Restoration of Aegiceras corniculatum Mangroves May Not Increase the Sediment Carbon, Nitrogen, and Phosphorus Stocks in Southeastern China
Abstract
1. Introduction
2. Materials and Methods
2.1. Sampling Site
2.2. Sample Collection and Analysis
2.3. Data Analysis
3. Results
3.1. Physical and Chemical Properties of Sediment
3.2. Carbon, Nitrogen, and Phosphorus Contents and Their Vertical Changes
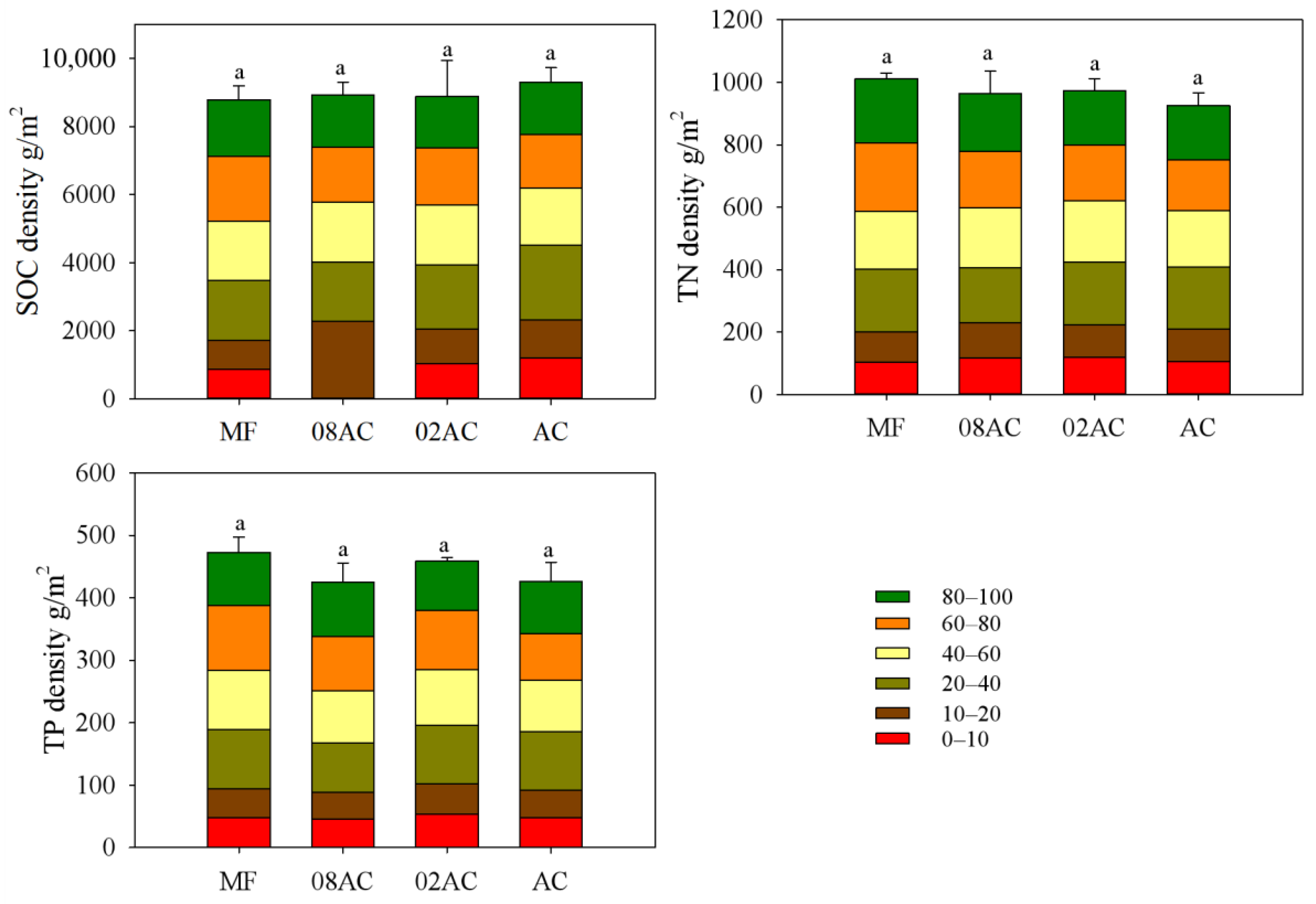
3.3. Changes in Carbon, Nitrogen, and Phosphorus Density in the Sediment
3.4. PCA Analysis of Sediment Carbon
4. Discussion
4.1. Effect of Mangrove Restoration on Carbon, Nitrogen, and Phosphorus Contents
4.2. Effect of Mangrove Restoration on Carbon, Nitrogen, and Phosphorus Stocks
4.3. Implication of A. corniculatum Restoration in Quanzhou Bay
5. Conclusions
Author Contributions
Funding
Data Availability Statement
Acknowledgments
Conflicts of Interest
References
- Alongi, D.M. Impacts of climate change on blue carbon stocks and fluxes in mangrove forests. Forests 2022, 13, 149. [Google Scholar] [CrossRef]
- Alongi, D.M. Carbon cycling and storage in mangrove forests. Annu. Rev. Mar. Sci. 2014, 6, 195–219. [Google Scholar] [CrossRef] [PubMed]
- Donato, D.C.; Kauffman, J.B.; Murdiyarso, D.; Kurnianto, S.; Stidham, M.; Kanninen, M. Mangroves among the most carbon-rich forests in the tropics. Nat. Geosci. 2011, 4, 293–297. [Google Scholar] [CrossRef]
- Khan, M.N.I.; Suwa, R.; Hagihara, A. Carbon and nitrogen pools in a mangrove stand of Kandelia obovata (S., L.) Yong: Vertical distribution in the soil–vegetation system. Wetl. Ecol. Manag. 2007, 15, 141–153. [Google Scholar] [CrossRef]
- Giri, C.; Ochieng, E.; Tieszen, L.L.; Zhu, Z.; Singh, A.; Loveland, T.; Masek, J.; Duke, N. Status and distribution of mangrove forests of the world using earth observation satellite data. Glob. Ecol. Biogeogr. 2011, 20, 154–159. [Google Scholar] [CrossRef]
- McKee, K.L.; Faulkner, P.L. Restoration of biogeochemical function in mangrove forests. Restor. Ecol. 2000, 8, 247–259. [Google Scholar] [CrossRef]
- Osland, M.J.; Spivak, A.C.; Nestlerode, J.A.; Lessmann, J.M.; Almario, A.E.; Heitmuller, P.T.; Russell, M.J.; Krauss, K.W.; Alvarez, F.; Dantin, D.D. Ecosystem development after mangrove wetland creation: Plant–soil change across a 20-year chronosequence. Ecosystems 2012, 15, 848–866. [Google Scholar] [CrossRef]
- Irving, A.D.; Connell, S.D.; Russell, B.D. Restoring coastal plants to improve global carbon storage: Reaping what we sow. PLoS ONE 2011, 6, e18311. [Google Scholar] [CrossRef]
