Toward Sustainable Cultivation of Pinus occidentalis Swartz in Haiti: Effects of Alternative Growing Media and Containers on Seedling Growth and Foliar Chemistry
Abstract
1. Introduction
2. Materials and Methods
2.1. Experimental Design
2.2. Sampling
2.3. Statistical Analysis
3. Results
3.1. Media Characterization
3.2. Seedling Morphology
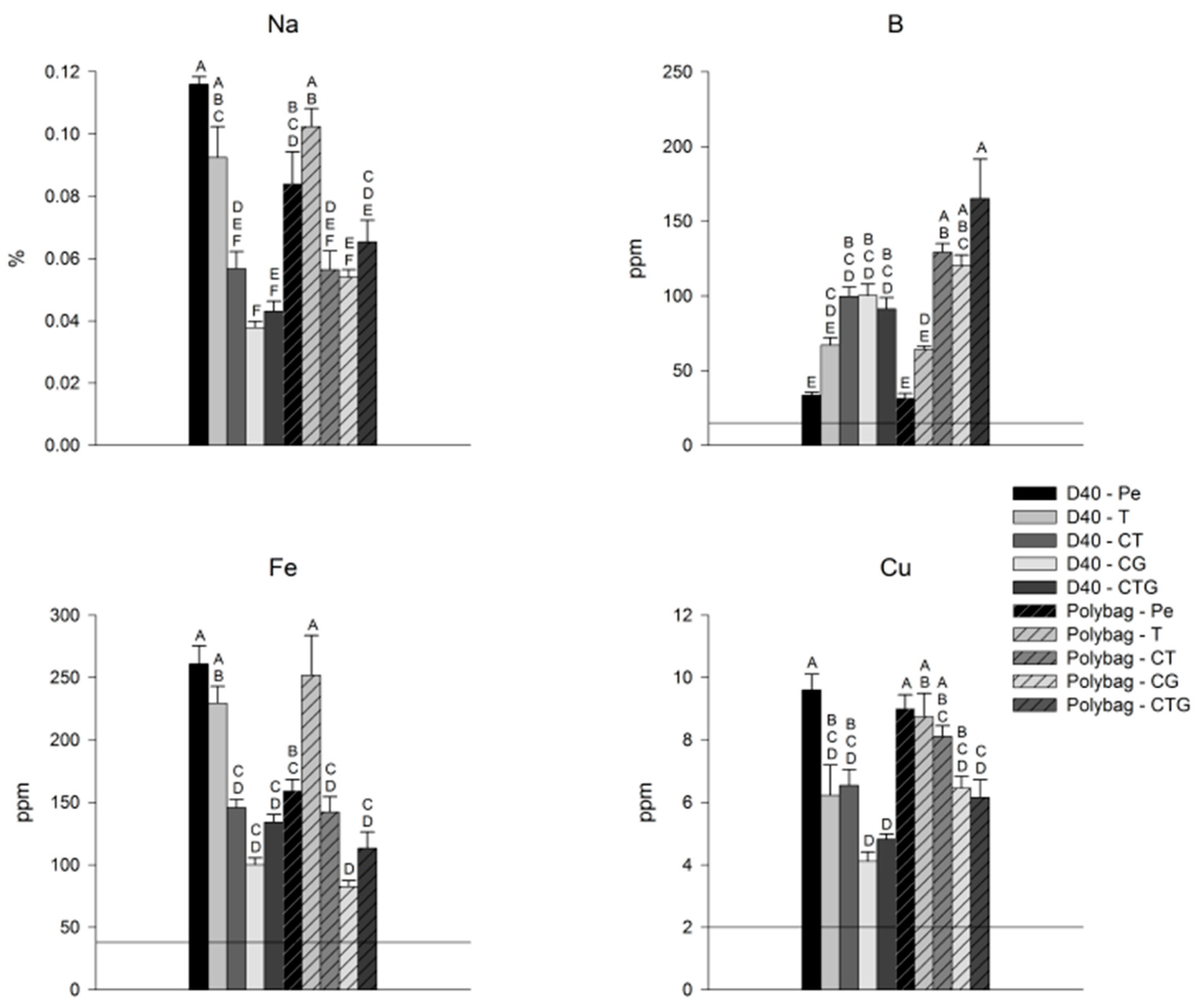
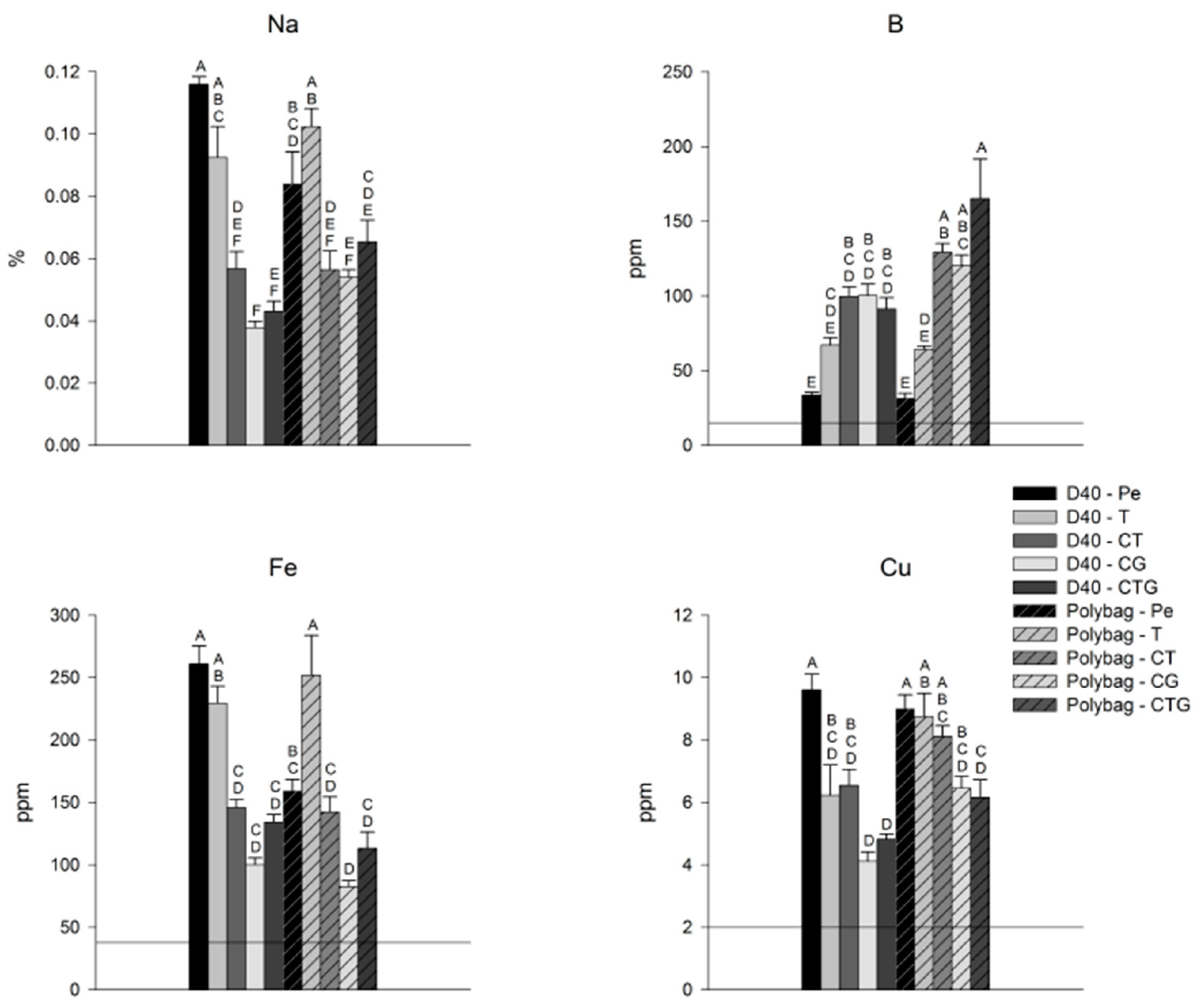
3.3. Foliar Chemistry
4. Discussion
5. Conclusions
Author Contributions
Funding
Acknowledgments
Conflicts of Interest
References
- Foxx, R.M. Te Terre a Fatige “The Earth is Tired”: Reversing Deforestation in Haiti. Behav. Interv. 2012, 108, 105–108. [Google Scholar] [CrossRef]
- Churches, C.E.; Wampler, P.J.; Sun, W.; Smith, A.J. Evaluation of forest cover estimates for Haiti using supervised classification of Landsat data. Int. J. Appl. Earth Obs. Geoinform. 2014, 30, 203–216. [Google Scholar] [CrossRef]
