Coastal Forest Change and Shoreline Erosion across a Salinity Gradient in a Micro-Tidal Estuary System
Abstract
1. Introduction
2. Area of Interest
3. Materials and Methods
3.1. NRCS Pedon Data and Sea Level Rise
3.2. GIS Mapping of Salinity
3.3. Calculating Fetch
3.4. Calculating Shoreline Erosion Rates
3.5. Field and Laboratory Data Collection
3.6. Statistical Analysis
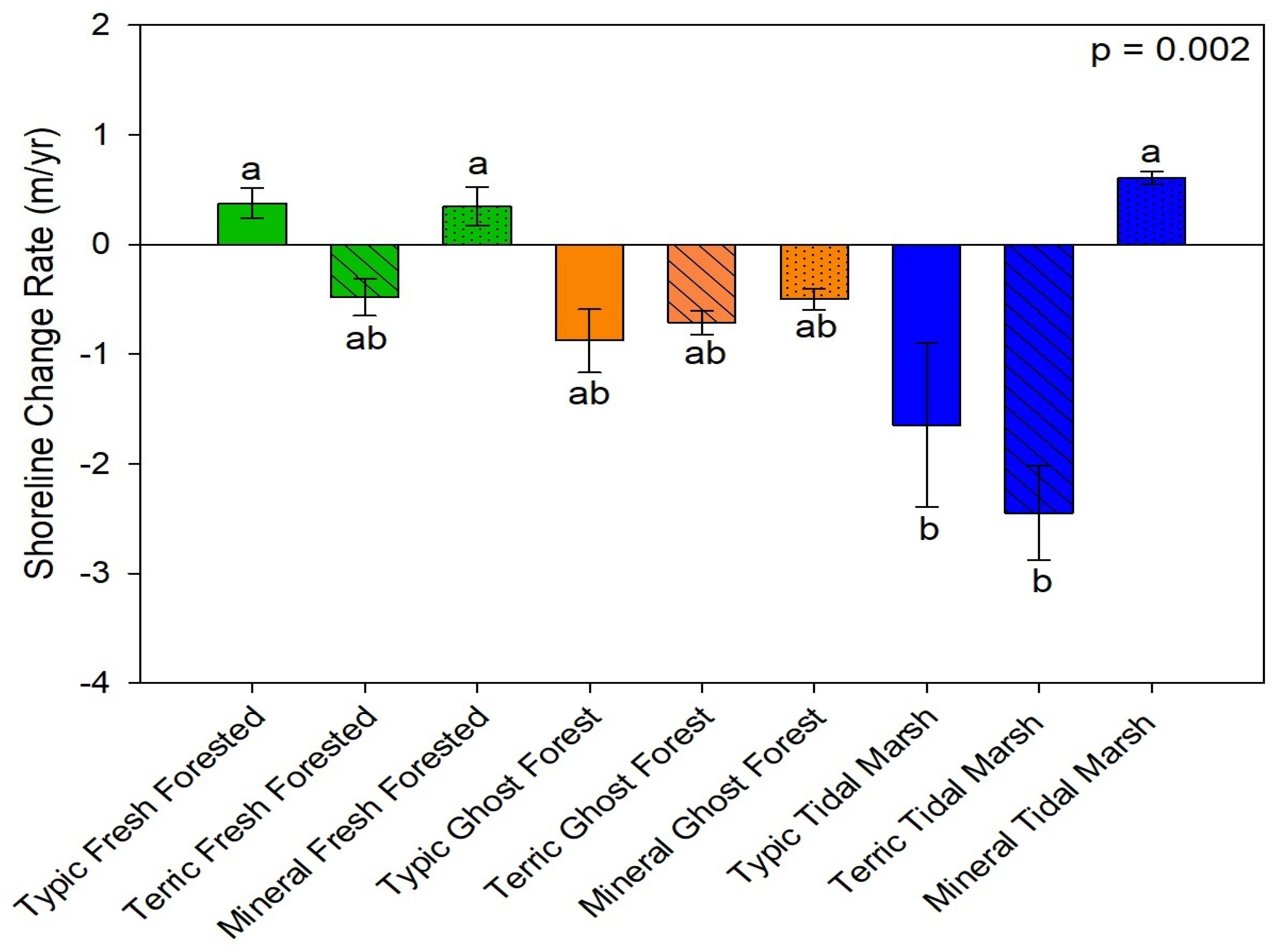
4. Results
4.1. Coastal Soil Survey Mapping and Study Wetland Ecosystems
4.2. Fetch and Ecosystem Erosion Rates
5. Discussion
Soil Survey Histosol Mapping and Erosion Rates
6. Conclusions
Author Contributions
Funding
Data Availability Statement
Acknowledgments
Conflicts of Interest
References
- White, E.; Kaplan, D. Restore or Retreat? Saltwater Intrusion and Water Management in Coastal Wetlands. Ecosyst. Health Sustain. 2017, 3, e01258. [Google Scholar] [CrossRef]
- Barbier, E.B.; Hacker, S.D.; Kennedy, C.; Koch, E.W.; Stier, A.C.; Silliman, B.R. The Value of Estuarine and Coastal Ecosystem Services. Ecol. Monogr. 2011, 81, 169–193. [Google Scholar] [CrossRef]
- National Oceanic and Atmospheric Administration (NOAA) Office for Coastal Management. Sea Level Rise Viewer. 2021. Available online: https://maps.coast.noaa.gov/digitalcoast/tools/slr.html (accessed on 1 May 2021).
- Deaton, A.S.; Chappell, W.S.; Hart, K.; O’Neal, J.; Boutin, B. North Carolina Coastal Habitat Protection Plan; North Carolina Department of Environment and Natural Resources, Division of Marin Fisheries: Morehead City, NC, USA, 2010. [Google Scholar]
- McVerry, K. North Carolina Estuarine Shoreline Mapping Project: Statewide and County Statistics; North Carolina Division of Coastal Management: Morehead City, NC, USA, 2012; pp. 1–145. [Google Scholar]
- Corbett, D.R.; Walsh, J.P.; Cowart, L.; Riggs, S.R.; Ames, D.V.; Culver, S.J. Shoreline Change within the Albe-Marle-Pamlico Estuarine System, North Carolina; East Carolina University: Greenville, NC, USA, 2008. [Google Scholar]