- Feng, J.; Cui, X.; Zhou, J.; Wang, L.; Zhu, X.; Lin, G. Effects of exotic and native mangrove forests plantation on soil organic carbon, nitrogen, and phosphorus contents and pools in Leizhou, China. Catena 2019, 180, 1–7. [Google Scholar] [CrossRef]
- Moreno-Mateos, D.; Power, M.E.; Comín, F.A.; Yockteng, R. Structural and functional loss in restored wetland ecosystems. PLoS Biol. 2012, 10, e1001247. [Google Scholar] [CrossRef]
- Chen, S.; Chen, B.; Chen, G.; Ji, J.; Yu, W.; Liao, J.; Chen, G. Higher soil organic carbon sequestration potential at a rehabilitated mangrove comprised of Aegiceras corniculatum compared to Kandelia obovata. Sci. Total Environ. 2021, 752, 142279. [Google Scholar] [CrossRef] [PubMed]
- Feng, J.; Zhou, J.; Wang, L.; Cui, X.; Ning, C.; Wu, H.; Zhu, X.; Lin, G. Effects of short-term invasion of Spartina alterniflora and the subsequent restoration of native mangroves on the soil organic carbon, nitrogen and phosphorus stock. Chemosphere 2017, 184, 774–783. [Google Scholar] [CrossRef] [PubMed]
- Inoue, T.; Nohara, S.; Matsumoto, K.; Anzai, Y. What happens to soil chemical properties after mangrove plants colonize? Plant Soil 2011, 346, 259–273. [Google Scholar] [CrossRef]
- Yu, J.; Zhan, C.; Li, Y.; Zhou, D.; Fu, Y.; Chu, X.; Xing, Q.; Han, G.; Wang, G.; Guan, B. Distribution of carbon, nitrogen and phosphorus in coastal wetland soil related land use in the Modern Yellow River Delta. Sci. Rep. 2016, 6, 37940. [Google Scholar] [CrossRef] [PubMed]
- Lin, G.; He, Y.; Lu, J.; Chen, H.; Feng, J. Seasonal variations in soil physicochemical properties and microbial community structure influenced by Spartina alterniflora invasion and Kandelia obovata restoration. Sci. Total Environ. 2021, 797, 149213. [Google Scholar] [CrossRef] [PubMed]
- Ma, X.X.; Jiang, Z.Y.; Wu, P.; Wang, Y.F.; Cheng, H.; Wang, Y.S.; Gu, J.D. Effect of mangrove restoration on sediment properties and bacterial community. Ecotoxicology 2021, 30, 1672–1679. [Google Scholar] [CrossRef] [PubMed]
- Guo, L.; Deng, M.; Yang, S.; Liu, W.; Wang, X.; Wang, J.; Liu, L. The coordination between leaf and fine root litter decomposition and the difference in their controlling factors. Glob. Ecol. Biogeogr. 2021, 30, 2286–2296. [Google Scholar] [CrossRef]
- Duarte, C.M.; Middelburg, J.J.; Caraco, N. Major role of marine vegetation on the oceanic carbon cycle. Biogeosciences 2005, 2, 1–8. [Google Scholar] [CrossRef]
