Learning How to Separate Fake from Real News: Scalable Digital Tutorials Promoting Students’ Civic Online Reasoning
Abstract
1. Introduction
1.1. Civic Online Reasoning
1.2. Interventions in Civic Online Reasoning
1.3. Observational Learning and Feedback
1.4. Present Study
2. Method: Experiment I
2.1. Participants
2.2. Design
2.3. Procedure and Material
2.4. Analysis
3. Results: Experiment I
3.1. T-Tests on Total Score
3.2. Wilcoxon Rank Sum Test on Each Separate Post-Test Item
3.3. Relation between Digital Aids, Score and Treatment
4. Method: Experiment II
4.1. Participants
4.2. Design
4.3. Procedure and Material
5. Results: Experiment II
5.1. T-Tests on Total Score
5.2. Wilcoxon Rank Sum Test on Each Separate Post-Test Item
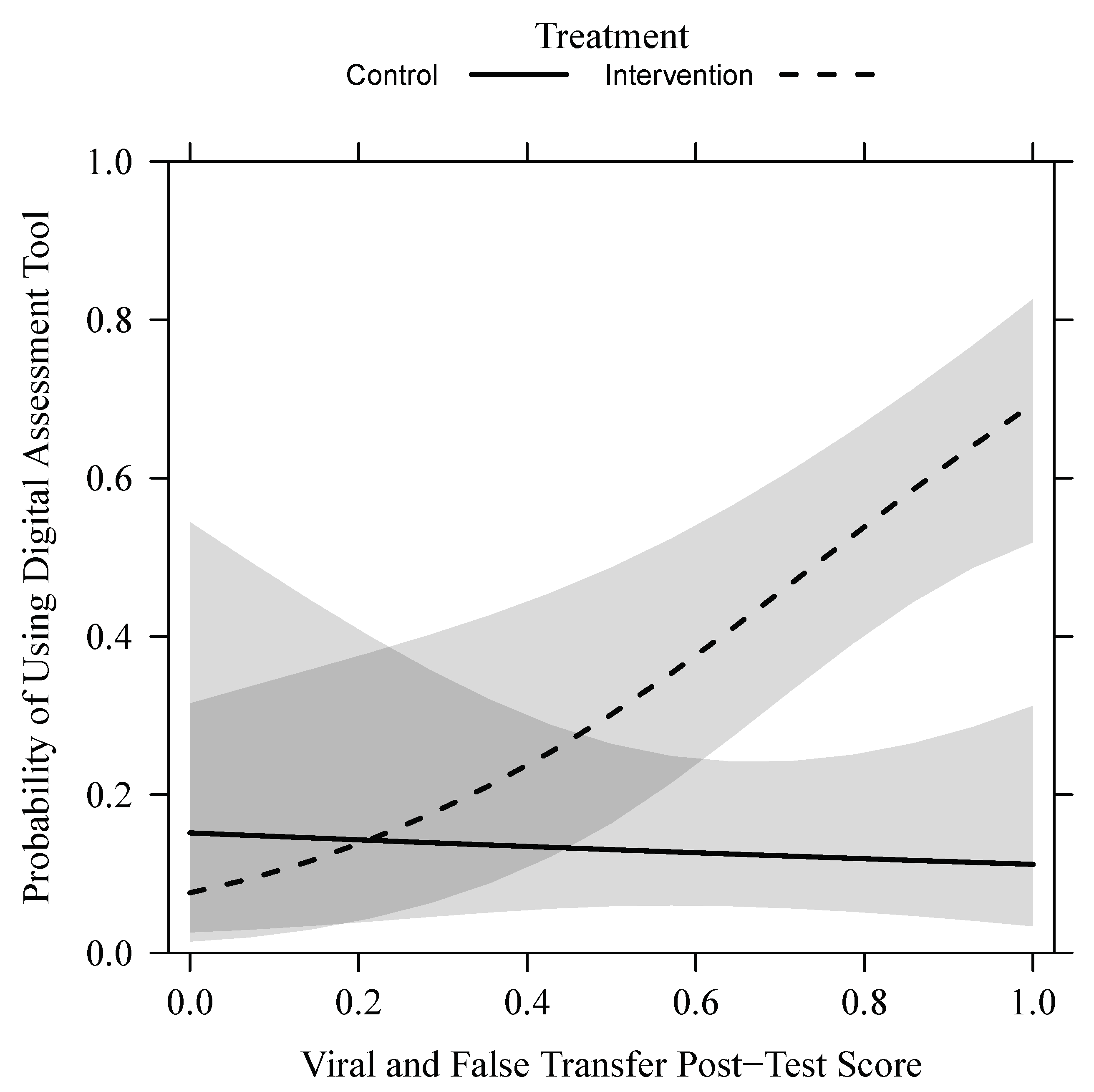
5.3. Relation between Digital Aids, Scores and Treatment
5.4. Differences between Experiments
6. Discussion
6.1. Better Performance on Post-Tasks for Intervention Group
6.2. Increased Use of Digital Aids
6.3. Better Assessment Performance of True Items
6.4. Limitations
6.5. Conclusions
Author Contributions
Funding
Institutional Review Board Statement
Informed Consent Statement
Data Availability Statement
Conflicts of Interest
References
- European Commission. Action Plan against Disinformation: Joint Communication to the European Parliament, the European Council, the Council, the European Economic and Social Committee and the Committee of the Regions. 2018. Available online: https://ec.europa.eu/info/sites/info/files/eu-communication-disinformation-euco-05122018_en.pdf (accessed on 23 February 2021).
