Complex Relationships of the Effects of Topographic Characteristics and Susceptible Tree Cover on Burn Severity
Abstract
:1. Introduction
2. Methods and Materials
2.1. Study Site Characteristics and Samcheok Forest Fire
2.2. Spatial Unit of Analysis and Mapping the Percentage of Red Pine Trees
2.3. Mapping Topographic Characteristics
2.4. Mapping Burn Severity
2.5. Linear and Nonlinear Model Estimation
3. Results
3.1. Descriptive Statistics and Spatial Distribution
3.2. Correlation Analysis and Scatter Plots
3.3. Estimating Simple LMs and GAMs
3.4. Estimating Multiple LM and GAM
4. Discussion
4.1. Linear Relationship of Red Pine Trees with Burn Severity
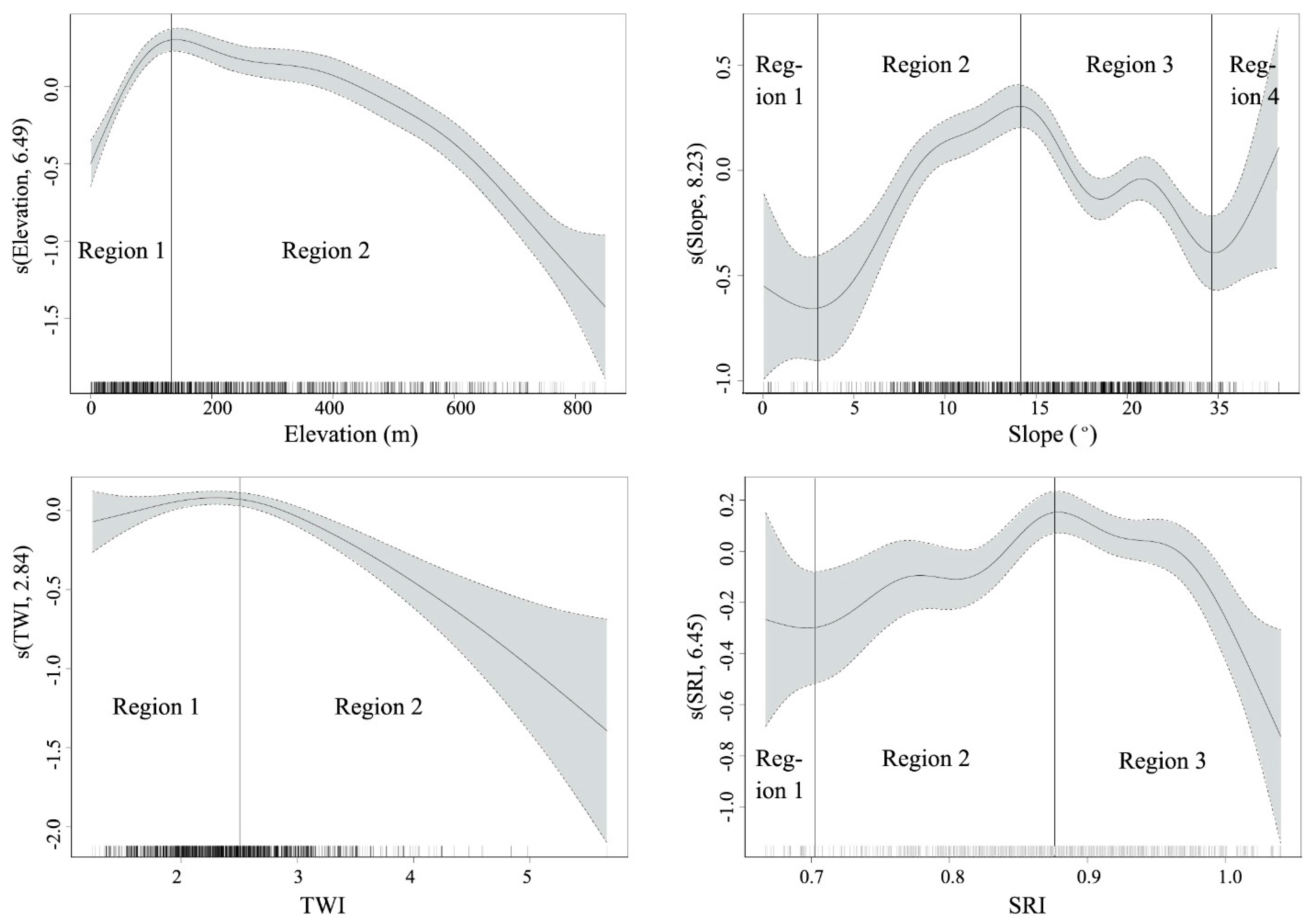
4.2. Non-Linear Relationship of Topographic Characteristics with Burn Severity
5. Conclusions
Acknowledgments
Author Contributions
Conflicts of Interest
References
- Beck, P.S.; Juday, G.P.; Alix, C.; Barber, V.A.; Winslow, S.E.; Sousa, E.E.; Heiser, P.; Herriges, J.D.; Goetz, S.J. Changes in forest productivity across Alaska consistent with biome shift. Ecol. Lett. 2011, 14, 373–379. [Google Scholar] [CrossRef] [PubMed]
- Koutsias, N.; Arianoutsou, M.; Kallimanis, A.S.; Mallinis, G.; Halley, J.M.; Dimopoulos, P. Where did the fires burn in Peloponnisos, Greece the summer of 2007? Evidence for a synergy of fuel and weather. Agric. For. Meteorol. 2012, 156, 41–53. [Google Scholar] [CrossRef]
- Lee, S.-W.; Lee, M.-B.; Lee, Y.-G.; Won, M.-S.; Kim, J.-J.; Hong, S.-K. Relationship between landscape structure and burn severity at the landscape and class levels in Samchuck, South Korea. For. Ecol. Manag. 2009, 258, 1594–1604. [Google Scholar] [CrossRef]
- De Vasconcelos, S.S.; Fearnside, P.M.; de Alencastro Graça, P.M.L.; Nogueira, E.M.; de Oliveira, L.C.; Figueiredo, E.O. Forest fires in southwestern Brazilian Amazonia: Estimates of area and potential carbon emissions. For. Ecol. Manag. 2013, 291, 199–208. [Google Scholar] [CrossRef]
- Shakesby, R.A.; Wallbrink, P.; Doerr, S.H.; English, P.M.; Chafer, C.J.; Humphreys, G.; Blake, W.H.; Tomkins, K.M. Distinctiveness of wildfire effects on soil erosion in south-east Australian eucalypt forests assessed in a global context. For. Ecol. Manag. 2007, 238, 347–364. [Google Scholar] [CrossRef]
- Wan, S.; Hui, D.; Luo, Y. Fire effects on nitrogen pools and dynamics in terrestrial ecosystems: A meta-analysis. Ecol. Appl. 2001, 11, 1349–1365. [Google Scholar] [CrossRef]
- Dayamba, S.D.; Tigabu, M.; Sawadogo, L.; Oden, P.C. Seed germination of herbaceous and woody species of the Sudanian savanna-woodland in response to heat shock and smoke. For. Ecol. Manag. 2008, 256, 462–470. [Google Scholar] [CrossRef]