- Kristensen, E.; Bouillon, S.; Dittmar, T.; Marchand, C. Organic carbon dynamics in mangrove ecosystems: A review. Aquat. Bot. 2008, 89, 201–219. [Google Scholar] [CrossRef]
- Yu, X.; Yang, J.; Liu, L.; Tian, Y.; Yu, Z. Effects of Spartina alterniflora invasion on biogenic elements in a subtropical coastal mangrove wetland. Environ. Sci. Pollut. Res. 2015, 22, 3107–3115. [Google Scholar] [CrossRef]
- Chen, Y.; Chen, G.; Ye, Y. Coastal vegetation invasion increases greenhouse gas emission from wetland soils but also increases soil carbon accumulation. Sci. Total Environ. 2015, 526, 19–28. [Google Scholar] [CrossRef] [PubMed]
- Xin, K.; Yan, K.; Gao, C.; Li, Z. Carbon storage and its influencing factors in Hainan Dongzhangang mangrove wetlands. Mar. Freshw. Res. 2018, 69, 771–779. [Google Scholar] [CrossRef]
- Yu, C.; Feng, J.; Liu, K.; Wang, G.; Zhu, Y.; Chen, H.; Guan, D. Changes of ecosystem carbon stock following the plantation of exotic mangrove Sonneratia apetala in Qi’ao Island, China. Sci. Total Environ. 2020, 717, 137142. [Google Scholar] [CrossRef] [PubMed]
- Lunstrum, A.; Chen, L. Soil carbon stocks and accumulation in young mangrove forests. Soil Biol. Biochem. 2014, 75, 223–232. [Google Scholar] [CrossRef]
- Lu, W.; Yang, S.; Chen, L.; Wang, W.; Du, X.; Wang, C.; Ma, Y.; Lin, G.; Lin, G. Changes in carbon pool and stand structure of a native subtropical mangrove forest after inter-planting with exotic species Sonneratia apetala. PLoS ONE 2014, 9, e91238. [Google Scholar] [CrossRef] [PubMed]
- Liu, B.; Liu, X.; Huo, S.; Chen, X.; Wu, L.; Chen, M.; Zhou, K.; Li, Q.; Peng, L. Properties of root exudates and rhizosphere sediment of Bruguiera gymnorrhiza (L.). J. Soils Sediments 2017, 17, 266–276. [Google Scholar] [CrossRef]
- Lu, K.; Yang, Q.; Jiang, Y.; Liu, W. Changes in Temporal Dynamics and Factors Influencing the Environment of the Bacterial Community in Mangrove Rhizosphere Sediments in Hainan. Sustainability 2022, 14, 7415. [Google Scholar] [CrossRef]
- Zhou, J.; Wu, Y.; Kang, Q.; Zhang, J. Spatial variations of carbon, nitrogen, phosphorous and sulfur in the salt marsh sediments of the Yangtze Estuary in China. Estuar. Coast. Shelf Sci. 2007, 71, 47–59. [Google Scholar] [CrossRef]
- Scharler, U.; Ulanowicz, R.E.; Fogel, M.; Wooller, M.; Jacobson-Meyers, M.; Lovelock, C.; Feller, I.; Frischer, M.; Lee, R.; McKee, K. Variable nutrient stoichiometry (carbon: Nitrogen: Phosphorus) across trophic levels determines community and ecosystem properties in an oligotrophic mangrove system. Oecologia 2015, 179, 863–876. [Google Scholar] [CrossRef]
