Forest Dynamics after Five Decades of Management in the Romanian Carpathians
Abstract
1. Introduction
2. Materials and Methods
2.1. Study Area
2.2. Field Measurements
2.3. Establishing the Future Forest Composition
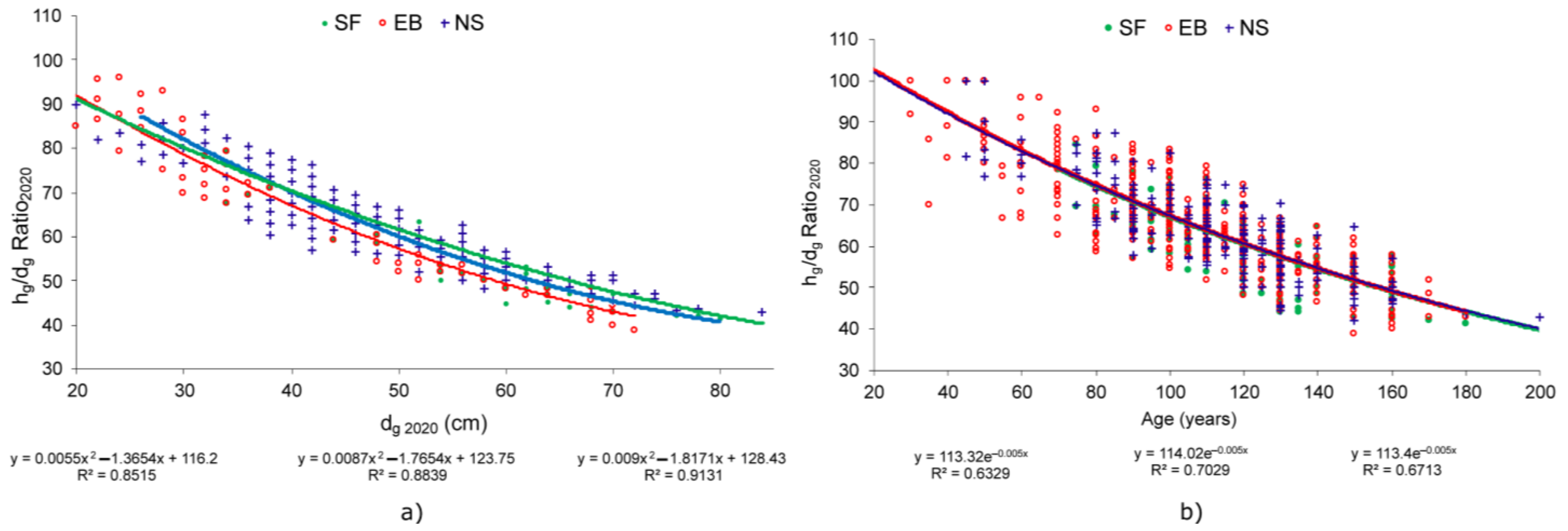
2.4. Data Analysis
3. Results
3.1. Stand Structure
3.2. Changes in the Forest Growing Stock
3.3. Forest Composition Dynamics
3.4. Establishing the Future Forest Composition
4. Discussion
5. Conclusions
Supplementary Materials
Author Contributions
Funding
Data Availability Statement
Acknowledgments
Conflicts of Interest
References
- Hanson, J.J.; Lorimer, C.G.; Halpin, C.R.; Palik, B.J. Ecological forestry in an uneven-aged, late-successional forest: Simulated effects of contrasting treatments on structure and yield. For. Ecol. Manag. 2012, 270, 94–107. [Google Scholar] [CrossRef]
- Gratzer, G.; Canham, C.; Dieckmann, U.; Fischer, A.; Iwasa, Y.; Law, R.; Lexer, M.J.; Sandmann, H.; Spies, T.A.; Splechtna, B.E.; et al. Spatio-temporal development of forests—current trends in field methods and models. Oikos 2004, 107, 3–15. [Google Scholar] [CrossRef]
- Klopčič, M.; Mina, M.; Bugmann, H.; Bončina, A. The prospects of silver fir (Abies alba Mill.) and Norway spruce (Picea abies (L.) Karst) in mixed mountain forests under various management strategies, climate change and high browsing pressure. Eur. J. For. Res. 2017, 136, 1071–1090. [Google Scholar] [CrossRef]
- Pukkala, T.; Lähde, E.; Laiho, O. Growth and yield models for uneven-sized forest stands in Finland. For. Ecol. Manag. 2009, 258, 207–216. [Google Scholar] [CrossRef]
- Munteanu, C.; Nita, M.D.; Abrudan, I.V.; Radeloff, V.C. Historical forest management in Romania is imposing strong legacies on contemporary forests and their management. For. Ecol. Manag. 2016, 361, 179–193. [Google Scholar] [CrossRef]
- Čavlović, J.; Božić, M.; Boncina, A. Stand structure of an uneven-aged fir-beech forest with an irregular diameter structure: Modeling the development of the Belevine forest, Croatia. Eur. J. For. Res. 2006, 125, 325–333. [Google Scholar] [CrossRef]
- Mina, M.; Bugmann, H.; Klopcic, M.; Cailleret, M. Accurate modeling of harvesting is key for projecting future forest dynamics: A case study in the Slovenian mountains. Reg. Environ. Chang. 2017, 17, 49–64. [Google Scholar] [CrossRef]
- Mina, M.; Bugmann, H.; Cordonnier, T.; Irauschek, F.; Klopcic, M.; Pardos, M.; Cailleret, M. Future ecosystem services from European mountain forests under climate change. J. Appl. Ecol. 2017, 54, 389–401. [Google Scholar] [CrossRef]
