491–517. [Google Scholar] [CrossRef][Green Version]
- Hua, X.D.; Wang, W.; Wang, H. A car-following model with the consideration of vehicle-to-vehicle communication technology. Acta Phys. Sin. 2016, 65. (In Chinese) [Google Scholar] [CrossRef]
- Wang, T.; Gao, Z.Y.; Zhao, X.M. Multiple velocity difference model and stability analysis. Acta Phys. Sin. 2006, 55, 634–640. (In Chinese) [Google Scholar]
- Peng, G.H.; Sun, D.H. A dynamical model of car-following with the consideration of the multiple information of preceding cars. Phys. Lett. A 2010, 374, 1694–1698. [Google Scholar] [CrossRef]
- Sun, Y.Q.; Ge, H.X.; Cheng, R.J. An extended car-following model under V2V communication environment and its delayed-feedback control. Phys. A 2018, 508, 349–358. [Google Scholar] [CrossRef]
- Nakayama, A.; Sugiyama, Y.; Hasebe, K. Effect of looking at the car that follows in an optimal velocity model of traffic flow. Phys. Rev. E 2002, 65, 016112. [Google Scholar] [CrossRef]
- Tan, J.H.; Shi, J. Impact of intermittent vehicle release on freeway energy dissipation and emissions. J. Tsinghua Univ. (Sci. Technol.) 2013, 53, 499–502. (In Chinese) [Google Scholar]













© 2019 by the authors. Licensee MDPI, Basel, Switzerland. This article is an open access article distributed under the terms and conditions of the Creative Commons Attribution (CC BY) license (http://creativecommons.org/licenses/by/4.0/).
Share and Cite
Tan, J.; Gong, L.; Qin, X. Global Optimality under Internet of Vehicles: Strategy to Improve Traffic Safety and Reduce Energy Dissipation. Sustainability 2019, 11, 4541. https://doi.org/10.3390/su11174541
Tan J, Gong L, Qin X. Global Optimality under Internet of Vehicles: Strategy to Improve Traffic Safety and Reduce Energy Dissipation. Sustainability. 2019; 11(17):4541. https://doi.org/10.3390/su11174541
Chicago/Turabian StyleTan, Jinhua, Li Gong, and Xuqian Qin. 2019. "Global Optimality under Internet of Vehicles: Strategy to Improve Traffic Safety and Reduce Energy Dissipation" Sustainability 11, no. 17: 4541. https://doi.org/10.3390/su11174541
APA StyleTan, J., Gong, L., & Qin, X. (2019). Global Optimality under Internet of Vehicles: Strategy to Improve Traffic Safety and Reduce Energy Dissipation. Sustainability, 11(17), 4541. https://doi.org/10.3390/su11174541