- Shih, S.-S.; Hsieh, H.-L.; Chen, P.-H.; Chen, C.-P.; Lin, H.-J. Tradeoffs between reducing flood risks and storing carbon stocks in mangroves. Ocean Coast. Manag. 2015, 105, 116–126. [Google Scholar] [CrossRef]
- Chen, Z.; Guo, L.; Jin, B.; Wu, J.; Zheng, G. Effect of the exotic plant Spartina alterniflora on macrobenthos communities in salt marshes of the Yangtze River Estuary, China. Estuar. Coast. Shelf Sci. 2009, 82, 265–272. [Google Scholar] [CrossRef]




| Item | Factor | df | F | P |
|---|---|---|---|---|
| Salinity | Site | 3 | 21.38 | 0.00 |
| Depth | 5 | 1.49 | 0.21 | |
| Site × Depth | 15 | 1.66 | 0.08 | |
| pH | Site | 3 | 170.86 | 0.00 |
| Depth | 5 | 3.31 | 0.01 | |
| Site × Depth | 15 | 2.69 | 0.00 | |
| Water Content | Site | 3 | 5.24 | 0.00 |
| Depth | 5 | 4.62 | 0.00 | |
| Site × Depth | 15 | 0.84 | 0.63 | |
| Bulk Density | Site | 3 | 7.46 | 0.00 |
| Depth | 5 | 8.72 | 0.00 | |
| Site × Depth | 15 | 0.96 | 0.51 | |
| TC | Site | 3 | 14.68 | 0.00 |
| Depth | 5 | 32.99 | 0.00 | |
| Site × Depth | 15 | 2.61 | 0.00 | |
| TN | Site | 3 | 2.62 | 0.06 |
| Depth | 5 | 30.2 | 0.00 | |
| Site × Depth | 15 | 1.84 | 0.05 | |
| C:N | Site | 3 | 10.67 | 0.00 |
| Depth | 5 | 5.63 | 0.00 | |
| Site × Depth | 15 | 1.23 | 0.28 | |
| TP | Site | 3 | 3.15 | 0.03 |
| Depth | 5 | 22.39 | 0.00 | |
| Site × Depth | 15 | 1.71 | 0.07 |
| Site | Depth (cm) | Water Content (%) | Bulk Density (g/cm3) | Salinity (mg/g) | pH |
|---|---|---|---|---|---|
| MF | 0–10 | 44.67 ± 2.58 a | 0.87 ± 0.06 a | 14.77 ± 3.91 a | 7.74 ± 0.05 a |
| 10–20 | 36.61 ± 12.04 a | 0.87 ± 0.04 a | 18.06 ± 1.61 a | 7.75 ± 0.04 a | |
| 20–40 | 43.16 ± 4.29 a | 0.92 ± 0.12 a | 15.6 ± 0.62 b | 7.85 ± 0.04 a | |
| 40–60 | 40.91 ± 2.1 a | 0.96 ± 0.03 a | 16.25 ± 1.81 a | 7.84 ± 0.03 a | |
| 60–80 | 37.19 ± 1.14 a | 1.06 ± 0.04 a | 11.32 ± 2.5 b | 7.9 ± 0.04 a | |
| 80–100 | 39.73 ± 0.32 a | 0.96 ± 0.03 a | 13.46 ± 2.07 a | 7.89 ± 0.04 a | |
| 08AC | 0–10 | 48.7 ± 1.5 a | 0.81 ± 0.05 ab | 22.89 ± 7.43 a | 7.04 ± 0.22 b |
| 10–20 | 48.36 ± 0.3 a | 0.82 ± 0.04 b | 18.06 ± 4.32 a | 7.3 ± 0.13 b | |
| 20–40 | 50.23 ± 9.7 a | 0.79 ± 0.17 a | 17.22 ± 4.24 b | 7.51 ± 0.05 b | |
| 40–60 | 44.04 ± 4.49 a | 0.88 ± 0.09 a | 23.23 ± 5.37 a | 7.38 ± 0.11 b | |
| 60–80 | 41.83 ± 5.61 a | 0.93 ± 0.1 ab | 23.07 ± 3.73 a | 7.33 ± 0.16 b | |
| 80–100 | 41.08 ± 7.17 a | 0.98 ± 0.18 a | 15.88 ± 4.24 a | 7.34 ± 0.28 b | |
| 02AC | 0–10 | 47.63 ± 1.2 a | 0.84 ± 0.05 ab | 15.02 ± 0.53 a | 7.05 ± 0.14 ab |
