Abstract
Heavy metals are serious pollutants that affect the growth and disease resistance of woody plants. Herein, the enrichment characteristics of an essential element (Zn) in Populus simonii seedlings, as well as the effects of Zn stress on seedling growth and resistance to leaf rust, were investigated. Zn contents in roots, stems, and leaves of treatment groups were significantly increased. Zn stress at all concentrations significantly inhibited the biomass of seedlings. Under the low, middle, and high Zn treatments, compared with the control group, CAT activity significantly decreased by 36%, 21%, and 14%; SOD activity significantly decreased by 13%, 8%, and 5%; PPO activity significantly decreased by 27%, 31%, and 47%; TI activity significantly decreased by 48%, 55%, and 61%, and CI activity significantly decreased by 10%, 20%, and 14%, respectively. In the natural environment, we accidentally discovered that P. simonii was infected with leaf rust, and Zn stress significantly increased the rust disease index. The disease index correlated positively with Zn content in leaves and negatively with the chemical defense indexes. Taken together, Zn stress causes a strong growth toxicity in P. simonii seedlings, and the reduced chemical defense under Zn stress increases the susceptibility of seedlings to leaf rust.
1. Introduction
Soil is an important part of the natural ecosystem. With the rapid development of industry, agriculture, and transportation, abundant heavy metals including Cd, Zn, Pb, Cr, etc., flow into the soil environment [1,2]. When heavy metals in the soil exceed a certain level, this can cause a series of ecotoxicological effects, such as soil degradation and ecosystem damage [3,4]. Currently, soil heavy metal pollution has become a global environmental problem. In China, heavy metals such as Cd, Pb, As, and Zn are the main causes of soil pollution, and about one-sixth of agricultural land is polluted by heavy metals [5,6]. The European Union has ~3.5 million polluted sites, of which ~50 sites have reached high pollution levels [7].
As the substrate of plant growth, soil can exchange materials, energy, and information with plants and provide the necessary energy and materials for plant growth [8]. Heavy metals in the soil are absorbed by plant roots during the process of material exchange between the soil and plants and are finally transported to various parts of the plants [9]. An accumulation of heavy metal ions can induce plants to increase the production of reactive oxygen species (ROS), with negative impacts on plant development [10,11]. For example, Parmar et al. (2013) found that Cd can block chlorophyll synthesis by replacing Mg2+ in chlorophyll [12]. Milone et al. (2003) found that Cd can significantly inhibit the photosynthetic efficiency of plants, thereby impairing plant growth [13]. To counter the toxicity of heavy metals, plants usually employ effective detoxification mechanisms such as avoidance, subcellular distribution, and detoxification metabolism [14]. Avoidance means that plants precipitate heavy metal ions through root adsorption and discharge to the outside environment [15]. Subcellular distribution refers to the conversion of the absorbed heavy metals into low or non-bioactive forms, which are then stored in inactive cellular components such as vacuoles and cell walls [16,17]. Finally, the detoxification metabolism means that plants scavenge ROS and reduce oxidative damage by activating the antioxidant defense system in vivo [18,19]. The antioxidant defense system is made up of antioxidant enzymes, such as catalase (CAT), peroxidase (POD), and superoxide dismutase (SOD), and non-enzymatic antioxidants, including glutathione and ascorbic acid [20].
As proposed by the induced defense hypothesis, stress from heavy metal exposure induces plants to produce phytochemical defense-related substances [21]. These substances involve defense enzymes, such as phenylalanine ammonia-lyase (PAL) and polyphenol oxidase (PPO), and protease inhibitors, including trypsin inhibitors (TIs) and chymotrypsin inhibitors (CIs), which can increase the plant’s defense capability [22]. Additionally, the elemental defense hypothesis proposes that heavy metal enrichment in plants can also improve the resistance of plants to pathogenic microorganisms or herbivorous insects [23,24]. For example, Martos et al. (2016) found increased resistance to Alternaria alternata in Zn-enriched Arabidopsis thaliana [24]. However, the defense mechanism was dependent on the heavy metal species, its concentration, and on the host plant species. Dai et al. (2020) found higher resistance to Rhizoctonia solani in Eupatorium adenophora treated with lower rather than higher doses of Cd [25].
Zn is an essential element for plant growth that promotes the photosynthesis rate and nutrient biosynthesis [26,27]. When the environmental Zn concentration exceeds the plant tolerance threshold, it will still cause toxicity in plants [28]. Populus simonii is often used as a common tree species in the fields of architecture, urban greening, and ecological protection because of its strong adaptability, fast growth, and both cold and drought resistance [29]. These are the key areas where heavy metal pollution occurs, resulting in a higher exposure risk of P. simonii to heavy metal. With the rapid development of bioassay experiments of heavy metals, many recent studies have systematically explored the phytotoxic effects and their associated mechanisms of heavy metals. However, very few have studied the growth and physiological status of trees under the stress of essential metal elements, as well as their disease resistance ability in natural environments. Based on this, the objective of this work was to evaluate the influence of different Zn concentrations on plant growth and on the poplar leaf rust resistance of P. simonii seedlings.
2. Materials and Methods
2.1. Experimental Design
Three different concentrations of ZnCl2 (300 mg/kg, 500 mg/kg and 700 mg/kg) solution were used to treat the soil of biennial potted P. simonii. After 2 months of Zn stress, the accumulation and transfer effects of Zn in various tissues of P. simonii, as well as the growth of P. simonii, were analyzed. Subsequently, the antioxidant enzymes activities, plant defense enzymes activities, and protease inhibitor content of P. simonii after 2 months of Zn treatment were measured. In addition, the incidence and disease index of leaf rust of P. simonii in the control group and each Zn treatment group were statistically analyzed under natural conditions.