- Williams, V.J. A case study of the desertification of Haiti. J. Sustain. Dev. 2011, 4, 20–31. [Google Scholar] [CrossRef]
- Haase, D.L.; Davis, A.S. Developing and supporting quality nursery facilities and staff are necessary to meet global forest and landscape restoration needs. Reforesta 2017, 4, 69–93. [Google Scholar]
- Jacobs, D.F.; Landis, T.D.; Luna, T. Chapter 5 Growing Media. In Nursery Manual for Native Plants: A Guide for Tribal Nurseries, Volume 1: Nursery Management, Agriculture Handbook 730; Dumroese, R.K., Luna, T., Landis, T.D., Eds.; U.S. Department of Agriculture, Forest Service: Washington, DC, USA, 2009; pp. 77–94. [Google Scholar]
- Grossnickle, S.C. Importance of root growth in overcoming planting stress. New For. 2005, 30, 273–294. [Google Scholar] [CrossRef]
- Haase, D.L.; Landis, T.D.; Dumroese, R.K. Chapter 17 Outplanting. In Tropical Nursery Manual: A Guide to Starting and Operating a Nursery for Native and Traditional Plants, Agriculture Handbook 732; Wilkinson, K.M., Landis, T.D., Haase, D.L., Daley, B.F., Dumroese, R.K., Eds.; U.S. Department of Agriculture, Forest Service: Washington, DC, USA, 2014; pp. 312–337. [Google Scholar]
- Mattsson, A. Predicting field performance using seedling quality assessment. New For. 1997, 13, 223–248. [Google Scholar] [CrossRef]
- Davis, A.S.; Jacobs, D.F. Quantifying root system quality of nursery seedlings and relationship to outplanting performance. New For. 2005, 30, 295–311. [Google Scholar] [CrossRef]
- Mexal, J.; Rangel, R.C.; Landis, T. Reforestation success in Central Mexico: Factors determining survival and early growth. Tree Plant. Notes 2008, 53, 16–22. [Google Scholar]
- Liegel, L.H.; Venator, C.R. A Technical Guide for Forest Nursery Management in the Caribbean and Latin America; General Technical Report. SO-67; U.S. Department of Agriculture, Forest Service, Southern Forest Experiment Station: New Orleans, LA, USA, 1987; 156p.