- Cowart, L.; Corbett, D.R.; Walsh, J.P. Shoreline Change along Sheltered Coastlines: Insights from the Neuse River Estuary, NC, USA. J. Remote Sens. 2011, 3, 1516–1534. [Google Scholar] [CrossRef]
- National Research Council. Mitigating Shore Erosion along Sheltered Coasts; The National Academies Press: Washington, DC, USA, 2007. [Google Scholar]
- Bellis, V.; O’Conner, M.P.; Riggs, S.R. Estuarine Shoreline Erosion in the Albemarle Pamlico Region of North Carolina; UNC Sea Grant Publication, North Carolina State University: Raleigh, NC, USA, 1975. [Google Scholar]
- Riggs, S.R.; Ames, D.P. Drowning the North Carolina Coast: Sea-Level Rise and Estuarine Dynamics; North Carolina Sea Grant: Raleigh, NC, USA, 2003. [Google Scholar]
- Luettich, R.A.; Carr, S.D.; Reynolds-Fleming, J.V.; Fulcher, C.W.; McNinch, J.E. Semi-Diurnal Seiching in a Shallow, Micro-Tidal Lagoonal Estuary. Cont. Shelf Res. 2002, 22, 1669–1681. [Google Scholar] [CrossRef]
- Eulie, D.O. Examination of Estuarine Sediment Dynamics: Insights from the Large, Shallow, Albemarle-Pamlico Estu-Arine System, NC, U.S.A. Ph.D. Thesis, East Carolina University, Greenville, NC, USA, 2014. [Google Scholar]
- Day, J.W.; Christian, R.R.; Boesch, D.M.; Yáñez-Arancibia, A.; Morris, J.; Twilley, R.R.; Naylor, L.; Schaffner, L.; Stevenson, C. Consequences of Climate Change on the Ecogeomorphology of Coastal Wetlands. Estuaries Coasts 2008, 31, 477–491. [Google Scholar] [CrossRef]
- Ury, E.A.; Yang, X.; Wright, J.P.; Bernhardt, E.S. Rapid Deforestation of a Coastal Landscape Driven by Sea-Level Rise and Extreme Events. Ecol. Appl. 2021, 31, e02339. [Google Scholar] [CrossRef] [PubMed]
- Helton, A.M.; Ardon, M.; Bernhardt, E.S. Hydrologic context alters greenhouse gas feedbacks of coastal wetland salinization. Ecosystems 2019, 22, 1108–1125. [Google Scholar] [CrossRef]
- Kirwan, M.L.; Gedan, K.B. Sea-Level Driven Land Conversion and the Formation of Ghost Forests. Nat. Clim. Chang. 2019, 9, 450–457. [Google Scholar] [CrossRef]