2.2. Experimental Materials and Treatment
On 30 April 2020, biennial P. simonii seedlings were purchased from Harbin Flower Market (Harbin, China) and were planted in 3 L flowerpots (25 cm diameter by 23 cm height) containing 3 kg substrate in the Maoershan Experimental Forest Farm, Harbin City, Heilongjiang Province, China. Maoershan Experimental Forest Farm has a temperature of about 10–27 °C and relative humidity of about 50%–70% during May to September. One seedling was planted in each flowerpot. The substrate properties are shown in Table S1. Insect-proof nets were used to cover the space around and above the tested plants to prevent insect attacks (Figure S1). During the experiment, water was poured every 3 days and grass was removed twice a month. After two months’ growth, healthy P. simonii seedlings with similar growth were divided into four groups. Among them, the soils in three groups were treated with ZnCl2 solution (Aladdin, China), with the treatment concentration of Zn2+ reaching 300 mg/kg (denoted as Zn300), 500 mg/kg (denoted as Zn500), and 700 mg/kg (denoted as Zn700). The other group was treated with the same amount of distilled water solution, which was recorded as the control (CK). The treatment concentration of Zn was set according to the treatment concentration in Populus alba × P. berolinensis by Jiang et al. [30] ZnCl2 solution or distilled water was injected into the substrate using a syringe. Before and after Zn treatment, all the seedlings were planted in pots without transplanting. A total of 150 seedlings were planted in each group. Before that, a tray was placed under the plastic flowerpot to prevent the seedling root from penetrating underground and thereby affecting the experimental effect. Leaf samples for physiological measurements were collected on the 50th day after Zn treatment and then stored in a −80 °C ultra-low temperature refrigerator. Each group of leaf samples had 3 replicates, and each replicate consisted of all leaves in 3 seedlings. The whole plant samples were collected on the 60th day after Zn treatment.
2.3. Determination of Heavy Metal Content in P. simonii
The whole seedling of P. simonii was divided into the roots, stems, and leaves. All the samples of roots, stems, leaves, and soil were dried at 70 °C to constant weight. The sample was crushed through a 100-mesh sieve and put into a sealed polyethylene bag for storage at room temperature. For plant samples, 0.2 g samples of roots, stems, and leaves were placed in a 50 mL conical flask, and 5 mL of HNO3 (68%) and 2 mL of HClO4 (70%) were added and left at 25 °C for 12 h. The conical flask was then placed on a graphite digester (YXGD-I-36, Tianjin, China) at 160 °C for 10 h. After digestion was completed, the final digested liquid (about 1 mL) was cooled to room temperature. For soil samples, 0.15 g of soil was placed in a 50 mL conical flask, 5 mL of HCl solution was added into it, and the flask was placed on the graphite digester for 2 h. Then, 2.5 mL of HNO3 (68%), 2.5 mL of HF (40%), and 1.5 mL of HClO4 (70%) solutions were added to the flask, and digestion continued for 10 h. Subsequently, the digestion solution was cooled down to room temperature (25 °C), poured into a 25 mL volumetric flask, and the volume was made up to 25 mL with 2% HNO3 solution. The Zn content in samples was determined using an atomic flame spectrophotometer (ICE3000, Waltham, MA, USA). Each group had 3 replicates, and each replicate consisted of 3 seedlings. The enrichment coefficient and transport coefficient of Zn in P. simonii were calculated according to the heavy metal concentrations in the soil and different parts of P. simonii. The enrichment coefficient indicated the ability of heavy metals in the soil to migrate into plants. The transfer coefficient represented the ability of the plant to transfer heavy metals from underground parts to aboveground parts. The coefficients were calculated based on the formula reported by Jiang et al. (2020) as follows [31]:
Enrichment coefficient = (Zn content in different parts of plants)/(Zn content in soil);
Transfer coefficient = (Zn content in aboveground part)/(Zn content in underground part).
2.4. Determination of Growth Indexes
Five seedlings, each one considered a biological replicate, were randomly selected for whole plant sampling. First, the plant height, ground diameter, and root length of each seedling were measured. The plant was then divided into three parts: root, stem, and leaf, and their fresh weights were measured. The roots, stems, and leaves of each seedling were dried in an oven to constant weight at 70 °C, and their dry weights were subsequently measured.
2.5. Determination of Antioxidant Enzyme Activity
The 0.3 g of cryopreserved leaves along with 6 mL of 50 mM sodium phosphate buffer (pH = 7.8) were ground into a homogenate in the liquid nitrogen bath. The homogenate was then centrifuged at 4 °C and 10,000 rpm for 10 min, and the supernatant was taken as the crude extract. The CAT activity in the leaves of P. simonii was determined using the hydrogen peroxide method [32]. CAT can decompose H2O2 into water and oxygen, and the activity of CAT can be measured according to the consumption of H2O2. The reaction system contained 2 mL sodium phosphate buffer solution (pH 7.8), 1 mL 0.1 M H2O2, and 0.05 mL crude extract. The absorbance at 240 nm was measured immediately after all the reagents of the reaction system were added, and then recorded every 1 min for 5 min. OD value of the mixture was determined by elisa reader (Shanghai Flash Spectrum Biotechnology Co., Ltd., SuPerMax 3100, Shanghai, China). The change of absorbance per gram of fresh sample per minute was 0.01 as an enzyme activity unit, which was expressed as U/GFW/min. SOD activity in P. simonii leaves was determined by the nitroblue tetrazolium (NBT) method, according to the principle that SOD can inhibit the reduction of NBT under light [31]. The reaction system comprised 1.5 mM phosphate buffer, 0.3 mM phosphomethionine, 0.3 mL 750 μM NBT, 0.3 mL 100 μM Na2-EDTA, 0.3 mL 20 μM riboflavin, 0.05 mL crude extract, and 0.25 mL distilled water. The total volume was 3 mL. The glass finger tube was prepared. Two tubes were control tubes, and the rest were sample tubes. The crude extract was not added to the two control tubes; an equal volume of distilled water was used instead. One of control tubes was placed in darkness for 20 min, and the other control tube and all sample tubes were placed under the light intensity of 4000 Lx for 20 min. Subsequently, the absorbance of each tube at 560 nm was immediately determined by zeroing the absorbance value of the control tube with the dark treatment. OD value of the mixture was determined by elisa reader (Shanghai Flash Spectrum Biotechnology Co., Ltd., SuPerMax 3100). According to the absorption value of the control tube with the light treatment, the photochemical reduction of nitroblue tetrazolium inhibited by 50% per gram of fresh samples was taken as one unit of enzyme activity. The SOD activity was expressed as U/GFW.
