Particleboards from Recycled Pallets
Abstract
1. Introduction
2. Materials and Methods
2.1. Materials
2.1.1. Wood Particles
2.1.2. Resin and Additives
2.2. Particleboard Preparation
2.3. Properties of PBs-Physical, Mechanical, and Biological
2.4. Statistical Analyses
3. Results and Discussion
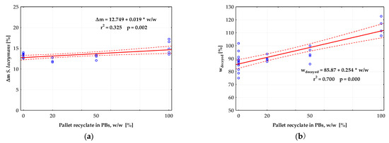
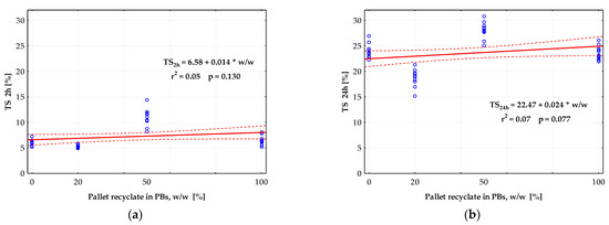
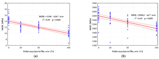
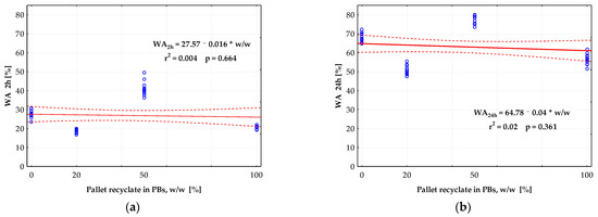
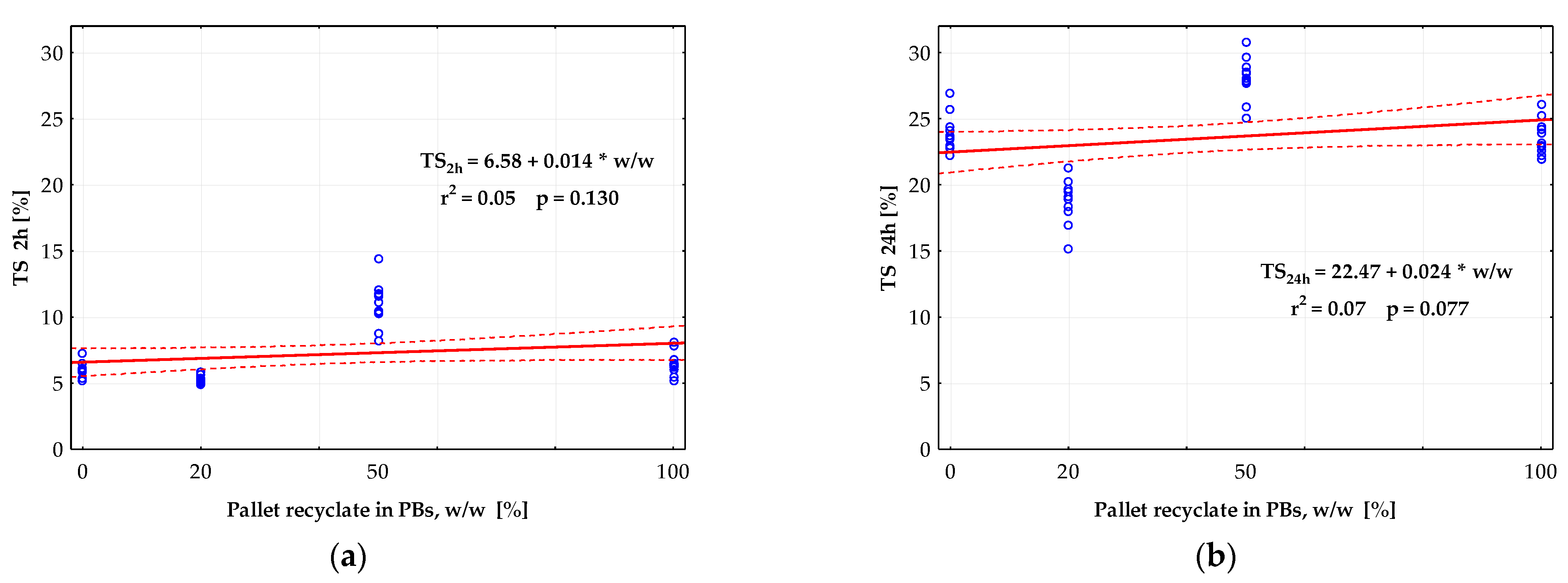
3.1. Physical and Mechanical Properties of PBs
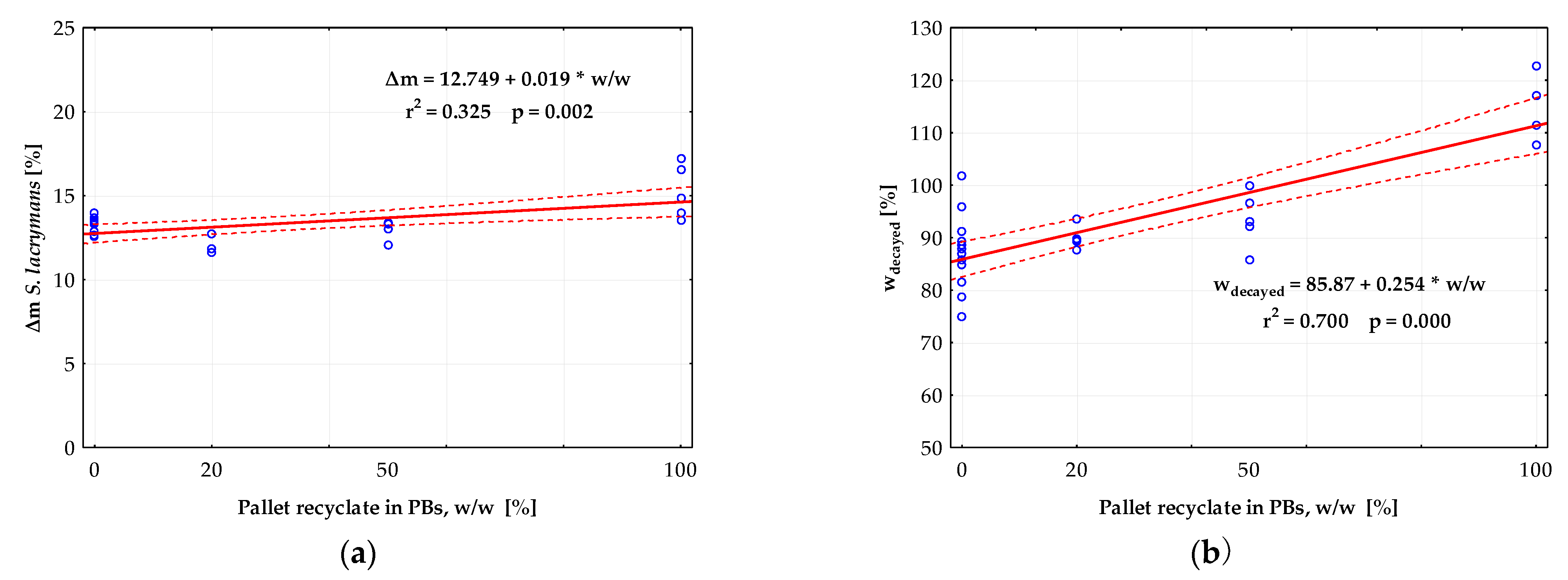
3.2. Biological Resistance of PBs
4. Conclusions
