Perceived Loudness Sensitivity Influenced by Brightness in Urban Forests: A Comparison When Eyes Were Opened and Closed
Abstract
1. Introduction
2. Methodology
2.1. Study Area
2.2. Soundscape and Lightscape Information
2.3. Procedure
3. Results
3.1. Diurnal Variation of Soundscape and Lightscape
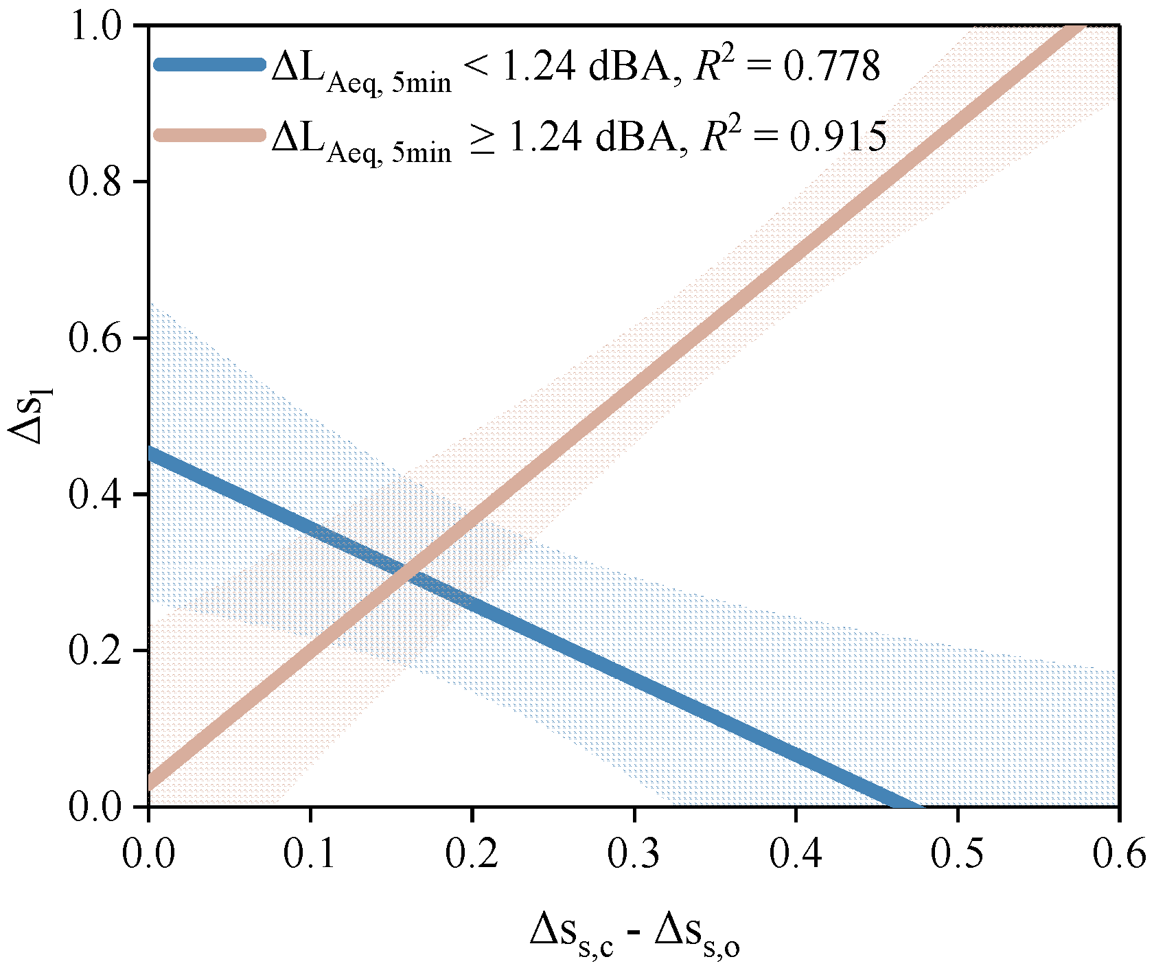
3.2. Relationship between the Variations of Soundscape and Lightscape
4. Discussion
4.1. Diurnal Variation Influencing the Perceived Soundscape and Lightscape
4.2. Relationship between the Sensitivity of Perceived Soundscape and Lightscape
5. Conclusions
Supplementary Materials
Author Contributions
Funding
Acknowledgments
Conflicts of Interest
References
- Mcpherson, E.G.; Xiao, Q.; Aguaron, E. A new approach to quantify and map carbon stored, sequestered and emissions avoided by urban forests. Landsc. Urban Plan. 2013, 120, 70–84. [Google Scholar] [CrossRef]
 - Nowak, D.J.; Hirabayashi, S.; Doyle, M. Air pollution removal by urban forests in Canada and its effect on air quality and human health. Urban For. Urban Green. 2018, 29, 40–48. [Google Scholar] [CrossRef]
 - Roovers, P.; Hermy, M.; Gulinck, H. Vistor profile, perception and expectation in forests from a gradient of increasing urbanisation. Curr. Opin. Struct. Biol. 2002, 18, 682–689. [Google Scholar]
 - Bell, S. Landscape pattern, perception and visualisation in the visual management of forests. Landsc. Urban Plan. 2001, 54, 201–211. [Google Scholar] [CrossRef]
 - Lee, J.Y.; Lee, D.C. Cardiac and pulmonary benefits of forest walking versus city walking in elderly women: A randomised, controlled, open-label trial. Eur. J. Integr. Med. 2014, 6, 5–11. [Google Scholar] [CrossRef]
 - Morita, E.; Fukuda, S.; Nagano, J. Psychological effects of forest environments on healthy adults: Shinrin-yoku (forest-air bathing, walking) as a possible method of stress reduction. Public Health 2007, 121, 54. [Google Scholar] [CrossRef] [PubMed]
 - Sung, J.; Woo, J.M.; Kim, W. The Effect of Cognitive Behavior Therapy-Based “Forest Therapy” Program on Blood Pressure, Salivary Cortisol Level, and Quality of Life in Elderly Hypertensive Patients. Clin. Exp. Hypertens. 2012, 34, 1. [Google Scholar] [CrossRef]
 - Muzet, A. Environmental noise, sleep and health. Sleep Med. Rev. 2007, 11, 135–142. [Google Scholar] [CrossRef]
 - Zacarías, F.F.; Molina, R.H.; Ancela, J.L.C.; López, S.L.; Ojembarrena, A.A. Noise exposure in preterm infants treated with respiratory support using neonatal helmets. Acta Acust. United Acust. 2013, 99, 590–597. [Google Scholar] [CrossRef]
 - Minichilli, F.; Gorini, A.E.; Bianchi, F.; Coi, A.; Fredianelli, A.; Licitra, G.; Manzoli1, F.; Mezzasalma, L.; Cori, L. Annoyance judgment and measurements of environmental noise: A focus on Italian secondary schools. Int. J. Environ. Res. Public Health 2018, 15, 208. [Google Scholar] [CrossRef]