- Smart, L.S.; Taillie, P.J.; Poulter, B.; Vukomanovic, J.; Singh, K.K.; Swenson, J.J.; Mitasova, H.; Smith, J.W.; Meentemeyer, R.K. Aboveground Carbon Loss Associated with the Spread of Ghost Forests as Sea Levels Rise. Environ. Res. Lett. 2020, 15, 104028. [Google Scholar] [CrossRef]
- Jia, P.; Li, M. Circulation Dynamics and Salt Balance in a Lagoonal Estuary. J. Geophys. Res. 2012, 117, 1–16. [Google Scholar] [CrossRef]
- Giese, G.L.; Wider, H.B.; Parker, G.G., Jr. Hydrology of Major Estuaries and Sounds of North Carolina. In US Geological Survey Water Supply Paper; USGS: Reston, VA, USA, 1985; Volume 108. [Google Scholar]
- Ingram, R.L. Peat Deposits of North Carolina, Bulletin 88; North Carolina Department of Natural Resources and Community Development: Raleigh, NC, USA, 1987; pp. 1–84. [Google Scholar]
- Henman, J.; Poulter, B. Inundation of Freshwater Peatlands by Sea Level Rise: Uncertainty and Potential Carbon Cycle Feedbacks. J. Geophys. Res. Biogeosci. 2008, 113, 1–11. [Google Scholar] [CrossRef]
- Soil Survey Staff. Web Soil Survey; USDA-NRCS: Washington, DC, USA, 2019. [Google Scholar]
- Rabenhorst, M.C.; Stolt, M.H. Chapter 6—Subaqueous Soils: Pedogenesis, Mapping, and Applications. In Hydropedology; Academic Press: Cambridge, MA, USA, 2012. [Google Scholar]
- Ardon, M.; Morse, J.L.; Colman, B.P.; Bernhardt, E.S. Drought-Induced Saltwater Incursion Leads to Increased Wetland Nitrogen Export. Glob. Chang. Biol. 2013, 19, 2976–2985. [Google Scholar] [CrossRef] [PubMed]
- Manda, A.K.; Giuliano, A.S.; Allen, T.R. Influence of Artificial Channels on the Source and Extent of Saline Water Intrusion in the Wind Tide Dominated Wetlands of the Southern Albemarle Estuarine System. Environ. Earth Sci. 2014, 71, 4409–4419. [Google Scholar] [CrossRef]
- Cowardin, L.M.; Carter, V.; Golet, F.C.; LaRoe, E.T. Classification of Wetlands and Deepwater Habitats of the United States; U.S. Government Printing Office: Washington, DC, USA, 1979. [Google Scholar]
- National Cooperative Soil Survey, National Cooperative Soil Characterization Database 2023. Available online: http://ncsslabdatamart.sc.egov.usda.gov/ (accessed on 1 August 2023).
