Tethered Aryl Groups Increase the Activity of Anti-Proliferative Thieno[2,3-b]Pyridines by Targeting a Lipophilic Region in the Active Site of PI-PLC
Abstract
:1. Introduction
2. Materials and Methods
2.1. Synthesis of the Compounds
2.2. Cell Proliferation Assay
2.3. Molecular Modelling
3. Results and Discussion
3.1. Synthesis of N-Phenylethyl Thieno[2,3-b]Naphthyridine Derivatives (Series 1)
3.2. Anti-Proliferative Activity of Series 1
3.3. Synthesis of α,β-Unsaturated-Ketone Containing Thienopyridine Derivatives (Series 2)
3.4. Anti-Proliferative Activity of Series 2
3.5. Synthesis of Saturated Ketone-Containing Thienopyridine Derivatives (Series 3)
3.6. Anti-Proliferative Activity of Series 3
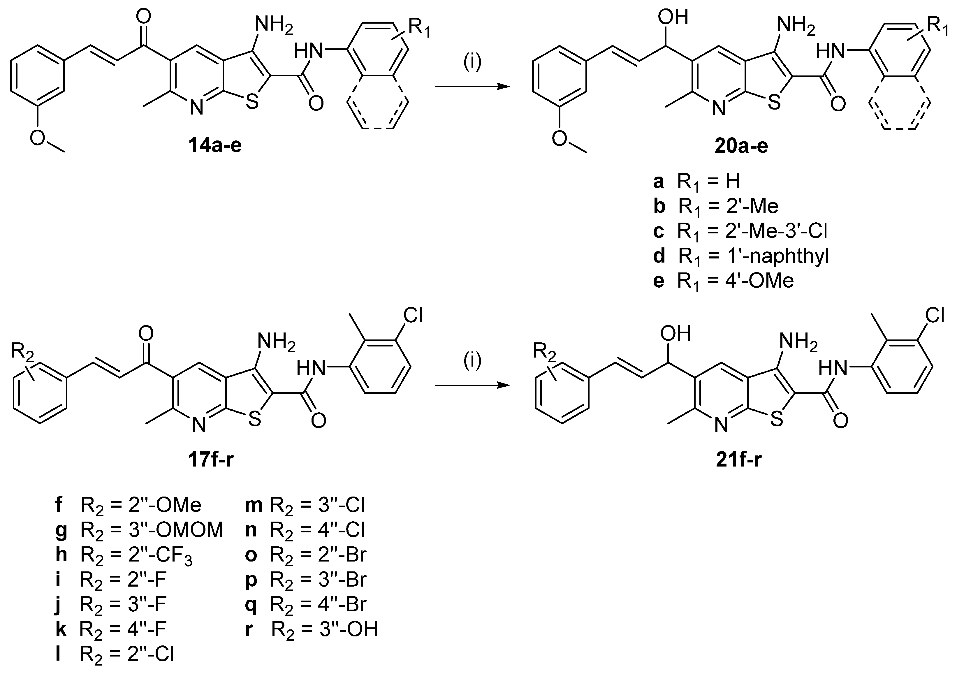
3.7. Synthesis of Allylic Alcohol Containing Thienopyridine Derivatives (Series 4)
3.8. Anti-Proliferative Activity of Series 4
3.9. Molecular Modelling Study
4. Conclusions
Supplementary Materials
Author Contributions
Funding
Institutional Review Board Statement
Informed Consent Statement
Data Availability Statement
Acknowledgments
Conflicts of Interest
References
- Reynisson, J.; Court, W.; O’Neill, C.; Day, J.; Patterson, L.; McDonald, E.; Workman, P.; Katan, M.; Eccles, S.A. The identi-fication of novel PLC-γ inhibitors using virtual high throughput screening. Bioorg. Med. Chem. 2009, 17, 3169–3176. [Google Scholar] [CrossRef] [PubMed]
- Arabshahi, H.J.; van Rensburg, M.; Pilkington, L.I.; Jeon, C.Y.; Song, M.; Gridel, L.-M.; Leung, E.; Barker, D.; Vuica-Ross, M.; Volcho, K.P.; et al. A synthesis, in silico, in vitro and in vivo study of thieno[2,3-b]pyridine anticancer analogues. MedChemComm 2015, 6, 1987–1997. [Google Scholar] [CrossRef]
- Leung, E.; Hung, J.M.; Barker, D.; Reynisson, J. The effect of a thieno[2,3-b]pyridine PLC-γ inhibitor on the proliferation, morphology, migration and cell cycle of breast cancer cells. MedChemComm 2014, 5, 99–106. [Google Scholar] [CrossRef]
- Leung, E.; Pilkington, L.I.; van Rensburg, M.; Jeon, C.Y.; Song, M.; Arabshahi, H.J.; De Zoysa, G.H.; Sarojini, V.; Denny, W.A.; Reynisson, J.; et al. Synthesis and cytotoxicity of thieno[2,3-b]quinoline-2-carboxamide and cycloal-kyl[b]thieno[3,2-e]pyridine-2-carboxamide derivatives. Bioorg. Med. Chem. 2016, 24, 1142–1154. [Google Scholar] [CrossRef]
- Sala, G.; Dituri, F.; Raimondi, C.; Previdi, S.; Maffucci, T.; Mazzoletti, M.; Rossi, C.; Iezzi, M.; Lattanzio, R.; Piantelli, M.; et al. Phospholipase Cγ1 Is Required for Metastasis Development and Progression. Cancer Res. 2008, 68, 10187–10196. [Google Scholar] [CrossRef] [Green Version]