 - Dratva, J.; Phuleria, H.C.; Foraster, M.; Gaspoz, J.M.; Keidel, D.; Kunzli, N. Transportation noise and blood pressure in a population—Based sample of adults. Environ. Health Perspect. 2012, 120, 50–55. [Google Scholar] [CrossRef]
 - Licitra, G.; Fredianelli, L.; Petri, D.; Vigotti, M.A. Annoyance evaluation due to overall railway noise and vibration in Pisa urban areas. Sci. Total Environ. 2016, 568, 1315–1325. [Google Scholar] [CrossRef] [PubMed]
 - Aletta, F.; Oberman, T.; Kang, J. Positive health-related effects of perceiving urban soundscapes: A systematic review. Lancet 2018, 392, 32044. [Google Scholar] [CrossRef]
 - Coensel, B.D.; Boes, M.; Oldoni, D. Characterizing the soundscape of tranquil urban spaces. J. Acoust. Soc. Am. 2013, 133, 3371. [Google Scholar] [CrossRef]
 - Hong, X.C.; Liu, J.; Wang, G.Y. Factors influencing the harmonious degree of soundscapes in urban forests: A comparison of broad-leaved and coniferous forests. Urban For. Urban Green. 2019, 39, 18–25. [Google Scholar] [CrossRef]
 - Hong, X.C.; Zhu, Z.P.; Liu, J. Perceived occurrences of soundscape influencing pleasantness in urban forests: A comparison of broad-leaved and coniferous forests. Sustainability 2019, 11, 4789. [Google Scholar] [CrossRef]
 - Liu, J.; Kang, J.; Behm, H.; Luo, T. Effects of landscape on soundscape perception: Soundwalks in city parks. Landsc. Urban Plan. 2014, 123, 30–40. [Google Scholar] [CrossRef]
 - Tomita, Y. Urban lightscape: The role of light in urban environment. Spec. Issue Jpn. Soc. Sci. Des. 2000, 8, 58–61. [Google Scholar]
 - Wong, T.S. The horizontal-vertical illusion in haptic and visual space. J. Exp. Psychol. 1977, 81, 376–380. [Google Scholar]
 - Jeon, J.Y.; Jo, H.I. Effects of audio-visual interactions on soundscape and landscape perception and their influence on satisfaction with the urban environment. Build. Environ. 2020, 169, 106544. [Google Scholar] [CrossRef]
 - Hong, J.Y.; Jeon, J.Y. Designing sound and visual components for enhancement of urban soundscapes. J. Acoust. Soc. Am. 2013, 134, 2026. [Google Scholar] [CrossRef] [PubMed]
 - Kang, S.; Echevarria, S.G.M.; Bert, D.C. Personal audiovisual aptitude influences the interaction between landscape and soundscape appraisal. Front. Psychol. 2018, 9, 780. [Google Scholar]
 - Li, H.; Lau, S.K. A review of audio-visual interaction on soundscape assessment in urban built environments. Appl. Acoust. 2020, 166, 107372. [Google Scholar] [CrossRef]
 - Cassina, L.; Fredianelli, L.; Menichini, I.; Chiari, C.; Licitra, G. Audio-visual preferences and tranquillity ratings in urban areas. Environments 2018, 5, 1. [Google Scholar] [CrossRef]
