Impact of Thinning on the Yield and Quality of Eucalyptus grandis Wood at Harvest Time in Uruguay
Abstract
1. Introduction
2. Materials and Methods
2.1. Study Area
2.2. Experimental Design
2.3. Growth and Competition
2.4. Wood Properties
2.4.1. Weighted Basic Apparent Density
2.4.2. Current Apparent Density
2.4.3. Bending Strength
2.4.4. Compression Strength Parallel to the Fibers
2.5. Statistical Analysis
3. Results
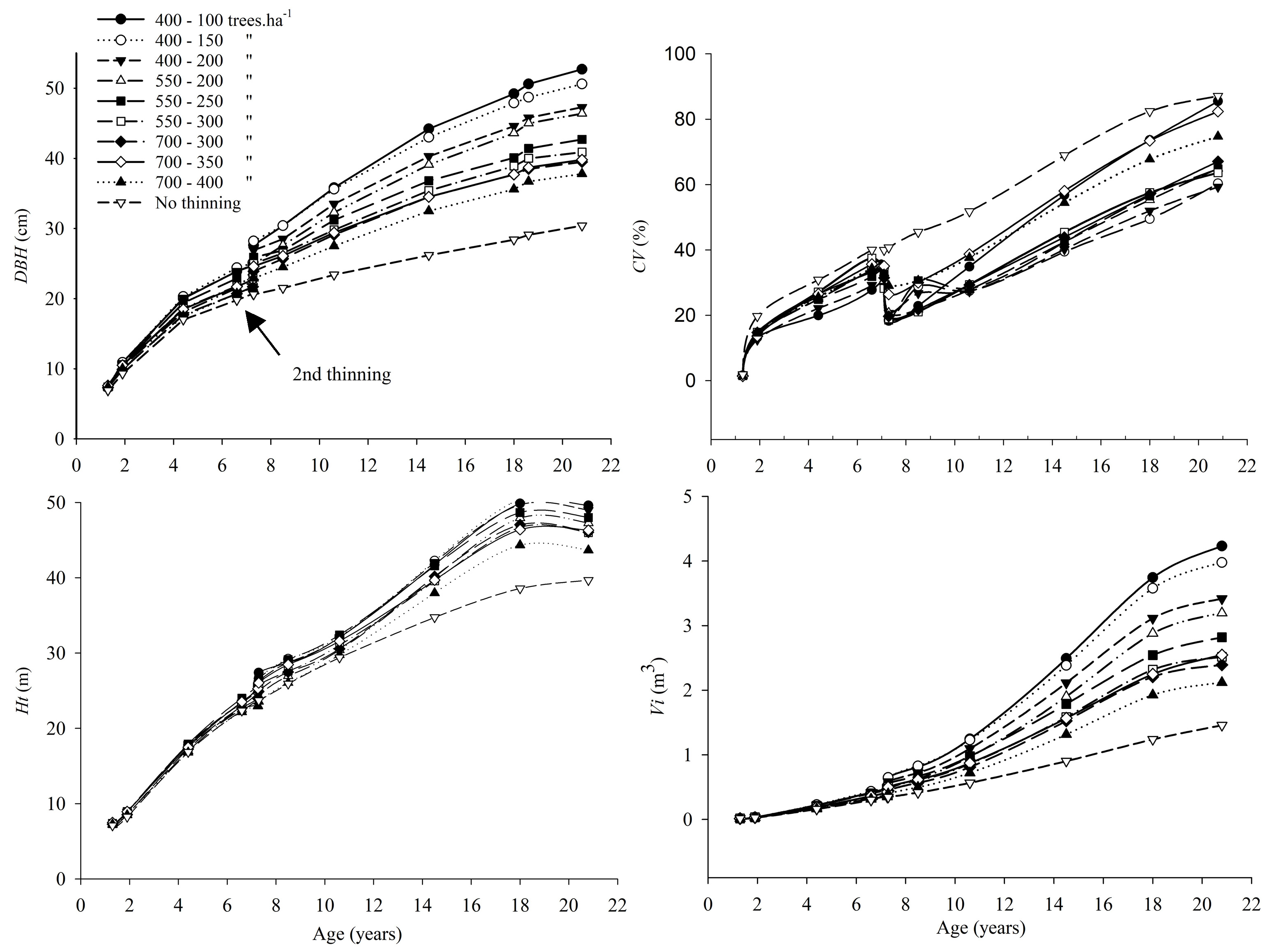
3.1. Individual Growth
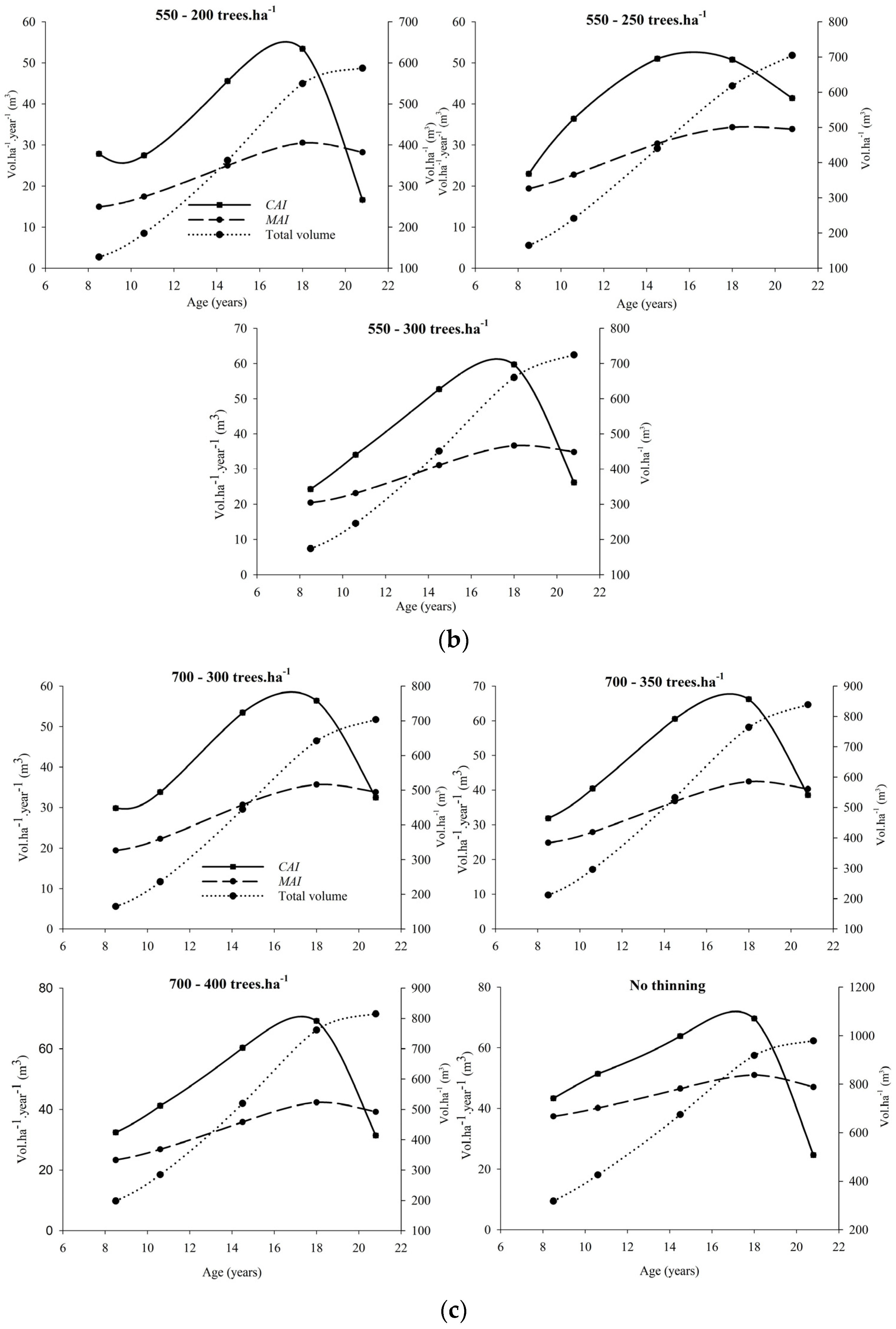
3.2. Productivity per Hectare and Competition Level
3.3. Wood Properties
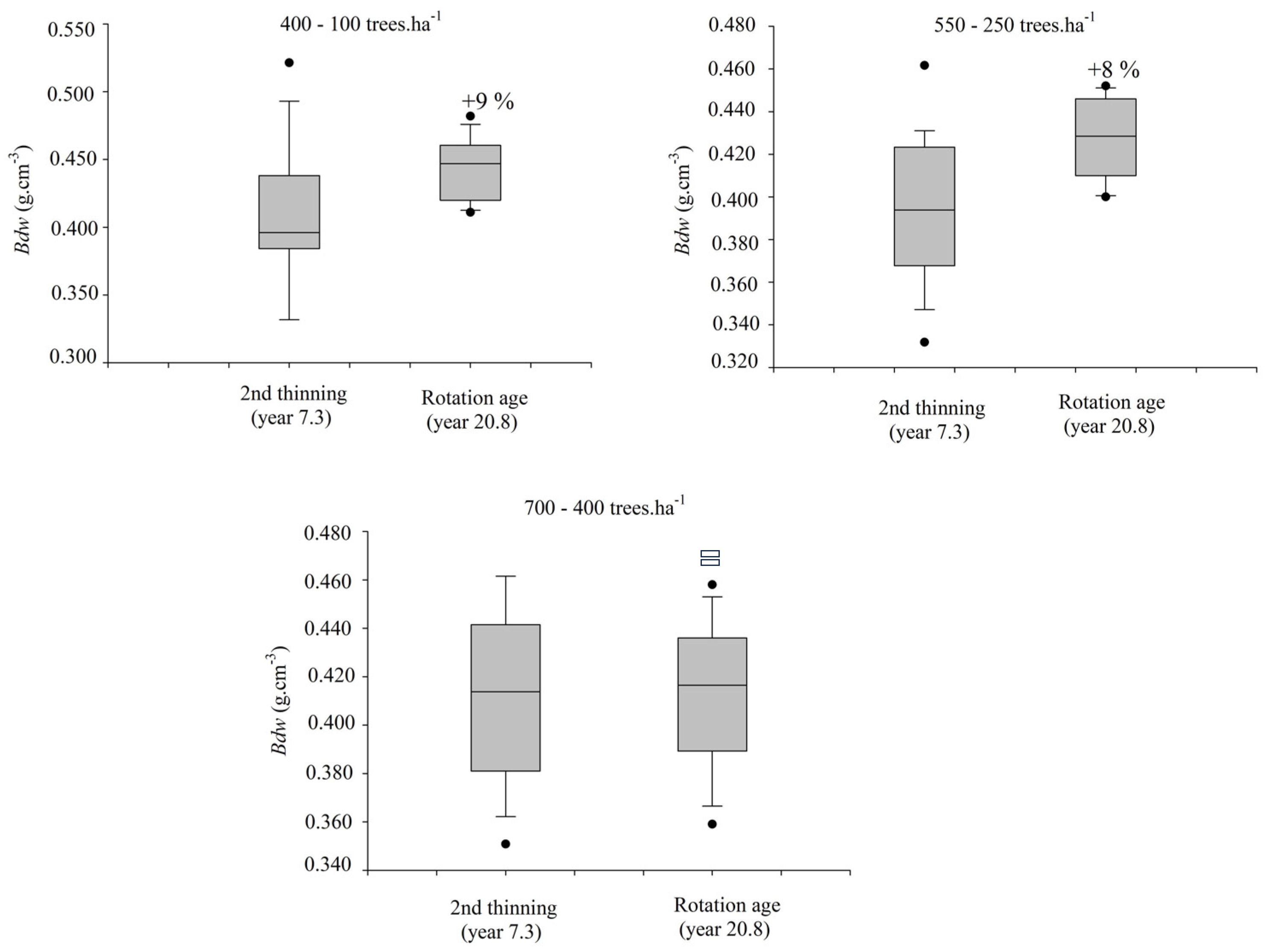
3.3.1. Basic Apparent Density and Current Apparent Density
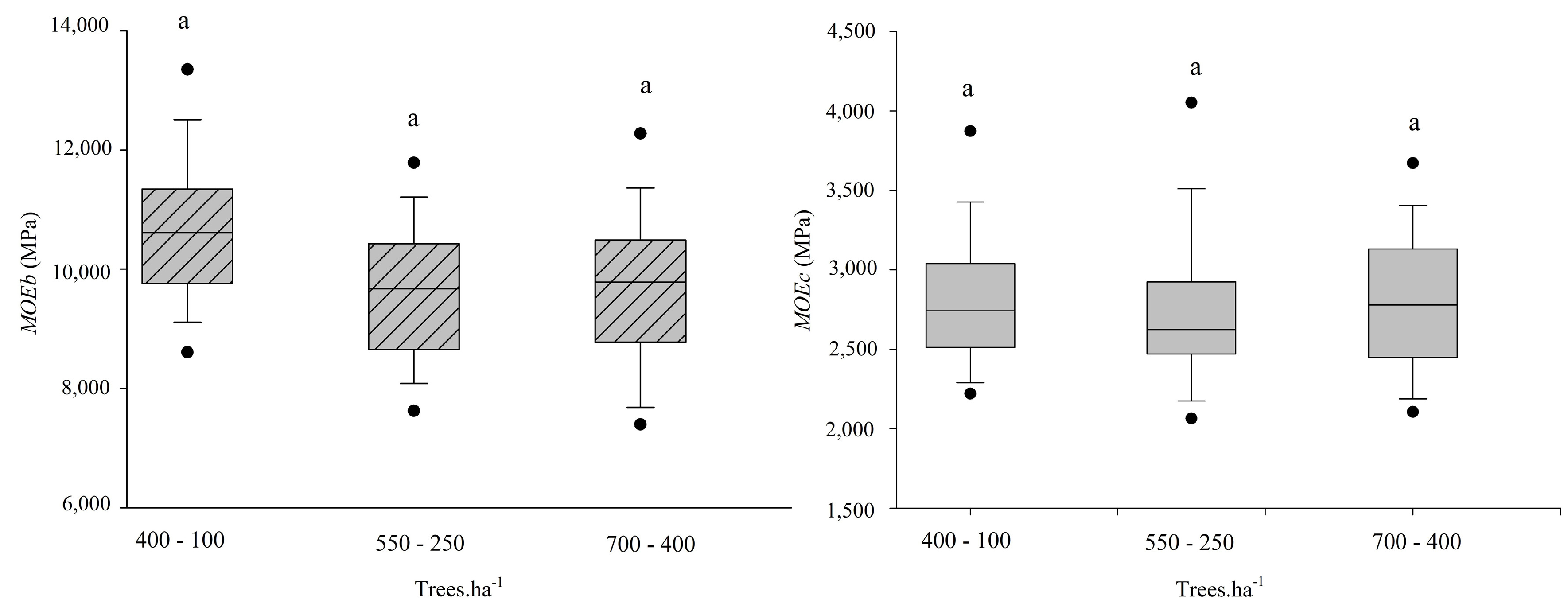
3.3.2. Mechanical Properties
3.4. Relationship between Wood Density and Mechanical Properties
4. Discussion
4.1. Individual Growth
4.2. Productivity per Hectare
4.3. Wood Density
4.4. Mechanical Properties of Wood
4.5. Relationships between Wood Properties
5. Conclusions
Supplementary Materials
Author Contributions
Funding
Data Availability Statement
Acknowledgments
Conflicts of Interest
References
- Qualifor, S.G.S. Informe de Certificación de Manejo Forestal. Resumen Público; Compañía Forestal Uruguaya (COFUSA): Montevideo Uruguay, 2005. [Google Scholar]
- Barbosa, R.H.S.; Fiedler, N.C.; Mendonça, A.R.; Chichorro, J.F.; Gonçalves, S.B.; Alves, E.G.; Kobiyama, F.A.Q. Análise Técnica e Econômica do Desbaste em Um Povoamento de Eucalipto na Região Sul do Espírito Santo. Nativa 2015, 3, 125–130. [Google Scholar] [CrossRef][Green Version]
- Medhurst, J.L.; Beadle, C.L. Crown structure and leaf area index development in thinned and unthinned Eucalyptus nitens plantations. Tree Physiol. 2001, 21, 989–999. [Google Scholar] [CrossRef] [PubMed]
- Medhurst, J.; Beadle, C. Photosynthetic capacity and foliar nitrogen distribution in Eucalyptus nitens is altered by high-intensity thinning. Tree Physiol. 2005, 25, 981–991. [Google Scholar] [CrossRef] [PubMed]
- Jacobs, M.R. Growth Habits of the Eucalypts; Forestry and Timber Bureau: Canberra, Australia, 1955; p. 262. [Google Scholar]
- Tomé, M.; Verwijst, T. Modelling competition in short rotation forests. Biomass Bioenergy 1996, 11, 177–187. [Google Scholar] [CrossRef]
