Abstract
While thinnings immediately reduce aboveground biomass, they promote growth by releasing the remaining trees from competition. The biomass removed in thinnings can be used for energy, thus enabling financial returns prior to final harvest and contributing to the global share of renewable energies. In this study, the effects of thinning on stand structure dynamics and potential residential bioheat utilisation scenarios are assessed for a broadleaved mixed even-aged stand. The results demonstrate that ten years after thinning, aboveground biomass increased, ensuring system sustainability and carbon stocks. Furthermore, an average potential yield of 1.1 Mg·ha−1·a−1 (dry basis) of low-ash forest by-products was obtained, offering a sustainable supply of solid biofuels. However, the energy conversion route chosen has major impacts on the solid bioenergy demand and sustainability. Based on theoretical scenarios, upgrading from traditional fireplaces to more efficient combustion systems may reduce the specific biomass consumption up to eight times for residential heat production. The results obtained in this study highlight the challenge and need to use thinning biomass sustainably in the face of growing bioenergy demands.
1. Introduction
Thinning impacts on stand structure and its dynamics are of prime importance for forest systems’ sustainability. The main goal of thinning is concentrating growth on a set of trees with the most desirable production characteristics [1], increasing growing space and reducing competition, thus promoting growth [2]. It provides early financial return while increasing future merchantable volume and financial timber value [3]. The thinning method and intensity influence stand structure, as they determine which and how many trees are removed [4].
Thinning method and intensity depend on tree species and their traits, and on the existing and target stand structure. The proportion of individuals per species in the main stand influences individual tree growth, insofar as growth can be increased due to complementarity or decreased due to competition [4,5]. Thinning intensity determines growth rate increase and the duration of its effects over time [4], which in turn changes stand structure. The evaluation of stand structure dynamics is frequently carried out with three complementary measures: absolute density measures, structure indices and diversity indices. The first are a surrogate for the past competition among trees, enabling the evaluation of the dynamics of the productions and yields [5,6]. The second are proxies for the potential photosynthetic ability, growth, vigour and stability of trees [6]. The third quantifies the complexity of the horizontal and vertical spatial arrangement, which also influences the growth patterns due to the interaction between individual trees [7,8].
Thinnings result in residual biomass, a low-value by-product of forest management [9,10]. This may be larger dimension logs that cannot be used for timber, and/or smaller dimension residues or low-quality wood of no interest for the forest-based industry, often left on field or burned onsite. One possibility for the economic valorisation of this material, which is gaining increasing attention and enables forest producers to cover, at least partially, the costs of silvicultural practices, is its use as solid biofuel [11]. Thinning residues are potentially one important source of high quality biofuels [12,13].
A sustainable supply of forest residues could contribute to addressing one of the barriers to greater bioenergy uptake: the fact that biomass feedstock and security of supply are not always guaranteed [14,15,16]. The benefits of using forest biomass as a fuel are widely recognised [15,17]. It is a versatile renewable energy source with a wide range of uses. Currently, biomass is one of the only renewable energy sources used in some sectors, such as industry [18,19]. Additionally, it can easily be stored, thus constituting a dispatchable renewable energy source. Moreover, by promoting bioenergy, the transition from conventional to renewable energies is facilitated since biomass and fossil fuels frequently use the same distribution systems and conversion equipment (sometimes, as in co-firing, they are simultaneously used in the same equipment [20,21]).
Beyond its role as a renewable energy fuel, forest biomass can play an important role in regional energy systems and local markets, especially in forest-rich rural areas. Several studies indicate that the utilisation of locally available forest biomass may stimulate rural employment, value added, and local economic activity [22,23,24]. Furthermore, shortened and locally integrated supply chains reduce transportation distances, lowering both costs and greenhouse gas emissions associated with logistics [25,26]. Integrating forest biomass into existing heating and electricity systems at the regional scale may enhance energy security, support distributed energy production models, and may contribute to the economic viability of silvicultural interventions [22,24,25].
Sustainable forest management ensures that biomass harvesting for energy is done in a way that maintains the long-term productivity and health of forest ecosystems, prevents over-exploitation and minimises negative environmental impacts [5]. By utilising bioenergy from sustainably managed forests, societies can reduce reliance on fossil fuels and, at the same time, contribute to mitigating climate change by promoting tree growth and, thus, reducing the concentration of greenhouse gases in the atmosphere [17]. Monitoring is essential to ensure that thinning practices are achieving their intended objectives while maintaining forest stand resilience over time [27].
Several studies address bioenergy production from thinnings. Some evaluate the harvesting techniques used for thinning and their effects on wood products and productivity of the logistics operations (e.g., [11,28,29]). Others focus on the ecological impacts of thinnings (e.g., [30,31]), perform life cycle assessments and/or life cycle costing analyses of bioenergy production from residues (e.g., [32,33]). In many studies, the questions related to forest management and biomass yields are treated separately from detailed energetic analyses (e.g., [34,35,36,37,38,39]). When studies focus on biomass supply, and in the cases when energy is considered, biomass energy contents are often determined without integrating downstream conversion pathways in depth (e.g., [35,37,38]). Conversely, when studies address the question of forest biomass energy conversion, they frequently assume biomass yields without considering stand structure or silvicultural dynamics (e.g., [34,36,39]). As a result, end-to-end integration between biomass production and detailed energy conversion performance remains comparatively limited.
In Portugal, forest biomass plays a significant role in the energy mix, accounting for a significant share of the renewable energy consumption [40]. According to the National Forest Inventory [41], forests cover approximately 36% of the mainland territory, with broadleaved species like Quercus playing an important environmental role in the North and Centre regions. However, recurrent, severe wildfires and high fuel loads have reinforced the importance of forest fuel management as both risk mitigation strategies and a potential bioenergy source [42,43]. Despite a potential of 2.2 Mt·a−1 in total forest residues, of which 1 Mt·a−1 consists of branches and foliage [44], the mobilisation of forest residues is often constrained by structural limitations, including fragmented land ownership and many small private owners, low productivity or marginal profitability in some regions, and high harvesting and transportation costs, which are exacerbated by dispersed, low-density resources and insufficient logistics infrastructure [43,45,46,47].
This research presents a case study with an integrated analysis of biomass production and bioenergy use in the context of implementing a selective thinning of moderate intensity in a broadleaved mixed even-aged stand, wherein the removed biomass was sold as firewood. The central hypothesis posits that such thinning practices can lead to resilient stand structure, increased aboveground biomass and enhanced potential for utilising forest residues for bioenergy production. To address this hypothesis, the study first evaluates the dynamics of stand structure in a broadleaved mixed even-aged stand before and after thinning, utilising dendrometric variables, absolute density measures, structure indices and diversity indices. Furthermore, the assessment quantifies the biomass removed during thinning, encompassing stem and crown biomass, and evaluates its energy content and potential use in residential heating systems. The study also considers various energy conversion routes and their implications on solid bioenergy demand and sustainability. By integrating forest assessments with bioenergy utilisation analyses, the study aims to determine the sustainable supply of bioenergy from forest residues and address the growing demands for renewable energy sources. The specific questions addressed by this study include: (1) Does stand structure change with thinning? (2) Does thinning promote growth and increase yield? (3) Is the yield of residues extracted interesting enough for their use as fuelwood? (4) What is the impact of the choice of the energy conversion equipment on sustainability? Through this comprehensive investigation, the study seeks to provide insights into the intricate relationship between forest management practices, biomass production and bioenergy utilisation, ultimately contributing to a more sustainable and efficient utilisation of forest resources.