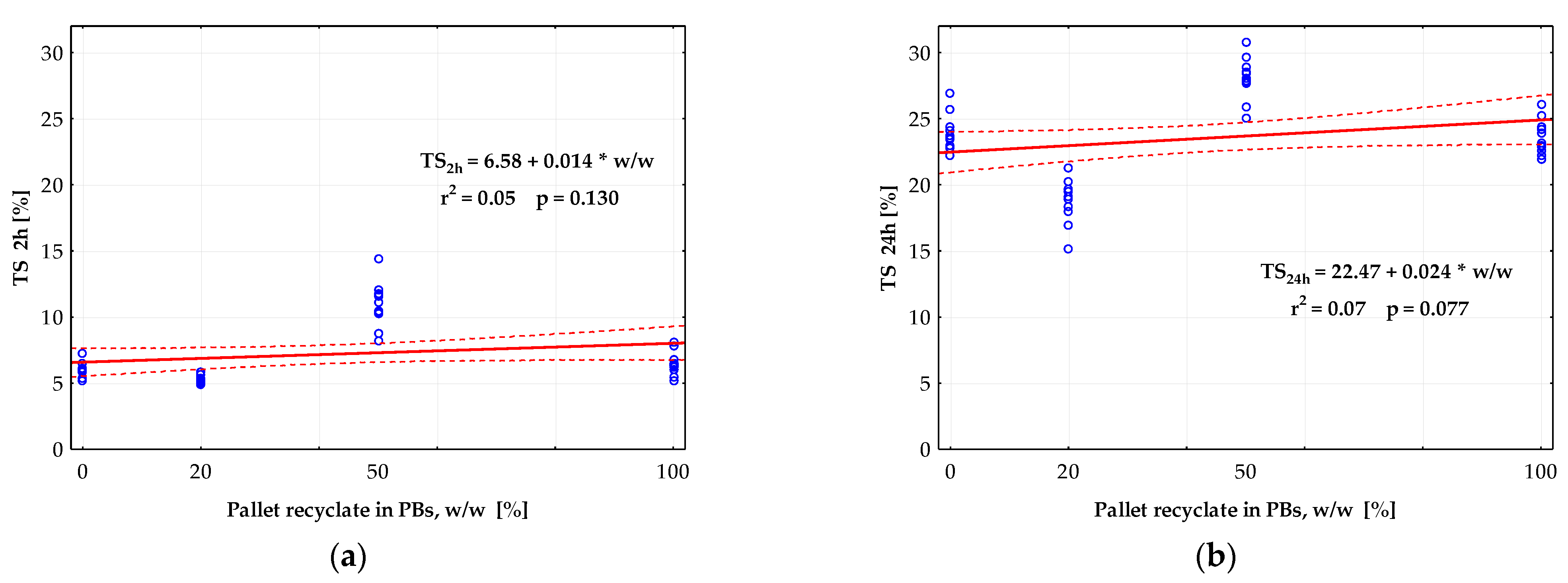
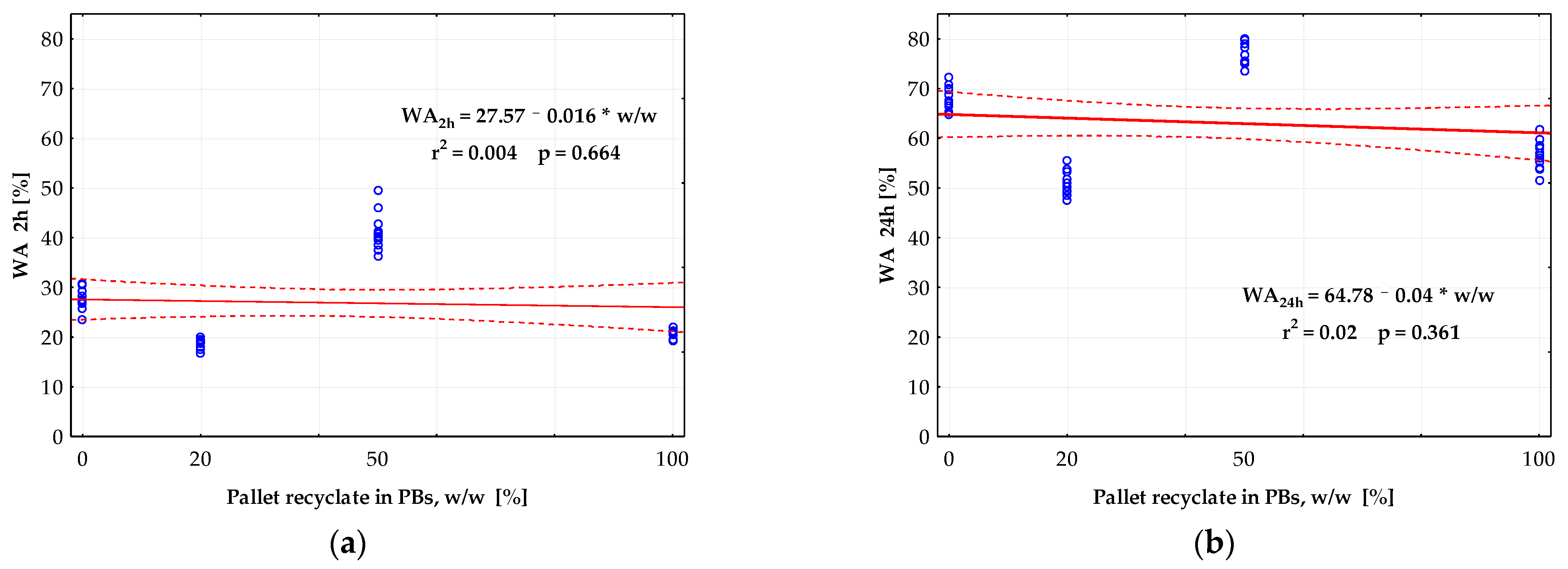
- The thickness swelling (TS) and water absorption (WA) values of the laboratory prepared particleboards (PBs)—based on particles from fresh spruce logs (FSL) and recycled spruce pallets (RSP)—were not affected by the particle type at all.