- Alcorn, P.J.; Pyttel, P.; Bauhus, J.; Smith, G.; Thomas, D.; James, R.; Nicotra, A. Effects of initial planting density on branch development in 4-year-old plantation grown Eucalyptus pilularis and Eucalyptus cloeziana trees. For. Ecol. Manag. 2007, 252, 41–51. [Google Scholar] [CrossRef]
- Monte, M.A.; Reis, M.D.G.F.; Reis, G.G.D.; Leite, H.G.; Cacau, F.V.; de Freitas Alves, F. Growth of eucalypt clone submitted to pruning and thinning. Rev. Arvore 2009, 33, 777–787. [Google Scholar] [CrossRef][Green Version]
- Schneider, P.R.; Finger, C.A.G.; Hoppe, J.M.; Drescher, R.; Scheeren, L.W.; Mainardi, G.L.; Fleig, F.D. Produção de Eucalyptus grandis Hhill ex Maiden em diferentes intensidades de desbaste. Ciência Florest. 1998, 8, 129–140. [Google Scholar] [CrossRef][Green Version]
- Trevisan, R.; Haselein, C.R.; Santini, É.J.; Schneider, P.R.; de Menezes, L.F. Efeito da intensidade de desbaste na qualidade da madeira serrada de Eucalyptus grandis. Floresta 2009, 39, 825–831. [Google Scholar] [CrossRef]
- Medhurst, J.; Beadle, C.; Neilsen, W. Early-age and later-age thinning affects growth, dominance, and intraspecific competition in Eucalyptus nitens plantations. Can. J. For. Res. 2001, 31, 187–197. [Google Scholar] [CrossRef]
- Messina, M.G. Response of Eucalyptus regnans F. Muell. to thinning and urea fertilization in New Zealand. For. Ecol. Manag. 1992, 51, 269–283. [Google Scholar] [CrossRef]
- Smith, R.; Brennan, P. First thinning in sub-tropical eucalypt plantations grown for high-value solid-wood products: A review. Aust. For. 2006, 69, 305–312. [Google Scholar] [CrossRef]
- Forrester, D.I.; Elms, S.R.; Baker, T.G. Tree growth-competition relationships in thinned Eucalyptus plantations vary with stand structure and site quality. Eur. J. For. Res. 2013, 132, 241–252. [Google Scholar] [CrossRef]
- Forrester, D.I. Growth responses to thinning, pruning and fertiliser application in Eucalyptus plantations: A review of their production ecology and interactions. For. Ecol. Manag. 2013, 310, 336–347. [Google Scholar] [CrossRef]