- Landis, T.D.; Morgan, N. Growing Media Alternatives for Forest and Native Plant Nurseries. In National Proceedings: Forest and Conservation Nursery Associations—2008, RMRS-P-58; Dumroese, R.K., Riley, L.E., Eds.; U.S. Department of Agriculture, Forest Service, Rocky Mountain Research Station: Fort Collins, CO, USA, 2009; pp. 26–31. [Google Scholar]
- Wolken, J.M.; Landhäusser, S.M.; Lieffers, V.J.; Dyck, M.F. Differences in initial root development and soil conditions affect establishment of trembling aspen and balsam poplar seedlings. Botany 2010, 88, 275–285. [Google Scholar] [CrossRef]
- Mexal, J. Forest Nursery Activities in Mexico. In National Proceedings: Forest and Conservation Nursery Associations—1996, PNW-GTR-389; Landis, T.D., South, D.B., Eds.; U.S. Department of Agriculture, Forest Service, Pacific Northwest Research Station: Portland, OR, USA, 1997; pp. 228–232. [Google Scholar]
- Akpo, E.; Stomph, T.J.; Kossou, D.K.; Omore, A.O.; Struik, P.C. Effects of nursery management practices on morphological quality attributes of tree seedlings at planting: The case of oil palm (Elaeis guineensis Jacq.). For. Ecol. Manag. 2014, 324, 28–36. [Google Scholar] [CrossRef]
- Landis, T.D. Improving Polybag Culture for Sustainable Nurseries. For. Nurs. Notes 1995, 6–8. [Google Scholar]
- Landis, T.D.; Jacobs, D.F.; Wilkinson, K.M.; Luna, T. Chapter 6 Growing Media. In Tropical Nursery Manual: A Guide to Starting and Operating A Nursery for Native and Traditional Plants, Agriculture Handbook 732; Wilkinson, K.M., Landis, T.D., Haase, D.L., Daley, B.F., Dumroese, R.K., Eds.; U.S. Department of Agriculture, Forest Service: Washington, DC, USA, 2014; pp. 100–121. [Google Scholar]
- Lazcano, C.; Sampedro, L.; Zas, R.; Domínguez, J. Vermicompost enhances germination of the maritime pine (Pinus pinaster ait.). New For. 2010, 39, 387–400. [Google Scholar] [CrossRef]
- Mañas, P.; Castro, E.; Vila, P.; Heras, J. Use of waste materials as nursery growing media for Pinus halepensis production. Eur. J. For. Res. 2010, 129, 521–530. [Google Scholar] [CrossRef]
- Avramidou, P.; Evangelou, A.; Komilis, D. Use of municipal solid waste compost as a growth media for an energy plant (rapeseed). J. Environ. Manag. 2013, 121, 152–159. [Google Scholar] [CrossRef] [PubMed]
- Preneta, N.; Kramer, S.; Magloire, B.; Noel, J.M. Thermophilic co-composting of human wastes in Haiti. J. Water Sanit. Hyg. Dev. 2013, 3, 649–654. [Google Scholar] [CrossRef]
- Budy, J.D.; Miller, E.L. Survival, Growth, and Root Form of Containerized Jeffrey Pines Ten Years after Outplanting. In The Challenge of Producing Native Plants for the Intermountain Area, General Technical Report INT-168, Proceedings of the Intermountain Nurseryman’s Association, Las Vegas, NV, USA, 8–11 August 1983; Murphy, P.M., Ed.; U.S. Department of Agriculture, Forest Service, Intermountain Forest and Range Experiment Station: Ogden, UT, USA, 1984; pp. 82–88. [Google Scholar]
