A Cursory Gaze at Solitary Radiopharmaceutical Chelators Incorporating Macrocyclic and Acyclic Moieties
Abstract
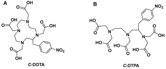
1. Introduction
2. 3p-C-DEPA
3. 3p-C-NEPA
4. NE3TA Derivatives
4.1. C-NE3TA and N-NE3TA
4.2. NE3TA-PY
5. 3p-C-NETA
6. Discussions and Future Perspective
7. Conclusions
Author Contributions
Funding
Institutional Review Board Statement
Informed Consent Statement
Data Availability Statement
Conflicts of Interest
References
- Woods, J.J.; Rigby, A.; Wacker, J.N.; Arino, T.; Vasquez, J.V.A.; Cosby, A.; Martin, K.E.; Abergel, R.J. Synthesis and Evaluation of a Bifunctional Chelator for Thorium-227 Targeted Radiotherapy. J. Med. Chem. 2025, 68, 1682–1692. [Google Scholar] [CrossRef]
- Wharton, L.; McNeil, S.W.; Meeres, H.; Zhang, D.; Ingham, A.; Merkens, H.; Osooly, M.; Rodríguez-Rodríguez, C.; Bénard, F.; Yang, H. Chelating [227Th]Th4+ for Peptide Receptor Radionuclide Therapy of Neuroendocrine Tumors. Bioconjug. Chem. 2025, 36, 1273–1287. [Google Scholar] [CrossRef]
- Holik, H.A.; Ibrahim, F.M.; Elaine, A.A.; Putra, B.D.; Achmad, A.; Kartamihardja, A.H.S. The Chemical Scaffold of Theranostic Radiopharmaceuticals: Radionuclide, Bifunctional Chelator, and Pharmacokinetics Modifying Linker. Molecules 2022, 27, 3062. [Google Scholar] [CrossRef]
- Price, E.W.; Orvig, C. Matching chelators to radiometals for radiopharmaceuticals. Chem. Soc. Rev. 2014, 43, 260–290. [Google Scholar] [CrossRef]
- Sneddon, D.; Cornelissen, B. Emerging chelators for nuclear imaging. Curr. Opin. Chem. Biol. 2021, 63, 152–162. [Google Scholar] [CrossRef]
- Zhang, S.; Wang, X.; Gao, X.; Chen, X.; Li, L.; Li, G.; Liu, C.; Miao, Y.; Wang, R.; Hu, K. Radiopharmaceuticals and their applications in medicine. Signal Transduct. Target. Ther. 2025, 10, 1–51. [Google Scholar] [CrossRef] [PubMed]
- Dhoundiyal, S.; Srivastava, S.; Kumar, S.; Singh, G.; Ashique, S.; Pal, R.; Mishra, N.; Taghizadeh-Hesary, F. Radiopharmaceuticals: Navigating the frontier of precision medicine and therapeutic innovation. Eur. J. Med. Res. 2024, 29, 1–19. [Google Scholar] [CrossRef] [PubMed]
- Freire-García, A.; Araujo, Y.B.; Wuest, M.; Szilágyi, B.; Madarasi, E.; Valencia, L.; Argibay-Otero, S.; Rodríguez-Rodríguez, A.; Esteban-Gómez, D.; Tircsó, G.; et al. Decadentate Acyclic Chelators for Lanthanum Radiopharmaceuticals. J. Med. Chem. 2025, 68, 17823–17839. [Google Scholar] [CrossRef] [PubMed]
- Shchukina, A.A.; Zubenko, A.D.; Fedorova, O.A. A novel method for the synthesis of acyclic ligands with combined chelating groups. Tetrahedron 2024, 150, 133773. [Google Scholar] [CrossRef]
- Woods, J.J.; Cosby, A.G.; Wacker, J.N.; Quintana, L.M.A.; Peterson, A.; Minasian, S.G.; Abergel, R.J. Macrocyclic 1,2-Hydroxypyridinone-Based Chelators as Potential Ligands for Thorium-227 and Zirconium-89 Radiopharmaceuticals. Inorg. Chem. 2023, 62, 20721–20732. [Google Scholar] [CrossRef]
- Kostelnik, T.I.; Orvig, C. Radioactive Main Group and Rare Earth Metals for Imaging and Therapy. Chem. Rev. 2018, 2, 902–956. [Google Scholar] [CrossRef]
- Hancock, R.D. Chelate ring size and metal ion selection: The basis of selectivity for metal ions in open-chain ligands and macrocycles. J. Chem. Educ. 1992, 69, 615–621. [Google Scholar] [CrossRef]