- Turner, M.G.; Hargrove, W.W.; Gardner, R.H.; Romme, W.H. Effects of fire on landscape heterogeneity in Yellowstone National Park, Wyoming. J. Veg. Sci. 1994, 5, 731–742. [Google Scholar] [CrossRef]
- Wimberly, M.C.; Reilly, M.J. Assessment of fire severity and species diversity in the southern Appalachians using Landsat TM and ETM+ imagery. Remote Sens. Environ. 2007, 108, 189–197. [Google Scholar] [CrossRef]
- Lee, S.-W.; Won, M.-S.; Lee, J.-M.; Kim, H.-G. Intermediate-scale analysis of landscape characteristics affecting edge formation in burned forests in Samcheok, Korea. J. Mt. Sci. 2014, 11, 384–397. [Google Scholar] [CrossRef]
- Wang, C.; Gower, S.T.; Wang, Y.; Zhao, H.; Yan, P.; Bond-Lamberty, B.P. The influence of fire on carbon distribution and net primary production of boreal Larix gmelinii forests in north-eastern China. Glob. Chang. Biol. 2001, 7, 719–730. [Google Scholar] [CrossRef]
- Cawson, J.; Sheridan, G.; Smith, H.; Lane, P. Effects of fire severity and burn patchiness on hillslope-scale surface runoff, erosion and hydrologic connectivity in a prescribed burn. For. Ecol. Manag. 2013, 310, 219–233. [Google Scholar] [CrossRef]
- Crotteau, J.S.; Varner, J.M.; Ritchie, M.W. Post-fire regeneration across a fire severity gradient in the southern Cascades. For. Ecol. Manag. 2013, 287, 103–112. [Google Scholar] [CrossRef]
- Fontaine, J.B.; Kennedy, P.L. Meta-analysis of avian and small-mammal response to fire severity and fire surrogate treatments in US fire-prone forests. Ecol. Appl. 2012, 22, 1547–1561. [Google Scholar] [CrossRef] [PubMed]
- Keeley, J.E. Fire intensity, fire severity and burn severity: A brief review and suggested usage. Int. J. Wildland Fire 2009, 18, 116–126. [Google Scholar] [CrossRef]
- Knapp, E.E.; Estes, B.L.; Skinner, C.N. Ecological Effects of Prescribed Fire Season: A Literature Review and Synthesis for Managers; USDA, Fire Service: Washington, DC, USA, 2009. [Google Scholar]
- Van Mantgem, P.J.; Nesmith, J.C.; Keifer, M.; Brooks, M. Tree mortality patterns following prescribed fire for Pinus and Abies across the southwestern United States. For. Ecol. Manag. 2013, 289, 463–469. [Google Scholar] [CrossRef]
- Fernandes, P.M.; Luz, A.; Loureiro, C. Changes in wildfire severity from maritime pine woodland to contiguous forest types in the mountains of northwestern Portugal. For. Ecol. Manag. 2010, 260, 883–892. [Google Scholar] [CrossRef]
- Fang, L.; Yang, J.; Zu, J.; Li, G.; Zhang, J. Quantifying influences and relative importance of fire weather, topography, and vegetation on fire size and fire severity in a Chinese boreal forest landscape. For. Ecol. Manag. 2015, 356, 2–12. [Google Scholar] [CrossRef]
- Bigler, C.; Kulakowski, D.; Veblen, T.T. Multiple disturbance interactions and drought influence fire severity in rocky mountain subalpine forests. Ecology 2005, 86, 3018–3029. [Google Scholar] [CrossRef]