 - Filipan, K.; De Coensel, B.; Aurnond, P. Auditory sensory saliency as a better predictor of change than sound amplitude in pleasantness assessment of reproduced urban soundscapes. Build. Environ. 2019, 148, 730–741. [Google Scholar] [CrossRef]
 - Steffens, J.; Steele, D.; Guastavino, C. Situational and person-related factors influencing momentary and retrospective soundscape evaluations in day-to-day life. J. Acoust. Soc. Am. 2017, 141, 1414–1425. [Google Scholar] [CrossRef]
 - Treisman, A. Monitoring and storage of irrelevant messages in selective attention. J. Verbal Learn. Verbal Behav. 1964, 3, 449–459. [Google Scholar] [CrossRef]
 - Johnston, W.A.; Heinz, S.P. Flexibility and capacity demands of attention. J. Exp. Psychol. Gen. 1978, 107, 420–435. [Google Scholar] [CrossRef]
 - Hong, X.C.; Wang, G.Y.; Liu, J.; Lan, S.R. Cognitive persistence of soundscape in urban parks. Sustain. Cities Soc. 2019, 51, 17–26. [Google Scholar] [CrossRef]
 - Labruna, L.; Miguel, F.; Landau, A. Modulation of the motor system during visual and auditory language processing. Exp. Brain Res. 2011, 211, 243–250. [Google Scholar] [CrossRef]
 - Tomasi, D.; Caparelli, E.C.; Chang, L. Fmri-acoustic noise alters brain activation during working memory tasks. Neuroimage 2005, 27, 377–386. [Google Scholar] [CrossRef] [PubMed]
 - Watanabe, S.; Masuda, S. Integration of auditory and visual information in human face discrimination in pigeons. behavioral and anatomical study. Behav. Brain Res. 2010, 207, 61–69. [Google Scholar] [CrossRef]
 - Aron, E.N.; Aron, A. Sensory-processing sensitivity and its relation to introversion and emotionality. J. Person. Soc. Psychol. 1997, 73, 345–368. [Google Scholar] [CrossRef]
 - Stigsdotter, U.K.; Corazon, S.S.; Sidenius, U. Forest design for mental health promotion—using perceived sensory dimensions to elicit restorative responses. Landsc. Urban Plan. 2017, 160, 1–15. [Google Scholar] [CrossRef]
 - Talcott, J.B.; Witton, C.; Mclean, M.F. Dynamic sensory sensitivity and children’s word decoding skills. Proc. Natl. Acad. Sci. USA 2000, 97, 2952–2957. [Google Scholar] [CrossRef] [PubMed]
 - Aron, E.N.; Aron, A.; Jagiellowicz, J. Sensory Processing Sensitivity: A Review in the Light of the Evolution of Biological Responsivity. Person. Soc. Psychol. Rev. 2012, 16, 262–282. [Google Scholar] [CrossRef] [PubMed]
 - Noesselt, T.; Tyll, S.; Boehler, C.N.; Budinger, E.; Heinze, H.J.; Driver, J. Sound-induced enhancement of low-intensity vision: Multisensory influences on human sensory-specific cortices and thalamic bodies relate to perceptual enhancement of visual detection sensitivity. J. Neurosci. 2010, 30, 13609–13623. [Google Scholar] [CrossRef]
 - Shim, K. The auditory sensory epithelium: The instrument of sound perception. Int. J. Biochem. Cell Biol. 2006, 38, 1827–1833. [Google Scholar] [CrossRef]