- Sweet, W.V.; Hamlington, B.D.; Kopp, R.E.; Weaver, C.P.; Barnard, P.L.; Bekaert, D.; Brooks, W.; Craghan, M.; Dusek, G.; Frederikse, T.; et al. Global and Regional Sea Level Rise Scenarios for the United States: Updated Mean Projections and Extreme Water Level Probabilities Along U.S. Coastlines; National Oceanic and Atmospheric Administration, National Ocean Service: Silver Spring, MD, USA, 2022; p. 111. [Google Scholar]
- Finlayson, D. Puget Sound Fetch: Seattle, Washington; University of Washington, School of Oceanography: Seattle, WA, USA, 2005. [Google Scholar]
- USACE. Shore Protection Manual; Coastal Engineering Research Center: Fort Belvoir, VA, USA, 1984. [Google Scholar]
- Rohweder, J.; Rogala, J.T.; Johnson, B.L.; Anderson, D.; Clark, S.; Chamberlin, F.; Potter, D.; Runyon, K. Application of Wind Fetch and Wave Models for Habitat Rehabilitation and Enhancement Projects—2012 Update; United States Geological Survey: Reston, VA, USA, 2012. [Google Scholar]
- Schoeneberger, P.J.; Wysocki, D.A.; Benham, E.C.; Staff, S.S. Field Book for Describing and Sampling Soils, Version 3.0; Natural Resources Conservation Service, National Soil Survey Center: Lincoln, NE, USA, 2012. [Google Scholar]
- Soil Survey Staff. Keys to Soil Taxonomy, 12th ed.; U.S. Government Printing Office: Washington, DC, USA, 2014. [Google Scholar]
- Von Post, L.; Granlund, E. Peat resources in southern Sweden. Sver. Geol. Undersökning Yearb. 1926, 335, 1–127. [Google Scholar]
- Blake, G.R.; Hartge, K.H. Bulk Density, 2nd ed.; Klute, A., Ed.; American Society of Agronomy/Soil Science Society of America: Madison, WI, USA, 1986. [Google Scholar]
- Gee, G.W.; Bauder, J.W. Particle Size Analysis, 2nd ed.; Klute, A., Ed.; American Society of Agronomy/Soil Science Society of America: Madison, WI, USA, 1986. [Google Scholar]
- USACE; Wakeley, J.S.; Lichvar, R.W.; Noble, C.V. Regional Supplement to the Corps of Engineers Wetland Delineation Manual: Atlantic and Gulf Coastal Plain Region. U.S. Army Engineer Research and Development Center: Vicksburg, MS, USA, 2010. [Google Scholar]
- Chmura, G.L.; Anisfeld, S.C.; Cahoon, D.R.; Lynch, J.C. Global carbon sequestration in tidal, saline wetland soils. Glob. Biogeochem. Cycles 2003, 17. [Google Scholar] [CrossRef]
- McLeod, E.; Chmura, G.L.; Bouillon, S.; Salm, R.; Björk, M.; Duarte, C.M.; Lovelock, C.E.; Schlesinger, W.H.; Silliman, B.R. A Blueprint for Blue Carbon: Toward an Improved Understanding of the Role of Vegetated Coastal Habitats in Sequestering CO2. Front. Ecol. Environ. 2011, 9, 552–560. [Google Scholar] [CrossRef] [PubMed]
- Cowart, L.; Walsh, J.P.; Corbett, D.R. Analyzing estuarine shoreline change: A case study of Cedar Island, North Carolina. J. Coast. Res. 2010, 26, 817–830. [Google Scholar] [CrossRef]
- Eulie, D.O.; Walsh, J.P.; Corbett, D.R.; Mulligan, R.P. Temporal and Spatial Dynamics of Estuarine Shoreline Change in the Albemarle-Pamlico Estuarine System, North Carolina, USA. Estuaries Coasts 2017, 40, 741–757. [Google Scholar] [CrossRef]