2.6. Effects of Zn Stress on the Chemical Defense of P. simonii
The PAL activity in P. simonii leaves was determined by phenylalanine colorimetry. First, 0.3 g of leaves along with 5 mL of 0.1 M mercaptoethanol and 1 mL of 10% polyvinylpyrrolidone (PVP) solution were ground into a homogenate in a liquid nitrogen bath, centrifuged for 10 min at 4 °C and 10,000 rpm, and the resulting supernatant was considered as the crude extract. The reaction system contained 3.8 mL of boric acid buffer, 1 mL of 0.02 mM L-phenylalanine solution, and 0.2 mL of crude extract. The reaction was carried out in a 40 °C water bath for 60 min, and the reaction was finally terminated by adding 0.2 mL HCl. The absorbance at 290 nm was measured immediately and repeated five times. OD value of the mixture was determined by elisa reader (Shanghai Flash Spectrum Biotechnology Co., Ltd., SuPerMax 3100). The change of absorbance per minute per gram of fresh sample was taken as a unit of enzyme activity and expressed as U/GFW/min. Triplicates were measured for each group.
The PPO activity in the leaves of P. simonii was determined by catechol colorimetry. First, 0.3 g of cryopreserved leaves along with 6 mL of PBS solution containing 7% polyvinylpyrrolidone (PVP) were ground into a homogenate in a liquid nitrogen bath and centrifuged at 5500 rpm for 10 min at 4 °C, and the resulting supernatant was taken as the crude extract. The reaction system contained 1.5 mL of 0.1 M catechol solution, 1 mL of 0.1 M PBS buffer, and 0.5 mL of crude extract. After the reaction was completed, the absorbance at 420 nm was measured, recorded every 30 s, and repeated five times. OD value of the mixture was determined by elisa reader (Shanghai Flash Spectrum Biotechnology Co., Ltd., SuPerMax 3100). The change of absorbance per gram of fresh sample per minute was taken as an enzyme activity unit, which was expressed in U/GFW/min. Triplicates were measured for each group.
For TI activity determination, 0.3 g of cryopreserved leaves along with 6 mL of Tris-HCl buffer containing CaCl2 were ground into a homogenate in a liquid nitrogen bath and centrifuged at 12,000 rpm for 10 min at 4 °C, and the resulting supernatant was considered the crude extract. Then, 60 μL of protease with known activity and 40 μL of crude extracts were reacted in the water bath at 25 °C for 60 min. The reaction system contained 2.9 mL of BAEE and 0.1 mL of the abovementioned mixture and was allowed to stand for 1 min. The absorbance at 256 nm was measured immediately and recorded every 60 s, and this was repeated five times. OD value of the mixture was determined by elisa reader (Shanghai Flash Spectrum Biotechnology Co., Ltd., SuPerMax 3100). The change of absorbance per gram of fresh sample per minute was taken as one TI activity unit, and the TI activity was expressed as U/GFW/min. Triplicates were measured for each group.
For CI activity determination, 0.3 g cryopreserved leaves along with 6 mL Tri-HCl buffer (0.05 M, pH 8.8) containing vitamin C, phenyl thiourea, polyvinyl alcohol, and CaCl2 were ground into a homogenate in a liquid nitrogen bath, centrifuged at 12,000 rpm for 10 min at 4 °C. The resulting supernatant was the crude extract. Then 60 μL protease with known activity and 40 μL crude extracts reacted in the water bath at 25 °C for 60 min. The reaction system contained 2.9 mL BAEE and 0.1 mL of the abovementioned mixture and was allowed to stand for 1 min. The absorbance at 253 nm was measured immediately and recorded every 60 s, and this was repeated five times. OD value of the mixture was determined by elisa reader (Shanghai Flash Spectrum Biotechnology Co., Ltd., SuPerMax 3100). The change in absorbance per gram of fresh sample per minute was taken as a CI activity unit, and the CI activity was expressed as U/GFW/min. Triplicates were measured for each group.
2.7. Sensitivity Analysis of P. simonii to Leaf Rust
On 31 August 2020, under natural conditions, we found that P. simonii in the CK and Zn treatment groups were infected with leaf rust. Based on this, we observed the incidence and disease index of the leaf rust of P. simonii in the treatment and control groups. In brief, 90 P. simonii seedlings were selected in each group to investigate the rust infection of P. simonii. For each plant, the presence of at least one leaf with rust was considered as a diseased plant. According to Feng et al., (2008) [33], the incidence rate was calculated by the following formula:
Incidence = (number of diseased plants)/(total number of plants). The incidence was expressed as %. Triplicates were measured for each group.
All the leaves of diseased P. simonii were collected, and the disease incidence degree of all leaves in the diseased plants was counted. The statistical methods of disease grading of P. simonii leaves are shown in Table 1. According to Feng et al., (2008) [33], the formula for calculating the disease index of P. simonii is as follows:
Table 1.
Statistical method of disease grade in the diseased seedlings.
Disease index = Σ (representative value of disease grade × number of leaves of disease grade)/(representative value of maximum incidence grade × total number of leaves investigated) × 100%. Triplicates were measured for each group.
2.8. Statistical Analysis
After testing the variance homogeneity and normal distribution, the significance of data among control/treatment groups was analyzed by one-way ANOVA with a multiple LSD comparison at α = 0.05. The Pearson correlation analysis was carried out to determine the correlation between incidence rate (or disease index) and physiological parameters using the Lc-bio Technologies Cloud Platform (https://www.omicstudio.cn/index, accessed on 1 October 2022).
3. Results
3.1. Enrichment and Transport Ability of Zn in P. simonii
In soil, the Zn content of the Zn300 treatment group was not significantly different from that of the CK, but the contents of the Zn500 and Zn700 groups were significantly higher than that of the CK (Figure 1A). The Zn content of the different treatment groups in the roots, stems, and leaves of P. simonii was positively correlated with the treatment concentration (r = 0.986 and p < 0.01 for roots; r = 0.932 and p < 0.01 for stems; r = 0.972 and p < 0.01 for leaves) (Figure 1B–D). In the Zn300, Zn500, and Zn700 treatment groups, compared with the control group, Zn content in the root significantly increased by 129%, 198%, and 349%, Zn content in the stem significantly increased by 30%, 178%, and 379%, and Zn content in the leaf significantly increased by 83%, 254%, and 401%, respectively. However, the enrichment coefficient of P. simonii roots in all Zn treatment groups was significantly higher than that of the CK and was negatively correlated with the Zn treatment concentration (r = −0.887 and p < 0.01). The enrichment coefficients of the stems and leaves of P. simonii were significantly higher than that of the control but were specific to the Zn concentration (Table S2). The transport coefficient of the Zn300 treatment group was significantly lower than that of the control group, while those of the Zn500 and Zn700 treatment groups were significantly higher than that of the CK group, while the transport coefficient of the Zn700 treatment group was significantly higher than that of the Zn500 treatment group (Table S2).