 - Veale, J.L.; Mark, R.F.; Rees, S. Differential sensitivity of motor and sensory fibres in human ulnar nerve. J. Neurol. 1973, 36, 75–86. [Google Scholar] [CrossRef]
 - Calleja, A.; Díaz-Balteiro, L.; Iglesias-Merchan, C. Acoustic and economic valuation of soundscape: An application to the ‘retiro’ urban forest park. Urban For. Urban Green. 2017, 27, 272–278. [Google Scholar] [CrossRef]
 - Yamada, Y.; Nilsson, K. Soundscape-based Forest Planning for Recreational and Therapeutic Activities. Urban For. Urban Green. 2006, 5, 131–139. [Google Scholar] [CrossRef]
 - Hussain, L.; Aziz, W.; Alowibdi, J.S. Symbolic time series analysis of electroencephalographic (eeg) epileptic seizure and brain dynamics with eye-open and eye-closed subjects during resting states. J. Physiol. Anthropol. 2017, 36, 21. [Google Scholar] [CrossRef] [PubMed]
 - Perfect, T.J.; Andrade, J.; Eagan, I. Eye closure reduces the cross-modal memory impairment caused by auditory distraction. J. Exp. Psychol. Learn. Mem. Cognit. 2011, 37, 1008–1013. [Google Scholar] [CrossRef]
 - Robert, J.; Hall, R.A.; Monty, W. The effect of moving and static trans-scleral illumination of visual afterimages. Atten. Percept. Psychophys. 1970, 7, 367–368. [Google Scholar]
 - Bennie, J.; Davies, T.W.; Inger, R.; Gaston, K.J. Mapping artificial lightscapes for ecological studies. Methods Ecol. Evolut. 2014, 5, 534–540. [Google Scholar] [CrossRef]
 - Dekay, M. Daylighting and urban form: An urban fabric of light. J. Archit. Plan. Res. 2010, 27, 35–56. [Google Scholar]
 - Hong, J.Y.; Lam, B.; Ong, Z.-T. Quality assessment of acoustic environment reproduction methods for cinematic virtual reality in soundscape applications. Build. Environ. 2019, 149, 1–14. [Google Scholar] [CrossRef]
 - International Organization for Standardization. ISO 12913-1:2014 Acoustics—Soundscape Part 1: Definition and Conceptual Framework; Standard ISO 12913-1:2014; International Organization for Standardization: Geneva, Switzerland, 2014. [Google Scholar]
 - International Organization for Standardization. ISO/TS 12913-2:2018 Acoustics—Soundscape Part 2: Data Collection and Reporting Requirements; Standard ISO/TS 12913-2:2018; International Organization for Standardization: Geneva, Switzerland, 2018. [Google Scholar]
 - Kim, I.T.; Jang, I.H.; Choi, A.S. Brightness perception of white led lights with different correlated colour temperatures. Indoor Built Environ. 2014, 24, 500–513. [Google Scholar] [CrossRef]
 - Yager, D.; Taylor, E. Experimental measures and theoretical account of hue scaling as a function of luminance. Percept. Psychophys. 1970, 7, 360–364. [Google Scholar] [CrossRef]
 - Kang, J. From dBA to soundscape indices: Managing our sound environment. Front. Eng. Manag. 2017, 4, 184–192. [Google Scholar] [CrossRef]