- Amoroso, G.; Frangi, P.; Piatti, R.; Ferrini, F.; Fini, A.; Faoro, M. Effect of container design on plant growth and root deformation of littleleaf linden and field elm. HortScience 2010, 45, 1824–1829. [Google Scholar]
- Aphalo, P.; Rikala, R. Field performance of silver-birch planting-stock grown at different spacing and in containers of different volume. New For. 2003, 25, 93–108. [Google Scholar] [CrossRef]
- Aldrete, A.; Mexal, J.G. Chemical Root Pruning of Conifer Seedlings in Mexico. In National Proceedings: Forest and Conservation Nursery Associations—1999, 2000, 2001, RMRS-P-24; Dumroese, R.K., Riley, L.E., Landis, T.D., Eds.; U.S. Department of Agriculture, Forest Service, Rocky Mountain Research Station: Ogden, UT, USA, 2002; pp. 160–164. [Google Scholar]
- Landis, T.D. Chapter 1 Containers: Types and Functions. In The Container Tree Nursery Manual—Volume 2—Containers and Growing Media, Agricultural Handbook 674; Landis, T.D., Tinus, R.W., McDonald, S.E., Barnett, J.P., Eds.; U.S. Department of Agriculture, Forest Service: Washington, DC, USA, 1990; pp. 1–39. [Google Scholar]
- Khurram, S.; Burney, O.T.; Morrissey, R.C.; Jacobs, D.F. Bottles to trees: Plastic beverage bottles as an alternative nursery growing container for reforestation in developing countries. PLoS ONE 2017, 12, e0177904. [Google Scholar] [CrossRef] [PubMed]
- Darrow, K.; Zanoni, T. Hispaniolan pine (Pinus occidentalis Swartz) a little known subtropical pine of economic potential. Commonw. For. Rev. 1990, 69, 133–146. [Google Scholar]
- Kennedy, L.; Horn, S. Postfire Vegetation Recovery in Highland Pine Forests of the Dominican Republic. Biotropica 2008, 40, 412–421. [Google Scholar] [CrossRef]
- Landis, T.D. Chapter 2 Growing Media. In The Container Tree Nursery Manual—Volume 2—Containers and Growing Media, Agricultural Handbook 674; Landis, T.D., Tinus, R.W., McDonald, S.E., Barnett, J.P., Eds.; U.S. Department of Agriculture, Forest Service: Washington, DC, USA, 1990; pp. 41–86. [Google Scholar]
- Dumroese, R.K.; Montville, M.E.; Pinto, J.R. Using container weights to determine irrigation needs: A simple method. Native Plants J. 2015, 16, 67–71. [Google Scholar] [CrossRef]
- Burdett, A.N. A nondestructive method for measuring the volume of intact plant parts. Can. J. For. 1979, 9, 120–122. [Google Scholar] [CrossRef]
- Warnke, D. Chapter 13 Recommended Test Procedures for Greenhouse Growth Media. In Recommended Soil Testing Procedures for the Northeastern United States, Northeastern Regional Publication No. 493, 3rd ed.; Agricultural Experiment Station, University of Delaware: Newark, DE, USA, 2009; pp. 103–110. [Google Scholar]
- Doran, J.W.; Parkin, T.B. Quantitative Indicators of Soil Quality: A Minimum Data Set. In Methods for Assessing Soil Quality; Soil Science Society of America: Madison, WI, USA, 1996; pp. 25–37. [Google Scholar]