- On the contrary, the particles from RSP had a significantly negative effect on the mechanical properties of PBs—i.e., in connection with a decrease in the modulus of rupture (MOR) in bending up to 31.5% (from 14.6 to 10.0 MPa), the modulus of elasticity (MOE) in bending up to 23.1% (from 2616 to 2012 MPa), and the internal bond (IB) up to 22.8% (from 0.79 to 0.61 MPa).
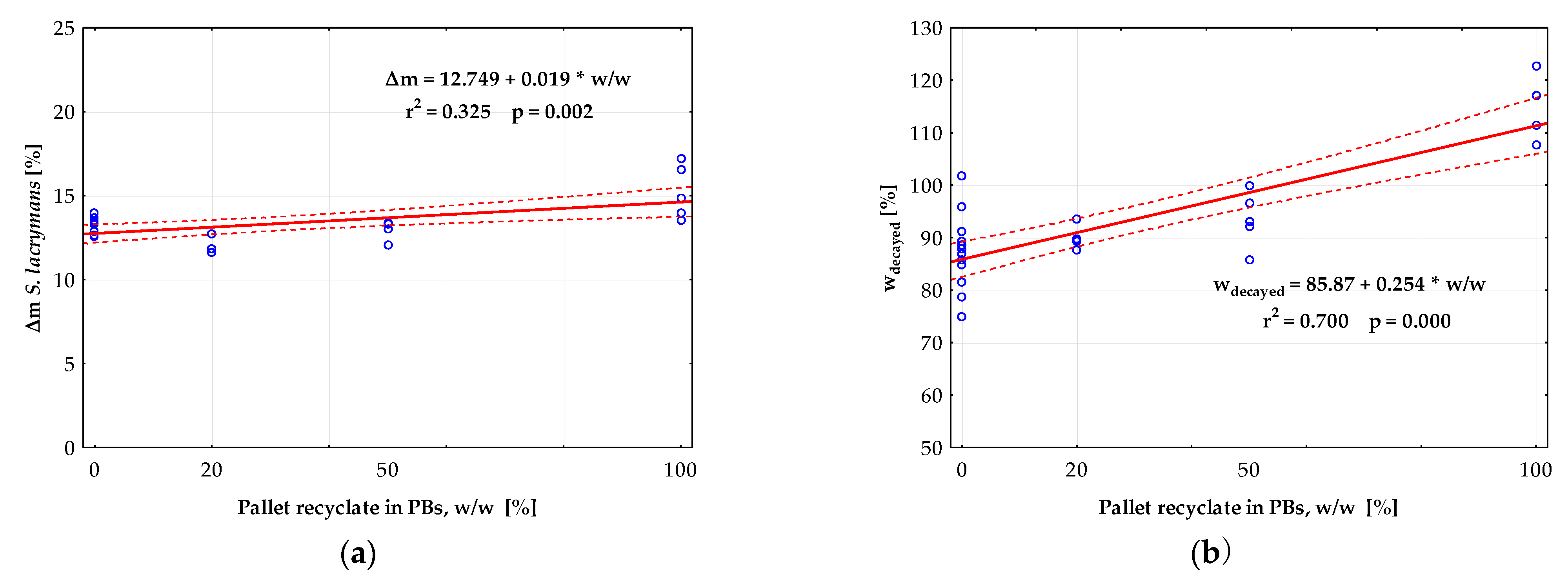
- The particles from RSP had a significantly negative effect (but a maximum of 15.4%) on the decay resistance of PBs to the brown-rot fungus Serpula lacrymans. On the contrary, the mould resistance of PBs was not influenced by the type of spruce particles used.
- Generally, the manufacturing of PBs with the addition of recycled wood pallets is a very important issue from an economic and environmental point of view; however, the mechanical properties of PBs prepared from recycled wood pallets could be reduced, especially in those cases where in the used wood are damages caused by pests (fungi, insects, etc.), as well as at sorting undetected additives (biocides, paints, etc.), by which the wettability, adhesion and thus also the strength of the glued joints in the PBs is worsened.