 - Wang, D.; Ying, L.; Wang, W.; Pei, C.; Wang, J. Indoor substation low-noise design and sound absorbing structure improvement considering power transformer acoustic radiation characteristics. Build. Environ. 2018, 149, 390–403. [Google Scholar] [CrossRef]
 - Yang, J.; Yu, Y.; You, L. Segmentation by Visitor Motivation in Fuzhou National Forest Park: A Factor-Cluster Approach. Sci. Silvae Sin. 2015, 51, 106–116. [Google Scholar]
 - Liu, J.; Kang, J. Soundscape design in city parks: Exploring the relationships between soundscape composition parameters and physical and psychoacoustic parameters. J. Environ. Eng. Landsc. Manag. 2015, 23, 102–112. [Google Scholar] [CrossRef]
 - Gygi, B.; Kidd, G.R.; Watson, C.S. Similarity and categorization of environmental sounds. Percept. Psychophys. 2018, 69, 839–855. [Google Scholar] [CrossRef] [PubMed]
 - Wu, B.M.; Chan, F.H.Y.; Lam, F.K. A novel system for simultaneous monitoring of locomotor and sound activities in animals. J. Neurosci. Methods 2000, 101, 69–73. [Google Scholar] [CrossRef]
 - Cattell, C.; Dombeck, J.; Carlson, C. Fast observations of the solar illumination dependence of downgoing auroral electron beams: Relationship to electron energy flux. J. Geophys. Res. Space Phys. 2006, 111, A02201. [Google Scholar] [CrossRef]
 - Friml, J.; Sauer, M. In their neighbour’s shadow. Nature 2008, 453, 298–299. [Google Scholar] [CrossRef]
 - Hong, M.S.; Simpson, B.; Baranoski, G.V.G. Interactive venation-based leaf shape modeling: Natural phenomena and special effects. Comput. Anim. Virtual World 2010, 16, 415–427. [Google Scholar] [CrossRef]
 - Benedek, G.; Benedek, K.; Kéri, S. Human scotopic spatiotemporal sensitivity: A comparison of psychophysical and electrophysiological data. Doc. Ophthalmol. 2003, 106, 201–207. [Google Scholar] [CrossRef]
 - Uka, T.; Deangelis, G.C. Contribution of middle temporal area to coarse depth discrimination: Comparison of neuronal and psychophysical sensitivity. J. Neurosci. 2003, 23, 3515–3530. [Google Scholar] [CrossRef]
 - Hong, J.Y.; Jeon, J.Y. The effects of audio–visual factors on perceptions of environmental noise barrier performance. Landsc. Urban Plan. 2014, 125, 28–37. [Google Scholar] [CrossRef]
 - Kranczioch, C.; Thorne, J.D. Simultaneous and preceding sounds enhance rapid visual targets: Evidence from the attentional blink. Advances Cognit. Psychol. 2013, 9, 130–142. [Google Scholar] [CrossRef]
 - Tivadar, R.I.; Chrysa, R.; Nora, T. Sounds enhance visual completion processes. NeuroImage 2018, 179, 480–488. [Google Scholar] [CrossRef] [PubMed]
 - Akita, T. Effects on consistency of sound and visual signal on easiness of directional cognition. In Proceedings of the Inter-Noise & Noise Congress & Conference, Dearborn, MI, USA, 19–21 August 2002; pp. 1291–1925. [Google Scholar]