- Reynisson, J.; Barker, D.; Jaiswal, J.K.; Denny, W.A.; Baguley, B.C.; D’Mello, S.A.N.; Leung, E.Y. Evidence that phos-pholipase C is involved in the antitumour action of NSC768313, a new thieno[2,3-b]pyridine derivative. Cancer Cell Int. 2016, 16, 18. [Google Scholar] [CrossRef] [Green Version]
- Leung, E.; Patel, J.; Hollywood, J.A.; Zafar, A.; Tomek, P.; Barker, D.; Pilkington, L.I.; van Rensburg, M.; Langley, R.J.; Helsby, N.A.; et al. Validating TDP1 as an Inhibition Target for the Development of Chemosensitizers for Camptothecin-Based Chemotherapy Drugs. Oncol. Ther. 2021, 9, 541–556. [Google Scholar] [CrossRef]
- Arabshahi, H.J.; Leung, E.; Barker, D.; Reynisson, J. The development of thieno[2,3-b]pyridine analogues as anticancer agents applying in silico methods. MedChemComm 2014, 5, 186–191. [Google Scholar] [CrossRef]
- Zafar, A.; Sari, S.; Leung, E.; Pilkington, L.I.; Van Rensburg, M.; Barker, D.; Reynisson, J. GPCR Modulation of Thieno[2,3-b]pyridine Anti-Proliferative Agents. Molecules 2017, 22, 2254. [Google Scholar] [CrossRef] [Green Version]
- Eurtivong, C.; Semenov, V.; Semenova, M.; Konyushkin, L.; Atamanenko, O.; Reynisson, J.; Kiselyov, A. 3-Amino-thieno[2,3-b]pyridines as microtubule-destabilising agents: Molecular modelling and biological evaluation in the sea urchin embryo and human cancer cells. Bioorg. Med. Chem. 2017, 25, 658–664. [Google Scholar] [CrossRef]
- Romagnoli, R.; Baraldi, P.G.; Salvador, M.K.; Preti, D.; Tabrizi, M.A.; Bassetto, M.; Brancale, A.; Hamel, E.; Castagliuolo, I.; Bortolozzi, R.; et al. Synthesis and Biological Evaluation of 2-(Alkoxycarbonyl)-3-Anilinobenzo[b]thiophenes and Thieno[2,3-b]pyridines as New Potent Anticancer Agents. J. Med. Chem. 2013, 56, 2606–2618. [Google Scholar] [CrossRef] [Green Version]
- Katritch, V.; Jaakola, V.-P.; Lane, J.R.; Lin, J.; Ijzerman, A.P.; Yeager, M.; Kufareva, I.; Stevens, R.C.; Abagyan, R. Structure-Based Discovery of Novel Chemotypes for Adenosine A2A Receptor Antagonists. J. Med. Chem. 2010, 53, 1799–1809. [Google Scholar] [CrossRef] [Green Version]
- Binsaleh, N.K.; Wigley, C.A.; Whitehead, K.A.; van Rensburg, M.; Reynisson, J.; Pilkington, L.I.; Barker, D.; Jones, S.; Dempsey-Hibbert, N.C. Thieno[2,3-b]pyridine derivatives are potent anti-platelet drugs, inhibiting platelet activation, aggregation and showing synergy with aspirin. Eur. J. Med. Chem. 2018, 143, 1997–2004. [Google Scholar] [CrossRef] [Green Version]