- More representative conclusions on the optimization of PBs properties can be drawn only after more extensive laboratory and field research using several raw wood material sources, e.g., fresh logs, decayed elements from old buildings, recycled pallets and furniture, recycled modified wood, and of course, their mixtures.
Author Contributions
Funding
Institutional Review Board Statement
Informed Consent Statement
Data Availability Statement
Acknowledgments
Conflicts of Interest
References
- Lykidis, C.; Grigoriou, A. Hydrothermal recycling of waste and performance of the recycled wooden particleboards. Waste Manag. 2008, 28, 57–63. [Google Scholar] [CrossRef] [PubMed]
- Ihnát, V.; Lübke, H.; Balberčák, J.; Kuňa, V. Size reduction downcycling of waste wood. Review. Wood Res. 2020, 65, 205–220. [Google Scholar] [CrossRef]
- Zeng, Q.; Lu, Q.; Zhou, Y.; Chen, N.; Rao, J.; Fan, M. Circular development of recycled natural fibers from medium density fiberboard wastes. J. Clean. Prod. 2018, 202, 456–464. [Google Scholar] [CrossRef]
- Michanickl, A. Recovery of fibers and particles from wood based products. In Proceedings of the No 7286: Wood and Paper in Building Applications, Forest Products Society, Madison, WI, USA, 9–10 September 1996; pp. 115–119. [Google Scholar]
- Gaff, M.; Trgala, K.; Adamová, T. Environmental Benefits of Using Recycled Wood in the Production of Wood-Based Panels, 1st ed.; CZU: Prag, Czech Republic, 2018; p. 51. [Google Scholar]
- Irle, M.; Privat, F.; Couret, L.; Belloncle, C.; Déroubaix, G.; Bonnin, E.; Cathala, B. Advanced recycling of post-consumer solid wood and MDF. Wood Mater. Sci. Eng. 2018, 14, 19–23. [Google Scholar] [CrossRef]
- Lubke, H.; Ihnát, V.; Kuňa, V.; Balberčák, J. A multi-stage cascade use of wood composite boards. Wood Res. 2020, 65, 843–854. [Google Scholar] [CrossRef]
- Altholz, V. Altholzverordnung. 15 August 2002. Available online: http://bundesrecht.juris.de/bundesrecht/altholzv/gesamt.pdf (accessed on 15 October 2021).
- Khan, M.; Hussain, M.; Deviatkin, I.; Havukainen, J.; Horttanainen, M. Environ-mental impacts of wooden, plastic, and wood-polymer composite pallet: A life cycle as-sessment approach. Int. J. Life Cycle Assess. 2021, 26, 1607–1622. [Google Scholar] [CrossRef]
- Leblanc, R. EPAL Pallet Production Increased in 2020 Despite COVID-19 Pandemic. Reusable Packaging News. Available online: https://packagingrevolution.net/epal-production-statistics/ (accessed on 13 April 2021).
- Buehlmann, U.; Bumgardner, M.; Fluharty, T. Ban on landfilling of wooden pallets in North Carolina: An assessment of recycling and industry capacity. J. Clean. Prod. 2009, 17, 271–275. [Google Scholar] [CrossRef]
- Roy, D.; Carrano, A.L.; Pazour, J.A.; Gupta, A. Cost-effective pallet management strategies. Transp. Res. Part E Logist. Transp. Rev. 2016, 93, 358–371. [Google Scholar] [CrossRef]
- Deliverable: 1.1–Assessmentof Existing LTL Market, Products and Costs. Available online: https://ec.europa.eu/research/participants/documents/downloadPublic?documentIds=080166e5bf8af2a6&appId=PPGMS (accessed on 11 October 2021).
- Gasol, C.M.; Farreny, R.; Gabarrell, X.; Rieradevall, J. Life cycle assessment comparison among different reuse intensities for industrial wooden containers. Int. J. Life Cycle Assess. 2008, 13, 421–431. [Google Scholar] [CrossRef]
- Modern Materials Handling. Available online: https://www.mmh.com/article/annual_pallet_report_2021_short_supply_meets_high_demand=OK (accessed on 11 October 2021).