- O’Connor, C.D.; Falk, D.A.; Lynch, A.M.; Swetnam, T.W. Fire severity, size, and climate associations diverge from historical precedent along an ecological gradient in the Pinaleño Mountains, Arizona, USA. For. Ecol. Manag. 2014, 329, 264–278. [Google Scholar] [CrossRef]
- Pyne, S.; Andrews, P.; Laven, R. Introduction to Wildfire; John Wiley and Sons: New York, NY, USA, 1996. [Google Scholar]
- Liu, Y.; Goodrick, S.L.; Stanturf, J.A. Future US wildfire potential trends projected using a dynamically downscaled climate change scenario. For. Ecol. Manag. 2013, 294, 120–135. [Google Scholar] [CrossRef]
- Tian, H.; Chen, G.; Liu, M.; Zhang, C.; Sun, G.; Lu, C.; Xu, X.; Ren, W.; Pan, S.; Chappelka, A. Model estimates of net primary productivity, evapotranspiration, and water use efficiency in the terrestrial ecosystems of the southern United States during 1895–2007. For. Ecol. Manag. 2010, 259, 1311–1327. [Google Scholar] [CrossRef]
- Agee, J.K.; Skinner, C.N. Basic principles of forest fuel reduction treatments. For. Ecol. Manag. 2005, 211, 83–96. [Google Scholar] [CrossRef]
- Lentile, L.B.; Smith, F.W.; Shepperd, W.D. Influence of topography and forest structure on patterns of mixed severity fire in ponderosa pine forests of the South Dakota Black Hills, USA. Int. J. Wildland Fire 2006, 15, 557–566. [Google Scholar] [CrossRef]
- Safford, H.D.; Schmidt, D.A.; Carlson, C.H. Effects of fuel treatments on fire severity in an area of wildland–urban interface, Angora fire, Lake Tahoe Basin, California. For. Ecol. Manag. 2009, 258, 773–787. [Google Scholar] [CrossRef]
- Schroeder, M.J.; Buck, C.C. Fire Weather: A Guide for Application of Meteorological Information to Forest Fire Control Operations; USDA Fire Service: Washington, DC, USA, 1970. [Google Scholar]
- Oliveras, I.; Gracia, M.; Moré, G.; Retana, J. Factors influencing the pattern of fire severities in a large wildfire under extreme meteorological conditions in the Mediterranean basin. Int. J. Wildland Fire 2009, 18, 755–764. [Google Scholar] [CrossRef]
- Lee, H.-J.; Kim, E.-J.; Lee, S.-W. Examining spatial variation in the effects of Japanese red pine (Pinus densiflora) on burn severity using geographically weighted regression. Sustainability 2017, 9, 804. [Google Scholar] [CrossRef]
- Korea Forest Service. Fires in Eastern Regions; Korea Forest Service: Daejoen, Korea, 2001; Volume 1, pp. 33–36.
- Sung, J.H.; Jo, J.H.; Lee, Y.G.; Won, M.S.; Kim, S.D. Changes in physiological characteristics and regeneration of damaged trees. In Ecological Changes in Burned Forests; Lee, M.-B., Ed.; Korea Forest Research Institute: Seoul, Korea, 2007; pp. 53–112. (In Korean) [Google Scholar]