2. Materials and Methods
2.1. Study Area
The study area is located in a mixed even-aged stand of common oak (Quercus robur L.), red oak (Quercus rubra L.) and Iberian birch (Betula celtiberica Rothm and Vasc.) in Arcos de Valdevez, northern Portugal (central coordinates 41°49′52′′ N and 8°29′38′′ W). The stand was planted in the 1940s (1944–1946) and no silvicultural practices were carried out until 1998. Common oak and Iberian birch are native species while red oak is exotic. All are shade intolerant, though Quercus robur is able to tolerate more shading than the other two. The first is slow-growing and the latter two are fast-growing. The main product of oaks is timber, whilst Iberian birch can be used as an accessory species due to its non-circular tortuous stems [48]. Both oaks have broad crowns with weak epinastic control [8] while Iberian birch has conic-pyramidal crowns [49], indicating strong epinastic control.
2.2. Forest Inventory and Thinning
In 1994 three plots of about 1000 m2 were settled and surveyed. The second survey was done in 1998 before thinning, and the third in 2008. Thinning was done in 1998. In each plot, diameter at breast height (dbh, measured at 1.30 m aboveground level), total height (h), height of the beginning of the crown (hc) and crown radii (rmc) in the four cardinal directions were measured for all trees along with the evaluation of tree characteristics with Assmann tree classification [1]. The plots were classified for composition with the Gonçalves method [50] and for structure with diameter distributions with classes of 2.5 cm [6]. Biomass for the three species was calculated with Carvalho’s allometric functions at tree level [51]. Aboveground biomass per tree (wa, Equation (3)) is the sum of stem (ww, Equation (1)) and crown biomass (wc, Equation (2), where lc = h − hc is the crown length). The volume per tree (v) was calculated with the equation (Equation (4)) [41].
In 1998, in all the plots, a selective (Schädelin) thinning [52] was done, with the future trees selection [53]. The thinning intensity was moderate, with the removal of about 1/3 of the basal area. Thinning intensity took into consideration stand structure and the potential damages; it was considered that moderate intensity was better suited [4] for the sake of stand stability.
2.3. Stand Structure
Stand structure was evaluated with dendrometric variables per tree, absolute density measures, structure indices and diversity indices (Table 1). At tree level the distribution of diameter at breast height, total height, crown length, mean crown radii (arithmetic mean of the four crown radii measured, rm), volume and above ground biomass were evaluated. The absolute density measures used were number of trees (N, trees·ha−1), basal area (G, m2·ha−1), volume (V, m3·ha−1), aboveground biomass (Wa, Mg·ha−1), crown cover (CC, %) and mean quadratic diameter (dg, cm, which corresponds to the diameter of the tree with the mean basal area). The structure indices (Table 1) used were hd ratio (hd, dimensionless, [54]), linear crown ratio (lcr, %, [54]), crown ratio (cr, %, [54]), crown spread ratio (csr, dimensionless, [54]), linear crown index (lci, %, [54]) and crown thickness index (cfi, dimensionless, [54]). Three diversity indices at stand level were used (Table 1); Simpson [55], Shannon and Weaver [55], and P [56], for N, G, V and Wa. The analysis was done per stand, per species, and just before (1998b) and after (1998a) thinning and in 2008. For the calculations, all the trees in the plots in 1998 were considered before thinning (1998b) and those remaining after thinning (1998a). The analysis 10 years after thinning enabled the evaluation in time of the effect of selective thinning on the dynamics of stand structure, rather than the comparison with unthinned plots. For stand structure analysis descriptive statistics were used and presented as bar or boxplots. The analysis was implemented in R [57].
Table 1.
Structure and diversity indices (where dbh is the diameter at breast height; h height; lc crown length; dc crown diameter; is number of trees, basal area, above ground biomass and volume per species; total number of individuals, basal area, above ground biomass and volume; pi probability of an individual, basal area, above ground biomass or volume belonging to ith specie; pij the probability of an individual, basal area, above ground biomass or volume belonging to ith specie; and the jth height zone).
2.4. Biomass Conversion into Energy
At the harvest, all stem (WWr) and large branch (WCr) biomass was removed in thinning. The small branches and leaves, circa 15% of crown biomass, were left in the stand. The biomass removed in thinning was used as firewood. The energy content of the stem biomass and 85% of the crown biomass removed in thinning (ET,i, Equation (5)) was calculated for tree species i (mi is the mass of biomass removed and LHVi the lower heating value associated with species i).
The LHV for the three species were taken from the literature on a dry basis [58,59,60,61,62,63] and converted to a wet basis, considering a moisture content of 18% [64] (Table 2). Knowing the surveyed area and their age at thinning, the average yearly amount of biomass per area removed in thinning was determined.
Table 2.
Lower heating value of common and red oaks and Iberian birch.
When the biomass removed in silvicultural practices is used as fuel, not all of its energy content (ET) is converted to useful energy (Eu, Equation (6)); a part, which depends on the efficiency of the energy conversion system (η) used, is lost.
Since the biomass removed from the study area was sold as firewood for household heating, the analysis carried out in this study was focused on the residential sector. Other justifications for this choice are the fact that most biomass in Portugal and in the world is used in households [17], and the generally higher local value added of firewood obtained from thinnings compared, for example, with that of wood chips [66].
For the determination of the global efficiency of the energy conversion system, three different equipment categories were considered, covering a wide range of efficiencies: open fireplaces, stoves and small boilers. Representative efficiencies for this equipment (Table 3) were obtained from the literature [67,68,69,70,71,72,73,74,75,76,77]. However, significant variability exists within each category, particularly for stoves, whose efficiencies can range from approximately 40% to more than 80%, depending on the specific combustion technology [69,70,71,76]. Open fireplaces, the simplest equipment, are characteristic of older installations and are significantly less efficient than the other appliances [69]. While older enclosed stoves present higher efficiencies than open fireplaces, they remain relatively inefficient compared to modern designs [70]. Modern stoves present improved utilisation of secondary air and achieve higher efficiencies, with catalytic combustors generally outperforming non-catalytic models [78]. The highest efficiencies for lump wood combustion are generally obtained with boilers [71]. Small boilers used as residential heating systems provide energy to the entire dwelling, while both fireplaces and stoves are used as room heaters [76].
Table 3.
Input parameters and bioheat requirements for different biomass combustion equipment in a typical Portuguese dwelling.
The energy conversion efficiencies were assumed to be equal for all the wood types considered in this study because efficiency is primarily a function of the combustion equipment design and fuel moisture content, rather than the specific wood species [77,79]. Wood species mainly influence ash content and detailed emission profiles, with smaller effects on overall efficiency when the appliance and moisture content are held constant [79]. Since all wood types were assumed to be seasoned to a similar moisture level for the same equipment, a constant efficiency value was applied to the three species for each scenario.
The bioheat demand of a household with 106.4 m2 floor area (average area of a Portuguese dwelling [80]) located near the stand was calculated. For the scenarios involving fireplaces or stoves, a single room with 30 m2 was considered. The specific heating load of the building was assumed to be 60 W·m−2, representing a dwelling with poor insulation. This value was selected from the Building Heating Chart in RETScreen Expert [81]. The software determined the annual heating demand using the heating degree-days method, based on the cumulative difference between 18 °C and the mean outdoor temperature. The climate data for Arcos de Valdevez was retrieved from NASA’s Prediction of Worldwide Energy Resources (POWER) database [82], which indicates an average annual temperature of 13.1 °C and total heating degree-days (below 18 °C) of 2096 °C·d. The resulting specific annual heating demands were slightly higher than 100 kWh·m−2, which is consistent with the fact that 80% of the building stock in Portugal has annual nominal heating needs higher than 100 kWh·m−2 [83].