- Elsherif, M.A. Antibacterial evaluation and molecular properties of pyrazolo[3,4-b] pyridines and thieno[2,3-b]pyridines. J. Appl. Pharm. Sci. 2021, 11, 118–124. [Google Scholar]
- Ibrahim, O.F.; Bakhite, E.A.; Metwally, S.A.M.; El-Ossaily, Y.A.; Abdu-Allah, H.H.M.; Al-Taifi, E.A.; Kandel, M. Synthesis, Characterization, and Antifungal Activity of Some New Thieno[2,3-b]pyridines Incorporating Quinazoline or Ben-zimidazole Moiety. Russ. J. Bioorg. Chem. 2021, 47, 918–928. [Google Scholar] [CrossRef]
- Al-Trawneh, S.A.; Tarawneh, A.H.; Gadetskaya, A.V.; Seo, E.-J.; Al-Ta’Ani, M.R.; Al-Taweel, S.A.; El-Abadelah, M.M. Synthesis and Cytotoxicity of Thieno[2,3-b]Pyridine Derivatives Toward Sensitive and Multidrug-Resistant Leukemia Cells. Acta Chim. Slov. 2021, 68, 458–465. [Google Scholar] [CrossRef]
- Haverkate, N.A.; van Rensburg, M.; Kumara, S.; Reynisson, J.; Leung, E.; Pilkington, L.I.; Barker, D. Improving the solubility of anti-proliferative thieno[2,3-b]quinoline-2-carboxamides. Bioorganic Med. Chem. 2021, 37, 116092. [Google Scholar] [CrossRef] [PubMed]
- van Rensburg, M.; Leung, E.; Haverkate, N.A.; Eurtivong, C.; Pilkington, L.I.; Reynisson, J.; Barker, D. Synthesis and antiproliferative activity of 2-chlorophenyl carboxamide thienopyridines. Bioorg. Med. Chem. Lett. 2017, 27, 135–138. [Google Scholar] [CrossRef]
- Zafar, A.; Pilkington, L.I.; Haverkate, N.A.; Van Rensburg, M.; Leung, E.; Kumara, S.; Denny, W.A.; Barker, D.; Alsuraifi, A.; Hoskins, C.; et al. Investigation into Improving the Aqueous Solubility of the Thieno[2,3-b]pyridine Anti-Proliferative Agents. Molecules 2018, 23, 145. [Google Scholar] [CrossRef] [Green Version]
- Barker, D.; Pilkington, L.; Haverkate, N.; Van Rensburg, M.; Reynisson, J.; Leung, E. Synthesis of 3-Amino-2-carboxamide Tetrahydropyrrolo[2,3-b]quinolines. Synlett 2016, 27, 2811–2814. [Google Scholar] [CrossRef] [Green Version]
- Haverkate, N.A. Synthesis and Investigation of Anti-proliferative Thieno[2,3-b]pyridine Derivatives with Enhanced Solubility. Master’s Thesis, University of Auckland, Auckland, New Zealand, 2017. [Google Scholar]
- Hung, J.M.; Arabshahi, H.J.; Leung, E.; Reynisson, J.; Barker, D. Synthesis and cytotoxicity of thieno[2,3-b]pyridine and furo[2,3-b]pyridine derivatives. Eur. J. Med. Chem. 2014, 86, 420–437. [Google Scholar] [CrossRef] [PubMed]