- Pennycook, G.; Rand, D. The Cognitive Science of Fake News. PsyArXiv 2020. [Google Scholar] [CrossRef]
- Guess, A.M.; Lerner, M.; Lyons, B.; Montgomery, J.M.; Nyhan, B.; Reifler, J.; Sircar, N. A digital media literacy intervention increases discernment between mainstream and false news in the United States and India. Proc. Natl. Acad. Sci. USA 2020, 117, 15536–15545. [Google Scholar] [CrossRef] [PubMed]
- Eshet, Y. Digital literacy: A conceptual framework for survival skills in the digital era. J. Educ. Multimed. Hypermedia 2004, 13, 93–106. [Google Scholar]
- Breakstone, J.; Smith, M.; Wineburg, S.S.; Rapaport, A.; Carle, J.; Garland, M.; Saavedra, A. Students’ Civic Online Reasoning: A National Portrait. Available online: https://stacks.stanford.edu/file/gf151tb4868/Civic%20Online%20Reasoning%20National%20Portrait.pdf (accessed on 23 February 2021).
- Ku, K.Y.; Kong, Q.; Song, Y.; Deng, L.; Kang, Y.; Hu, A. What predicts adolescents’ critical thinking about real-life news? The roles of social media news consumption and news media literacy. Think. Ski. Creat. 2019, 33, 100570. [Google Scholar] [CrossRef]
- Nygren, T.; Guath, M. Swedish teenagers’ difficulties and abilities to determine digital news credibility. Nord. Rev. 2019, 40, 23–42. [Google Scholar] [CrossRef]
- Kim, H.; Garrido, P.; Tewari, A.; Xu, W.; Thies, J.; Nießner, M.; Pérez, P.; Richardt, C.; Zollhöfer, M.; Theobalt, C. Deep video portraits. ACM Trans. Graph. 2018, 37. [Google Scholar] [CrossRef]
- Shen, C.; Kasra, M.; Pan, W.; Bassett, G.A.; Malloch, Y.; O’Brien, J.F. Fake images: The effects of source, intermediary, and digital media literacy on contextual assessment of image credibility online. New Media Soc. 2019, 21, 438–463. [Google Scholar] [CrossRef]
- McGrew, S. Learning to evaluate: An intervention in civic online reasoning. Comput. Educ. 2020, 145, 103711. [Google Scholar] [CrossRef]
- Wineburg, S.S.; McGrew, S. Lateral reading and the nature of expertise: Reading less and learning more when evaluating digital information. Teach. Coll. Rec. 2019, 121, n11. [Google Scholar]
- McGrew, S.; Ortega, T.; Breakstone, J.; Wineburg, S.S. The Challenge That’s Bigger than Fake News: Civic Reasoning in a Social Media Environment. Am. Educ. 2017, 41, 4–9. [Google Scholar]
- McGrew, S.; Breakstone, J.; Ortega, T.; Smith, M.; Wineburg, S.S. Can students evaluate online sources? Learning from assessments of civic online reasoning. Theory Res. Soc. Educ. 2018, 46, 165–193. [Google Scholar] [CrossRef]
- McGrew, S.; Smith, M.; Breakstone, J.; Ortega, T.; Wineburg, S.S. Improving university students’ web savvy: An intervention study. Br. J. Educ. Psychol. 2019, 89, 485–500. [Google Scholar] [CrossRef] [PubMed]
- Roozenbeek, J.; van der Linden, S. Fake news game confers psychological resistance against online misinformation. Palgrave Commun. 2019, 5, 65. [Google Scholar] [CrossRef]
- McGrew, S.; Byrne, V.L. Who Is behind this? Preparing high school students to evaluate online content. J. Res. Technol. Educ. 2020, 1–19. [Google Scholar] [CrossRef]
- Lewandowsky, S.; Ecker, U.K.; Cook, J. Beyond misinformation: Understanding and coping with the “post-truth” era. J. Appl. Res. Mem. Cogn. 2017, 6, 353–369. [Google Scholar] [CrossRef]
- Wineburg, S.S. Historical problem solving: A study of the cognitive processes used in the evaluation of documentary and pictorial evidence. J. Educ. Psychol. 1991, 83, 73. [Google Scholar] [CrossRef]
- Wineburg, S.S. Reading Abraham Lincoln: An expert/expert study in the interpretation of historical texts. Cogn. Sci. 1998, 22, 319–346. [Google Scholar] [CrossRef]