- Hischier, R.; Althaus, H.-J.; Werner, F. Developments in wood and packaging materials life cycle inventories in ecoinvent (9 pp). Int. J. Life Cycle Assess. 2004, 10, 50–58. [Google Scholar] [CrossRef][Green Version]
- Iždinský, J.; Vidholdová, Z.; Reinprecht, L. Particleboards from recycled wood. Forests 2020, 11, 1166. [Google Scholar] [CrossRef]
- STN 49 0110. Wood—Compression Strength Limits Parallel to the Grain; Slovak Office of Standards, Metrology and Testing: Brati-slava, Slovak, 1979.
- EN 827. Adhesives—Determination of Conventional Solids Content and Constant Mass Solids Content; European Committee for Standardization: Brussels, Belgium, 2005.
- EN ISO 2431. Paints and Varnishes—Determination of Flow Time by Use of Flow Cups (Iso 2431:2019); European Committee for Standardization: Brussels, Belgium, 2019.
- EN 1245. Adhesives—Determination of pH; European Committee for Standardization: Brussels, Belgium, 2011.
- Iždinský, J.; Vidholdová, Z.; Reinprecht, L. Particleboards from recycled thermally modified wood. Forests 2021, 12, 1462. [Google Scholar] [CrossRef]
- EN 310. Wood-Based Panels—Determination of Modulus of Elasticity in Bending and of Bending Strength; European Committee for Standardization: Brussels, Belgium, 1993.
- EN 317. Particleboards and Fibreboards—Determination of Swelling in Thickness after Immersion in Water; European Committee for Standardization: Brussels, Belgium, 1993.
- STN 490164. Particle Boards—Determination of Water Absorption; Slovak Office of Standards, Metrology and Testing: Bratislava, Slovak, 1980.
- EN 319. Particleboards and Fibreboards—Determination of Tensile Strength Perpendicular to the Plane of the Board; European Committee for Standardization: Brussels, Belgium, 1993.
- EN 323. Wood-Based Panels—Determination of Density; European Committee for Standardization: Brussels, Belgium, 1993.
- ENV 12038. Durability of Wood and Wood-Based Products—Wood-Based Panels—Method of Test for Determining the Resistance Against Wood-Destroying Basidiomycetes; European Committee for Standardization: Brussels, Belgium, 2002.
- EN 15457. Paints and Varnishes—Laboratory Method for Testing the Efficacy of Film Preservatives in A Coating Against Fungi; European Committee for Standardization: Brussels, Belgium, 2007.
- EN 322. Wood-Based Panels—Determination of Moisture Content; European Committee for Standardization: Brussels, Belgium, 1993.
- Mantanis, G.I.; Athanassiadou, E.T.; Barbu, M.C.; Wijnendaele, K. Adhesive systems used in the European particleboard, MDF and OSB industries. Wood Mater. Sci. Eng. 2018, 13, 104–116. [Google Scholar] [CrossRef]
- Pizzi, A. Urea and melamine aminoresin adhesives. In Handbook of Adhesive Technology, 3rd ed.; Pizzi, A., Mittal, K.L., Eds.; CRC Press: Boca Raton, FL, USA, 2017; p. 38. [Google Scholar] [CrossRef]
- EN 312. Particleboards—Specifications; European Committee for Standardization: Brussels, Belgium, 2010.