- Wells, J.T.; Kim, S.Y. Sedimentation in the Albemarle-Pamlico Lagoonal System: Synthesis and Hypotheses. Mar. Geol. 1989, 88, 263–284. [Google Scholar] [CrossRef]
- Le Hir, P.; Monbet, Y.; Orvain, F. Sediment Erodibility in Sediment Transport Modelling: Can We Account for Biota Effects? Cont. Shelf Res. 2007, 27, 1116–1142. [Google Scholar] [CrossRef]
- Turner, R.E. Beneath the Salt Marsh Canopy: Loss of Soil Strength with Increasing Nutrient Loads. Estuaries Coasts 2011, 34, 1084–1093. [Google Scholar] [CrossRef]
- Craft, C.B. Tidal Freshwater Forest Accretion Does Not Keep Pace with Sea Level Rise. Glob. Chang. Biol. 2012, 18, 3615–3623. [Google Scholar] [CrossRef]
- Craft, C.B.; Seneca, E.D.; Broome, S. Vertical Accretion in Microtidal Regularly and Irregularly Flooded Estuarine Marshes. Estuar. Coast. Shelf Sci. 1993, 37, 371–386. [Google Scholar] [CrossRef]
- Pierfelice, K.N.; Graeme Lockaby, B.; Krauss, K.W.; Conner, W.H.; Noe, G.B.; Ricker, M.C. Salinity Influences on Aboveground and Belowground Net Primary Productivity in Tidal Wetlands. J. Hydrol. Eng. 2017, 22, D5015002. [Google Scholar] [CrossRef]
- Moorhead, K.K.; M, B.M. Response of Wetlands to Rising Sea Level in the Lower Coastal Plain of North Carolina. Ecol. Appl. 1995, 5, 26–71. [Google Scholar] [CrossRef]
- Wang, H.; Wal, D.; Li, X.; Belzen, J.; Herman, P.M.J.; Hu, Z.; Ge, Z.; Zhang, L.; Bouma, T.J. Zooming in and out: Scale Dependence of Extrinsic and Intrinsic Factors Affecting Salt Marsh Erosion. J. Geophys. Res. Earth Surf. 2017, 122, 1455–1470. [Google Scholar] [CrossRef]
- Feagin, R.A.; Lozada-Bernard, S.M.; Ravens, T.M.; Möller, I.; Yeager, K.M.; Baird, A.H. Does Vegetation Prevent Wave Erosion of Salt Marsh Edges? National Academy of Sciences of the United States of America: Washington, DC, USA, 2009; pp. 10109–10113. [Google Scholar] [CrossRef] [PubMed]
- Eulie, D.O.; Walsh, J.P.; Corbett, D.R. High-Resolution Analysis of Shoreline Change and Application of Balloon-Based Aerial Photography, Albemarle-Pamlico Estuarine System, North Carolina, USA. Limnol. Oceanogr. 2013, 11, 151–160. [Google Scholar] [CrossRef]






| Site | Mean Salinity (ppt) | Mean Peat Thickness (cm) | Live Trees (Stems/ha) | Dead Trees (Stems/ha) | Dominant Trees a | Dominant Shrubs/Saplings b | Dominant Emergents b |
|---|---|---|---|---|---|---|---|
| Tidal Forest Sites | |||||||
| CR-CF | 0.15 | 250+ | 550 | 25 | Nyssa biflora (73.7%) Taxodium distichum (10.5%) | Carpinus caroliniana (15%) Clethra alnifolia (10%) | Polygonum spp. (30%) Osmunda regalis (10%) |
| TR-CF | 0.22 | 250+ | 675 | 25 | Nyssa aquatica (85.2%) T. distichum (7.4%) | Fraxinus pennsylvanica (20%) Acer rubrum (10%) | Persicaria arifolia (20%) O. regalis (10%) |
| BN-CF | 1.10 | 206 | 675 | 25 | N. aquatica (81.5%) T. distichum (7.4%) | Morella cerifera (35%) Persea borbonia (10%) | Pontederia cordata (20%) O. regalis (15%) |
| RR-CF | 1.61 | 250+ | 700 | 25 | N. aquatica (60.7%) N. biflora (17.9%) | F. pennsylaniva (15%) A. rubrum (10%) | Carex spp. (30%) Cicuta maculate (5%) |
| Ghost Forest Sites | |||||||