- Messaris, P. Visual “literacy” in the digital age. Rev. Commun. 2012, 12, 101–117. [Google Scholar] [CrossRef]
- Martel, C.; Pennycook, G.; Rand, D.G. Reliance on emotion promotes belief in fake news. Cogn. Res. Princ. Implic. 2020, 5, 47. [Google Scholar] [CrossRef]
- Lang, K.; Lang, G.E. The Unique Perspective of Television and Its Effect: A Pilot Study. Am. Sociol. Rev. 1953, 18, 3–12. [Google Scholar] [CrossRef]
- Mehta, R.; Guzmán, L.D. Fake or Visual Trickery? Understanding the Quantitative Visual Rhetoric in the News. J. Media Lit. Educ. 2018, 10, 104–122. [Google Scholar] [CrossRef]
- Kohnen, A.M.; Mertens, G.E.; Boehm, S.M. Can middle schoolers learn to read the web like experts? Possibilities and limits of a strategy-based intervention. J. Media Lit. Educ. 2020, 12, 64–79. [Google Scholar] [CrossRef]
- Wiley, J.; Goldman, S.R.; Graesser, A.C.; Sanchez, C.A.; Ash, I.K.; Hemmerich, J.A. Source evaluation, comprehension, and learning in Internet science inquiry tasks. Am. Educ. Res. J. 2009, 46, 1060–1106. [Google Scholar] [CrossRef]
- Perkins, D.N.; Salomon, G. Transfer of learning. In International Handbook of Educational Research, 2nd ed.; Husén, T., Postlethwaite, T.N., Eds.; Pergamon Press: Oxford, UK, 1994; Volume 11, pp. 6452–6457. [Google Scholar]
- Bandura, A.; Ross, D.; Ross, S.A. Vicarious reinforcement and imitative learning. J. Abnorm. Soc. Psychol. 1963, 67, 601–607. [Google Scholar] [CrossRef]
- Ashford, D.; Davids, K.; Bennett, S.J. Developmental effects influencing observational modelling: A meta-analysis. J. Sport. Sci. 2007, 25, 547–558. [Google Scholar] [CrossRef][Green Version]
- Cordovani, L.; Cordovani, D. A literature review on observational learning for medical motor skills and anesthesia teaching. Adv. Health Sci. Educ. 2016, 21, 1113–1121. [Google Scholar] [CrossRef]
- Weissmann, P.F.; Branch, W.T.; Gracey, C.F.; Haidet, P.; Frankel, R.M. Role modeling humanistic behavior: Learning bedside manner from the experts. Acad. Med. 2006, 81, 661–667. [Google Scholar] [CrossRef]
- Schunk, D.H. Modeling and attributional effects on children’s achievement: A self-efficacy analysis. J. Educ. Psychol. 1981, 73, 93. [Google Scholar] [CrossRef]
- Kniep, J.; Janssen, T. Effects of observational learning on students’ use of and attitude towards reading and learning strategies. Educ. Stud. Lang. Lit. 2014, 14, 1–21. [Google Scholar]
- Couzijn, M. Learning to write by observation of writing and reading processes: Effects on learning and transfer. Learn. Instr. 1999, 9, 109–142. [Google Scholar] [CrossRef]
- Collins, A.; Brown, J.S.; Newman, S.E. Cognitive apprenticeship: Teaching the craft of reading, writing and mathematics. Thinking J. Philos. Child. 1988, 8, 2–10. [Google Scholar] [CrossRef]
- Renkl, A. Instruction based on examples. In Handbook of Research on Learning and Instruction; Mayer, R.E., Alexander, P.A., Eds.; Routledge: Abingdon, UK, 2016; pp. 341–364. [Google Scholar]
- Bandura, A. Psychological Modeling: Conflicting Theories; Aldine-Atherton: New York City, NY, USA, 1971. [Google Scholar]
- Schunk, D.H.; Zimmerman, B.J. Social origins of self-regulatory competence. Educ. Psychol. 1997, 32, 195–208. [Google Scholar] [CrossRef]
- Shute, V.J. Focus on formative feedback. Rev. Educ. Res. 2008, 78, 153–189. [Google Scholar] [CrossRef]
- Hattie, J.; Timperley, H. The power of feedback. Rev. Educ. Res. 2007, 77, 81–112. [Google Scholar] [CrossRef]
- Kulhavy, R.W.; Stock, W.A. Feedback in written instruction: The place of response certitude. Educ. Psychol. Rev. 1989, 1, 279–308. [Google Scholar] [CrossRef]