- Ahenkorah, S.; Cassells, I.; Deroose, C.M.; Cardinaels, T.; Burgoyne, A.R.; Bormans, G.; Ooms, M.; Cleeren, F. Bismuth-213 for Targeted Radionuclide Therapy: From Atom to Bedside. Pharmaceutics 2021, 13, 599. [Google Scholar] [CrossRef]
- Ahenkorah, S.; Murce, E.; Cawthorne, C.; Ketchemen, J.P.; Deroose, C.M.; Cardinaels, T.; Seimbille, Y.; Fonge, H.; Gsell, W.; Bormans, G.; et al. 3p-C-NETA: A versatile and effective chelator for development of Al18F-labeled and therapeutic radiopharmaceuticals. Theranostics 2022, 12, 5971–5985. [Google Scholar] [CrossRef] [PubMed]
- Chong, H.-S.; Lim, S.; Baidoo, K.E.; Milenic, D.E.; Ma, X.; Jia, F.; Song, H.A.; Brechbiel, M.W.; Lewis, M.R. Synthesis and biological evaluation of a novel decadentate ligand DEPA. Bioorg. Med. Chem. Lett. 2008, 18, 5792–5795. [Google Scholar] [CrossRef] [PubMed]
- A Song, H.; Kang, C.S.; Baidoo, K.E.; Milenic, D.E.; Chen, Y.; Dai, A.; Brechbiel, M.W.; Chong, H.-S. Efficient Bifunctional Decadentate Ligand 3p-C-DEPA for Targeted α-Radioimmunotherapy Applications. Bioconjug. Chem. 2011, 22, 1128–1135. [Google Scholar] [CrossRef] [PubMed]
- Kelly, J.M.; Amor-Coarasa, A.; Nikolopoulou, A.; Kim, D.; Williams, C.; Vallabhajosula, S.; Babich, J.W. Assessment of PSMA targeting ligands bearing novel chelates with application to theranostics: Stability and complexation kinetics of 68Ga3+, 111In3+, 177Lu3+ and 225Ac3+. Nucl. Med. Biol. 2017, 55, 38–46. [Google Scholar] [CrossRef]
- Sun, X.; Kang, C.S.; Sin, I.; Zhang, S.; Ren, S.; Wang, H.; Liu, D.; Lewis, M.R.; Chong, H.-S. New Bifunctional Chelator 3p-C-NEPA for Potential Applications in Lu(III) and Y(III) Radionuclide Therapy and Imaging. ACS Omega 2020, 5, 28615–28620. [Google Scholar] [CrossRef]
- Wu, N.; Kang, C.S.; Sin, I.; Ren, S.; Liu, D.; Ruthengael, V.C.; Lewis, M.R.; Chong, H.-S. Promising Bifunctional Chelators for Copper 64-PET imaging: Practical 64Cu Radiolabeling and High In Vitro and In Vivo Complex Stability. J. Biol. Inorg. Chem. 2015, 21, 177. [Google Scholar] [CrossRef]
- De Silva, R.A.; Jain, S.; Lears, K.A.; Chong, H.S.; Kang, C.S.; Sun, X.; Rogers, B.E. Copper-64 radiolabeling and biological evaluation of bifunctional chelators for radiopharmaceutical development. Nucl. Med. Biol. 2012, 39, 1099–1104. [Google Scholar] [CrossRef]
- Chong, H.-S.; Chen, Y.; Kang, C.S.; Sin, I.; Zhang, S.; Wang, H. Pyridine-containing octadentate ligand NE3TA-PY for formation of neutral complex with 177Lu(III) and 90Y(III) for radiopharmaceutical applications: Synthesis, DFT calculation, radiolabeling, and in vitro complex stability. J. Inorg. Biochem. 2021, 221, 111436. [Google Scholar] [CrossRef]
- Gai, Y.; Sun, L.; Hui, W.; Ouyang, Q.; Anderson, C.J.; Xiang, G.; Ma, X.; Zeng, D. New Bifunctional Chelator p-SCN-PhPr-NE3TA for Copper-64: Synthesis, Peptidomimetic Conjugation, Radiolabeling, and Evaluation for PET Imaging. Inorg. Chem. 2016, 55, 6892–6901. [Google Scholar] [CrossRef] [PubMed]
- Chong, H.S.; Song, H.A.; Birch, N.; Le, T.; Lim, S.; Ma, X. Efficient synthesis and evaluation of bimodal ligand NETA. Bioorg. Med. Chem. Lett. 2008, 18, 3436–3439. [Google Scholar] [CrossRef] [PubMed]