Figure 1.
Zn enrichment in the soil (A), as well as the roots (B), stems (C), and leaves (D) of P. simonii. The values shown in the figure are the average value ± SD (n = 3). Different letters indicate that there are significant differences among groups (one-way ANOVA, p < 0.05).
3.2. Effects of Zn Stress on the Growth of P. simonii
To evaluate the toxic effects of different Zn treatments on woody plants, we measured the growth of P. simonii seedlings in the CK and different Zn treatment groups. The plant height, fresh root weight, and dry root weight of the Zn300 treatment group were significantly lower than those of the control group, but the other growth parameters did not differ significantly. There was no significant difference between the Zn500 treatment and CK groups, with only the fresh and dry root weights being significantly lower. Furthermore, all the indexes of growth and development in the Zn700 treatment group were significantly lower than those in the CK group (Table 2).
Table 2.
Effects of Zn treatment on the growth and biomass of P. simonii.
3.3. Response of Antioxidant Defense in P. simonii to Zn Stress
The response trend of the antioxidant defense system of P. simonii seedlings to Zn stress was evaluated (Figure 2). In the Zn300, Zn500, and Zn700 treatment groups, compared with the control group, CAT activity significantly decreased by 36%, 21%, and 14%, and SOD activity significantly decreased by 13%, 8%, and 5%, respectively. In the treatment group, the CAT and SOD activities were positively correlated with the Zn treatment concentration (r = 0.961 and p < 0.01 for CAT; r = 0.955 and p < 0.01 for SOD), with the high Zn treatment group having significantly higher CAT and SOD activities than the low or medium Zn treatment groups.
Figure 2.
Effects of Zn treatment on CAT (A) and SOD (B) activities of P. simonii. The values shown in the figure are the average value ± SD (n = 3). Different letters indicate that there are significant differences among groups (one-way ANOVA, p < 0.05).
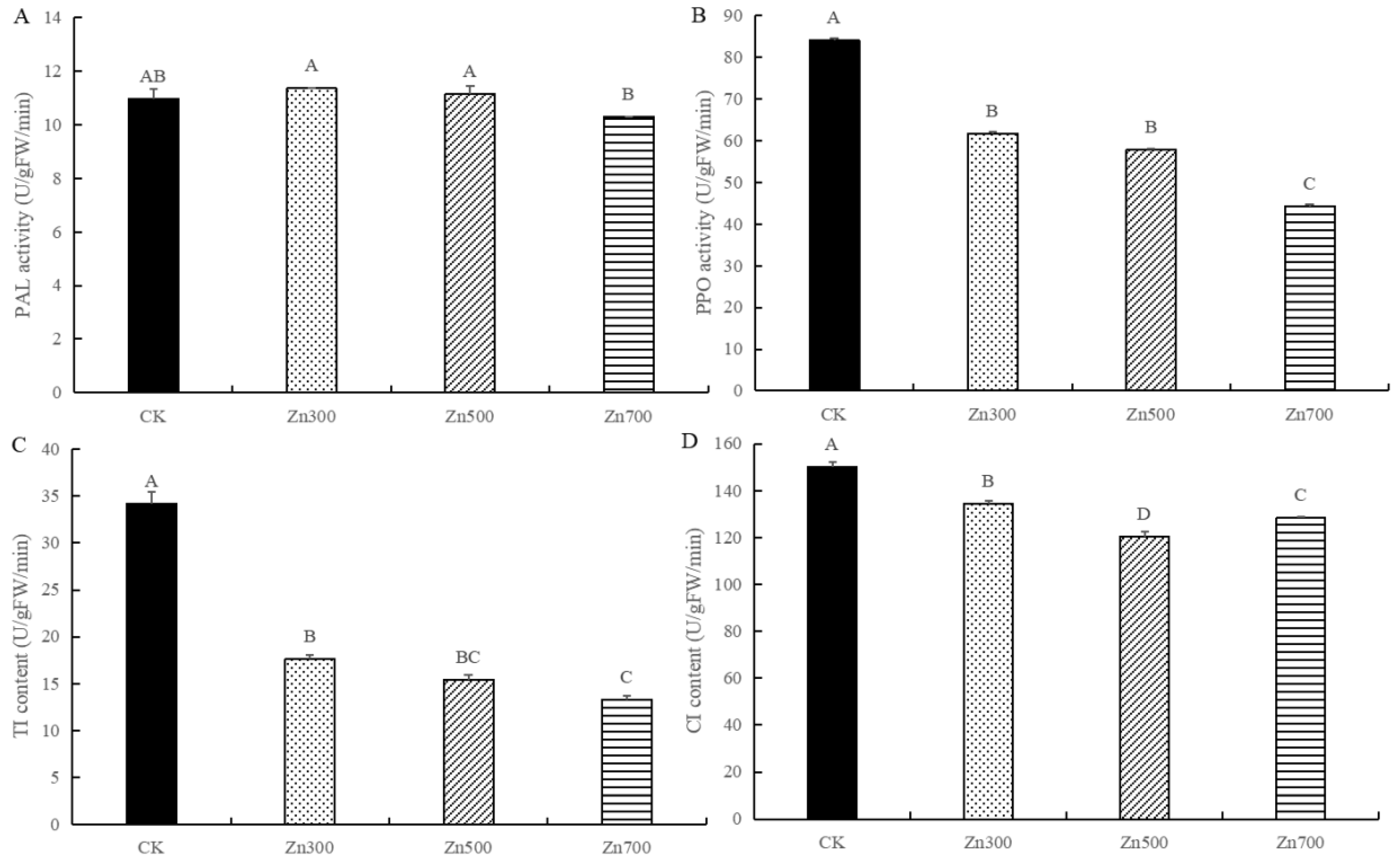
3.4. Effects of Zn Stress on Chemical Defense of P. simonii
We determined the activities of defense enzymes and protease inhibitors in the leaves of P. simonii to determine the chemical defense response trend to Zn stress. There was no significant difference in the PAL activity between the treatment and the control groups, but the PAL activity of the Zn700 treatment group was significantly lower than those of the Zn300 and Zn500 treatment groups (Figure 3A). Each treatment group had significantly lower PPO activity than the CK group, with the Zn700 group being lower than the Zn300 and Zn500 groups. In the Zn300, Zn500, and Zn700 treatment groups, compared with the control group, PPO activity decreased by 27%, 31%, and 47%, respectively (Figure 3B). For TI activity, each treatment group had significantly lower activity than the CK group, with the Zn700 group being significantly lower than the Zn300 treatment group. In the Zn300, Zn500, and Zn700 treatment groups, compared with the control group, the TI activity decreased by 48%, 55%, and 61%, respectively (Figure 3C). For CI activity, the treatment groups had significantly lower activity than the control group, the Zn700 group was significantly lower than the Zn300 group, and the Zn500 treatment group was significantly lower than the Zn300 and Zn700 treatment groups (Figure 3D).