- Müller, G.; Schöpper, C.; Vos, H.; Kharazipour, A.P.; Polle, A. FTIR-ATR spectroscopic analyses of changes in wood prop-erties during particle and fibreboard production of hard and softwood trees. BioResources 2009, 4, 49–71. [Google Scholar] [CrossRef]
- Kuo, M.L.; McClelland, J.F.; Luo, S.; Chien, P.L.; Walker, R.D.; Hse, C.Y. Application of infrared photoacoustic spectroscopy for wood samples. Wood Fiber Sci. 1988, 20, 132–145. [Google Scholar]
- Esteves, B.; Velez Marques, A.; Domingos, I.; Pereira, H. Chemical changes of heat treated Pine and Eucalypt wood monitored by FTIR. Maderas-Cienc. Technol. 2013, 15, 245–258. [Google Scholar] [CrossRef]
- Popescu, M.-C.; Froidevaux, J.; Parviz Navi, P.; Popescu, C.-M. Structural modifications of Tilia cordata wood during heat treatment investigated by FT-IR and 2D IR correlation spectroscopy. J. Mol. Struct. 2013, 1033, 176–186. [Google Scholar] [CrossRef]
- Akerholm, M.; Hinterstoisser, B.; Salmén, L. Characterization of the crystalline structure of cellulose using static and dynamic FT-IR spectroscopy. Carbohydr. Res. 2004, 339, 569–578. [Google Scholar] [CrossRef]
- Popescu, M.-C.; Popescu, C.; Lisa, G.; Sakata, Y. Evaluation of morphological and chemical aspects of different wood species by spectroscopy and thermal methods. J. Mol. Struct. 2011, 988, 65–72. [Google Scholar] [CrossRef]
- Wilcox, W.W. Review of literature on the effects of early stages of decay on wood strength. Wood Fiber Sci. 1978, 9, 252–257. [Google Scholar]
- Rayner, A.D.M.; Boddy, L. Fungal Decomposition of Wood: Its Biology and Ecology, 1st ed.; John Wiley & Sons Ltd.: Chichester, UK, 1988; p. 587. [Google Scholar]
- Azambuja, R.R.; Castro, V.G.; Trianoski, R.; Iwakiri, S. Recycling wood waste from construction and demolition to produce particleboards. Maderas-Cienc. Technol. 2018, 20, 681–690. [Google Scholar] [CrossRef]
- Hameed, M.; Rönnols, E.; Bramryd, T. Particleboard based on wood waste material bonded by leftover cakes of rape oil. Part 1: The mechanical and physical properties of particleboard. Holztechnologie 2019, 6, 31–39. [Google Scholar]
- Weber, C.; Iwakiri, S. Utilization of waste of plywood, MDF, and MDP for the production of particleboards. Cienc. Florest. 2015, 25, 405–413. [Google Scholar]
- Nourbakhsh, A.; Ashori, A. Particleboard made from waste paper treated with maleic anhydride. Waste Manag. Res. 2009, 28, 51–55. [Google Scholar] [CrossRef]
- Laskowska, A.; Maminski, M. The properties of particles produced from waste plywood by shredding in a single-shaft shredder. Maderas-Cienc. Technol. 2020, 22, 197–204. [Google Scholar] [CrossRef]
- EN 113. Durability of Wood and Wood-Based Products-Test Method Against Wood Destroying Basidiomycetes-Part 1: Assessment of Biocidal Efficacy of Wood Preservatives; European Committee for Standardization: Brussels, Belgium, 2020.
- Schmidt, O. Wood and Tree Fungi–Biology, Damage, Protection, and Use; Springer: Berlin/Heidelberg, Germany, 2006; p. 334. [Google Scholar]
- Reinprecht, L.; Tiralová, Z. Susceptibility of the sound and the primary rotten wood to decay by selected brown-rot fungi. Wood Res. 2001, 46, 11–20. [Google Scholar]
- Yildiz, S.; Canakci, S.; Yildiz, U.C.; Ozgenc, O.; Tomak, E.D. Improving of the impregnability of refractory spruce wood by Bacillus licheniformis pretreatment. BioResources 2011, 7, 565–577. [Google Scholar] [CrossRef]
- Tiralová, Z.; Pánek, M.; Novák, S. Resistance of spruce wood pre-treated with the bacterium Bacillus subtilis and the moulds Trichoderma viride against selected wood-destroying fungi. Acta Fac. Xylol. Zvolen 2007, 49, 45–51. [Google Scholar]