- Kang, C.S.; Song, H.A.; Milenic, D.E.; Baidoo, K.E.; Brechbiel, M.W.; Chong, H.S. Preclinical evaluation of NETA-based bifunctional ligand for radioimmunotherapy applications using 212Bi and 213Bi: Radiolabeling, serum stability, and biodistribution and tumor uptake studies. Nucl. Med. Biol. 2013, 40, 600–605. [Google Scholar] [CrossRef] [PubMed]
- Kang, C.S.; Chen, Y.; Lee, H.; Liu, D.; Sun, X.; Kweon, J.; Lewis, M.R.; Chong, H.-S. Synthesis and evaluation of a new bifunctional NETA chelate for molecular targeted radiotherapy using(90)Y or(177)Lu. Nucl. Med. Biol. 2015, 42, 242–249. [Google Scholar] [CrossRef]
- Cassells, I.; Ahenkorah, S.; Burgoyne, A.R.; Van de Voorde, M.; Deroose, C.M.; Cardinaels, T.; Bormans, G.; Ooms, M.; Cleeren, F. Radiolabeling of Human Serum Albumin with Terbium-161 Using Mild Conditions and Evaluation of in vivo Stability. Front. Med. 2021, 8, 1359. [Google Scholar] [CrossRef]
- Lapi, S.E.; Scott, P.J.H.; Scott, A.M.; Windhorst, A.D.; Zeglis, B.M.; Abdel-Wahab, M.; Baum, R.P.; Buatti, J.M.; Giammarile, F.; Kiess, A.P.; et al. Recent advances and impending challenges for the radiopharmaceutical sciences in oncology. Lancet Oncol. 2024, 25, e236–e249. [Google Scholar] [CrossRef]
- Al-Ibraheem, A.; Brink, A.; Lee, S.T.; Reyes, A.D.L.; Paez, D.; Craviolatti, P.S.; Llamas-Olier, A.; Giammarile, F.; Abdlkadir, A.S.; Estrada-Lobato, E.; et al. Implementation of Radiotheranostics: Challenges, Barriers, and IAEA-Driven Strategies for Sustainable Access. Semin. Nucl. Med. 2025, 55, 1032–1044. [Google Scholar] [CrossRef]
- Blei, M.K.; Waurick, L.; Reissig, F.; Kopka, K.; Stumpf, T.; Drobot, B.; Kretzschmar, J.; Mamat, C. Equilibrium Thermodynamics of Macropa Complexes with Selected Metal Isotopes of Radiopharmaceutical Interest. Inorg. Chem. 2023, 62, 20699–20709. [Google Scholar] [CrossRef]






Disclaimer/Publisher’s Note: The statements, opinions and data contained in all publications are solely those of the individual author(s) and contributor(s) and not of MDPI and/or the editor(s). MDPI and/or the editor(s) disclaim responsibility for any injury to people or property resulting from any ideas, methods, instructions or products referred to in the content. |
© 2025 by the authors. Licensee MDPI, Basel, Switzerland. This article is an open access article distributed under the terms and conditions of the Creative Commons Attribution (CC BY) license (https://creativecommons.org/licenses/by/4.0/).
Share and Cite
Ahenkorah, S.; Ramdhani, D. A Cursory Gaze at Solitary Radiopharmaceutical Chelators Incorporating Macrocyclic and Acyclic Moieties. Pharmaceutics 2025, 17, 1508. https://doi.org/10.3390/pharmaceutics17121508
Ahenkorah S, Ramdhani D. A Cursory Gaze at Solitary Radiopharmaceutical Chelators Incorporating Macrocyclic and Acyclic Moieties. Pharmaceutics. 2025; 17(12):1508. https://doi.org/10.3390/pharmaceutics17121508
Chicago/Turabian StyleAhenkorah, Stephen, and Danni Ramdhani. 2025. "A Cursory Gaze at Solitary Radiopharmaceutical Chelators Incorporating Macrocyclic and Acyclic Moieties" Pharmaceutics 17, no. 12: 1508. https://doi.org/10.3390/pharmaceutics17121508
APA StyleAhenkorah, S., & Ramdhani, D. (2025). A Cursory Gaze at Solitary Radiopharmaceutical Chelators Incorporating Macrocyclic and Acyclic Moieties. Pharmaceutics, 17(12), 1508. https://doi.org/10.3390/pharmaceutics17121508