3. Results and Discussion
3.1. Thinning Impacts on Stand Structure Dynamics
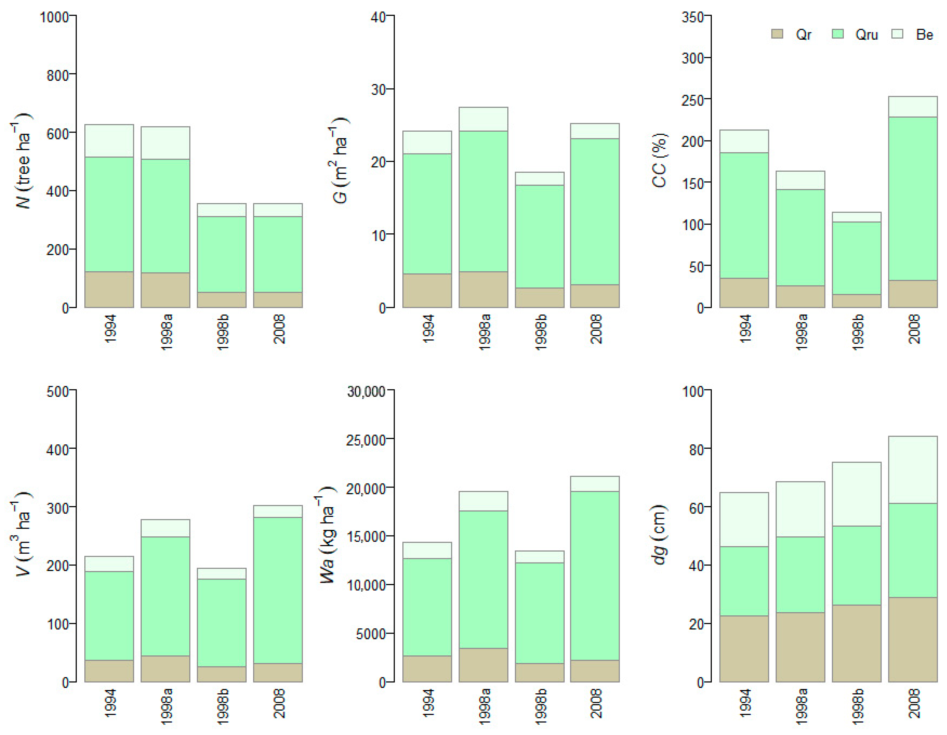
The species with the highest share is Quercus rubra (Qru), followed by Quercus robur (Qr), while Betula celtiberica (Be) has the smallest proportion. This is observed for all density measures considered (N, G, V, Wa, CC) and all surveys. The dg is higher for Qru than for the other two species (Figure 1).
Figure 1.
Number of trees (N), basal area (G), crown cover (CC), volume (V), above ground biomass (Wa) and mean quadratic diameter (dg) per species, and survey (where “b” denotes before thinning and “a” after thinning).
The stand structure dynamics prior to thinning (from 1994 to 1998) revealed a modest increase in G (13%), V (30%) and Wa (36%) at stand (Figure 1), tree and species level (Figure 2). Inversely, N (−1%) and CC (−23%) decreased considerably (Figure 1). Crown closure originated crown regression, denoted by the decrease in lc between the two surveys, and the decrease in crown horizontal expansion as observed by the reduction in rm (Figure 2). This can be explained by the strong competition between individuals [8], especially for light, as all species are shade intolerant [48], and by branch abrasion [8]. In fact, from the first to the second survey, self-thinning [1] had already began, with natural mortality.
Figure 2.
Boxplots of diameter at breast height (dbh), height (h), mean crown radii (rm) and crown length (lc) at tree level per survey for all species and per species (where “b” denotes before thinning and “a” after thinning).
Thinning in 1998 resulted in the reduction in all absolute density measures whether per stand or per species, except dg, which had a slight increase for all species (Figure 1). The median and the range of dbh, h, v, wa, rm and lc at tree and species level showed a slight reduction (Figure 2 and Figure 3). Selective thinning is characterised by the selection of future trees and, as trees can be selected in all social positions, the changes in the distribution and range of dbh and h tend to be small [4]. The small reduction in the variable values is, at least partially, explained by the species’ shade intolerance [48,49], resulting in more future trees located at the upper social positions.
Figure 3.
Boxplots of volume (v), above ground biomass (wa) at tree level per survey for all species and per species (where “b” denotes before thinning and “a” after thinning).
From 1998 after thinning to 2008 there was a large increase in G (36%), V (56%), Wa (56%), CC (122%) and dg (12%) for per stand and species (the highest increases for V and Wa, >44%, followed by G and dg). At tree level, both per stand and per species, the overall trend was the increase in the variability (range and median) of the aforementioned variables. In general, in 2008 all variables were higher than in 1998 prior to thinning, except basal area (Figure 1, Figure 2 and Figure 3). From 1994 to 2008 there was a decrease in N (−43%) and an increase in G (4%), V (41%), Wa (47%), CC (9%) and dg (29%).
The thinning in 1998 released growing space, and trees reacted, increasing their growth rates in dbh, h, rm and to a lesser extent in lc. The increase in growing space and reduction in competition among individuals resulted in the increase in tree growth [2,84], especially that of the future trees [52]. Growth is promoted when direct sunlight reaches the crown, increasing photosynthesis and stem diameter and crown volume (width and length) growth [8]. Of importance to crown expansion is also the epinastic control. Species with weak epinastic control form broader crowns than those with strong one [2,8]. Crown radii had higher increases for oaks than for birch, which is probably due to the weaker epinastic control of the oaks than that of the birch [85].
The hd > 85 for all surveys is indicative of low stability, and hd > 100 indicative of high instability [52,86]. Thinning with moderate intensity decreased slightly both hd median and range (Figure 4). Also, generally, Qr had a lower median hd and range than Qru and Be. The high hd’s are a consequence of stand structure and species traits (in particular shade tolerance). In dense stands, trees grow predominantly in height rather than in diameter, resulting in high hd [52,86]. The moderate thinning intensity took into consideration the hd prior to thinning (in 1994 and 1998), as, with a heavy intensity, the stand might be prone to damage by wind [8,52].
Figure 4.
Boxplot of hd ratio (hd), linear crown diameter (lcr), crown ratio (cr), crown spread ratio (csr), linear crown index (lci) and crown thickness index (cfi) at tree level per survey for all species and per species (where “b” denotes before thinning and “a” after thinning).
The median of cr, csr and lci showed a decreasing pattern per species, from 1994 to 1998 (Figure 4). In 1998 thinning had no effect on the median of the three structure indices but showed a reduction for cr, csr, and for lci per stand and species. From 1998 after thinning to 2008, the median of cr remained approximately constant, increased for the oaks and decreased slightly for Be. The median of csr and lci increased per stand and species. The cfi maintained the median per stand and species from 1994 to 2008.
Despite the differences between species, cr ≥ 30% for most trees is indicative of good growth and vigour. Yet, cr > 50% indicates poor stability [8,87], corroborating the analysis of hd and reflecting past competition [86,88]. It seems that, 10 years after thinning, trees were not able, in general, to increase lc in relation to h to achieve stability. Also, cr tends to be lower in even-aged stands than in uneven-aged stands [89], as in the former, competition occurs predominantly in the horizontal plane [5].
In general, csr < 0.5, is indicative of instability. Some trees had csr < 0.3, indicating they were very unstable [90]. Crown diameter increase was promoted by thinning deriving, in all species, in csr > 0.3, and for some individuals csr ≥ 0.5, which is indicative of stability.
Overall, lci > 22, whether per stand or species, which denotes a balanced ratio of crown to stem diameters, i.e., trees of good potential photosynthetic ability [91]. Its decrease from 1994 to 1998 was related to crown closure, after which trees continue to grow in diameter but crown growth is very limited or null, as neighbours constrain the crown lateral expansion [8,91]. Inversely, between 1998 and 2008, thinning released aerial growing space which allowed crown lateral expansion, thus increasing lci [91]. The cfi was, in general, between 0.6 and 1.0, and increased after thinning, indicating well-balanced crowns [8].