- Hosseinaei, O.; Wang, S.; Taylor, A.M.; Kim, J.W. Effect of hemicellulose extraction on water absorption and mold susceptibility of wood-plastic composites. Int. Biodeterior. Biodegrad. 2012, 71, 29–35. [Google Scholar] [CrossRef]
- Arango, R.; Yang, V.; Lebow, S.; Lebow, P.; Wiemann, M.; Grejczyk, M.; DeWald, P. Variation in mold susceptibility among hardwood species under laboratory conditions. Int. Biodeterior. Biodegrad. 2020, 154, 105082. [Google Scholar] [CrossRef]
- Aleinikovas, M.; Varnagirytė-Kabašinskienė, I.; Povilaitienė, A.; Šilinskas, B.; Škėma, M.; Beniušienė, L. Resistance of wood treated with iron compounds against wood-destroying decay and mould fungi. Forests 2021, 12, 645. [Google Scholar] [CrossRef]









| FTIR (cm−1) | FSL | RSP |
|---|---|---|
| 1274 | 1.64 | 1.24 |
| 1334 | 0.15 | 0.13 |
| 1372 | 1.11 | 1.15 |
| 1430 | 1.06 | 1.09 |
| 1510 | 2.42 | 2.28 |
| 1600 | 0.75 | 0.51 |
| 1653 | 0.17 | 0.18 |
| 1730 | 1.09 | 1.28 |
| 2900 | 1.60 | 1.63 |
| TCI = 1372/2900 | 0.69 | 0.71 |
| LOI = 1430/898 | 1.06 | 1.09 |
| Variant of PB | Recycled Spruce Pallets (RSP) in PB w (Recycled Wood)/w (Total Wood) (%) | Number of Produced Boards | Board Type |
|---|---|---|---|
| PB-C: | |||
| 100% particles from fresh spruce logs (FSL) | 0 | 6 | C |
| PB-RSP: | |||
| 20%, 50% or 100% particles from | 20 | 6 | RSP-20 |
| recycled spruce pallets (RSP), | 50 | 6 | RSP-50 |
| combined with FSL particles | 100 | 6 | RSP-100 |
| Property of PB | Recycled Spruce Pallets (RSP) in PB w/w (%) | ||||
|---|---|---|---|---|---|
| 0 | 20 | 50 | 100 | ||
| Density | [kg·m−3] | 656 (15.7) | 651 (18.1) | 657 (21.8) | 653 (26.0) |
| Thickness swelling (TS) after 2 h | [%] | 6.00 (0.53) | 5.27 (0.27) | 11.02 (1.63) | 6.47 (0.84) |
| Thickness swelling (TS) after 24 h | [%] | 23.81 (1.38) | 18.67 (1.58) | 27.87 (1.63) | 23.67 (1.25) |
| Water absorption (WA) after 2 h | [%] | 27.43 (2.04) | 18.49 (0.92) | 41.11 (3.62) | 20.62 (0.84) |
| Water absorption (WA) after 24 h | [%] | 68.31 (2.32) | 50.95 (2.30) | 76.80 (2.24) | 56.77 (2.82) |
| Internal bond (IB) | [MPa] | 0.79 (0.06) | 0.70 (0.05) | 0.68 (0.04) | 0.61 (0.03) |
| Modulus of rupture (MOR) | [MPa] | 14.6 (1.56) | 12.1 (0.97) | 12.4 (1.02) | 10.0 (1.27) |
| Modulus of elasticity (MOE) | [MPa] | 2616 (286) | 2471 (390) | 2276 (248) | 2012 (193) |
| Biological Resistance of PB | Recycled Spruce Pallets (RSP) in PB w/w (%) | |||
|---|---|---|---|---|
| 0 | 20 | 50 | 100 | |
| Decay attack by S. lacrymans | ||||
| ∆m [%] | 13.20 (0.48) | 12.34 (0.56) | 12.77 (0.66) | 15.23 (1.61) |
| w [%] | 87.29 (7.23) | 89.94 (2.18) | 93.41 (5.28) | 114.11 (5.85) |
| Attack by mixture of moulds | ||||
| (MGA [0–4]) | ||||
| 7th day | 1.33 | 1 | 1 | 1 |
| 14th day | 2.33 | 2 | 2 | 2 |
| 21st day | 2.67 | 2.33 | 2.33 | 3 |
| 28th day | 4 | 3.67 | 3.67 | 4 |
Publisher’s Note: MDPI stays neutral with regard to jurisdictional claims in published maps and institutional affiliations. |
© 2021 by the authors. Licensee MDPI, Basel, Switzerland. This article is an open access article distributed under the terms and conditions of the Creative Commons Attribution (CC BY) license (https://creativecommons.org/licenses/by/4.0/).
Share and Cite
Iždinský, J.; Reinprecht, L.; Vidholdová, Z. Particleboards from Recycled Pallets. Forests 2021, 12, 1597. https://doi.org/10.3390/f12111597
Iždinský J, Reinprecht L, Vidholdová Z. Particleboards from Recycled Pallets. Forests. 2021; 12(11):1597. https://doi.org/10.3390/f12111597
Chicago/Turabian StyleIždinský, Ján, Ladislav Reinprecht, and Zuzana Vidholdová. 2021. "Particleboards from Recycled Pallets" Forests 12, no. 11: 1597. https://doi.org/10.3390/f12111597
APA StyleIždinský, J., Reinprecht, L., & Vidholdová, Z. (2021). Particleboards from Recycled Pallets. Forests, 12(11), 1597. https://doi.org/10.3390/f12111597