- da Silva, J.V.; Nogueira, G.S.; Santana, R.C.; Leite, H.G.; de Oliveira, M.L.R.; de Paula Almado, R. Produção e acúmulo de nutrientes em povoamento de eucalipto em consequência da intensidade do desbaste e da fertilização. Pesqui. Agropecuária Bras. 2012, 47, 1555–1562. [Google Scholar] [CrossRef][Green Version]
- Trevisan, R.; Denardi, L.; Haselein, C.R.; Gatto, D.A. Efeito do desbaste e variação longitudinal da massa específica básica da madeira de Eucalyptus grandis. Sci. For. Sci. 2012, 40, 393–399. [Google Scholar]
- Forrester, D.I.; Baker, T.G. Growth responses to thinning and pruning in Eucalyptus globulus, Eucalyptus nitens, and Eucalyptus grandis plantations in southeastern Australia. Can. J. For. Res. 2012, 42, 75–87. [Google Scholar] [CrossRef]
- OPYPA—MGAP, Análisis Sectorial y Cadenas Productivas. Temas de Política. Estudios. 2016. Available online: https://descargas.mgap.gub.uy/OPYPA/Anuarios/Anuario%202016/anuario_opypa_2016_en_baja.pdf (accessed on 1 September 2023).
- Medhurst, J.L.; Battaglia, M.; Beadle, C.L. Measured and predicted changes in tree and stand water use following high-intensity thinning of an 8-year-old Eucalyptus nitens plantation. Tree Physiol. 2002, 22, 775–784. [Google Scholar] [CrossRef]
- Smith, F.W.; Long, J.N. Age-related decline in forest growth: An emergent property. For. Ecol. Manag. 2001, 144, 175–181. [Google Scholar] [CrossRef]
- Ferraz Filho, A.C. Management of Eucalyptus Plantation for Solid Wood Production. Ph.D. Thesis, Universidade Federal de Lavras, Lavras, MG, Brazil, 2013. [Google Scholar]
- Scheeren, L.W.; Schneider, P.R.; Finger, C.A.G. Crescimento e produção de povoamentos monoclonais de Eucalyptus saligna Smith manejados com desbaste, na região Sudeste do estado do Rio Grande do Sul. Ciência Florest. 2004, 14, 111–122. [Google Scholar] [CrossRef][Green Version]
- Reineke, L. Perfecting a stand-density index for even- aged forests. J. Agric. Res. 1933, 46, 627–638. [Google Scholar]
- Malan, F.S.; Hoon, M. Effect of initial spacing and thinning on some wood properties of Eucalyptus grandis. S. Afr. For. J. 1992, 163, 13–20. [Google Scholar] [CrossRef]
- Schönau, A.P.G.; Coetzee, J. Initial spacing, stand density and thinning in eucalypt plantations. For. Ecol. Manag. 1989, 29, 245–266. [Google Scholar] [CrossRef]