The species proportion, in N, G, V and Wa and their dynamics in time are reflected in the D and H indices. Overall, D increases in time, reflecting the decrease in Qru and Be proportion (Table 4) and denoting a decrease in diversity. A similar trend but descending was observed for H. The variation in D and H was related to tree removal in 1998, but also to G, V and Wa variability per species. Qr had a larger increase in G after thinning than Qru and Be, thus altering the species proportions, resulting in the decrease in diversity. This is in conformity with other studies which refer that the inequality of the frequencies originates the decrease in diversity [92]. The two diversity indices attained the same value for V and Wa indicating that their proportions did not change over time.
Table 4.
Simpson (D), Shannon and Weaver (H), and P indices for the number of trees (N), basal area (G), volume (V) and above ground biomass (Wa) (where “b” denotes before thinning and “a” after thinning).
P index showed an increasing trend from 1994 to 2008, but decreased after thinning, and recovered in 2008 (surpassing or being equal to that of 1994). It shows some height differentiation, indicating that species occupy different social positions in the canopy. Large inequality between height zones, whether in N, G or Wa, indicates lower vertical diversity [5].
3.2. Thinning Contribution to the Share of Renewable Energies
Table 5 shows the amount of total (War), stem (WWr) and crown (WCr) biomass removed from the surveyed area in thinning, energy content of these residues (ET) and useful energy (Eu) obtained in representative residential heating systems. The latter is presented as a range, reflecting the variability of heating systems installed in households. The lower limit corresponds to inefficient equipment (open fireplace) and the upper limit to an efficient appliance (small wood log boiler).
Table 5.
Amount of biomass of residues that were removed from the plots as a result of thinning and its energy content.
A total of 17.794 Mg d.b. of biomass was removed from the study area, more than half from Qru, which was the species with the highest Wa. As expected, most of the biomass removed in thinning corresponded to stem biomass (88%). The total firewood removed from the study area corresponds to an energy content of around 320 GJ (Table 5). If this firewood was burned in an open fireplace to heat a 30 m2 room, it would satisfy the heating demand of three households for a year, while if it was used in a woodstove it would supply 19 dwellings. These two types of equipment are typically used for heating the space within which they are located and are not able to provide the heat necessary to keep the rest of the household with a uniform temperature [76]. The use of the biomass obtained in the study area in a small boiler installed for generation of energy for the central heating system would be able to supply six households for one year.
It should be remembered that the amount of residual biomass reported in Table 5 was only harvested in the three plots settled in a stand (around 0.3 ha). In absolute values, it is, therefore, a small amount of biomass. The objective of the study is not to determine the potential of residual biomass in the Arcos de Valdevez region, but to discuss the effects of thinning on the stand structure, to quantify the energy content of the harvested residues and to highlight the impact of the choice of conversion technology on the amount of useful energy obtained.
The above theoretical examples illustrate the strong influence of energy system efficiency on the useful energy obtained from thinning residues. The study focused on the use of the biomass removed in thinning for residential heating. However, this is not the only possible conversion route. Forest biomass is versatile and suitable for many conversion technologies and energy end uses [65]. Forest residues can directly be used for heat and/or power production or can be transformed into upgraded solid biofuels or liquid or gaseous biofuels [18,65,93]. The maximisation of the environmental benefits of bioenergy should be taken into account in the choice of the bioenergy conversion route, even though this is not the only factor to consider. As the results of Lu [32] indicate, environmental and energy return seem to be maximised and costs minimised when forest biomass is used with the least possible processing.
Although the present study did not quantify atmospheric emissions, the choice of conversion technology has important environmental implications. Residential firewood combustion is recognised as a relevant source of local and regional air pollution (especially particles and hydrocarbons) [94,95]. Emissions levels vary substantially depending on fuel, combustion technologies and equipment maintenance and operation [72], with open fireplaces generally associated with higher emissions [71] and small boilers operating with pellets presenting lower emissions [96]. Therefore, in addition to differences in energy efficiency demonstrated in this study, the selection of more efficient combustion systems may also contribute to reducing local air pollution impacts.
As an indication of the yield that can be obtained from similar mixed even-aged broadleaved stands, the sum of the biomass of the three species removed in thinning in the study area was converted to an area and yearly average (Table 6). On average, in the study area, and for the three tree species, 56.78 Mg d.b.·ha−1 of residual biomass was removed in thinning, corresponding to 1.07 Mg d.b.·ha−1·a−1. The significance of this stand-level bioenergy potential increases when thinning residues are integrated with wood fuel supply from other stands within a broader territorial framework, as the aggregated resource can substantially raise the share of renewable energy used locally [22,97,98]. If similar interventions were implemented across comparable stands, the resulting biomass supply could provide meaningful contribution to decentralised, biomass-fired heating systems at the municipal scale [97,98]. Previous studies show that locally mobilised forest biomass can strengthen regional energy systems by reducing dependence on external fuel imports and supporting rural value chains and local economic activity (e.g., [22,25]). In this context, integrating thinning residues into local heat markets may contribute to shorter supply chains, which effectively reduce logistic costs and greenhouse gas emissions associated with long-distance transport [23,26]. Consequently, the present results illustrate how stand-level management decisions may have broader implications for the regional energy transition and local market resilience.
Table 6.
Amount of biomass of residues per area and per year and area that were extracted in thinning.
The removal of residues from the stands also carries risks that should be minimised. The effects of thinning on soil depend on the maintenance or not of the residues in the stand. If they are kept in the stand, biomass and carbon are added through soil organic matter. If the whole tree is removed, all its biomass is exported. Yet, when the residues richer in nutrients (leaves and small branches), as well as the root systems, are kept in the stand, the nutrient and carbon stocks tend to be maintained. Therefore, the parts of the trees rich in minerals (and water) should be left on the stands [5]. The mineral elements contained in wood are the main components of the ashes resulting from combustion. They do not increase the energy content of wood, but some elements contribute to ash fouling and slagging, corrosion and pollution [99,100]. As for water, the higher the moisture content, the lower the heating value of the biofuel and the lower the efficiency of the energy conversion [101].
4. Conclusions
The results of this study demonstrate the positive impact of selective thinning of moderate intensity on a broadleaved mixed even-aged stand in Portugal. Although the changes in stand structure and diversity were small, thinning generally promoted growth and showed a trend towards tree and stand increase in stability in contrast to maintaining or increasing diversity. Furthermore, aboveground biomass increased considerably a decade post-thinning, while the potential for utilising forest residues for bioenergy production was enhanced.
These findings highlight the importance of sustainable forest management practices in promoting growth, ensuring system sustainability, and contributing to the global share of renewable energies. By assessing the energy potential of forest thinning residues and exploring various energy conversion routes for household heating, the study highlights the importance of balancing energy demands and environmental sustainability when evaluating bioenergy options. According to the energy scenarios considered in this study, modern boilers may require substantially lower biomass input per unit of useful heat produced when compared to traditional fireplaces. These results are based on efficiency values reported in the literature and illustrate how conversion technology strongly influences the effective energy yield of thinning residues. From a broader perspective, the results indicate that the effective contribution of thinning residues to renewable energy supply depends strongly on the conversion pathway, which may be relevant for policy discussions concerning bioenergy deployment.
Author Contributions
Conceptualization, methodology, formal analysis, investigation, data curation, writing—original draft preparation, writing—review and editing, A.C.G. and I.M. All authors have read and agreed to the published version of the manuscript.
Funding
This work is funded by National Funds through FCT—Foundation for Science and Technology under the Project with MED UIDB/05183 https://doi.org/10.54499/UID/05183/2025) and CHANGE https://doi.org/10.54499/LA/P/0121/2020) and via the project LAETA Base Funding (https://doi.org/10.54499/UID/50022/2025).
Data Availability Statement
Dataset available on request from the authors.
Conflicts of Interest
The authors declare no conflicts of interest.