- Collins, B.M.; Kelly, M.; van Wagtendonk, J.W.; Stephens, S.L. Spatial patterns of large natural fires in Sierra Nevada wilderness areas. Landsc. Ecol. 2007, 22, 545–557. [Google Scholar] [CrossRef]
- Barrett, K.; Kasischke, E.; McGuire, A.; Turetsky, M.; Kane, E. Modeling fire severity in black spruce stands in the Alaskan boreal forest using spectral and non-spectral geospatial data. Remote Sens. Environ. 2010, 114, 1494–1503. [Google Scholar] [CrossRef]
- Bassett, M.; Chia, E.K.; Leonard, S.W.; Nimmo, D.G.; Holland, G.J.; Ritchie, E.G.; Clarke, M.F.; Bennett, A.F. The effects of topographic variation and the fire regime on coarse woody debris: Insights from a large wildfire. For. Ecol. Manag. 2015, 340, 126–134. [Google Scholar] [CrossRef]
- Collins, B.; Skinner, C. Fire and fuels. In Science Synthesis to Support Socioecological Resilience in the Sierra Nevada and Southern Cascade Range; General Technical Report PSW-GTR-247; Long, J.W., Quinn-Davidson, L., Skinner, C.N., Eds.; USDA Forest Service, Pacific Southwest Research Station: Albany, CA, USA, 2014; pp. 143–172. [Google Scholar]
- Collins, B.M.; Lydersen, J.M.; Fry, D.L.; Wilkin, K.; Moody, T.; Stephens, S.L. Variability in vegetation and surface fuels across mixed-conifer-dominated landscapes with over 40 years of natural fire. For. Ecol. Manag. 2016, 381, 74–83. [Google Scholar] [CrossRef]
- Harris, L.; Taylor, A.H. Topography, fuels, and fire exclusion drive fire severity of the rim fire in an old-growth mixed-conifer forest, Yosemite National Park, USA. Ecosystems 2015, 18, 1192–1208. [Google Scholar] [CrossRef]
- Hessburg, P.F.; Churchill, D.J.; Larson, A.J.; Haugo, R.D.; Miller, C.; Spies, T.A.; North, M.P.; Povak, N.A.; Belote, R.T.; Singleton, P.H. Restoring fire-prone Inland Pacific landscapes: Seven core principles. Landsc. Ecol. 2015, 30, 1805–1835. [Google Scholar] [CrossRef]
- Lydersen, J.; North, M. Topographic variation in structure of mixed-conifer forests under an active-fire regime. Ecosystems 2012, 15, 1134–1146. [Google Scholar] [CrossRef]
- Rogeau, M.-P.; Flannigan, M.D.; Hawkes, B.C.; Parisien, M.-A.; Arthur, R. Spatial and temporal variations of fire regimes in the Canadian Rocky Mountains and Foothills of southern Alberta. Int. J. Wild. Fire. 2016, 25, 1117–1130. [Google Scholar] [CrossRef]
- Korb, J.E.; Fulé, P.Z.; Wu, R. Variability of warm/dry mixed conifer forests in southwestern Colorado, USA: Implications for ecological restoration. For. Ecol. Manag. 2013, 304, 182–191. [Google Scholar] [CrossRef]
- Thompson, J.R.; Spies, T.A. Vegetation and weather explain variation in crown damage within a large mixed-severity wildfire. For. Ecol. Manag. 2009, 258, 1684–1694. [Google Scholar] [CrossRef]
- Gruber, S.; Peckham, S. Land-surface parameters and objects in hydrology. Dev. Soil Sci. 2009, 33, 171–194. [Google Scholar]