- Thomas, D.S.; Montagu, K.D.; Conroy, J.P. Changes in wood density of Eucalyptus camaldulensis due to temperature—The physiological link between water viscosity and wood anatomy. For. Ecol. Manag. 2004, 193, 157–165. [Google Scholar] [CrossRef]
- Medhurst, J.; Downes, G.; Ottenschlaeger, M.; Harwood, C.; Evans, R.; Beadle, C. Intra-specific competition and the radial development of wood density, microfibril angle and modulus of elasticity in plantation-grown Eucalyptus nitens. Trees 2012, 26, 1771–1780. [Google Scholar] [CrossRef]
- Downes, G.; Worledge, D.; Schimleck, L.; Harwood, C.; French, J.; Beadle, C. The effect of growth rate and irrigation on the basic density and kraft pulp yield of Eucalyptus globulus and E. nitens. New Zeal. J. For. 2006, 51, 13–22. [Google Scholar]
- Rocha, M.F.V.; Vital, B.R.; Carneiro, A.C.O.; Carvalho, A.M.M.L.; Cardoso, M.T.; Hein, P.R.G. Effects of plant spacing on the physical, chemical and energy properties of Eucalyptus wood and bark. J. Trop. For. Sci. 2016, 28, 243–248. [Google Scholar]
- Paulino, E.J. Influência do Espaçamento e da Idade na Produção de Biomassa e na Rotação Econômica em Plantios de Eucalipto. Master’s Thesis, Universidade Federal Dos Vales Do Jequitinhonha e Mucuri—UFVJM, Diamantina, MG, Brazil, 2012. [Google Scholar]
- Junior, H.J.E.; de Melo, R.X.; Sartori, M.M.P.; Guerra, S.P.S.; Ballarin, A.W. Sustainable use of eucalypt biomass grown on short rotation coppice for bioenergy. Biomass Bioenergy 2016, 90, 15–21. [Google Scholar] [CrossRef]
- de Lima, I.L.; Garcia, J.N. Variação da densidade aparente e resistência à compressão paralela às fibras em função da intensidade de desbaste, adubação e posição radial em Eucalyptus grandis hill ex-maiden. Rev. Árvore 2010, 34, 551–559. [Google Scholar] [CrossRef]
- O’Neill, H.; Tarigo, F.; Tarigo, J.; García, G. Propiedades mecánicas de Eucalyptus grandis Maiden del norte de Uruguay, 2005. Montevideo [URUGUAY]: Laboratorio Tecnológico del Uruguay (LATU). Informe. Serie Forestales. Grupo Técnico de madera aserrada de Eucalipto GT2, num. 5. Available online: https://catalogo.latu.org.uy/opac_css/doc_num.php?explnum_id=560. (accessed on 1 September 2023).