Abbreviations
The following abbreviations are used in this manuscript:
| a.r. | as received |
| Be | Betula celtiberica |
| CC | crown cover (%) |
| cfi | crown thickness index (dimensionless) |
| cr | crown ratio (%) |
| csr | crown spread ratio (dimensionless) |
| D | Simpson index |
| d.b. | dry basis |
| dbh | tree diameter at breast height, measured at 1.30 m aboveground level (cm) |
| dc | crown diameter (m) |
| dg | mean quadratic diameter (cm) |
| ET | biomass energy content (J) |
| ET,i | energy content of the stem biomass and 85% of the crown biomass removed in thinning for species i (J) |
| Eu | useful energy (J) |
| G | basal area per hectare (m2·ha−1) |
| H | Shannon and Weaver index |
| h | total tree height (m) |
| hc | height of the beginning of the crown (m) |
| hd | hd ratio (dimensionless) |
| lc | crown length(m) |
| lci | linear crown index (%) |
| lcr | linear crown ratio (%) |
| LHVi | lower heating value for species i (J·kg−1) |
| mi | mass of biomass removed in thinning for species i (kg) |
| N | number of trees per hectare (trees·ha−1) |
| P | P index |
| Qr | Quercus robur |
| Qru | Quercus rubra |
| rm | mean crown radii (m) |
| rmc | tree crown radii measured in four cardinal directions (m) |
| v | volume of a tree (m3) |
| V | tree volume per hectare (m3·ha−1) |
| Wa | aboveground biomass per hectare (Mg·ha1) |
| wa | aboveground biomass per tree (kg) |
| WCr | residual crown biomass (kg) |
| wc | crown biomass per tree (kg) |
| WWr | residual stem biomass (kg) |
| ww | stem biomass per tree (kg) |
| η | efficiency of the energy conversion system (dimensionless) |
References
- Assmann, E. The Principles of Forest Yield Study; Pergamon Press: Oxford, UK, 1970. [Google Scholar]
- Bose, A.K.; Weiskittel, A.; Kuehne, C.; Wagner, R.G.; Turnblom, E.; Burkhart, H.E. Does Commercial Thinning Improve Stand-Level Growth of the Three Most Commercially Important Softwood Forest Types in North America? For. Ecol. Manag. 2018, 409, 683–693. [Google Scholar] [CrossRef]
- Niemistö, P.; Kilpeläinen, H.; Poutiainen, E. Effect of First Thinning Type and Age on Growth, Stem Quality and Financial Performance of a Scots Pine Stand in Finland. Silva Fenn. 2018, 52, 7816. [Google Scholar] [CrossRef]
- Gonçalves, A.C. Thinning: An Overview. In Silviculture; Gonçalves, A.C., Ed.; IntechOpen: London, UK, 2021; pp. 41–58. ISBN 978-1-83968-448-7. [Google Scholar]
- Gonçalves, A.C. Stand Structure and Biomass. In Forest Bioenergy; Gonçalves, A.C., Malico, I., Eds.; Green Energy and Technology; Springer International Publishing: Cham, Switzerland, 2024; pp. 53–90. ISBN 978-3-031-48223-6. [Google Scholar]
- Gonçalves, A.C. Effects of Forest Stand Structure in Biomass and Carbon. In Forest Biomass and Carbon; Shukla, G., Chakravarty, S., Eds.; InTech: Rijeka, Croatia, 2018; pp. 1–21. ISBN 978-1-78984-361-3. [Google Scholar]
- Gadow, K.V.; Zhang, C.Y.; Wehenkel, C.; Pommerening, A.; Corral-Rivas, J.; Korol, M.; Myklush, S.; Hui, G.Y.; Kiviste, A.; Zhao, X.H. Forest Structure and Diversity. In Continuous Cover Forestry; Pukkala, T., von Gadow, K., Eds.; Springer: Dordrecht, The Netherlands, 2012; Volume 23, pp. 29–83. ISBN 978-94-007-2201-9. [Google Scholar]
- Oliver, C.D.; Larson, B.C. Forest Stand Dynamics; Update Edition; John Wiley & Sons, Inc.: New York, NY, USA, 1996. [Google Scholar]
- Buchholz, T.; Keeton, W.S.; Gunn, J.S. Economics of Integrated Harvests with Biomass for Energy in Non-Industrial Forests in the Northeastern US Forest. For. Policy Econ. 2019, 109, 102023. [Google Scholar] [CrossRef]
- Underhill, I.D.; Gilbert, B.P.; Bailleres, H.; McGavin, R.L.; Patterson, D. Structural Veneer Based Composite Products from Hardwood Thinning–Part I: Background and Manufacturing. In Materials and Joints in Timber Structures; Springer: Dordrecht, The Netherlands, 2014; pp. 577–588. [Google Scholar]
- Bergström, D.; Nordfjell, T.; Bergsten, U. Compression Processing and Load Compression of Young Scots Pine and Birch Trees in Thinnings for Bioenergy. Int. J. For. Eng. 2010, 21, 31–39. [Google Scholar] [CrossRef]
- Lazdiņš, A.; Kalēja, S.; Gruduls, K.; Bārdulis, A. Theoretical Evaluation of Wood for Bioenergy Resources in Pre-Commercial Thinning in Latvia. For. Wood Process. 2013, 2, 42–48. [Google Scholar]
- Berndes, G.; Hoogwijk, M.; van den Broek, R. The Contribution of Biomass in the Future Global Energy Supply: A Review of 17 Studies. Biomass Bioenergy 2003, 25, 1–28. [Google Scholar] [CrossRef]
- Cross, S.; Welfle, A.J.; Thornley, P.; Syri, S.; Mikaelsson, M. Bioenergy Development in the UK & Nordic Countries: A Comparison of Effectiveness of Support Policies for Sustainable Development of the Bioenergy Sector. Biomass Bioenergy 2021, 144, 105887. [Google Scholar] [CrossRef]
- Galik, C.S.; Benedum, M.E.; Kauffman, M.; Becker, D.R. Opportunities and Barriers to Forest Biomass Energy: A Case Study of Four U.S. States. Biomass Bioenergy 2021, 148, 106035. [Google Scholar] [CrossRef]
- Zahraee, S.M.; Shiwakoti, N.; Stasinopoulos, P. Biomass Supply Chain Environmental and Socio-Economic Analysis: 40-Years Comprehensive Review of Methods, Decision Issues, Sustainability Challenges, and the Way Forward. Biomass Bioenergy 2020, 142, 105777. [Google Scholar] [CrossRef]
- Malico, I.; Gonçalves, A.C. Introduction to Forest Bioenergy. In Forest Bioenergy; Gonçalves, A.C., Malico, I., Eds.; Green Energy and Technology; Springer International Publishing: Cham, Switzerland, 2024; pp. 1–24. ISBN 978-3-031-48223-6. [Google Scholar]
- Mandova, H.; Leduc, S.; Wang, C.; Wetterlund, E.; Patrizio, P.; Gale, W.; Kraxner, F. Possibilities for CO2 Emission Reduction Using Biomass in European Integrated Steel Plants. Biomass Bioenergy 2018, 115, 231–243. [Google Scholar] [CrossRef]