- Jackson, P.A.; Widen, J.C.; Harki, D.A.; Brummond, K.M. Covalent Modifiers: A Chemical Perspective on the Reactivity of α,β-Unsaturated Carbonyls with Thiols via Hetero-Michael Addition Reactions. J. Med. Chem. 2017, 60, 839–885. [Google Scholar] [CrossRef] [PubMed]










| Mean Relative Growth of 1 μM in Cancer Cell Line (%) | ||
|---|---|---|
| HCT-116 | MDA-MB-231 | |
| Positive control a | 3.5 | 7.2 |
| Negative control | 100 | 100 |
| 5a | 81.7 | 82.6 |
| 5b | 91.2 | 85.4 |
| 5c | 86.9 | 73.7 |
| 5d | 88.9 | 99.0 |
| 5e | 94.0 | 99.0 |
| Mean Relative Growth of Cancer Cell Line in 1 μM Solution of Compound (%) | IC50 (nM) | |||
|---|---|---|---|---|
| HCT-116 | MDA-MB-231 | HCT-116 | MDA-MB-231 | |
| Positive control a | 3.5 | 7.2 | ||
| Negative control | 100 | 100 | ||
| 10a | 39.9 | 19.0 | 507 | 315 |
| 10b | 74.2 | 46.4 | ||
| 10c | 2.0 | 2.3 | 391 | 403 |
| 10d | 28.6 | 13.5 | 687 | 646 |
| 10e | 78.8 | 41.4 | ||
| 11a | 46.0 | 45.4 | ||
| 11b | 65.8 | 76.7 | ||
| 11c | 3.0 | 5.8 | 154 | 182 |
| 11d | 2.0 | 43.1 | 79 | 762 |
| 11e | 99.2 | 96.3 | ||
| 12a | 7.7 | 19.2 | ||
| 12b | 3.7 | 18.6 | ||
| 12c | 1.4 | 5.3 | ||
| 12d | 2.5 | 6.9 | ||
| 12e | 82.5 | 51.5 | ||
| 13a | 40.3 | 40.4 | ||
| 13b | 78.7 | 68.3 | ||
| 13c | 1.6 | 2.6 | 461 | 436 |
| 13d | 0.6 | 1.6 | 468 | 379 |
| 13e | 51.0 | 53.2 | ||
| 14a | 43.7 | 39.0 | ||
| 14b | 63.1 | 66.0 | ||
| 14c | 2.6 | 8.6 | 489 | 477 |
| 14d | 2.5 | 8.1 | 531 | 549 |
| 14e | 60.7 | 60.2 | ||
| 15a | 0.6 | 2.6 | ||
| 15b | 22.8 | 10.7 | ||
| 15c | 0.7 | 1.7 | ||
| 15d | 0.9 | 4.4 | ||
| 15e | 9.1 | 5.2 | ||
| 17f | 1.9 | 3.9 | 242 | 270 |
| 17g | 40.0 | 18.1 | ||
| 17h | 3.3 | 9.4 | 526 | 507 |
| 17i | 2.2 | 4.1 | 165 | 189 |
| 17j | 9.3 | 9.0 | 519 | 421 |
| 17k | 4.3 | 4.4 | 394 | 236 |
| 17l | 3.2 | 5.5 | 537 | 457 |
| 17m | 37.2 | 25.5 | ||
| 17n | 7.4 | 10.2 | 515 | 345 |
| 17o | 4.0 | 8.0 | 535 | 524 |
| 17p | 33.5 | 15.9 | ||
| 17q | 21.3 | 19.0 | 525 | 466 |
| 17r | 2.4 | 4.2 | 135 | 138 |
| 17s | 1.4 | 2.0 | 137 | 103 |
| Mean Relative Growth of Cancer Cell Line in 1 μM Solution of Compound (%) | IC50 nM (if Present) | |||
|---|---|---|---|---|
| HCT-116 | MDA-MB-231 | HCT-116 | MDA-MB-231 | |
| Positive control a | 3.5 | 7.2 | ||
| Negative control | 100 | 100 | ||
| 18a | 83.2 | 58.6 | ||
| 18b | 91.7 | 87.5 | ||
| 18c | 2.2 | 12.3 | ||
| 18e | 73.9 | 80.5 | ||
| 19f | 10.5 | 12.8 | 968 | 949 |
| 19g | 3.6 | 16.3 | ||
| 19h | 32.8 | 33.4 | ||
| 19i | 4.4 | 8.3 | 124 | 158 |
| 19j | 2.7 | 14.5 | 506 | 564 |
| 19k | 10.0 | 13.9 | 739 | 336 |
| 19l | 5.6 | 13.1 | 393 | 431 |