- Medhurst, J.; Beadle, C. Sapwood hydraulic conductivity and leaf area—Sapwood area relationships following thinning of a Eucalyptus nitens plantation. Plant Cell Environ. 2002, 25, 1011–1019. [Google Scholar] [CrossRef]
- Yao, R.L.; Glencross, K.; Nichols, J.D. Difference in shade tolerance affects foliage-sapwood response to thinning by two eucalypts. South. For. 2014, 76, 93–100. [Google Scholar] [CrossRef]
- Wilkins, A.P. Sapwood, heartwood and bark thickness of silviculturally treated Eucalyptus grandis. Wood Sci. Technol. 1991, 25, 415–423. [Google Scholar] [CrossRef]
- Dickson, R.L.; Raymond, C.A.; Joe, W.; Wilkinson, C.A. Segregation of Eucalyptus dunnii logs using acoustics. For. Ecol. Manag. 2003, 179, 243–251. [Google Scholar] [CrossRef]
- Hein, P.R.G.; Lima, J.T. Relationships between microfibril angle, modulus of elasticity and compressive strength in Eucalyptus wood. Maderas Cienc. y Tecnol. 2012, 14, 267–274. [Google Scholar] [CrossRef]
- Yang, J.L.; Evans, R. Prediction of MOE of eucalypt wood from microfibril angle and density. Holz Als Roh-Und Werkst. 2003, 61, 449–452. [Google Scholar] [CrossRef]
- Hein, P.R.G.; Silva, J.R.M.; Brancheriau, L. Correlations among microfibril angle, density, modulus of elasticity, modulus of rupture and shrinkage in 6-year-old Eucalyptus urophylla × E. grandis. Maderas Cienc. y Tecnol. 2013, 15, 171–182. [Google Scholar] [CrossRef]
- Barnett, J.R.; Bonham, V.A. Cellulose microfibril angle in the cell wall of wood fibres. Biol. Rev. Camb. Philos. Soc. 2004, 79, 461–472. [Google Scholar] [CrossRef] [PubMed]
- Donaldson, L. Microfibril angle: Measurement, variation and relationships—A review. IAWA J. 2008, 29, 345–386. [Google Scholar] [CrossRef]
- Lima, J.; Breese, M.; Cahalan, C. Variation in microfibril angle in Eucalyptus clones. Holzforschung 2004, 58, 160–166. [Google Scholar] [CrossRef]
- Wimmer, R.; Downes, G.; Evans, R. Temporal variation of microfibril angle in Eucalyptus nitens grown in different irrigation regimes. Tree Physiol. 2002, 22, 817. [Google Scholar] [CrossRef] [PubMed]
- Ministerio de Agricultura y Pesca. Comisión Nacional de Estudio Agroeconómico de la Tierra -MAP.CONEAT; Grupos de Suelos Decretados de Aptitud Forestal: Montevideo, Uruguay, 1979; 167p. [Google Scholar]
- Castaño, J.; Giménez, A.; Ceroni, M.; Furest, J.; Aunchayna, R. Caracterización Agroclimática del Uruguay 1980–2009; Serie Técnica N° 193; Unidad de Comunicación y Transferencia de Tecnología de INIA: Montevideo, Uruguay, 2010; p. 40. ISBN 978-9974-38-330-2. [Google Scholar]
- Rachid, C.C.; Mason, E.G.; Woollons, R.; Resquin, F. Volume and taper equations for P. taeda (L.) and E. grandis (Hill ex. Maiden). Agrociencia 2014, 18, 47–60. [Google Scholar] [CrossRef]
- UNIT 237:2008; Determinación de la Densidad Aparente en Maderas. Instituto Uruguayo de Normas Técnicas: Montevideo, Uruguay, 2008; p. 12.
- dos Santos, M. Efeito do Espaçamento de Plantio na Biomassa do Fuste de um Clone Híbrido Interespecífico de Eucalyptus grandis e Eucalyptus urophylla. Master’s Thesis, Universidade Estadual Paulista “Júlio de Mesquita Filho” Faculdade de Ciências Agronômicas Campus de Botucatu, Botucatu, SP, Brazil, 2011. [Google Scholar]
- American Standard Testing Methods—ASTM D 143-94; Standard Methods of Testing Small Clear Specimens of Timber 1. ASTM International: West Conshohocken, PA, USA, 1994; p. 31.
- UNIT 1137:2007; Método de Ensayo Para la Determinación de los Módulos de Elasticidad y Rotura en Ensayo de Flexión Estática en Maderas. Instituto Uruguayo de Normas Técnicas: Montevideo, Uruguay, 2007; p. 12.