- Malico, I. Biomass for Industrial and District Heating. In Forest Bioenergy: From Wood Production to Energy Use; Gonçalves, A.C., Malico, I., Eds.; Green Energy and Technology; Springer International Publishing: Cham, Switzerland, 2024; pp. 235–269. ISBN 978-3-031-48223-6. [Google Scholar]
- Roni, M.S.; Chowdhury, S.; Mamun, S.; Marufuzzaman, M.; Lein, W.; Johnson, S. Biomass Co-Firing Technology with Policies, Challenges, and Opportunities: A Global Review. Renew. Sustain. Energy Rev. 2017, 78, 1089–1101. [Google Scholar] [CrossRef]
- Malico, I. Biomass for Power Production and Cogeneration. In Forest Bioenergy: From Wood Production to Energy Use; Gonçalves, A.C., Malico, I., Eds.; Green Energy and Technology; Springer International Publishing: Cham, Switzerland, 2024; pp. 271–291. ISBN 978-3-031-48223-6. [Google Scholar]
- Dudek, T. The Impacts of the Energy Potential of Forest Biomass on the Local Market: An Example of South-Eastern Poland. Energies 2020, 13, 4985. [Google Scholar] [CrossRef]
- Zhang, X.; Wang, J.; Strager, M.P. Industrial Development and Economic Impacts of Forest Biomass for Bioenergy: A Data-Driven Holistic Analysis Framework. Resour. Conserv. Recycl. 2022, 182, 106296. [Google Scholar] [CrossRef]
- Pokharel, R.; Poudel, J.; Dahal, R.; Gc, S. Forest Biomass Feedstock Availability and Economic Contribution of Biopower Facilities in the Lake States Region. J. For. 2023, 121, 393–407. [Google Scholar] [CrossRef]
- Spinelli, R.; Pari, L.; Magagnotti, N. New Biomass Products, Small-Scale Plants and Vertical Integration as Opportunities for Rural Development. Biomass Bioenergy 2018, 115, 244–252. [Google Scholar] [CrossRef]
- Nunes, L.J.R.; Casau, M.; Dias, M.F.; Matias, J.C.O.; Teixeira, L.C. Agroforest Woody Residual Biomass-to-Energy Supply Chain Analysis: Feasible and Sustainable Renewable Resource Exploitation for an Alternative to Fossil Fuels. Results Eng. 2023, 17, 101010. [Google Scholar] [CrossRef]
- Stephens, S.L.; Westerling, A.L.; Hurteau, M.D.; Peery, M.Z.; Schultz, C.A.; Thompson, S. Fire and Climate Change: Conserving Seasonally Dry Forests Is Still Possible. Front. Ecol. Env. 2020, 18, 354–360. [Google Scholar] [CrossRef]
- Lerma-Arce, V.; Oliver-Villanueva, J.; Segura-Orenga, G.; Urchueguia-Schölzel, J. Comparison of Alternative Harvesting Systems for Selective Thinning in a Mediterranean Pine Afforestation (Pinus halepensis Mill.) for Bioenergy Use. iForest 2021, 14, 465–472. [Google Scholar] [CrossRef]
- Cho, M.-J.; Choi, Y.-S.; Oh, J.-H.; Mun, H.-S.; Han, S.-K. Comparison of Harvesting Productivity, Cost, and Residual Stand Damages between Single-Tree Selection Thinning and Mechanized Line Thinning Using a Small-Scale Grapple-Saw. For. Sci. Technol. 2022, 18, 45–55. [Google Scholar] [CrossRef]
- Ober, H.K.; Jones, G.M.; Gottlieb, I.G.W.; Johnson, S.A.; Smith, L.; Brosi, B.J.; Fletcher, R.J. Bat Community Response to Intensification of Biomass Production for Bioenergy across the Southeastern United States. Ecol. Appl. 2020, 30, e02155. [Google Scholar] [CrossRef]
- Loy, X.; Gruenewald, D.; Gottlieb, I.G.W.; Dobbs, E.K.; Miljanic, A.S.; Botsch, J.; Lawley, B.; Ober, H.K.; Smith, L.; Fletcher, R.J.; et al. The Impacts of Bioenergy Pine Plantation Management Practices on Bee Communities. J. Appl. Ecol. 2020, 57, 952–962. [Google Scholar] [CrossRef]
- Lu, H.R.; El Hanandeh, A. Assessment of Bioenergy Production from Mid-Rotation Thinning of Hardwood Plantation: Life Cycle Assessment and Cost Analysis. Clean Techn. Env. Policy 2017, 19, 2021–2040. [Google Scholar] [CrossRef]
- Li, K.; Kirkland, S.; Yeo, B.-L.; Tubbesing, C.; Bandaru, V.; Song, L.; Holstege, L.; Hartsough, B.; Kendall, A.; Jenkins, B. Integrated Economic and Environmental Modeling of Forest Biomass for Renewable Energy in California: Part I—Model Development. Biomass Bioenergy 2023, 173, 106774. [Google Scholar] [CrossRef]
- Fernandes, U.; Costa, M. Potential of Biomass Residues for Energy Production and Utilization in a Region of Portugal. Biomass Bioenergy 2010, 34, 661–666. [Google Scholar] [CrossRef]
- Flores Hernández, U.; Jaeger, D.; Samperio, J.I. Modeling Forest Woody Biomass Availability for Energy Use Based on Short-Term Forecasting Scenarios. Waste Biomass Valor. 2020, 11, 2137–2151. [Google Scholar] [CrossRef]
- Cintas, O.; Berndes, G.; Englund, O.; Johnsson, F. Geospatial Supply-Demand Modeling of Lignocellulosic Biomass for Electricity and Biofuels in the European Union. Biomass Bioenergy 2021, 144, 105870. [Google Scholar] [CrossRef]
- Nonini, L.; Schillaci, C.; Fiala, M. Assessing Logging Residues Availability for Energy Production by Using Forest Management Plans Data and Geographic Information System (GIS). Eur. J. For. Res. 2022, 141, 959–977. [Google Scholar] [CrossRef]
- Alves, D.N.M.; Míguez Tabarés, J.L.; Rivo-Lopez, E.; Saavedra, A.; Fariña, M.E.A.; Alonso, J.M.; Nunes, L.J.R. Residual Forest Biomass and Energy Assessment: A Case Study Analysis in the Region of Alto Minho (North Portugal) for the Creation of BLCs and 2GBLCs. Int. J. Sustain. Energy 2022, 41, 85–102. [Google Scholar] [CrossRef]
- Nunes, L.J.R.; Casau, M.; Matias, J.C.O.; Dias, M.F. Coal to Biomass Transition as the Path to Sutainable Energy Production: A Hypothetical Case Scenario with the Conversion of Pego Power Plant (Portugal). Appl. Sci. 2023, 13, 4349. [Google Scholar] [CrossRef]
- DGEG Energy Statistics. Renewables. Available online: https://www.dgeg.gov.pt/en/statistics/energy-statistics/renewables/ (accessed on 25 February 2026).