Figure 3.
Effects of Zn treatment on the activities of PAL (A), PPO (B), TI (C) and CI (D) in P. simonii. The values shown in the figure are the average value ± SD (n = 3). Different letters indicate that there are significant differences among groups (one-way ANOVA, p < 0.05).
3.5. Effects of Zn Stress on Resistance of P. simonii to Leaf Rust
The susceptibility of P. simonii to pathogenic fungi under Zn stress was measured using the incidence and disease index of P. simonii rust under natural conditions. As shown in Figure 4A, Zn stress had no effect on the incidence of P. simonii rust. The Zn treatment groups had a significantly higher P. simonii rust disease index than the CK group, with that in the Zn700 treatment group being significantly higher than those in the Zn300 and Zn500 treatment groups (Figure 4B). In the Zn300, Zn500, and Zn700 treatment groups, compared with the control group, the rust disease index increased by 29%, 25%, and 42%, respectively.
Figure 4.
Effects of Zn treatment on the incidence rate (A) and disease index (B) of rust in P. simonii. The values shown in the figure are the average value ± SD (n = 3). Different letters indicate that there are significant differences among groups (one-way ANOVA, p < 0.05).
3.6. Correlation Analysis between Defense Level and Incidence of P. simonii
To evaluate whether the element defense and chemical defense levels mediated by heavy metals can affect the disease resistance of P. simonii, we analyzed the correlation between the chemical defense index, leaf heavy metal content, and disease resistance correlation index of P. simonii (Table 3). The phytochemical parameters CI, TI, and PPO were negatively and significantly correlated with the disease index, while PAL, CAT, and SOD were not significantly correlated with the disease index. There was no significant correlation between all chemical defense parameters and disease incidence. The Zn content in the leaves was positively correlated with the disease index of P. simonii, with no obvious correlation with the disease incidence.
Table 3.
Correlation analysis between pathogenesis parameters of leaf rust and Zn content or chemical defense parameters.
4. Discussion
As a vital part of the food chain, plants may suffer from adverse environmental factors (heavy metals) during the processes of energy metabolism and material exchange with the external environment [34]. These unfavorable factors inhibit their growth and development. For example, Alam et al. (2021) found that heavy metal contamination of the soil could significantly inhibit the growth of tomato plants [35]. In this study, as compared with the CK, Zn treatments with various concentrations reduced the growth and biomass of P. simonii. This indicated that even the essential metal elements for plant growth can cause heavy metal toxicity when their content exceeds the tolerance threshold of plants. Similar results were reported by Jiang et al. (2018), who found that the lowest Zn concentration (300 mg/kg) treatment slightly inhibited the growth and development of Carya illinoinensis, while the middle (500 mg/kg) and high (700 mg/kg) concentrations of Zn treatment strongly inhibited their growth [30].
In this study, the root length, root dry weight, and root fresh weight of P. simonii were inhibited by the different Zn treatments, thereby indicating that P. simonii roots have been poisoned by Zn exposure. Additionally, we found that Zn concentration in the roots was significantly lower than that in their aerial parts. With the increase in Zn concentration, the transport coefficient of Zn increased significantly. This indicated that under high Zn stress, P. simonii partially mitigated the toxic effects of heavy metals on roots by increasing the transfer of heavy metal from the root to the shoot. As an effective oxidative stress mechanism, the antioxidant defense system comprising antioxidant enzymes was used by plants to alleviate ROS-induced oxidative damage under heavy metal stress [36,37]. In this study, Zn treatment groups significantly inhibited the activities of antioxidant enzymes of P. simonii. This indicated that Zn stress impaired the antioxidant defense mechanism of P. simonii. Our results were similar to those of Xu et al. (2006), who found that under Zn stress, the ryegrass SOD activity of each Zn treatment group was lower than that of the CK [38]. Interestingly, in this study, the activity of antioxidant enzymes in the high Zn treatment group was significantly higher than that in the low Zn and medium Zn treatment groups. Therefore, this indicated that P. simonii could partially mitigate the toxic effects of high Zn exposure by increasing the activity of the antioxidant enzymes.
Plant defense enzymes, including PAL and PPO, are the key enzymes that synthesize toxic secondary metabolites in plants that are important for resisting biotic stresses (pathogenic bacteria and phytophagous insects) [39,40]. Our study found that as compared with the CK, Zn stress did not significantly affect the PAL activity, but significantly reduced the PPO activity in P. simonii leaves with a negative correlation with the Zn concentration. PPO, an important physiological index that represents the plant’s chemical defense ability, can increase the resistance of plants to subsequent biotic stresses by converting phenolic compounds into quinones [41]. These results indicated that the synthesis of chemical defense substances or the secondary metabolism of P. simonii was inhibited under Zn stress. Therefore, we could infer that Zn stress may increase the sensitivity of P. simonii to subsequent biotic stressors (diseases or pests). Protease inhibitors are a class of important plant defense proteins that improve the plant’s abiotic and biotic stress resistance abilities [42]. Therefore, protease inhibitors are also an important index of the chemical defense level of plants. In this study, we found that Zn stress significantly inhibited the activities of protease inhibitors (TI and CI). Combined with the decrease in plant defense enzyme activities and the decrease in TI and CI activities, we demonstrated that the overall chemical defense level of P. simonii decreased significantly under Zn stress, with increased sensitivity to subsequent pathogens or phytophagous insects.