- Forrester, D.I.; Medhurst, J.L.; Wood, M.; Beadle, C.L.; Valencia, J.C. Growth and physiological responses to silviculture for producing solid-wood products from Eucalyptus plantations: An Australian perspective. For. Ecol. Manag. 2010, 259, 1819–1835. [Google Scholar] [CrossRef]
- Nogueira, G.S.; Marshall, P.L.; Leite, H.G.; Campos, J.C.C. Thinning Intensity and Pruning Impacts on Eucalyptus Plantations in Brazil. Int. J. For. Res. 2015, 2015, 168390. [Google Scholar] [CrossRef]
- Filho, A.C.F.; Mola-Yudego, B.; González-Olabarria, J.R.; Scolforo, J.R.S. Thinning regimes and initial spacing for Eucalyptus plantations in Brazil. An. Acad. Bras. Cienc. 2018, 90, 255–265. [Google Scholar] [CrossRef] [PubMed]
- Binkley, D.; Stape, J.; Bauerle, W.; Ryan, M. Explaining growth of individual trees: Light interception and efficiency of light use by Eucalyptus at four sites in Brazil. For. Ecol. Manag. 2010, 259, 1704–1713. [Google Scholar] [CrossRef]
- Neilsen, W.; Gerrand, A. Growth and branching habit of Eucalyptus nitens at different spacing and the effect on final crop selection. For. Ecol. Manag. 1999, 123, 217–229. [Google Scholar] [CrossRef]
- McKenzie, H.; Hawke, A. Growth response of Eucalyptus regnans dominant trees to thinning in New Zealand. N. Zeal. J. For. Sci. 1999, 29, 301–310. [Google Scholar]
- Schönau, A.P.G. The effect of planting espacement and pruning on growth, yield and timber density of Eucalyptus grandis. S. Afr. For. J. 1974, 88, 16–23. [Google Scholar] [CrossRef]
- Balloni, E.A.; Simões, J.W. O Espaçamento de Plantio e Suas Implicações Silviculturais; IPEF—Série Técnica: Piracicaba, SP, Brazil, 1980; Volume 1, pp. 1–16. [Google Scholar]
- Patiño-Valera, F. Variação Genética em Progênies de Eucalyptus saligna, Smith e Sua Interação Com o Espaçamento. Ph.D. Thesis, Escola Superior de Agricultura “Luiz de Queiroz”, da Universidade de São Paulo, São Paulo, SP, Brazil, 1986. [Google Scholar]
- Trevisan, R. Efeito do Desbaste nos Parâmetros Dendrométricos e na Qualidade da Madeira de Eucalyptus grandis W. Hill ex Maiden. Ph.D. Thesis, Universidade Federal de Santa Maria (UFSM-RS), Santa Maria, SP, Brazil, 2010. [Google Scholar]
- Gomes, G.S.L.; Neto, S.N.d.O.; Leite, H.G.; da Silva, M.L.; Lopes, L.S.d.S.; Schettini, B.L.S. Relationships between spacing, productivity and profitability of eucalypt plantations in a small rural property in south-eastern Brazil. South. For. 2022, 84, 206–214. [Google Scholar] [CrossRef]
- Fernandes, G.L.; Casas, G.G.; Fardin, L.P.; Nogueira, G.S.; Leite, R.V.; Couto, L.; Leite, H.G. Effects of Spacing on Early Growth Rate and Yield of Hybrid Eucalyptus Stands. Pertanika J. Trop. Agric. Sci. 2023, 46, 627–645. [Google Scholar] [CrossRef]
- Resquin, F.; Navarro-Cerrillo, R.M.; Rachid-Casnati, C.; Hirigoyen, A.; Carrasco-Letelier, L.; Duque-Lazo, J. Allometry, Growth and Survival of Three Eucalyptus Species (Eucalyptus benthamii Maiden and Cambage, E. dunnii Maiden and E. grandis Hill ex Maiden) in High-Density Plantations in Uruguay. Forests 2018, 9, 745. [Google Scholar] [CrossRef]
- Larocca, F.; Tea, F.D.; Aparicio, J.L. Técnicas de implantación y manejo de Eucalyptus grandis para pequeños y medianos forestadores en entre ríos y corrientes. In Proceedings of the XIX Jornadas Forestales de Entre Ríos, Concordia, Argentina, 14–15 October 2004; pp. 1–16. [Google Scholar]
- Caniza, F.; Mastandrea, C.; Alberti, S.; Aparicio, J.; Ingaramo, L. Efecto Del Raleo En La Densidad Basica de la madera de Eucalyptus grandis. In Proceedings of the XXIII Jornadas Forestales de Entre Ríos, Concordia, Argentina, 30–31 October 2008; p. 11. [Google Scholar]
- Berger, R. Crescimento e Qualidade da Madeira de um Clone de Eucalyptus saligna Smith sob o Efeito do Espaçamento e da Fertilização. Ph.D. Thesis, Uiniversidade Federal de Santa Maria, Santa Maria, SP, Brazil, 2000. [Google Scholar]
- Navarrete, E.; Figueroa, X.; Novoa, P.; Espinosa, M. Efecto del manejo silvícola y clase de copa sobre la densidad básica de Eucalyptus nitens. Floresta 2009, 39, 345–354. [Google Scholar] [CrossRef]
- Rezende, M.; Saglietti, J.; Chaves, R. Variação da massa específica da madeira de Eucalyptus grandis aos 8 anos de idade em função de diferentes níveis de produtividade. Sci. For. 1998, 53, 71–78. [Google Scholar]
- Oliveira, J.T.d.S.; Silva, J.d.C. Variação Radial Da Retratibilidade E Densidade Básica Da madeira de Eucalyptus saligna Sm. Rev. Árvore. 2003, 27, 381–385. [Google Scholar] [CrossRef]
- Schneider, P. Introdução ao Manejo Florestal; UFSM/CEPEF-FATEC: Santa María, RS, Brazil, 1993; 348p. [Google Scholar]
- Miranda, I.; Gominho, J.; Pereira, H. Variation of heartwood and sapwood in 18-year-old Eucalyptus globulus trees grown with different spacings. Trees 2009, 23, 367–372. [Google Scholar] [CrossRef]
- Washusen, R.; Evans, R.; Southerton, S. A study of eucalyptus grandis and Eucalyptus globulus branch wood microstructure. IAWA J. 2005, 26, 203–210. [Google Scholar] [CrossRef]
- Cueto, G.; O’Neill, H.; Rachid, C.; Ohta, S.; Resquin, F. Influencia del raleo sobre el módulo de elasticidad y ruptura en Eucalyptus grandis. Agrociencia 2013, 17, 91–97. [Google Scholar] [CrossRef]
- Lima, J. Garcia, Influência do desbaste em propriedades físicas e mecânicas da madeira de Eucalyptus grandis Hill ex-Maiden. Rev. Inst. Flor. 2005, 17, 151–160. [Google Scholar] [CrossRef]
- O’Neill, H.; Tarigo, F.; Iraola, P.; Propiedades Mecánicas de Eucalyptus grandis H. del Norte de Uruguay. 2004. Montevideo [Uruguay]: Laboratorio Tecnológico del Uruguay (LATU), Informe. Serie Forestales. Grupo Técnico de madera aserrada de Eucalipto GT2, num. 4. Available online: https://catalogo.latu.org.uy/opac_css/doc_num.php?explnum_id=558 (accessed on 1 September 2023).