- IFN6. 6o Inventário Florestal Nacional; Instituto da Conservação da Natureza e das Florestas: Lisboa, Portugal, 2019; p. 99. [Google Scholar]
- Benali, A.; Sá, A.C.L.; Pinho, J.; Fernandes, P.M.; Pereira, J.M.C. Understanding the Impact of Different Landscape-Level Fuel Management Strategies on Wildfire Hazard in Central Portugal. Forests 2021, 12, 522. [Google Scholar] [CrossRef]
- Casau, M.; Dias, M.; Teixeira, L.; Matias, J.; Nunes, L. Reducing Rural Fire Risk through the Development of a Sustainable Supply Chain Model for Residual Agroforestry Biomass Supported in a Web Platform: A Case Study in Portugal Central Region with the Project BioAgroFloRes. Fire 2022, 5, 61. [Google Scholar] [CrossRef]
- Ferreira, S.; Monteiro, E.; Brito, P.; Vilarinho, C. Biomass Resources in Portugal: Current Status and Prospects. Renew. Sustain. Energy Rev. 2017, 78, 1221–1235. [Google Scholar] [CrossRef]
- Nunes, L.J.R.; Casau, M.; Matias, J.C.O.; Dias, M.F. Assessment of Woody Residual Biomass Generation Capacity in the Central Region of Portugal: Analysis of the Power Production Potential. Land 2022, 11, 1722. [Google Scholar] [CrossRef]
- Rijal, P.; Bras, P.; Garrido, S.; Matias, J.; Pimentel, C.; Carvalho, H. Residual Forestry Biomass Supply Chain: A Mapping Approach. Int. J. Ind. Eng. Manag. 2023, 14, 244–256. [Google Scholar] [CrossRef]
- Corticeiro, S.; Vieira, H.; Almeida, M.; Laranjeiro, D.; Lillebø, A.; Oliveira, B.R.F. Assessing Forestry Needs and Challenges in Portugal: Insights from the Sector Interested Parties. Forests 2025, 16, 501. [Google Scholar] [CrossRef]
- Correia, A.V.; Oliveira, A.C. Principais Espécies Florestais com Interesse para Portugal: Zonas de Influência Atlântica; Direcção-Geral das Florestas: Lisboa, Portugal, 2003. [Google Scholar]
- Humphries, C.J.; Press, J.R.; Sutton, D.A. Guia FAPAS. Árvores de Portugal e da Europa; FAPAS: Porto, Portugal, 1996. [Google Scholar]
- Gonçalves, A.C. Multi-Species Stand Classification: Definition and Perspectives. In Forest Ecology and Conservation; Chakravarty, S., Shukla, G., Eds.; InTech: London, UK, 2017; pp. 3–23. ISBN 978-953-51-3089-5. [Google Scholar]
- Carvalho, J.P. Uso da Propriedade da Aditividade de Componentes de Biomassa Individual de Quercus pyrenaica Willd. com Recurso a um Sistema de Equações Não-Linear. Silva Lusit. 2003, 11, 141–152. [Google Scholar]
- Schütz, J.P. Sylviculture 1. Principes d’Éducation des Forêts; Presses Polytechniques et Universitaires Romandes: Lausanne, Switzerland, 1990. [Google Scholar]
- Oswald, H. Résultats principaux des places d’expérience de chêne du centre national de recherches forestières. Rev. For. Française 1981, 33, 65–85. [Google Scholar] [CrossRef]
- van Laar, A.; Akça, A. Forest Mensuration. In Managing Forest Ecosystems, 2nd ed.; Completely Rev. and Supplemented; Springer: Dordrecht, The Netherlands, 2007; ISBN 978-1-4020-5990-2. [Google Scholar]
- Lexerød, N.L.; Eid, T. An Evaluation of Different Diameter Diversity Indices Based on Criteria Related to Forest Management Planning. For. Ecol. Manag. 2006, 222, 17–28. [Google Scholar] [CrossRef]
- Pretzsch, H. Forest Dynamics, Growth, and Yield; Springer: Berlin, Germany, 2009; ISBN 978-3-540-88306-7. [Google Scholar]
- R Development Core Team. R A Language and Environment for Statistical Computing; R Foundation for Statistical Computing: Vienna, Austria, 2020. [Google Scholar]
- García, R.; Pizarro, C.; Lavín, A.G.; Bueno, J.L. Spanish Biofuels Heating Value Estimation. Part I: Ultimate Analysis Data. Fuel 2014, 117, 1130–1138. [Google Scholar] [CrossRef]
- Núñez-Regueira, L.; Añón, J.R.; Castiñeiras, J.P. Calorific Values and Flammability of Forest Species in Galicia. Continental High Mountainous and Humid Atlantic Zones. Bioresour. Technol. 1997, 61, 111–119. [Google Scholar] [CrossRef]
- Phyllis2. Phyllis2 Database for (Treated) Biomass, Algae, Feedstocks for Biogas Production and Biochar. Available online: https://phyllis.nl/ (accessed on 16 October 2021).
- Pierre, F.; Perré, G.A.; Brito, J.O.; Perré, P. Influence of Torrefaction on Some Chemical and Energy Properties of Maritime Pine and Pedunculate Oak. BioResources 2011, 6, 1204–1218. [Google Scholar] [CrossRef]
- Reisinger, K.; Haslinger, C.; Herger, M.; Hofbauer, H. BIOBIB—A Database for Biofuels. In Proceedings of the Renewable Energy Databases, Harwell, UK, 27–29 December 1996. [Google Scholar]
- Telmo, C.; Lousada, J.; Moreira, N. Proximate Analysis, Backwards Stepwise Regression between Gross Calorific Value, Ultimate and Chemical Analysis of Wood. Bioresour. Technol. 2010, 101, 3808–3815. [Google Scholar] [CrossRef]
- Nord-Larsen, T.; Bergstedt, A.; Farver, O.; Heding, N. Drying of Firewood—The Effect of Harvesting Time, Tree Species and Shelter of Stacked Wood. Biomass Bioenergy 2011, 35, 2993–2998. [Google Scholar] [CrossRef]
- Malico, I. Forest Biomass as an Energy Resource. In Forest Bioenergy: From Wood Production to Energy Use; Gonçalves, A.C., Malico, I., Eds.; Green Energy and Technology; Springer International Publishing: Cham, Switzerland, 2024; pp. 171–207. ISBN 978-3-031-48223-6. [Google Scholar]
- den Herder, M.; Kolström, M.; Lindner, M.; Suominen, T.; Tuomasjukka, D.; Pekkanen, M. Sustainability Impact Assessment on the Production and Use of Different Wood and Fossil Fuels Employed for Energy Production in North Karelia, Finland. Energies 2012, 5, 4870–4891. [Google Scholar] [CrossRef]
- Bertrand, A.; Stefenelli, G.; Bruns, E.A.; Pieber, S.M.; Temime-Roussel, B.; Slowik, J.G.; Prévôt, A.S.H.; Wortham, H.; El Haddad, I.; Marchand, N. Primary Emissions and Secondary Aerosol Production Potential from Woodstoves for Residential Heating: Influence of the Stove Technology and Combustion Efficiency. Atmos. Environ. 2017, 169, 65–79. [Google Scholar] [CrossRef]
- Carvalho, R.L.; Vicente, E.D.; Tarelho, L.A.C.; Jensen, O.M. Wood Stove Combustion Air Retrofits: A Low Cost Way to Increase Energy Savings in Dwellings. Energy Build. 2018, 164, 140–152. [Google Scholar] [CrossRef]
- Carvalho, R.L.; Jensen, O.M.; Tarelho, L.A.C. Mapping the Performance of Wood-Burning Stoves by Installations Worldwide. Energy Build. 2016, 127, 658–679. [Google Scholar] [CrossRef]
- Li, Q.; Jiang, J.; Qi, J.; Deng, J.; Yang, D.; Wu, J.; Duan, L.; Hao, J. Improving the Energy Efficiency of Stoves to Reduce Pollutant Emissions from Household Solid Fuel Combustion in China. Environ. Sci. Technol. Lett. 2016, 3, 369–374. [Google Scholar] [CrossRef]
- EEA. EMEP/EEA Air Pollutant Emission Inventory Guidebook 2019EEA; Publications Office of the European Union: Luxembourg, 2019; p. 21. [Google Scholar]
- Illerup, J.B.; Hansen, B.B.; Lin, W.; Nickelsen, J.; Pedersen, V.H.; Eskerod, B.; Dam-Johansen, K. Performance of an Automatically Controlled Wood Stove: Thermal Efficiency and Carbon Monoxide Emissions. Renew. Energy 2020, 151, 640–647. [Google Scholar] [CrossRef]
- Klauser, F.; Carlon, E.; Kistler, M.; Schmidl, C.; Schwabl, M.; Sturmlechner, R.; Haslinger, W.; Kasper-Giebl, A. Emission Characterization of Modern Wood Stoves under Real-Life Oriented Operating Conditions. Atmos. Environ. 2018, 192, 257–266. [Google Scholar] [CrossRef]
- Obaidullah, M.; Dyakov, I.V.; Thomassin, J.D.; Duquesne, T.; Bram, S.; Contino, F.; de Ruyck, J. CO Emission Measurements and Performance Analysis of 10 kW and 20 kW Wood Stoves. Energy Procedia 2014, 61, 2301–2306. [Google Scholar] [CrossRef][Green Version]
- van Loo, S.; Koppejan, J. (Eds.) The Handbook of Biomass Combustion and Co-Firing; Earthscan: London, UK, 2012; ISBN 978-1-84977-304-1. [Google Scholar]
- Malico, I. Biomass for Domestic Heat. In Forest Bioenergy: From Wood Production to Energy Use; Gonçalves, A.C., Malico, I., Eds.; Green Energy and Technology; Springer International Publishing: Cham, Switzerland, 2024; pp. 209–233. ISBN 978-3-031-48223-6. [Google Scholar]
- Fitzpatrick, J.J.; Carroll, J.; Macura, S.; Murphy, N. How Best to Use Forest Wood for Energy: Perspectives from Energy Efficiency and Environmental Considerations. Eng 2025, 6, 95. [Google Scholar] [CrossRef]
- Ghorashi, S.A.; Khandelwal, B. Toward the Ultra-Clean and Highly Efficient Biomass-Fired Heaters. A Review. Renew. Energy 2023, 205, 631–647. [Google Scholar] [CrossRef]
- Morin, B.; Allen, G.; Marin, A.; Rector, L.; Ahmadi, M. Impacts of Wood Species and Moisture Content on Emissions from Residential Wood Heaters. J. Air Waste Manag. Assoc. 2022, 72, 647–661. [Google Scholar] [CrossRef]
- Eurostat. Eurostat Statistics. Available online: https://ec.europa.eu/eurostat/data/database (accessed on 2 November 2021).