- Klute, A. Chapter 26 Water Retention: Laboratory Methods. In Methods of Soil Analysis: Part 1—Physical and Mineralogical Methods; Soil Science Society of America, American Society of Agronomy: Madiosn, WI, USA, 1986; pp. 635–662. [Google Scholar]
- Dominguez-Lerena, S.; Sierra, N.H.; Manzano, I.C.; Bueno, L.O.; Rubira, J.P.; Mexal, J.G. Container characteristics influence Pinus pinea seedling development in the nursery and field. For. Ecol. Manag. 2006, 221, 63–71. [Google Scholar] [CrossRef]
- Pinto, J.R.; Marshall, J.D.; Dumroese, R.K.; Davis, A.S.; Cobos, D.R. Establishment and growth of container seedlings for reforestation: A function of stocktype and edaphic conditions. For. Ecol. Manag. 2011, 261, 1876–1884. [Google Scholar] [CrossRef]
- Mokany, K.; Raison, R.J.; Prokushkin, A.S. Critical analysis of root: Shoot ratios in terrestrial biomes. Glob. Chang. Biol. 2006, 12, 84–96. [Google Scholar] [CrossRef]
- Pires, A.; Kay, B.D.; Perfect, E. Management versus inherent soil properties effects on bulk density and relative compaction. Soil Tillage Res. 1997, 44, 81–93. [Google Scholar]
- Tracy, S.; Black, C.; Roberts, J.; Mooney, S. Exploring the interacting effect of soil texture and bulk density on root system development in tomato (Solanum lycopersicum L.). Exp. Bot. 2013, 91, 38–47. [Google Scholar] [CrossRef]
- Brady, N.C.; Weil, R.R. Elements of the Nature and Properties of Soils, 2nd ed.; Pearson Prentice-Hall: Upper Saddle River, NJ, USA, 2004; 606p, ISBN 13-978-0130480385. [Google Scholar]
- Davey, C.B. Nursery Soil Management-Organic Amendments. In National Proceedings: Forest and Conservation Nursery Associations—1996, PNW-GTR-389; Landis, T.D., South, D.B., Eds.; U.S. Department of Agriculture, Forest Service, Pacific Northwest Research Station: Portland, OR, USA, 1997; pp. 6–18. [Google Scholar]
- Chirino, E.; Vilagrosa, A.; Vallejo, V.R. Using hydrogel and clay to improve the water status of seedlings for dryland restoration. Plant Soil 2011, 344, 99–110. [Google Scholar] [CrossRef]
- Landis, T.D. Mineral Nutrition as an Index of Seeedling Quality. In Proceedings: Evaluating Seedling Quality: Principles, Procedures, and Predictive Abilities of Major Tests, Corvallis, OR, USA, 16–18 October 1984; Duryea, M.L., Ed.; Forest Research Laboratory, Oregon State University: Corvallis, OR, USA, 1985; pp. 29–48. [Google Scholar]
- Peterson, J.C. Effects of pH upon nutrient availability in a commercial soilless root medium utilized for floral crop production. Ohio Agric. Res. Dev. Center Res. Cirucular 1982, 268, 16–19. [Google Scholar]
- Lombard, K.; O’Neill, M.; Heyduck, R.; Onken, B.L.; Ulery, A.; Mexal, J.; Unc, A. Composted biosolids as a source of iron for hybrid poplars (Populus sp.) grown in northwest New Mexico. Agrofor. Syst. 2010, 81, 45–56. [Google Scholar] [CrossRef]