Multiple studies have shown that heavy metal stress can induce plants to increase their resistance to pathogenic microorganisms [43,44]. For example, Gallego et al. (2017) found that the resistance of Noccaea caerulescens to the pathogenic Alternaria brassicicola increased under Zn stress and attributed this to the protection conferred by the “elemental defense” [45]. Elemental defense hypothesis proposes that high concentrations of metals, metalloid or non-metallic trace elements can protect the plants against herbivores or pathogenic microorganisms [45,46]. Our heavy metal enrichment analysis showed that Zn enrichment significantly increased Zn concentration in the roots, stems, and leaves, compared to control plants. This indicated that P. simonii had a strong Zn translocation ability in a Zn-polluted ecosystem, and this accumulated Zn might endow P. simonii with the element defense ability. However, we found that Zn stress increased the susceptibility of P. simonii to leaf rust, as evident from the increase in Zn concentration and the significantly increased disease index of P. simonii rust. Combined with the determination of phytochemical defense parameters in the Zn treatment group, we deduced that this enhanced sensitivity may be due to the inhibition of the Zn treatment of defense enzymes or protease inhibitors. Therefore, in this study, the Zn-mediated elemental defense did not compensate for the reduced chemical defense in P. simonii, thereby weakening the disease resistance of P. simonii treated with Zn in the natural environment. Further correlation analysis found that the disease severity of P. simonii rust was positively correlated with Zn content in leaves but negatively correlated with the chemical defense parameters of P. simonii. These findings clearly supported our above deduction. Of note, we observed the occurrence of P. simonii rust in the CK and Zn treatment groups, with the Zn treatment not affecting the incidence of P. simonii rust. This indicated that in the natural environment, P. simonii has poor resistance to rust, and the risk of its natural infection with rust is high.
5. Conclusions
In Zn-contaminated areas, the biotoxic effects of Zn can cause poor plant growth, similar to the non-essential elements. In addition, the adverse effect of Zn on plants is also reflected in the defense level of plants against pathogenic fungi. The accumulation of Zn in plants will increase the pathogenicity of pathogenic fungi to plants. That is, plants living in Zn-contaminated areas may be more susceptible to severe disease outbreaks. This adds an abiotic factor to the prevention and control of tree diseases in heavy metal-polluted areas. Since our study on plant disease susceptibility was a completely natural process, it was impossible to ensure that the initial infected spores of leaf rust were evenly distributed among the different plants. In our follow-up studies, we will accurately identify the influence of heavy metal pollution on plant disease susceptibility through artificial inoculation.
Supplementary Materials
The following supporting information can be downloaded at: https://www.mdpi.com/article/10.3390/f14040783/s1, Figure S1: Diagram of seedling cultivation site; Table S1: Physical and chemical properties in soil; Table S2: The enrichment coefficient and transport coefficient of CK and Zn treatment groups.
Author Contributions
Methodology, L.G.; Investigation, L.G. validation, L.G. and S.Y.; data curation, L.G.; writing—original draft preparation, A.Z. and L.G.; writing—review and editing, A.Z. and S.Y.; Funding acquisition, S.Y. All authors have read and agreed to the published version of the manuscript.
Funding
This research was supported by the Fundamental Research Funds for the Central Universities under Grant 2572020DP15.
Institutional Review Board Statement
Not applicable.
Informed Consent Statement
Not applicable.
Data Availability Statement
All the data that support the findings of this study are available in the manuscript.
Conflicts of Interest
The authors declare that they have no competing interests.
References
- Skuza, L.; Szucko-kociuba, I.; Filip, E.; Bozek, I. Natural molecular mechanisms of plant hyperaccumulation and hypertolerance towards heavy metals. Int. J. Mol. Sci. 2022, 23, 9335. [Google Scholar] [CrossRef] [PubMed]
- Liu, J.; Kang, H.; Tao, W.; Li, H.; He, D.; Ma, L.; Tang, H.; Wu, S.; Yang, K.; Li, X. A spatial distribution-Principal component analysis (SD-PCA) model to assess pollution of heavy metals in soil. Sci. Total. Environ. 2023, 859, 160112. [Google Scholar] [CrossRef] [PubMed]
- Yu, J.; Yang, R. Study on the predictive algorithm of plant restoration under heavy metals. Sci. Program. 2021, 2021, 6193182. [Google Scholar] [CrossRef]
- Bhanse, P.; Kumar, M.; Singh, L.; Awasthi, M.K.; Qureshi, A. Role of plant growth-promoting rhizobacteria in boosting the phytoremediation of stressed soils: Opportunities, challenges, and prospects. Chemosphere 2022, 303, 134954. [Google Scholar] [CrossRef]
- Wang, S.; Xu, X.; Sun, Y.; Liu, J.; Li, H. Heavy metal pollution in coastal areas of South China: A review. Mar. Pollut. Bull. 2013, 76, 7–15. [Google Scholar] [CrossRef]