- RETScreen. RETScreen Clean Energy Management Software. Available online: https://www.nrcan.gc.ca/maps-tools-and-publications/tools/modelling-tools/retscreen/7465 (accessed on 1 November 2021).
- NASA. NASA Prediction of Worldwide Energy Resources (POWER). Available online: https://power.larc.nasa.gov/data-access-viewer/ (accessed on 2 March 2026).
- Magalhães, S.M.C.; Leal, V.M.S. Characterization of Thermal Performance and Nominal Heating Gap of the Residential Building Stock Using the EPBD-Derived Databases: The Case of Portugal Mainland. Energy Build. 2014, 70, 167–179. [Google Scholar] [CrossRef]
- Valinger, E.; Sjögren, H.; Nord, G.; Cedergren, J. Effects on Stem Growth of Scots Pine 33 Years after Thinning and/or Fertilization in Northern Sweden. Scand. J. For. Res. 2019, 34, 33–38. [Google Scholar] [CrossRef]
- Trouvé, R.; Bontemps, J.-D.; Collet, C.; Seynave, I.; Lebourgeois, F. When Do Dendrometric Rules Fail? Insights from 20 Years of Experimental Thinnings on Sessile Oak in the GIS Coop Network. For. Ecol. Manag. 2019, 433, 276–286. [Google Scholar] [CrossRef]
- Wonn, H.T.; O’Hara, K.L. Height: Diameter Ratios and Stability Relationships for Four Northern Rocky Mountain Tree Species. West. J. Appl. For. 2001, 16, 87–94. [Google Scholar] [CrossRef]
- Smith, D.M.; Larson, B.C.; Kelty, M.J.; Ashton, P.M.S. The Practice of Silviculture: Applied Forest Ecology, 9th ed.; John Wiley & Sons, Inc.: New York, NY, USA, 1997. [Google Scholar]
- Ledermann, T. A Non-Linear Model to Predict Crown Recession of Norway Spruce (Picea abies [L.] Karst.) in Austria. Eur. J. For. Res. 2011, 130, 521–531. [Google Scholar] [CrossRef]
- Bianchi, S.; Siipilehto, J.; Hynynen, J. How Structural Diversity Affects Norway Spruce Crown Characteristics. For. Ecol. Manag. 2020, 461, 117932. [Google Scholar] [CrossRef]
- Pommerening, A.; Grabarnik, P. Individual-Based Methods in Forest Ecology and Management; Springer: Berlin/Heidelberg, Germany, 2019; ISBN 978-3-030-24527-6. [Google Scholar]
- Boudru, M. Forêt et Sylviculture. Le Traitement des Forêts; Presses Agronomiques de Gembloux: Gembloux, Belgique, 1989; Volume Tome 2. [Google Scholar]
- Staudhammer, C.L.; LeMay, V.M. Introduction and Evaluation of Possible Indices of Stand Structural Diversity. Can. J. For. Res. 2001, 31, 1105–1115. [Google Scholar] [CrossRef]
- Thrän, D.; Bauschmann, M.; Dahmen, N.; Erlach, B.; Heinbach, K.; Hirschl, B.; Hildebrand, J.; Rau, I.; Majer, S.; Oehmichen, K.; et al. Bioenergy beyond the German “Energiewende”–Assessment Framework for Integrated Bioenergy Strategies. Biomass Bioenergy 2020, 142, 105769. [Google Scholar] [CrossRef]
- Fine, P.M.; Cass, G.R.; Simoneit, B.R.T. Chemical Characterization of Fine Particle Emissions from the Wood Stove Combustion of Prevalent United States Tree Species. Environ. Eng. Sci. 2004, 21, 705–721. [Google Scholar] [CrossRef]
- Schmidl, C.; Marr, I.L.; Caseiro, A.; Kotianová, P.; Berner, A.; Bauer, H.; Kasper-Giebl, A.; Puxbaum, H. Chemical Characterisation of Fine Particle Emissions from Wood Stove Combustion of Common Woods Growing in Mid-European Alpine Regions. Atmos. Environ. 2008, 42, 126–141. [Google Scholar] [CrossRef]
- Kocbach Bølling, A.; Pagels, J.; Yttri, K.E.; Barregard, L.; Sallsten, G.; Schwarze, P.E.; Boman, C. Health Effects of Residential Wood Smoke Particles: The Importance of Combustion Conditions and Physicochemical Particle Properties. Part. Fibre Toxicol. 2009, 6, 29. [Google Scholar] [CrossRef] [PubMed]
- Sebestyén, T.T.; Pavičević, M.; Dorotić, H.; Krajačić, G. The Establishment of a Micro-Scale Heat Market Using a Biomass-Fired District Heating System. Energ. Sustain. Soc. 2020, 10, 25. [Google Scholar] [CrossRef]
- Lindroos, T.J.; Mäki, E.; Koponen, K.; Hannula, I.; Kiviluoma, J.; Raitila, J. Replacing Fossil Fuels with Bioenergy in District Heating—Comparison of Technology Options. Energy 2021, 231, 120799. [Google Scholar] [CrossRef]
- Bain, R.L.; Broer, K. Gasification. In Thermochemical Processing of Biomass: Conversion into Fuels, Chemicals and Power; Brown, R.C., Ed.; Wiley: Hoboken, NJ, USA, 2011; pp. 47–77. [Google Scholar]
- Strezov, V. Properties of Biomass Fuels. In Biomass Processing Technologies; Strezov, V., Evans, T.J., Eds.; CRC Press: Boca Raton, FL, USA, 2014; pp. 1–32. [Google Scholar]
- Dzurenda, L.; Banski, A. Dependence of the Boiler Flue Gas Losses on Humidity of Wood Biomass. Arch. Thermodyn. 2015, 36, 77–86. [Google Scholar] [CrossRef]
Disclaimer/Publisher’s Note: The statements, opinions and data contained in all publications are solely those of the individual author(s) and contributor(s) and not of MDPI and/or the editor(s). MDPI and/or the editor(s) disclaim responsibility for any injury to people or property resulting from any ideas, methods, instructions or products referred to in the content. |
© 2026 by the authors. Licensee MDPI, Basel, Switzerland. This article is an open access article distributed under the terms and conditions of the Creative Commons Attribution (CC BY) license.