| 19m | 17.3 | 23.8 | 628 | 717 |
| 19n | 46.2 | 31.6 | ||
| 19o | 1.2 | 6.1 | 442 | 518 |
| Mean Relative Growth of Cancer Cell Line in 1 μM Solution of Compound (%) | IC50 nM (if Present) | |||
|---|---|---|---|---|
| HCT-116 | MDA-MB-231 | HCT-116 | MDA-MB-231 | |
| Positive control a | 3.5 | 7.2 | ||
| Negative control | 100 | 100 | ||
| 20a | 5.6 | 4.8 | 407 | 440 |
| 20b | 8.4 | 8.0 | 501 | 626 |
| 20c | 3.5 | 3.5 | 228 | 341 |
| 20d | 2.5 | 2.7 | 231 | 400 |
| 20e | 92.2 | 84.1 | ||
| 21f | 1.6 | 3.9 | 55 | 92 |
| 21g | 0.4 | 3.9 | 47 | 109 |
| 21h | 1.6 | 4.2 | 128 | 141 |
| 21i | 1.1 | 2.9 | 32 | 36 |
| 21j | 1.8 | 4.5 | 50 | 104 |
| 21k | 2.2 | 4.1 | 94 | 131 |
| 21l | 1.6 | 3.7 | 136 | 140 |
| 21m | 1.9 | 5.7 | 130 | 181 |
| 21n | 2.2 | 4.9 | 137 | 168 |
| 21o | 1.2 | 3.3 | 114 | 138 |
| 21p | 3.0 | 12.4 | 156 | 223 |
| 21q | 2.2 | 5.4 | 146 | 317 |
| 21r | 0.4 | 3.5 | 25 | 51 |
Publisher’s Note: MDPI stays neutral with regard to jurisdictional claims in published maps and institutional affiliations. |
© 2021 by the authors. Licensee MDPI, Basel, Switzerland. This article is an open access article distributed under the terms and conditions of the Creative Commons Attribution (CC BY) license (https://creativecommons.org/licenses/by/4.0/).
Share and Cite
Haverkate, N.A.; Leung, E.; Pilkington, L.I.; Barker, D. Tethered Aryl Groups Increase the Activity of Anti-Proliferative Thieno[2,3-b]Pyridines by Targeting a Lipophilic Region in the Active Site of PI-PLC. Pharmaceutics 2021, 13, 2020. https://doi.org/10.3390/pharmaceutics13122020
Haverkate NA, Leung E, Pilkington LI, Barker D. Tethered Aryl Groups Increase the Activity of Anti-Proliferative Thieno[2,3-b]Pyridines by Targeting a Lipophilic Region in the Active Site of PI-PLC. Pharmaceutics. 2021; 13(12):2020. https://doi.org/10.3390/pharmaceutics13122020
Chicago/Turabian StyleHaverkate, Natalie A., Euphemia Leung, Lisa I. Pilkington, and David Barker. 2021. "Tethered Aryl Groups Increase the Activity of Anti-Proliferative Thieno[2,3-b]Pyridines by Targeting a Lipophilic Region in the Active Site of PI-PLC" Pharmaceutics 13, no. 12: 2020. https://doi.org/10.3390/pharmaceutics13122020
APA StyleHaverkate, N. A., Leung, E., Pilkington, L. I., & Barker, D. (2021). Tethered Aryl Groups Increase the Activity of Anti-Proliferative Thieno[2,3-b]Pyridines by Targeting a Lipophilic Region in the Active Site of PI-PLC. Pharmaceutics, 13(12), 2020. https://doi.org/10.3390/pharmaceutics13122020