- Szwagrzyk, J.; Gazda, A. Above-ground standing biomass and tree species diversity in natural stands of Central Europe. J. Veg. Sci. 2007, 18, 555–562. [Google Scholar] [CrossRef]
- Boncina, A. History, current status and future prospects of uneven-aged forest management in the Dinaric region: An overview. Forestry 2011, 84, 467–478. [Google Scholar] [CrossRef]
- Brang, P.; Spathelf, P.; Larsen, J.B.; Bauhus, J.; Boncčìna, A.; Chauvin, C.; Drössler, L.; Güemes, C.G.; Heiri, C.; Kerr, G.; et al. Suitability of close-to-nature silviculture for adapting temperate European forests to climate change. Forestry 2014, 87, 492–503. [Google Scholar] [CrossRef]
- Curovic, M.; Stijovic, A.; Spalevic, V.; Dudic, B.; Pajic, M. Structural characteristics of the mixed spruce-fir-beech forests on Mountain Bjelasica in Montenegro. Not. Bot. Horti Agrobot. Cluj Napoca 2020, 48, 1699–1708. [Google Scholar] [CrossRef]
- Hilmers, T.; Biber, P.; Knoke, T.; Pretzsch, H. Assessing transformation scenarios from pure Norway spruce to mixed uneven-aged forests in mountain areas. Eur. J. For. Res. 2020, 139, 567–584. [Google Scholar] [CrossRef]
- Pretzsch, H.; Hilmers, T.; Biber, P.; Avdagić, A.; Binder, F.; Bončina, A.; Bosela, M.; Dobor, L.; Forrester, D.I.; Levesque, M.; et al. Evidence of elevation-specific growth changes of spruce, fir, and beech in European mixed mountain forests during the last three centuries. Can. J. For. Res. 2020, 50, 689–703. [Google Scholar] [CrossRef]
- Remes, J. Transformation of even-aged spruce stands at the School Forest Enterprise Kostelec nad Černými lesy: Structure and final cutting of mature stand. J. For. Sci. 2006, 52, 158–171. [Google Scholar] [CrossRef]
- Szewczyk, J.; Szwagrzyk, J.; Muter, E. Tree growth and disturbance dynamics in old-growth subalpine spruce forests of the Western Carpathians. Can. J. For. Res. 2011, 41, 938–944. [Google Scholar] [CrossRef]
- Diaci, J.; Rozenbergar, D.; Anić, I.; Mikac, S.; Saniga, M.; Kucbel, S.; Višnjić, Ć.; Ballian, D. Structural dynamics and synchronous silver fir decline in mixed old-growth mountain forests in Eastern and Southeastern Europe. Forestry 2011, 84, 479–491. [Google Scholar] [CrossRef]
- Ficko, A.; Poljanec, A.; Boncina, A. Do changes in spatial distribution, structure and abundance of silver fir (Abies alba Mill.) indicate its decline? For. Ecol. Manag. 2011, 261, 844–854. [Google Scholar] [CrossRef]
- Van Der Maaten-Theunissen, M.; Kahle, H.-P.; Van Der Maaten, E. Drought sensitivity of Norway spruce is higher than that of silver fir along an altitudinal gradient in southwestern Germany. Ann. For. Sci. 2013, 70, 185–193. [Google Scholar] [CrossRef]