- Shi, J.; Zhao, D.; Ren, F.; Huang, L. Spatiotemporal variation of soil heavy metals in China: The pollution status and risk assessment. Sci. Total. Environ. 2023, 871, 161768. [Google Scholar] [CrossRef]
- Mahar, A.; Wang, P.; Ali, A.; Awasthi, M.K.; Lahori, A.H.; Wang, Q.; Li, R.H.; Zhang, Z.Q. Challenges and opportunities in the phytoremediation of heavy metals contaminated soils: A review. Ecotoxicol. Environ. Saf. 2016, 126, 111–121. [Google Scholar] [CrossRef]
- Huberty, M.; Steinauer, K.; Heinen, R.; Jongen, R.; Hannula, S.E.; Choi, Y.H.; Bezemer, T.M. Temporal changes in plant-soil feedback effects on microbial networks, leaf metabolomics and plant-insect interactions. J. Ecol. 2022, 110, 1328–1343. [Google Scholar] [CrossRef]
- Dhalaria, R.; Kumar, D.; Kumar, H.; Nepovimova, E.; Kuca, K.; Islam, M.T.; Verma, R. Arbuscular mycorrhizal fungi as potential agents in ameliorating heavy metal stress in plants. Agronomy 2020, 10, 815. [Google Scholar] [CrossRef]
- Nazil, F.; Mustafa, A.; Ahmad, M.; Hussain, A.; Jamil, M.; Wang, X.K.; Shakeel, Q.; Imtiaz, M.; El-Esawi, M.A. A Review on practical application and potentials of phytohormone-producing plant growth-promoting rhizobacteria for inducing heavy metal tolerance in crops. Sustainability 2020, 12, 9056. [Google Scholar] [CrossRef]
- Jiang, D.; Tan, M.T.; Guo, Q.X.; Yan, S.C. Transfer of heavy metal along food chain: A mini-review on insect susceptibility to entomopathogenic microorganisms under heavy metal stress. Pest Manag. Sci. 2021, 77, 1115–1120. [Google Scholar] [CrossRef]
- Parmar, P.; Kumari, N.; Sharma, V. Structural and function alterations in photosynthetic apparatus of plants under cadmium stress. Bot. Stud. 2013, 54, 45. [Google Scholar] [CrossRef]
- Milone, M.T.; Sgherri, C.; Clijsters, H.; Navari-Izzo, F. Antioxidative response of wheat treated with realistic concentration of cadmium. Environ. Exp. Bot. 2003, 50, 265–276. [Google Scholar] [CrossRef]
- Yaashikaa, P.R.; Kumar, P.R.; Jeevanantham, S.; Saravnan, R. A review on bioremediation approach for heavy metal detoxification and accumulation in plants. Environ. Pollut. 2022, 301, 119035. [Google Scholar] [CrossRef]
- Dalvi, A.A.; Bhalerao, S.A. Response of plants towards heavy metal toxicity: An overview pf avoidance, tolerance and uptake mechanism. Ann. Plant Sci. 2013, 2, 362–368. [Google Scholar]
- Zhou, X.Y.; Qiu, R.L.; Ying, R.R.; Zou, X.J.; Hu, P.J.; Li, Q.F.; Yu, F.M.; Zhao, X. Effects of Zn on subcellular distribution and chemical forms of Cd in Potentilla griffithii var. Velutina. J. Agric.-Environ. Sci. 2008, 27, 1066–1071. [Google Scholar]
- Fu, X.P.; Dou, C.M.; Chen, Y.X.; Chen, X.C.; Shi, Y.J.; Yu, M.G.; Xu, J. Subcellular distribution and chemical forms of cadmium in Phytolacca americana L. J. Hazard. Mater. 2011, 186, 103–107. [Google Scholar] [CrossRef]
- Saleem, M.H.; Kamran, M.; Zhou, Y.Y.; Parveen, A.; Rehman, M.; Ahmar, S.; Malik, Z.; Mustafa, A.; Anjum, R.M.A.; Wang, B.; et al. Appraising growth, oxidative stress and copper phytoextraction potential of flax (Linum usitatissimum L) grown in soil differentially spiked with copper. J. Environ. Manag. 2020, 257, 109994. [Google Scholar] [CrossRef]
- Jiang, D.; Wang, G.R.; Yan, S.C. The improved resistance against gypsy moth in Larix olgensis seedlings exposed to Cd stress association with elemental and chemical defenses. Pest Manag. Sci. 2020, 76, 1713–1721. [Google Scholar] [CrossRef]
- Iwaniuk, P.; Borusiewicz, A.; Lozowicka, B. Fluazinam and its mixtures induce diversified changes of crucial biochemical and antioxidant profile in leafy vegetable. Sci. Hortic. 2022, 298, 110988. [Google Scholar] [CrossRef]
- Llugany, M.; Martin, S.R.; Barcelo, J.; Poschenrieder, C. Endogenous jasmonic and salicylic acids levels in the Cd-hyperaccumulator Noccaea (Thlaspi) praecox exposed to fungal infection and/or mechanical stress. Plant Cell Rep. 2013, 32, 1243–1249. [Google Scholar] [CrossRef] [PubMed]
- Wang, S.; Wang, Z.; Zhang, L.; Mao, T.; Li, X.; Liu, Y.; Zhao, Y.; Ni, S.; Zhong, S.; Zhang, Z. Research progress of plant defense response. Jiangsu Agric. Sci. 2021, 49, 39–45. [Google Scholar]
- Stolpe, C.; Kramer, U.; Muller, C. Heavy metal (hyper)accumulation in leaves of Arabidopsis halleri is accompanied by a reduced performance of herbivores and shifts in leaf glucosinolate and element concentrations. Environ. Exp. Bot. 2017, 133, 78–86. [Google Scholar] [CrossRef]
- Martos, S.; Gallego, B.; Cabot, C.; Llugany, M.; Barcelo, J.; Poschenrieder, C. Zinc triggers signaling mechanisms and defense responses promoting resistance to Alternaria brassicicola in Arabidopsis thaliana. Plant Sci. 2016, 249, 13–24. [Google Scholar] [CrossRef] [PubMed]
- Dai, Z.C.; Cai, H.H.; Qi, S.S.; Li, J.; Zhai, D.L.; Wan, J.S.H.; Du, D.L. Cadmium hyperaccumulation as an inexpensive metal armor against disease in Crofton weed. Environ. Pollut. 2020, 267, 115649. [Google Scholar] [CrossRef]
- Li, X.Y.; Zhang, L.; Ren, H.Y.; Wang, X.Y.; Mi, F.G. Zinc toxicity response in Ceratoides arborescens and identification of CaMTP, a novel zinc transporter. Front. Plant Sci. 2022, 13, 976311. [Google Scholar] [CrossRef]