- Nygren, T.; Brounéus, F. The News Evaluator: Evidence-based innovations to promote digital civic literacy. In Youth and News in a Digital Media Environment: Nordic-Baltic Perspectives; Andersson, Y., Dalquist, U., Ohlsson, J., Eds.; Nordicom: Gothenburg, Sweden, 2018; pp. 19–28. [Google Scholar]
- Nygren, T. Media and Information Literacy in News Feeds and Education. In Understanding Media and Information Literacy (MIL) in the Digital Age; Carlsson, U., Ed.; University of Gothenburg: Gothenburg, Sweden, 2019; pp. 113–117. [Google Scholar]
- Kozyreva, A.; Lewandowsky, S.; Hertwig, R. Citizens versus the internet: Confronting digital challenges with cognitive tools. Psychol. Sci. Public Interest 2020, 21, 103–156. [Google Scholar] [CrossRef] [PubMed]
- Barzilai, S.; Chinn, C.A. A review of educational responses to the “post-truth” condition: Four lenses on “post-truth” problems. Educ. Psychol. 2020, 55, 107–119. [Google Scholar] [CrossRef]
- Education Endowment Foundation. Remote Learning, Rapid Evidence Assessment. 2020. Available online: https://edtechhub.org/wp-content/uploads/2020/04/Remote_Learning_Rapid_Evidence_Assessment.pdf (accessed on 23 February 2021).
- Chesney, B.; Citron, D. Deep fakes: A looming challenge for privacy, democracy, and national security. Calif. Law Rev. 2019, 107, 1753. [Google Scholar] [CrossRef]










| Item Type | Pre | Post |
|---|---|---|
| Manipulated image | Photo by Kai Bastard, portraying a woman branded with the words ‘You Belong to Me’ | Photo by Kai bastard called ‘Kiss of Death’ showing someone smoking with black veins around the mouth |
| Fake video | Animated Amazon blimp with delivery drones | Animated theme park ride called ‘Gyro Drop’ |
| Viral false | Post from Eat Local Grown warning about toxic rice from China | Post on the connection between 5G and the Covid-19 virus |
| Viral true, nature | Image shared on Facebook with a one-eyed kitten called Cy | Post from Business Insider of a lake in Australia which turns pink when it rains |
| Viral true, food | Business Insider post on wood pulp being present in Parmesan cheese | Boing Boing post on restaurants using meat glue to produce steaks |
| Viral false, transfer | Post on a picture of a boy seemingly sleeping between his parents graves in Syria | Same post as in pre-test |
Publisher’s Note: MDPI stays neutral with regard to jurisdictional claims in published maps and institutional affiliations. |
© 2021 by the authors. Licensee MDPI, Basel, Switzerland. This article is an open access article distributed under the terms and conditions of the Creative Commons Attribution (CC BY) license (http://creativecommons.org/licenses/by/4.0/).
Share and Cite
Axelsson, C.-A.W.; Guath, M.; Nygren, T. Learning How to Separate Fake from Real News: Scalable Digital Tutorials Promoting Students’ Civic Online Reasoning. Future Internet 2021, 13, 60. https://doi.org/10.3390/fi13030060
Axelsson C-AW, Guath M, Nygren T. Learning How to Separate Fake from Real News: Scalable Digital Tutorials Promoting Students’ Civic Online Reasoning. Future Internet. 2021; 13(3):60. https://doi.org/10.3390/fi13030060
Chicago/Turabian StyleAxelsson, Carl-Anton Werner, Mona Guath, and Thomas Nygren. 2021. "Learning How to Separate Fake from Real News: Scalable Digital Tutorials Promoting Students’ Civic Online Reasoning" Future Internet 13, no. 3: 60. https://doi.org/10.3390/fi13030060
APA StyleAxelsson, C.-A. W., Guath, M., & Nygren, T. (2021). Learning How to Separate Fake from Real News: Scalable Digital Tutorials Promoting Students’ Civic Online Reasoning. Future Internet, 13(3), 60. https://doi.org/10.3390/fi13030060