- Čavlović, J.; Bončina, A.; Božić, M.; Goršić, E.; Simončič, T.; Teslak, K. Depression and growth recovery of silver fir in uneven-aged Dinaric forests in Croatia from 1901 to 2001. Forestry 2015, 88, 586–598. [Google Scholar] [CrossRef]
- Löf, M.; Madsen, P.; Metslaid, M.; Witzell, J.; Jacobs, D.F. Restoring forests: Regeneration and ecosystem function for the future. New For. 2019, 50, 139–151. [Google Scholar] [CrossRef]
- Tudoran, G.M.; Zotta, M. Adapting the planning and management of Norway spruce forests in mountain areas of Romania to environmental conditions including climate change. Sci. Total Environ. 2020, 698, 133761. [Google Scholar] [CrossRef]
- Hanewinkel, M.; Cullmann, D.A.; Schelhaas, M.-J.; Nabuurs, G.-J.; Zimmermann, N.E. Climate change may cause severe loss in the economic value of European forest land. Nat. Clim. Chang. 2013, 3, 203–207. [Google Scholar] [CrossRef]
- Seidl, R.; Thom, D.; Kautz, M.; Martin-Benito, D.; Peltoniemi, M.; Vacchiano, G.; Wild, J.; Ascoli, D.; Petr, M.; Honkaniemi, J.; et al. Forest disturbances under climate change. Nat. Clim. Chang. 2017, 7, 395–402. [Google Scholar] [CrossRef]
- Dănescu, A.; Kohnle, U.; Bauhus, J.; Weiskittel, A.; Albrecht, A.T. Long-term development of natural regeneration in irregular, mixed stands of silver fir and Norway spruce. For. Ecol. Manag. 2018, 430, 105–116. [Google Scholar] [CrossRef]
- Pretzsch, H.; Grote, R.; Reineking, B.; Rotzer, T.; Seifert, S. Models for Forest Ecosystem Management: A European Perspective. Ann. Bot. 2008, 101, 1065–1087. [Google Scholar] [CrossRef]
- Nogueira, D.S.; Marimon, B.S.; Marimon-Junior, B.H.; Oliveira, E.A.; Morandi, P.; Reis, S.M.; Elias, F.; Neves, E.C.; Feldpausch, T.R.; Lloyd, J.; et al. Impacts of Fire on Forest Biomass Dynamics at the Southern Amazon Edge. Environ. Conserv. 2019, 46, 285–292. [Google Scholar] [CrossRef]
- Vrška, T.; Adam, D.; Hort, L.; Kolář, T.; Janík, D. European beech (Fagus sylvatica L.) and silver fir (Abies alba Mill.) rotation in the Carpathians—A developmental cycle or a linear trend induced by man? For. Ecol. Manag. 2009, 258, 347–356. [Google Scholar] [CrossRef]
- Holeksa, J.; Jaloviar, P.; Kucbel, S.; Saniga, M.; Svoboda, M.; Szewczyk, J.; Szwagrzyk, J.; Zielonka, T.; Żywiec, M. Models of disturbance driven dynamics in the West Carpathian spruce forests. For. Ecol. Manag. 2017, 388, 79–89. [Google Scholar] [CrossRef]
- Bodziarczyk, J.; Szwagrzyk, J.; Zwijacz-Kozica, T.; Zięba, A.; Szewczyk, J.; Gazda, A. The structure of forest stands in the Tatra National Park: The results of 2016–2017 inventory. Sciedo 2019, 80, 13–21. [Google Scholar] [CrossRef][Green Version]