- O’Neill, H.; Tarigo, F.; Cardenas, P.; Olivera, C.; Tarigo, J.; García, G. Propiedades Mecánicas de Eucalyptus grandis Maiden del Centro del Uruguay. 2006. Montevideo [Uruguay]: Laboratorio Tecnológico del Uruguay (LATU). Informe. Serie Forestales. Grupo Técnico de madera aserrada de Eucalipto GT2, num. 6. Available online: https://catalogo.latu.org.uy/opac_css/doc_num.php?explnum_id=561 (accessed on 1 September 2023).
- Instituto Uruguayo de Normas Técnicas. UNIT. Madera Aserrada de uso Estructural—Clasificación Visual—Madera de Eucalipto (Eucalyptus grandis); Instituto Uruguayo de Normas Técnicas: Montevideo, Uruguay, 2018; Volume 1262, pp. 1–28. [Google Scholar]
- NBR 7190 Projeto de Estruturas de Madeira; ABNT—Associação Brasileira de Normas Técnicas: São Paulo, Brazil, 1997; pp. 2–107.
- Junior, L.S.; Garcia, J. Determinação das propriedades físicas e mecânicas da madeira de Eucalyptus urophylla. Determination of the physical and mechanical properties of the wood of Eucalyptus urophylla. Sci. For. 2004, 65, 120–129. [Google Scholar]











| First Thinning (1.5 Years) | Second Thinning (7.3 Years) | Rotation Age (20.8 Years) | ||
|---|---|---|---|---|
| Prescribed | Effective | Prescribed | Effective | Observed |
| 400 | 372 | 100 | 111 | 97 |
| 400 | 389 | 150 | 142 | 132 |
| 400 | 403 | 200 | 198 | 188 |
| 550 | 545 | 200 | 188 | 188 |
| 550 | 542 | 250 | 250 | 250 |
| 550 | 573 | 300 | 292 | 292 |
| 700 | 677 | 300 | 299 | 299 |
| 700 | 628 | 350 | 347 | 340 |
| 700 | 667 | 400 | 403 | 396 |
| No thinning | 840 | No thinning | 774 | 708 |
| Thinning Regimes (Remaining Trees·ha−1) | DBH (cm) | Ht (m) | Vi (m3) |
|---|---|---|---|
| 400–100 | 52.7 (0.3) a | 49.6 (0.6) ab | 4.2 (0.12) a |
| 400–150 | 50.7 (0.7) ab | 50.4 (0.1) a | 4.0 (0.14) ab |
| 400–200 | 47.2 (0.4) b | 48.9 (0.2) ab | 3.4 (0.03) b |
| 550–200 | 46.4 (1.5) bc | 47.2 (0.4) b | 3.2 (0.18) bc |
| 550–250 | 42.7 (0.2) c | 48.0 (1.0) b | 2.8 (0.08) c |
| 550–300 | 40.9 (0.5) cd | 46 (0.5) bc | 2.6 (0.04) cd |
| 700–300 | 39.5 (0.7) cd | 46.1 (0.4) bc | 2.4 (0.12) cd |
| 700–350 | 39.8 (1.0) cd | 46.3 (1.1) bc | 2.5 (0.14) cd |
| 700–400 | 37.8 (0.5) d | 43.7 (1.0) c | 2.1 (0.08) d |
| No thinning | 30.4 (0.7) e | 39.6 (0.8) c | 1.5 (0.05) e |
| Thinning Regimes (Trees·ha−1) | 2nd Thinning (7.3 Years) | Rotation Age (20.8 Years) | Total |
|---|---|---|---|
| ---------------------------(m3.ha−1)--------------------------- | |||
| 400–100 | 113 (2.1) a | 412 (35.3) d | 525 (33.6) d |
| 400–150 | 88 (3.2) b | 498 (35.8) cd | 586 (38.4) cd |
| 400–200 | 75 (3.3) bc | 641 (23.4) c | 716 (26.6) c |
| 550–200 | 97 (4.4) ab | 587 (30.3) c | 684 (34.7) c |
| 550–250 | 103 (5.6) ab | 704 (19.7) bc | 807 (19.9) b |
| 550–300 | 71 (5.9) bc | 724 (15.2) bc | 795 (9.6) b |
| 700–300 | 109 (13.6) ab | 703 (24.3) bc | 812 (19.9) b |
| 700–350 | 77 (8.5) bc | 839 (41.4) ab | 916 (34.7) a |
| 700–400 | 60(5.9) c | 815 (19.7) b | 875 (18.2) ab |
| No thinning | - | 978 (24.0) a | 978 (24.0) a |
| Age (Years) | ||||||||||||
|---|---|---|---|---|---|---|---|---|---|---|---|---|
| Thinning Regimes (Trees·ha−1) | 1.3 b | 1.3 a | 1.9 | 4.4 | 6.6 | 7.1 b | 7.3 a | 8.5 | 10.6 | 14.5 | 18 | 20.8 |
| 400–100 | 10 | 9 | 8 | 21 | 28 | 29 | 11 | 12 | 15 | 21 | 24 | 27 |
| 400–150 | 9 | 9 | 8 | 21 | 29 | 30 | 14 | 16 | 19 | 26 | 31 | 34 |
| 400–200 | 9 | 9 | 9 | 23 | 30 | 32 | 18 | 20 | 25 | 33 | 39 | 43 |
| 550–200 | 9 | 9 | 11 | 26 | 34 | 35 | 16 | 19 | 24 | 32 | 38 | 42 |
| 550–250 | 9 | 9 | 11 | 29 | 37 | 39 | 21 | 23 | 29 | 38 | 43 | 48 |