 - Jones, D.M.; Macken, W.J.; Murray, A.C. Disruption of visual short-term memory by changing-state auditory stimuli: The role of segmentation. Mem. Cognit. 1993, 21, 318–328. [Google Scholar] [CrossRef]
 - Smolders, K.C.H.J.; Kort, Y.A.W.D.; Cluitmans, P.J.M. A higher illuminance induces alertness even during office hours: Findings on subjective measures, task performance and heart rate measures. Physiol. Behav. 2012, 107, 7–16. [Google Scholar] [CrossRef]
 - Jordan, T.R.; Abedipour, L. The importance of laughing in your face influences of visual laughter on auditory laughter perception. Perception 2010, 39, 1283–1285. [Google Scholar] [CrossRef]
 - Potamitis, I.; Ntalampiras, S.; Jahn, O. Automatic bird sound detection in long real-field recordings: Applications and tools. Appl. Acoust. 2014, 80, 1–9. [Google Scholar] [CrossRef]
 







| ΔLAeq,5min | ΔLO | Δss,c | Δss,o | ΔUI | Δsl | |
|---|---|---|---|---|---|---|
| ΔLAeq,5min | 1.000 | 0.824 ** | 0.870 ** | 0.819 ** | 0.502 * | 0.625 ** | 
| ΔLO | 0.824 ** | 1.000 | 0.756 ** | 0.713 ** | 0.365 * | 0.552 ** | 
| Δss,c | 0.870 ** | 0.756 ** | 1.000 | 0.840 ** | 0.288 | 0.599 * | 
| Δss,o | 0.819 ** | 0.713 ** | 0.840 ** | 1.000 | 0.253 | 0.469 * | 
| ΔUI | 0.502 * | 0.365 * | 0.288 | 0.253 | 1.000 | 0.858 ** | 
| Δsl | 0.625 ** | 0.552 ** | 0.599 * | 0.469 * | 0.858 ** | 1.000 | 
Publisher’s Note: MDPI stays neutral with regard to jurisdictional claims in published maps and institutional affiliations.  | 
© 2020 by the authors. Licensee MDPI, Basel, Switzerland. This article is an open access article distributed under the terms and conditions of the Creative Commons Attribution (CC BY) license (http://creativecommons.org/licenses/by/4.0/).
Share and Cite
Hong, X.-C.; Wang, G.-Y.; Liu, J.; Dang, E. Perceived Loudness Sensitivity Influenced by Brightness in Urban Forests: A Comparison When Eyes Were Opened and Closed. Forests 2020, 11, 1242. https://doi.org/10.3390/f11121242
Hong X-C, Wang G-Y, Liu J, Dang E. Perceived Loudness Sensitivity Influenced by Brightness in Urban Forests: A Comparison When Eyes Were Opened and Closed. Forests. 2020; 11(12):1242. https://doi.org/10.3390/f11121242
Chicago/Turabian StyleHong, Xin-Chen, Guang-Yu Wang, Jiang Liu, and Emily Dang. 2020. "Perceived Loudness Sensitivity Influenced by Brightness in Urban Forests: A Comparison When Eyes Were Opened and Closed" Forests 11, no. 12: 1242. https://doi.org/10.3390/f11121242
APA StyleHong, X.-C., Wang, G.-Y., Liu, J., & Dang, E. (2020). Perceived Loudness Sensitivity Influenced by Brightness in Urban Forests: A Comparison When Eyes Were Opened and Closed. Forests, 11(12), 1242. https://doi.org/10.3390/f11121242
        