- Maxime, C.; Hendrik, D. Effects of climate on diameter growth of co-occurring Fagus sylvatica and Abies alba along an altitudinal gradient. Trees 2011, 25, 265–276. [Google Scholar] [CrossRef]
- Szewczyk, J.; Szwagrzyk, J. Spatial and temporal variability of natural regeneration in a temperate old-growth forest. Ann. For. Sci. 2010, 67, 202. [Google Scholar] [CrossRef]
- Klopcic, M.; Boncina, A. Stand dynamics of silver fir (Abies alba Mill.)-European beech (Fagus sylvatica L.) forests during the past century: A decline of silver fir? Forestry 2011, 84, 259–271. [Google Scholar] [CrossRef]
- Bottalico, F.; Travaglini, D.; Fiorentini, S.; Lisa, C.; Nocentini, S. Stand dynamics and natural regeneration in silver fir (Abies alba Mill.) plantations after traditional rotation age. iForest Biogeosci. For. 2014, 7, 313–323. [Google Scholar] [CrossRef]
- Cailleret, M.; Heurich, M.; Bugmann, H. Reduction in browsing intensity may not compensate climate change effects on tree species composition in the Bavarian Forest National Park. For. Ecol. Manag. 2014, 328, 179–192. [Google Scholar] [CrossRef]
- Elling, W.; Dittmar, C.; Pfaffelmoser, K.; Rötzer, T. Dendroecological assessment of the complex causes of decline and recovery of the growth of silver fir (Abies alba Mill.) in Southern Germany. For. Ecol. Manag. 2009, 257, 1175–1187. [Google Scholar] [CrossRef]
- Szwagrzyk, J.; Szewczyk, J. Tree mortality and effects of release from competition in an old-growth Fagus-Abies-Picea stand. J. Veg. Sci. 2001, 12, 621–626. [Google Scholar] [CrossRef]
- Szewczyk, J.; Szwagrzyk, J. Tree regeneration on rotten wood and on soil in old-growth stand. Vegetatio 1996, 122, 37–46. [Google Scholar] [CrossRef]
- Spînu, A.P.; Petrițan, I.C.; Mikoláš, M.; Janda, P.; Vostarek, O.; Čada, V.; Svoboda, M. Moderate- to High-Severity Disturbances Shaped the Structure of Primary Picea Abies (L.) Karst. Forest in the Southern Carpathians. Forests 2020, 11, 1315. [Google Scholar] [CrossRef]
- Thom, D.; Rammer, W.; Dirnböck, T.; Müller, J.; Kobler, J.; Katzensteiner, K.; Helm, N.; Seidl, R. The impacts of climate change and disturbance on spatio-temporal trajectories of biodiversity in a temperate forest landscape. J. Appl. Ecol. 2016, 54, 28–38. [Google Scholar] [CrossRef]
- Larsen, J.B. Ecological stability of forests and sustainable silviculture. For. Ecol. Manag. 1995, 73, 85–96. [Google Scholar] [CrossRef]
- Black, P. Dictionary of Algorithms and Data Structures. 2006. Available online: https://xlinux.nist.gov (accessed on 15 March 2021).