| AR-GF | 3.51 | 230 | 275 | 325 | N. aquatica (90.9%) Pinus taeda (9.1%) | P. borbonia (10%) Pinus taeda (10%) | Cladium jamaicense (60%) Phragmites australis (10%) |
| PP-GF | 4.38 | 69 | 63 | 238 | P. taeda (40.0%) N. aquatica (40.0%) | M. cerifera (10%) A. rubrum (5%) | P. australis (95%) Toxicodendron radicans (5%) |
| BH-GF | 5.36 | 116 | 0 | 350 | N/A | Chamaecyparis thyoides (15%) P. taeda (5%) | C. jamaicense (75%) Juncus roemerianus (10%) |
| GC-GF | 8.28 | 112 | 0 | 100 | N/A | N/A | Bolboschoenus robustus (90%) Spartina cynosuroides (5%) |
| Tidal Marsh Sites | |||||||
| LR-TM | 11.73 | 116 | 0 | 0 | N/A | N/A | S. cynosuroides (50%) J. roemerianus (40%) |
| SQ-TM | 13.67 | 201 | 0 | 0 | N/A | N/A | J. roemerianus (80%) B. robustus (10%) |
| JB-TM | 15.39 | 172 | 0 | 0 | N/A | N/A | J. roemerianus (85%) Spartina alterniflora (5%) |
| PP-TM | 15.47 | 194 | 0 | 0 | N/A | N/A | C. jamaicense (70%) P. australis (5%) |
| Ecosystem × Soil Type | p = 0.002 | ||
| Ecosystem × Fetch | p = 0.001 | ||
| Soil Type × Fetch | p = 0.26 | ||
| Ecosystem | n | Average m/yr | Significance (p = 0.004) |
| Freshwater | 40 | 0.26 | a |
| Ghost Forest | 70 | −0.65 | b |
| Marsh | 55 | −1.60 | c |
| Soil Type | n | Average m/yr | Significance (p < 0.001) |
| Typic | 55 | −0.70 | a |
| Terric | 55 | −1.48 | b |
| Mineral | 55 | −0.07 | a |
| Fetch | n | Average m/yr | Significance (p < 0.001) |
| Open | 115 | −1.18 | a |
| Protected | 50 | 0.23 | b |
Disclaimer/Publisher’s Note: The statements, opinions and data contained in all publications are solely those of the individual author(s) and contributor(s) and not of MDPI and/or the editor(s). MDPI and/or the editor(s) disclaim responsibility for any injury to people or property resulting from any ideas, methods, instructions or products referred to in the content. |
© 2024 by the authors. Licensee MDPI, Basel, Switzerland. This article is an open access article distributed under the terms and conditions of the Creative Commons Attribution (CC BY) license (https://creativecommons.org/licenses/by/4.0/).
Share and Cite
Gorczynski, L.E.; Wilson, A.R.; Odhiambo, B.K.; Ricker, M.C. Coastal Forest Change and Shoreline Erosion across a Salinity Gradient in a Micro-Tidal Estuary System. Forests 2024, 15, 1069. https://doi.org/10.3390/f15061069
Gorczynski LE, Wilson AR, Odhiambo BK, Ricker MC. Coastal Forest Change and Shoreline Erosion across a Salinity Gradient in a Micro-Tidal Estuary System. Forests. 2024; 15(6):1069. https://doi.org/10.3390/f15061069
Chicago/Turabian StyleGorczynski, Lori E., A. Reuben Wilson, Ben K. Odhiambo, and Matthew C. Ricker. 2024. "Coastal Forest Change and Shoreline Erosion across a Salinity Gradient in a Micro-Tidal Estuary System" Forests 15, no. 6: 1069. https://doi.org/10.3390/f15061069
APA StyleGorczynski, L. E., Wilson, A. R., Odhiambo, B. K., & Ricker, M. C. (2024). Coastal Forest Change and Shoreline Erosion across a Salinity Gradient in a Micro-Tidal Estuary System. Forests, 15(6), 1069. https://doi.org/10.3390/f15061069