| 10–20 | 45.77 ± 4.6 a | 0.81 ± 0.03 b | 16.43 ± 2.66 a | 6.89 ± 0.15 c | |
| 20–40 | 45.42 ± 2.25 a | 0.86 ± 0.05 a | 19.43 ± 3.3 ab | 6.82 ± 0.11 c | |
| 40–60 | 44.26 ± 2.17 a | 0.88 ± 0.04 a | 17.26 ± 1.72 a | 6.86 ± 0.16 c | |
| 60–80 | 41.47 ± 5.46 a | 0.94 ± 0.11 ab | 14.9 ± 1.68 b | 6.82 ± 0.21 c | |
| 80–100 | 36.9 ± 8.07 a | 1.1 ± 0.18 a | 16.93 ± 4.75 a | 6.9 ± 0.16 b | |
| AC | 0–10 | 47.74 ± 2.14 a | 0.72 ± 0.07 b | 23.08 ± 3.78 a | 6.7 ± 0.09 c |
| 10–20 | 46.24 ± 1.57 a | 0.78 ± 0.03 c | 24.55 ± 5.51 a | 6.94 ± 0.15 c | |
| 20–40 | 44.3 ± 2.31 a | 0.84 ± 0.06 a | 24.16 ± 1.96 a | 6.98 ± 0.14 c | |
| 40–60 | 44.54 ± 3.55 a | 0.82 ± 0.09 a | 22.48 ± 2.56 a | 6.95 ± 0.16 c | |
| 60–80 | 44.39 ± 2.52 a | 0.84 ± 0.04 b | 24.21 ± 3.37 a | 7.06 ± 0.08 bc | |
| 80–100 | 43.75 ± 1.98 a | 0.89 ± 0.05 a | 19.75 ± 2.17 a | 7.2 ± 0.21 b |
Disclaimer/Publisher’s Note: The statements, opinions and data contained in all publications are solely those of the individual author(s) and contributor(s) and not of MDPI and/or the editor(s). MDPI and/or the editor(s) disclaim responsibility for any injury to people or property resulting from any ideas, methods, instructions or products referred to in the content. |
© 2024 by the authors. Licensee MDPI, Basel, Switzerland. This article is an open access article distributed under the terms and conditions of the Creative Commons Attribution (CC BY) license (https://creativecommons.org/licenses/by/4.0/).
Share and Cite
Hu, N.; Wei, L.; Zhou, Y.; Wu, M.; Feng, J. Restoration of Aegiceras corniculatum Mangroves May Not Increase the Sediment Carbon, Nitrogen, and Phosphorus Stocks in Southeastern China. Forests 2024, 15, 149. https://doi.org/10.3390/f15010149
Hu N, Wei L, Zhou Y, Wu M, Feng J. Restoration of Aegiceras corniculatum Mangroves May Not Increase the Sediment Carbon, Nitrogen, and Phosphorus Stocks in Southeastern China. Forests. 2024; 15(1):149. https://doi.org/10.3390/f15010149
Chicago/Turabian StyleHu, Naxu, Long Wei, Yi Zhou, Meilin Wu, and Jianxiang Feng. 2024. "Restoration of Aegiceras corniculatum Mangroves May Not Increase the Sediment Carbon, Nitrogen, and Phosphorus Stocks in Southeastern China" Forests 15, no. 1: 149. https://doi.org/10.3390/f15010149
APA StyleHu, N., Wei, L., Zhou, Y., Wu, M., & Feng, J. (2024). Restoration of Aegiceras corniculatum Mangroves May Not Increase the Sediment Carbon, Nitrogen, and Phosphorus Stocks in Southeastern China. Forests, 15(1), 149. https://doi.org/10.3390/f15010149