- Fick, S.E.; Hijmans, R.J. WorldClim 2: New 1-km spatial resolution climate surfaces for global land areas. Int. J. Climatol. 2017, 37, 4302–4315. [Google Scholar] [CrossRef]
- Buras, A.; Menzel, A. Projecting Tree Species Composition Changes of European Forests for 2061–2090 Under RCP 4.5 and RCP 8.5 Scenarios. Front. Plant Sci. 2019, 9, 1986. [Google Scholar] [CrossRef] [PubMed]
- Samadi, S.Z.; Sagareswar, G.; Tajiki, M. Comparison of General Circulation Models: Methodology for selecting the best GCM in Kermanshah Synoptic Station, Iran. Int. J. Glob. Warm. 2010, 2, 347. [Google Scholar] [CrossRef]
- Riahi, K.; Rao, V.; Krey, C.; Cho, V.; Chirkov, G.; Chirkov, V.; Fischer, G.; Kindermann, G.; Nakicenovic, N.; Rafaj, P. Fischer The Shared Socioeconomic Pathways and their energy, land use, and greenhouse gas emissions implications: An overview. Glob. Environ. Chang. 2011. [Google Scholar] [CrossRef]
- Woziwoda, B.; Kopeć, D. Changes in the silver fir forest vegetation 50 years after cessation of active management. Acta Soc. Bot. Pol. 2015, 84, 177–187. [Google Scholar] [CrossRef][Green Version]
- Pretzsch, H.; Hilmers, T.; Uhl, E.; Bielak, K.; Bosela, M.; del Rio, M.; Dobor, L.; Forrester, D.I.; Nagel, T.A.; Pach, M.; et al. European beech stem diameter grows better in mixed than in mono-specific stands at the edge of its distribution in mountain forests. Eur. J. For. Res. 2020, 140, 127–145. [Google Scholar] [CrossRef]
- Mihai, R.G.; Mihăilă, V.V.; Cicşa, A.; Dobre, A.C.; Tudoran, G.M. Features of the structure of sessile-oak stands located at the superior range border. In Proceedings of the Biennial International Symposium, Forest and Sustainable Development, Brașov, Romania, 7–8 October 2016. [Google Scholar]
- Cicşa, A.; Tudoran, G.M.; Dobre, A.C.; Mihăilă, V.V.; Mihai, R.G.; Mărgălinescu, A.M.; Farcaș, C.Ș.; Comaniță, I.; Boroeanu, M. Structure models for beech-conifers stands with protective functions. In Proceedings of the Biennial International Symposium, Forest and Sustainable Development, Brașov, Romania, 25–27 October 2018. [Google Scholar]
- Franklin, J.F.; Spies, T.A.; Van Pelt, R.; Carey, A.B.; Thornburgh, D.A.; Berg, D.R.; Lindenmayer, D.B.; Harmon, M.E.; Keeton, W.S.; Shaw, D.C.; et al. Disturbances and structural development of natural forest ecosystems with silvicultural implications, using Douglas-fir forests as an example. For. Ecol. Manag. 2002, 155, 399–423. [Google Scholar] [CrossRef]
- Lech, P.; Żółciak, A.; Hildebrand, R. Occurrence of European Mistletoe (Viscum album L.) on Forest Trees in Poland and Its Dynamics of Spread in the Period 2008–2018. Forests 2020, 11, 83. [Google Scholar] [CrossRef]










| Altitude (m) | 700–800 | 801–1000 | 1001–1200 | 1201–1400 | |||
| Area (%) | 38 | 45 | 13 | 4 | |||
| Exposure | N, NW | S, SW | W, NW, E, SE | ||||
| Area (%) | 14 | 34 | 52 | ||||
| Inclination (degrees) | <16 | 16–30 | 31–40 | ||||