- Kopecký, M.; Čížková, Š. Using topographic wetness index in vegetation ecology: Does the algorithm matter? Appl. Veg. Sci. 2010, 13, 450–459. [Google Scholar] [CrossRef]
- McCune, B.; Keon, D. Equations for potential annual direct incident radiation and heat load. Appl. Veg. Sci. 2002, 13, 603–606. [Google Scholar] [CrossRef]
- Grimaldi, S.; Nardi, F.; Di Benedetto, F.; Istanbulluoglu, E.; Bras, R.L. A physically-based method for removing pits in digital elevation models. Adv. Water Resour. 2007, 30, 2151–2158. [Google Scholar] [CrossRef]
- Key, C.; Benson, N. Fire Effects Monitoring and Inventory Protocol—Landscape Assessment; USDA Forest Service Fire Science Laboratory: Missoula, MT, USA, 2002; pp. 1–16. [Google Scholar]
- Remote Sensing Application Center. Burned Area Emergency Response (BAER) Imagery Support; Department of Agriculture Forest Service, Remote Sensing Applications Center: Salt Lake City, UT, USA, 2005; Available online: http://www.fs.fed.us/eng/rsac/baer/ (accessed on 4 October 2016).
- Ríos-Pena, L.; Kneib, T.; Cadarso-Suárez, C.; Marey-Pérez, M. Predicting the occurrence of wildfires with binary structured additive regression models. J. Environ. Manag. 2017, 187, 154–165. [Google Scholar] [CrossRef] [PubMed]
- Li, Z.; Khananian, A.; Fraser, R.H.; Cihlar, J. Automatic detection of fire smoke using artificial neural networks and threshold approaches applied to AVHRR imagery. IEEE Trans. Geosci. Remote Sens. 2001, 39, 1859–1870. [Google Scholar]
- Kerns, B.K.; Ager, A. Risk assessment for biodiversity conservation planning in Pacific Northwest forests. For. Ecol. Manag. 2007, 246, 38–44. [Google Scholar] [CrossRef]
- Tuia, D.; Ratle, F.; Lasaponara, R.; Telesca, L.; Kanevski, M. Scan statistics analysis of forest fire clusters. Commun. Nonlinear Sci. Numer. Simul. 2008, 13, 1689–1694. [Google Scholar] [CrossRef]
- Wood, S. Generalized Additive Models (Texts in Statistical Science); ACM: New York, NY, USA, 2006. [Google Scholar]
- Roccaforte, J.P.; Fulé, P.Z.; Chancellor, W.W.; Laughlin, D.C. Woody debris and tree regeneration dynamics following severe wildfires in Arizona ponderosa pine forests. Can. J. For. Res. 2012, 42, 593–604. [Google Scholar] [CrossRef]
- Richards, R.; Chaloupka, M.; Strauss, D.; Tomlinson, R. Using generalized additive modelling to understand the drivers of long-term nutrient dynamics in the broadwater estuary (a subtropical estuary), Gold Coast, Australia. J. Coast. Res. 2013, 30, 1321–1329. [Google Scholar] [CrossRef]
- Lehmann, A. GIS modeling of submerged macrophyte distribution using generalized additive models. Plant Ecol. 1998, 139, 113–124. [Google Scholar] [CrossRef]