- Selivanovskya, S.Y.; Latypova, V.Z. Effects of composted sewage sludge on microbial biomass, activity and pine seedlings in nursery forest. Waste Manag. 2006, 26, 1253–1258. [Google Scholar] [CrossRef] [PubMed]



| F Ratio (p Value) | Pe | T | CT | CG | CTG | |
|---|---|---|---|---|---|---|
| pH | 69.92 (<0.0001) | 5.16 (0.14) b | 5.50 (0.06) b | 6.98 (0.10) a | 7.16 (0.07) a | 7.00 (0.16) a |
| 196.52 (<0.0001) | 6.04 (0.06) c | 6.70 (0.03) b | 7.40 (0.03) a | 7.38 (0.06) a | 7.44 (0.02) a | |
| EC (mmho cm−1) | 5.17 (0.0050) | 0.10 (<0.01) b | 1.22 (0.29) ab | 1.05 (0.28) ab | 1.17 (0.14) ab | 2.11 (0.56) a |
| 80.38 (<0.0001) | 0.12 (<0.01) b | 0.16 (<0.01) b | 0.59 (0.04) a | 0.66 (0.04) a | 0.58 (0.02) a | |
| C (%) | 65.77 (<0.0001) | 29.45 (1.51) a | 12.52 (0.55) c | 19.25 (0.41) b | 18.36 (0.27) b | 16.35 (0.42) b |
| N (%) | 523.52 (<0.0001) | 0.48 (0.03) d | 0.42 (0.01) d | 1.75 (0.03) b | 1.97 (0.04) a | 1.54 (0.05) c |
| NO3− (ppm) | 3.58 (0.0233) | 1.2 (0.20) b | 184.0 (14.60) ab | 51.6 (28.61) ab | 56.0 (14.11) ab | 198.0 (97.36) a |
| 9.97 (0.0001) | 1.0 (<0.01) b | 1.0 (<0.01) b | 9.2 (3.48) a | 15.2 (1.62) a | 7.2 (1.80) ab | |
| P—H2PO4− (ppm) | 13.86 (<0.0001) | 3.52 (0.33) b | 3.38 (0.30) b | 31.86 (6.20) a | 37.94 (5.27) a | 27.16 (5.39) a |
| 49.08 (<0.0001) | 1.18 (0.02) b | 1.64 (0.07) b | 16.58 (0.69) a | 18.08 (2.00) a | 15.54 (1.67) a | |
| K+ (ppm) | 12.47 (<0.0001) | 13.0 (1.14) c | 82.8 (4.49) bc | 300.0 (71.64) ab | 351.6 (45.28) a | 551.8 (107.68) a |
| 36.45 (<0.0001) | 11.8 (0.20) b | 14.6 (0.40) b | 141.8 (14.74) a | 163.80 (18.11) a | 132.0 (14.04) a | |
| Ca2+ (ppm) | 7.48 (0.0007) | 3.4 (0.51) c | 110.8 (12.50) a | 45.6 (9.47) bc | 49.4 (2.46) abc | 86.8 (29.78) ab |
| 96.27 (<0.0001) | 7.2 (0.80) c | 22.4 (0.81) b | 42.2 (2.54) a | 38.4 (1.36) a | 38.4 (1.29) a | |
| Mg2+ (ppm) | 3.80 (0.0187) | 2.4 (0.24) b | 46.6 (4.77) a | 19.4 (5.44) ab | 18.2 (1.59) ab | 44.6 (20.40) a |
| 68.23 (<0.0001) | 3.8 (0.20) c | 7.0 (0.32) b | 16.4 (0.98) a | 17.2 (0.97) a | 17.6 (1.03) a | |
| Na+ (ppm) | 20.60 (<0.0001) | 22.4 (0.93) c | 295.0 (18.28) a | 112.6 (25.49) bc | 105.2 (9.00) bc | 191.6 (38.76) b |
| 20.79 (<0.0001) | 57.6 (0.93) b | 58.8 (0.80) b | 85.2 (5.95) a | 92.0 (4.49) a | 81.6 (1.83) a | |
| C:N | 3583.72 (<0.0001) | 61.60 (0.23) a | 29.74 (0.77) b | 11.02 (0.15) c | 9.34 (0.05) d | 10.60 (0.15) cd |
| HT (cm) | RCD (mm) | RV (cm3) | RDM (g) | SDM (g) | S:R | ||
|---|---|---|---|---|---|---|---|
| Container | D40s | 3.94 (0.05) b | 0.98 (0.01) b | 0.91 (0.03) | 0.13 (0.01) b | 0.13 (0.01) b | 1.13 (0.05) b |
| Polybags | 4.32 (0.07) a | 1.09 (0.02) a | 0.96 (0.04) | 0.14 (0.01) a | 0.18 (0.01) a | 1.58 (0.07) a | |
| Media | Pe | 3.80 (0.07) bc | 0.93 (0.02) b | 1.03 (0.04) b | 0.09 (0.01) b | 0.09 (0.01) bc | 1.32 (0.10) ab |
| T | 3.68 (0.07) c | 0.91 (0.02) b | 0.72 (0.03) c | 0.11 (0.01) b | 0.08 (0.01) c | 0.83 (0.04) b | |
| CT | 4.04 (0.10) b | 0.94 (0.03) b | 0.72 (0.04) c | 0.11 (0.01) b | 0.14 (0.01) b | 1.57 (0.08) ab | |