| 550–300 | 10 | 9 | 12 | 28 | 36 | 37 | 23 | 26 | 31 | 41 | 48 | 53 |
| 700–300 | 9 | 9 | 13 | 31 | 40 | 41 | 22 | 25 | 31 | 40 | 47 | 51 |
| 700–350 | 9 | 9 | 13 | 31 | 40 | 42 | 28 | 30 | 36 | 48 | 55 | 61 |
| 700–400 | 0 | 0 | 0 | 30 | 40 | 41 | 29 | 32 | 38 | 50 | 59 | 64 |
| No thinning | 9 | 9 | 15 | 37 | 46 | 48 | 48 | 51 | 58 | 70 | 80 | 84 |
| Thinning Regimes (Trees·ha−1) | 2nd Thinning (7.3 Years) | Rotation Age (20.8 Years) | Total | ||||||
|---|---|---|---|---|---|---|---|---|---|
| Sawmill | Pulp | Total | Sawmill | Pulp | Total | Sawmill | Pulp | Total | |
| --------------------------------------------(m3·ha−1)--------------------------------------- | |||||||||
| 400–100 | - | 110 | 110 | 310 (88%) | 43 (12%) | 353 | 310 (67%) | 153 (33%) | 463 |
| 400–150 | - | 87 | 87 | 368 (86%) | 59 (14%) | 427 | 368 (72%) | 146 (28%) | 513 |
| 400–200 | - | 72 | 72 | 436 (83%) | 91 (17%) | 527 | 436 (73%) | 163 (27%) | 609 |
| 550–200 | - | 90 | 90 | 414 (82%) | 93 (18%) | 507 | 414 (69%) | 183 (31%) | 597 |
| 550–250 | - | 94 | 94 | 432 (76%) | 135 (24%) | 567 | 432 (65%) | 229 (35%) | 661 |
| 550–300 | - | 71 | 71 | 439 (72%) | 167 (28%) | 606 | 439 (65%) | 238 (35%) | 677 |
| 700–300 | - | 120 | 120 | 386 (69%) | 175 (31%) | 561 | 386 (58%) | 277 (42%) | 663 |
| 700–350 | - | 72 | 72 | 469 (71%) | 196 (29%) | 665 | 469 (64%) | 268 (36%) | 737 |
| 700–400 | - | 56 | 56 | 457 (66%) | 239 (34%) | 696 | 457 (61%) | 295 (39%) | 752 |
| No thinning | - | - | - | 373 (47%) | 413 (53%) | 786 | 373 (47%) | 413 (53%) | 786 |
| MOEbf | MOEc | MORb | MORc | Bdw | Cd | |
|---|---|---|---|---|---|---|
| Cd p-value | 0.64 <0.0001 | 0.32 * 0.0001 | 0.64 <0.0001 | 0.63 * <0.0001 | 0.69 <0.0001 | - |
| Bdw p-value | 0.61 <0.0001 | 0.27 0.12 | 0.44 0.008 | 0.57 0.0003 | - | - |
Disclaimer/Publisher’s Note: The statements, opinions and data contained in all publications are solely those of the individual author(s) and contributor(s) and not of MDPI and/or the editor(s). MDPI and/or the editor(s) disclaim responsibility for any injury to people or property resulting from any ideas, methods, instructions or products referred to in the content. |
© 2024 by the authors. Licensee MDPI, Basel, Switzerland. This article is an open access article distributed under the terms and conditions of the Creative Commons Attribution (CC BY) license (https://creativecommons.org/licenses/by/4.0/).
Share and Cite
Resquin, F.; Baez, K.; de Freitas, S.; Passarella, D.; Coelho-Duarte, A.P.; Rachid-Casnati, C. Impact of Thinning on the Yield and Quality of Eucalyptus grandis Wood at Harvest Time in Uruguay. Forests 2024, 15, 810. https://doi.org/10.3390/f15050810
Resquin F, Baez K, de Freitas S, Passarella D, Coelho-Duarte AP, Rachid-Casnati C. Impact of Thinning on the Yield and Quality of Eucalyptus grandis Wood at Harvest Time in Uruguay. Forests. 2024; 15(5):810. https://doi.org/10.3390/f15050810
Chicago/Turabian StyleResquin, Fernando, Karen Baez, Sofia de Freitas, Diego Passarella, Ana Paula Coelho-Duarte, and Cecilia Rachid-Casnati. 2024. "Impact of Thinning on the Yield and Quality of Eucalyptus grandis Wood at Harvest Time in Uruguay" Forests 15, no. 5: 810. https://doi.org/10.3390/f15050810
APA StyleResquin, F., Baez, K., de Freitas, S., Passarella, D., Coelho-Duarte, A. P., & Rachid-Casnati, C. (2024). Impact of Thinning on the Yield and Quality of Eucalyptus grandis Wood at Harvest Time in Uruguay. Forests, 15(5), 810. https://doi.org/10.3390/f15050810