- Murase, H.; Nagashima, H.; Yonezaki, S.; Matsukura, R.; Kitakado, T. Application of a generalized additive model (GAM) to reveal relationships between environmental factors and distributions of pelagic fish and krill: A case study in Sendai Bay, Japan. ICES J. Mar. Sci. 2009, 66, 1417–1424. [Google Scholar] [CrossRef]
- Hwang, S.-A.; Hwang, S.-J.; Park, S.-R.; Lee, S.-W. Examining the relationships between watershed urban land use and stream water quality using linear and generalized additive models. Water 2016, 8, 155. [Google Scholar] [CrossRef]
- Brunel, C.; Gros, R.; Ziarelli, F.; Da Silva, A.M.F. Additive or non-additive effect of mixing oak in pine stands on soil properties depends on the tree species in Mediterranean forests. Sci. Total Environ. 2017, 590, 676–685. [Google Scholar] [CrossRef] [PubMed]
- Dong, D.; Du, E.; Sun, Z.; Zeng, X.; de Vries, W. Non-linear direct effects of acid rain on leaf photosynthetic rate of terrestrial plants. Environ. Pollut. 2017, 231, 1442–1445. [Google Scholar] [CrossRef] [PubMed]
- França, F.M.; Frazão, F.S.; Korasaki, V.; Louzada, J.; Barlow, J. Identifying thresholds of logging intensity on dung beetle communities to improve the sustainable management of Amazonian tropical forests. Biol. Conserv. 2017, 216, 115–122. [Google Scholar] [CrossRef]
- Horvat, V.; Heras, P.; García-Mijangos, I.; Biurrun, I. Intensive forest management affects bryophyte diversity in the western Pyrenean silver fir-beech forests. Biol. Conserv. 2017, 215, 81–91. [Google Scholar] [CrossRef]
- Mikoláš, M.; Tejkal, M.; Kuemmerle, T.; Griffiths, P.; Svoboda, M.; Hlásny, T.; Leitão, P.J.; Morrissey, R.C. Forest management impacts on Capercaillie (Tetrao urogallus) habitat distribution and connectivity in the Carpathians. Landsc. Ecol. 2017, 32, 163–179. [Google Scholar] [CrossRef]
- Sutherland, I.J.; Bennett, E.M.; Gergel, S.E. Recovery trends for multiple ecosystem services reveal non-linear responses and long-term tradeoffs from temperate forest harvesting. For. Ecol. Manag. 2016, 374, 61–70. [Google Scholar] [CrossRef]
- González, J.R.; Palahí, M.; Pukkala, T. Integrating fire risk considerations in forest management planning in Spain—a landscape level perspective. Landsc. Ecol. 2005, 20, 957–970. [Google Scholar] [CrossRef]
- Foster, R.B.; Brokaw, N.V. Structure and History of the Vegetation of Barro Colorado Island [Semideciduous Forest, Panama]; FAO: Rome, Italy, 1982. [Google Scholar]
- Kass, R.E.; Raftery, A.E. Bayes factors. JASA 1995, 90, 773–795. [Google Scholar] [CrossRef]
- Wagenmakers, E.-J.; Farrell, S. AIC model selection using Akaike weights. Psychon. Bull. Rev. 2004, 11, 192–196. [Google Scholar] [CrossRef] [PubMed]
- Schwarz, G. Estimating the dimension of a model. Ann. Stat. 1978, 6, 461–464. [Google Scholar] [CrossRef]