| Area (%) | 6 | 61 | 33 | ||||
| Species | EB | NS | SF | OC | OD | ||
| Area (%) | 49 | 17 | 15 | 10 | 9 | ||
| Age class (20 y) | I | II | III | IV | V | VI | VII |
| Area (%) | 1 | 1 | 7 | 5 | 20 | 30 | 36 |
| Research Area | Area Sample (ha) | Stand Area (ha) | Species | dg (cm) | hg (m) | G (m2ha−1) | N | d Min (cm) | d Max (cm) | Thousand Seedlings, h ≤ 50 cm | Thousand Saplings, h > 50 cm, d ≤ 1 cm |
|---|---|---|---|---|---|---|---|---|---|---|---|
| S27 | 0.25 | 18.70 | EB | 32.0 | 21.2 | 7.14 | 89 | 11.00 | 54.80 | – | – |
| SF | 17.3 | 10.3 | 0.05 | 2 | 16.50 | 18.50 | – | 0.04 | |||
| S28 | 1 | 6.80 | EB | 49.7 | 38.7 | 51.36 | 364 | 2.65 | 76.95 | 13.4 | 1.1 |
| OD | 4.1 | 5.5 | 0.01 | 6 | 3.15 | 4.75 | 0.01 | – | |||
| S29 | 1 | 8.20 | SF | 44.4 | 29.7 | 17.98 | 345 | 1.30 | 65.55 | 31.8 | 0.2 |
| EB | 34.1 | 28.0 | 15.20 | 640 | 1.70 | 59.25 | 9.7 | 6.1 | |||
| NS | 43.1 | 30.8 | 1.89 | 13 | 33.55 | 58.25 | 0.4 | – | |||
| SY | 4.6 | 5.0 | 0.01 | 7 | 2.00 | 10.35 | 0.06 | – | |||
| S30 | 1 | 5.40 | BP | 32.1 | 18.2 | 30.16 | 373 | 12.55 | 53.10 | – | – |
| DS | 13.9 | 8.3 | 0.87 | 57 | 1.00 | 31.00 | – | 1.8 | |||
| S31 | 0.25 | 16.90 | SF | 38.8 | 27.6 | 7.4 | 64 | 5.4 | 58.4 | 0.02 | – |
| NS | 31.3 | 26.0 | 1.08 | 17 | 17.2 | 43.6 | – | ||||
| EB | 20.2 | 17.1 | 1.4 | 38 | 4.7 | 44.5 | 0.08 | – | |||
| S32 | 0.25 | 7.90 | SF | 51.7 | 32.9 | 8.5 | 40 | 6.2 | 77.6 | 0.09 | – |
| EB | 22.2 | 22.9 | 4.1 | 131 | 3.8 | 48.8 | 0.05 | – | |||
| S33 | 1 | 11.10 | SO | 32.3 | 22.9 | 19.58 | 244 | 6.50 | 51.50 | – | – |
| EB | 25.9 | 14.1 | 11.08 | 210 | 2.30 | 67.50 | 0.06 | – | |||
| CH | 15.4 | 12.3 | 4.92 | 264 | 3.30 | 37.65 | – | – | |||
| OD | 19.3 | 10.0 | 0.32 | 11 | 3.25 | 39.55 | 0.01 | – | |||
| S34 | 1 | 8.20 | SF | 45.0 | 30.1 | 21.14 | 143 | 2.95 | 78.45 | 16.2 | 0.1 |
| NS | 40.4 | 31.6 | 2.18 | 17 | 23.85 | 57.75 | 0.01 | – | |||
| EB | 33.3 | 26.9 | 12.71 | 364 | 1.11 | 67.00 | 7.1 | 1.3 | |||
| SY | 20.9 | 13.2 | 0.03 | 1 | – | 20.85 | – | – | |||
| S35 | 1 | 22.50 | EB | 34.3 | 28.9 | 27.58 | 318 | 5.0 | 66.8 | 0.4 | 0.2 |
| SF | 36.9 | 29.0 | 9.02 | 113 | 4.4 | 58.1 | 1.1 | 0.9 | |||
| NS | 27.1 | 24.2 | 0.74 | 7 | 9.2 | 62.0 | – | – | |||
| S36 | 1 | 5.2 | NS | 43.4 | 32.8 | 52.29 | 353 | 8.30 | 92.60 | 1.5 | – |
| SF | 44.2 | 27.4 | 2.46 | 16 | 19.70 | 67.65 | 0.4 | – | |||
| OC | 19.1 | 16.1 | 1.00 | 39 | 12.00 | 67.10 | – | – | |||
| EB | 39.4 | 24.2 | 4.76 | 35 | 7.60 | 40.85 | 0.2 | – | |||
| SY | 26.9 | 26.0 | 0.40 | 7 | 15.75 | 36.35 | 0.03 | – | |||
| Total | 7.75 | 110.90 | 4328 |
| Composition | SF | EB | NS | SP | OD |
|---|---|---|---|---|---|
| Forest composition 1962 | 77.7 | 18.4 | 3.4 | 0.1 | 0.4 |
| Forest composition 2020 | 31.5 | 61 | 6.3 | 0.1 | 1.1 |
| Seedling composition 2020 | 44.9 | 52.7 | 0.5 | – | 1.9 |
| Research Area | S27 First Inventory: 1962 Last Inventory: 2020 | S29 First Inventory: 1972 Last Inventory: 2020 | |||||||