- Wang, Y.Q.; Kang, Y.; Yu, W.C.; Lyi, S.M.; Choi, H.W.; Xiao, E.Z.; Li, L.F.; Klessig, D.F.; Liu, J.L. AtTIP2;2 facilitates resistance to zinc toxicity via promoting zinc immobilization in the root and limiting root-to-shoot zinc translocation in Arabidopsis thaliana. Ecotox. Environ. Safe. 2022, 233, 113333. [Google Scholar] [CrossRef]
- De Oliveira, N.T.; Namorato, F.A.; Rao, S.; de Souza Cardoso, A.A.; de Rezende, P.M.; Guilherme, L.R.G.; Liu, J.; Li, L. Iron counteracts zinc-induced toxicity in soybeans. Plant Physiol. Bioch. 2023, 194, 335–344. [Google Scholar] [CrossRef]
- Bi, C.W.; Qu, Y.S.; Hou, J.; Wu, K.; Ye, N.; Yin, T.M. Deciphering the Multi-Chromosomal Mitochondrial Genome of Populus simoni. Front. Plant Sci. 2022, 13, 914635. [Google Scholar] [CrossRef]
- Jiang, D.; Wang, Y.Y.; Yan, S.C. Effects of Zn stress on growth development and chemical defense of Populus alba ‘berolinensis’ seedings. J. Beijing For. Univ. 2018, 40, 42–48. [Google Scholar]
- Jiang, Y.; Jiang, S.; Yan, X.; Qin, Z.; Jia, C.; Li, Z.; Zhang, J.; Huang, R. The mobility of cadmium and lead in the soil-mulberry-silkworm system. Chemosphere 2020, 242, 125179. [Google Scholar] [CrossRef]
- Zhu, X. Effects of different extracted conditions on SOD, POD, and CAT enzyme activities in plant tissues. Food Sci. Technol. 2018, 5, 48. [Google Scholar]
- Feng, L.Z.; Chen, Q.Z.; Guo, W.S.; Su, L.Y.; Zhu, J.H. Relationship between eucalyptus resistance to dieback and secondary metabolism. Chin. J. Eco-Agric. 2008, 2, 426–430. [Google Scholar] [CrossRef]
- Kumar, R.; Lvy, N.; Bhattacharya, S.; Dey, A.; Sharma, P. Coupled effects of microplastics and heavy metals on plants: Uptake, bioaccumulation, and environmental health perspectives. Sci. Total Environ. 2022, 836, 155619. [Google Scholar] [CrossRef]
- Alam, I.; Alam, M.; Khan, A.; Saeed-ul, H.; Ayaz, A.; Jalal, A.; Bhat, J.A. Biochar supplementation regulates growth and heavy metal accumulation in tomato grown in contaminated soils. Physiol. Plant. 2021, 173, 340–351. [Google Scholar] [CrossRef]
- Molina, L.; Segura, A. Biochemical and metabolic plant responses toward polycyclic aromatic hydrocarbons and heavy metals present in atmospheric pollution. Plants 2021, 10, 2305. [Google Scholar] [CrossRef]
- Khan, Z.; Fan, X.; Khan, M.N.; Khan, M.A.; Zhang, K.; Fu, Y.; Shen, H. The toxicity of heavy metals and plant signaling facilitated by biochar application: Implications for stress mitigation and crop production. Chemosphere 2022, 308, 136466. [Google Scholar] [CrossRef]
- Xu, W.; Wang, H.; Li, W.; Liu, J.; Li, Y.; Xiong, Z. Growth and uptake response of hyperaccumulator ryegrass to Zn stress. J. Soil Water Conserv. 2006, 3, 43–46. [Google Scholar]
- Heredia, J.B.; Cisneros-Zevallos, L. The effect of exogenous ethylene and methyl jasmonate on PAL activity, phenolic profiles and antioxidant capacity of carrots (Daucus carota) under different wounding intensities. Postharvest Biol. Technol. 2009, 51, 242–249. [Google Scholar] [CrossRef]
- Jiang, D.; Yan, S. MeJA is more effective than JA in inducing defense responses in Larix olgensis. Arthropod-Plant Interact. 2018, 12, 49–56. [Google Scholar] [CrossRef]
- Madadkhah, E.; Lotfi, M.; Nabipour, A.; Rahmanpour, S.; Banihashemi, Z.; Shoorooei, M. Enzymatic activities in roots of melon genotypes infected with Fusarium oxysporum f. sp melonis race 1. Sci. Hortic. 2012, 135, 171–176. [Google Scholar] [CrossRef]
- Kim, E.; Kim, Y.; Yeam, I. Transgenic expression of a viral cystatin gene cpBV-CST1 in tobacco confers insect resistance. Environ. Entomol. 2016, 5, 5. [Google Scholar]
- Lin, T.; Lu, Q.; Zheng, Z.; Li, S.; Li, S.; Liu, Y.; Zhu, T.; Chen, L.; Yang, C.; Han, S. Soil cadmium stress affects the phyllosphere microbiome and associated pathogen resistance differently in male and female poplars. J. Exp. Bot. 2023, 74, 2188–2202. [Google Scholar] [CrossRef] [PubMed]
- Morkunas, I.; Wozniak, A.; Mai, V.C.; Rucinska-Sobkowiak, R.; Jeandet, P. The role of heavy metals in plant response to biotic stress. Molecules 2018, 23, 2320. [Google Scholar] [CrossRef]
- Gallego, B.; Martos, S.; Cabot, C.; Barcelo, J.; Poschenrieder, C. Zinc hyperaccumulation substitutes for defense failures beyond salicylate and jasmonate signaling pathways of Alternaria brassicicola attack in Noccaea caerulescens. Physiol. Plantrum 2017, 159, 401–415. [Google Scholar] [CrossRef]
- Poschenrieder, C.; Tolrà, R.; Barceló, J. Can metals defend plants against biotic stress? Trends Plant Sci. 2006, 11, 288–295. [Google Scholar] [CrossRef]
Disclaimer/Publisher’s Note: The statements, opinions and data contained in all publications are solely those of the individual author(s) and contributor(s) and not of MDPI and/or the editor(s). MDPI and/or the editor(s) disclaim responsibility for any injury to people or property resulting from any ideas, methods, instructions or products referred to in the content. |
© 2023 by the authors. Licensee MDPI, Basel, Switzerland. This article is an open access article distributed under the terms and conditions of the Creative Commons Attribution (CC BY) license (https://creativecommons.org/licenses/by/4.0/).