- Schoennagel, T.; Veblen, T.T.; Romme, W.H. The interaction of fire, fuels, and climate across Rocky Mountain forests. Bioscience 2004, 54, 661–676. [Google Scholar] [CrossRef]
- Weatherspoon, C.P.; Skinner, C.N. An assessment of factors associated with damage to tree crowns from the 1987 wildfires in northern California. For. Sci. 1995, 41, 430–451. [Google Scholar]
- Fulé, P.Z.; Korb, J.E.; Wu, R. Changes in forest structure of a mixed conifer forest, southwestern Colorado, USA. For. Ecol. Manag. 2009, 258, 1200–1210. [Google Scholar] [CrossRef]
- Finney, M.A.; McHugh, C.W.; Grenfell, I.C. Stand- and landscape-level effects of prescribed burning on two Arizona wildfires. Can. J. For. Res. 2005, 35, 1714–1722. [Google Scholar] [CrossRef]
- Gill, L.; Taylor, A.H. Top-down and bottom-up controls on fire regimes along an elevational gradient on the east slope of the Sierra Nevada, California, USA. Fire Ecol. 2009, 5, 57–75. [Google Scholar] [CrossRef]
- Rogeau, M.-P.; Armstrong, G.W. Quantifying the effect of elevation and aspect on fire return intervals in the Canadian Rocky Mountains. For. Ecol. Manag. 2017, 384, 248–261. [Google Scholar] [CrossRef]
- Turner, D.P.; Cohen, W.B.; Kennedy, R.E.; Fassnacht, K.S.; Briggs, J.M. Relationships between leaf area index and Landsat TM spectral vegetation indices across three temperate zone sites. Remote Sens. Environ. 1999, 70, 52–68. [Google Scholar] [CrossRef]
- Miller, C.; Urban, D.L. Connectivity of forest fuels and surface fire regimes. Landsc. Ecol. 2000, 15, 145–154. [Google Scholar] [CrossRef]
- Cansler, C.A.; McKenzie, D. Climate, fire size, and biophysical setting control fire severity and spatial pattern in the northern Cascade Range, USA. Ecol. Appl. 2014, 24, 1037–1056. [Google Scholar] [CrossRef] [PubMed]
- Dillon, G.K.; Holden, Z.A.; Morgan, P.; Crimmins, M.A.; Heyerdahl, E.K.; Luce, C.H. Both topography and climate affected forest and woodland burn severity in two regions of the western US, 1984 to 2006. Ecosphere 2011, 2, 1–33. [Google Scholar] [CrossRef]
- Vilar, L.; Woolford, D.G.; Martell, D.L.; Martín, M.P. A model for predicting human-caused wildfire occurrence in the region of Madrid, Spain. Int. J. Wildland Fire 2010, 19, 325–337. [Google Scholar] [CrossRef]




| Variables | Elevation (m) | Slope (°) | TWI | SRI | Red Pine (%) |
|---|---|---|---|---|---|
| Burn severity | −0.25 ** | −0.04 | −0.15 ** | 0.04 | 0.47 ** |
| Elevation (m) | 0.69 ** | −0.57 ** | −0.14 ** | −0.42 ** | |
| Slope (°) | −0.65 ** | −0.37 ** | −0.12 ** | ||
| TWI | 0.21 ** | −0.04 | |||
| SRI | 0.15 ** |
| Variable | Elevation (m) | Slope (°) | TWI | SRI | Red Pine (%) | |||||
|---|---|---|---|---|---|---|---|---|---|---|
| LM | GAM 1 | LM | GAM 1 | LM | GAM 1 | LM | GAM 1 | LM | GAM 1 | |