|---|---|---|---|---|---|---|---|---|---|
| Species | EB | SF | Total | SF | EB | NS | SY | Total | |
| dg (cm): Last inventory (2020) First inventory | 32.0 10.3 | 17.3 2 | - | 44.4 30.2 | 34.1 22.0 | 43.1 32 | 4.6 | - | |
| hg (m): Last inventory (2020) First inventory | 21.2 13.8 | 10.3 3.0 | - | 29.7 23.0 | 28.0 22.0 | 30.8 24 | 5.0 | - | |
| G (m2ha−1) | 28.6 | 0.19 | 28.8 | 17.98 | 15.20 | 1.89 | 0.01 | 35.1 | |
| Number of trees per hectare | 356 | 8 | 364 | 345 | 640 | 13 | 7 | 1005 | |
| V, (m3ha−1) | 233.2 | 1.20 | 234.4 | 250.1 | 164.2 | 23.8 | - | 438.1 | |
| d min (cm) | 11.00 | 16.50 | - | 1.30 | 1.70 | 33.55 | 2.00 | - | |
| d max (cm) | 54.80 | 18.50 | - | 65.55 | 59.25 | 58.25 | 10.35 | - | |
| Thousand seedlings, h < 50 cm | - | - | - | 31.8 | 9.7 | 0.4 | 0.06 | - | |
| Thousand saplings, h > 50 cm, d ≤ 1 cm | - | 0.04 | - | 0.2 | 6.1 | - | - | - | |
| % number of trees by category of diameter/ % volume by category of diameter | 2–6 cm | - | 90/0 | - | 63/0 | 64/1 | - | 86/25 | - |
| 8–16 cm | 12/1 | 5/50 | - | 3/0 | 8/12 | - | 14/75 | - | |
| 18–24 cm | 24/11 | 5/50 | - | 2/1 | 5/7 | - | - | - | |
| 28–36 cm | 37/37 | - | - | 8/12 | 16/50 | 31/16 | - | - | |
| 40–48 cm | 22/37 | - | - | 14/41 | 5/34 | 54/56 | - | - | |
| ≥50 cm | 4/14 | - | - | 9/46 | 1/7 | 15/28 | - | - | |
| Calendar Year | Average Age (Years) | Density | Current Annual Volume Increment (CAI) (m3 an−1 ha−1) |
|---|---|---|---|
| 1962 | 64 | 0.77 | 6.8 |
| 1972 | 75 | 0.78 | 6.3 |
| 1982 | 89 | 0.75 | 6.2 |
| 2002 | 99 | 0.70 | 5.0 |
| 2020 | 107 | 0.66 | 4.2 |
Publisher’s Note: MDPI stays neutral with regard to jurisdictional claims in published maps and institutional affiliations. |
© 2021 by the authors. Licensee MDPI, Basel, Switzerland. This article is an open access article distributed under the terms and conditions of the Creative Commons Attribution (CC BY) license (https://creativecommons.org/licenses/by/4.0/).
Share and Cite
Tudoran, G.-M.; Cicșa, A.; Boroeanu, M.; Dobre, A.-C.; Pascu, I.-S. Forest Dynamics after Five Decades of Management in the Romanian Carpathians. Forests 2021, 12, 783. https://doi.org/10.3390/f12060783
Tudoran G-M, Cicșa A, Boroeanu M, Dobre A-C, Pascu I-S. Forest Dynamics after Five Decades of Management in the Romanian Carpathians. Forests. 2021; 12(6):783. https://doi.org/10.3390/f12060783
Chicago/Turabian StyleTudoran, Gheorghe-Marian, Avram Cicșa, Maria Boroeanu, Alexandru-Claudiu Dobre, and Ionuț-Silviu Pascu. 2021. "Forest Dynamics after Five Decades of Management in the Romanian Carpathians" Forests 12, no. 6: 783. https://doi.org/10.3390/f12060783
APA StyleTudoran, G.-M., Cicșa, A., Boroeanu, M., Dobre, A.-C., & Pascu, I.-S. (2021). Forest Dynamics after Five Decades of Management in the Romanian Carpathians. Forests, 12(6), 783. https://doi.org/10.3390/f12060783