| CG | 4.92 (0.08) a | 1.40 (0.03) a | 1.56 (0.05) a | 0.27 (0.01) a | 0.33 (0.01) a | 1.35 (0.04) ab | |
| CTG | 4.24 (0.11) b | 1.02 (0.03) b | 0.61 (0.04) c | 0.12 (0.01) b | 0.15 (0.01) b | 1.72 (0.15) a | |
| Type III tests of fixed effects | F ratio (p value) | F ratio (p value) | F ratio (p value) | F ratio (p value) | F ratio (p value) | F ratio (p value) | |
| Container | 1/40 1 | 24.30 (<0.0001) | 26.19 (<0.0001) | 3.13 (0.0846) | 4.71 (0.0360) | 21.43 (<0.0001) | 8.87 (0.0049) |
| Media | 4/40 | 28.29 (<0.0001) | 48.99 (<0.0001) | 30.84 (<0.0001) | 48.26 (<0.0001) | 46.91 (<0.0001) | 3.24 (0.0215) |
| Media F Ratio (p Value) | Container F Ratio (p Value) | Media|Container F Ratio (p Value) | |
|---|---|---|---|
| N (%) | 5.06 (0.0019) | 14.57 (0.0004) | ns * |
| P (%) | 16.12 (<0.0001) | 2.70 (0.1076) | ns |
| K (%) | 9.90 (<0.0001) | 9.53 (0.0035) | ns |
| S (%) | 14.42 (<0.0001) | 14.64 (0.0004) | ns |
| Mg (%) | 26.40 (<0.0001) | 14.78 (0.0004) | ns |
| Ca (%) | 45.12 (<0.0001) | 5.61 (0.0223) | ns |
| Na (%) | 35.69 (<0.0001) | 0.70 (0.4081) | 6.37 (0.0005) |
| B (ppm) | 24.02 (<0.0001) | 10.46 (0.0025) | 3.79 (0.0106) |
| Zn (ppm) | 6.08 (0.0006) | 28.17 (<0.0001) | ns |
| Mn (ppm) | 210.98 (<0.0001) | 2.19 (0.1457) | ns |
| Fe (ppm) | 37.42 (<0.0001) | 7.41 (0.0096) | 5.36 (0.0015) |
| Cu (ppm) | 20.55 (<0.0001) | 19.04 (<0.0001) | 2.82 (0.0377) |
| Al (ppm) | 19.85 (<0.0001) | 0.20 (0.6607) | ns |
© 2018 by the authors. Licensee MDPI, Basel, Switzerland. This article is an open access article distributed under the terms and conditions of the Creative Commons Attribution (CC BY) license (http://creativecommons.org/licenses/by/4.0/).
Share and Cite
Hubbel, K.L.; Ross-Davis, A.L.; Pinto, J.R.; Burney, O.T.; Davis, A.S. Toward Sustainable Cultivation of Pinus occidentalis Swartz in Haiti: Effects of Alternative Growing Media and Containers on Seedling Growth and Foliar Chemistry. Forests 2018, 9, 422. https://doi.org/10.3390/f9070422
Hubbel KL, Ross-Davis AL, Pinto JR, Burney OT, Davis AS. Toward Sustainable Cultivation of Pinus occidentalis Swartz in Haiti: Effects of Alternative Growing Media and Containers on Seedling Growth and Foliar Chemistry. Forests. 2018; 9(7):422. https://doi.org/10.3390/f9070422
Chicago/Turabian StyleHubbel, Kyrstan L., Amy L. Ross-Davis, Jeremiah R. Pinto, Owen T. Burney, and Anthony S. Davis. 2018. "Toward Sustainable Cultivation of Pinus occidentalis Swartz in Haiti: Effects of Alternative Growing Media and Containers on Seedling Growth and Foliar Chemistry" Forests 9, no. 7: 422. https://doi.org/10.3390/f9070422
APA StyleHubbel, K. L., Ross-Davis, A. L., Pinto, J. R., Burney, O. T., & Davis, A. S. (2018). Toward Sustainable Cultivation of Pinus occidentalis Swartz in Haiti: Effects of Alternative Growing Media and Containers on Seedling Growth and Foliar Chemistry. Forests, 9(7), 422. https://doi.org/10.3390/f9070422