| F-value | 52.42 ** | 31.25 ** | 1.63 | 10.88 ** | 17.89 ** | 10.87 ** | 1.52 | 5.05 ** | 223.4 ** | 223.4 ** |
| Adj. R2 | 0.06 | 0.23 | 0.00 | 0.10 | 0.02 | 0.05 | 0.00 | 0.04 | 0.22 | 0.22 |
| AIC | 1581.1 | 1427.9 | 1630.8 | 1550.5 | 1614.7 | 1593.6 | 1630.9 | 1603.1 | 1434.8 | 1434.8 |
| BIC | 1595.5 | 1467.7 | 1644.8 | 1598.4 | 1628.7 | 1616.3 | 1644.9 | 1642.7 | 1448.9 | 1448.9 |
| Variable | Coefficients | t-Value | VIF | |
|---|---|---|---|---|
| b | β | |||
| Constant | 4.47 | - | 28.84 ** | - |
| Elevation (m) | –0.001 | –0.27 | –6.06 ** | 2.09 |
| TWI | –0.31 | –0.29 | –7.16 ** | 1.72 |
| Red pine trees (%) | 0.007 | 0.34 | 9.52 ** | 1.42 |
| F-value | 97.63 ** | |||
| Adjusted R2 | 0.27 | |||
| AIC | 1385.64 | |||
| BIC | 1422.23 | |||
| Variable | EDF 1 | F-Value | Sig. |
|---|---|---|---|
| s (Elevation) | 6.23 | 15.52 | p < 0.001 |
| s (Slope) | 1.95 | 7.39 | p < 0.001 |
| s (TWI) | 8.33 | 8.29 | p < 0.001 |
| s (SRI) | 2.85 | 3.32 | p < 0.01 |
| s (% Pine) | 1.00 | 25.19 | p < 0.001 |
| Constant | 3.88 ** 2 | ||
| Adjusted R2 | 0.36 | ||
| AIC | 1297.43 | ||
| BIC | 1402.22 | ||
| Model | Res. Df | RSS | Df. | Sum of Sq. | F-Value | Pr (>F) |
|---|---|---|---|---|---|---|
| LMbs | 798.00 | 260.99 | 17.36 | 37.08 | 7.45 | < 0.001 |
| GAMbs | 780.64 | 223.90 |
| Variable | EDF 1 | F-Value | Sig. |
|---|---|---|---|
| s (Elevation) | 5.82 | 89.16 | p < 0.001 |
| s (Slope) | 6.94 | 3.87 | p < 0.001 |
| s (TWI) | 1.59 | 25.14 | p < 0.001 |
| s (SRI) | 4.20 | 8.52 | p < 0.01 |
| Constant | 58.23 ** 2 | ||
| Adjusted R2 | 0.58 | ||
| AIC | 7313.02 | ||
| BIC | 7409.44 | ||
© 2018 by the authors. Licensee MDPI, Basel, Switzerland. This article is an open access article distributed under the terms and conditions of the Creative Commons Attribution (CC BY) license (http://creativecommons.org/licenses/by/4.0/).
Share and Cite
Lee, H.-J.; Choi, Y.E.; Lee, S.-W. Complex Relationships of the Effects of Topographic Characteristics and Susceptible Tree Cover on Burn Severity. Sustainability 2018, 10, 295. https://doi.org/10.3390/su10020295
Lee H-J, Choi YE, Lee S-W. Complex Relationships of the Effects of Topographic Characteristics and Susceptible Tree Cover on Burn Severity. Sustainability. 2018; 10(2):295. https://doi.org/10.3390/su10020295
Chicago/Turabian StyleLee, Hyun-Joo, Yun Eui Choi, and Sang-Woo Lee. 2018. "Complex Relationships of the Effects of Topographic Characteristics and Susceptible Tree Cover on Burn Severity" Sustainability 10, no. 2: 295. https://doi.org/10.3390/su10020295
APA StyleLee, H.-J., Choi, Y. E., & Lee, S.-W. (2018). Complex Relationships of the Effects of Topographic Characteristics and Susceptible Tree Cover on Burn Severity. Sustainability, 10(2), 295. https://doi.org/10.3390/su10020295

