Linking Terrestrial LiDAR Scanner and Conventional Forest Structure Measurements with Multi-Modal Satellite Data
Abstract
1. Introduction
2. Materials and Methods
2.1. Study Site
2.2. Field Data Collection
2.3. Satellite Remote Sensing Data
Satellite Remote Sensing-Derived Vegetation Indices and Backscatter Intensities
2.4. Statistical Methods
3. Results
3.1. Correlation Analysis
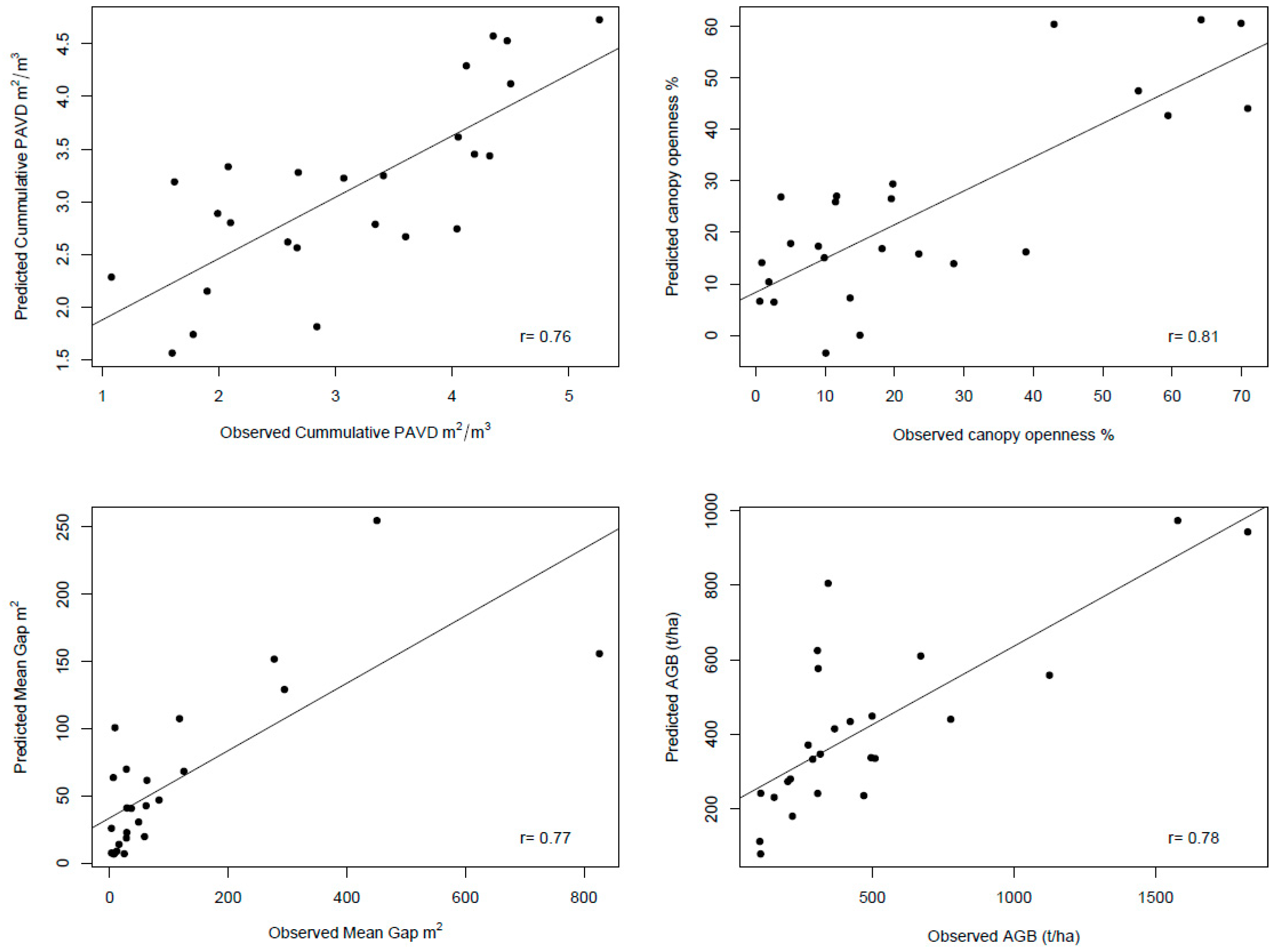
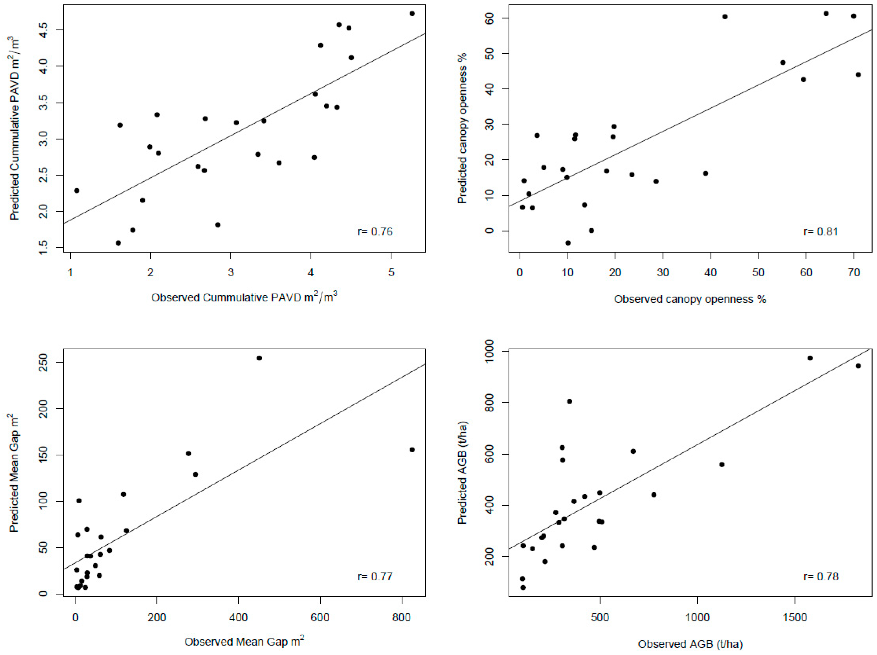
3.2. Prediction of Field-Measured Forest Structure Parameters
4. Discussion
5. Conclusions
Author Contributions
Funding
Acknowledgments
Conflicts of Interest
References
- Lindenmayer, D.B.; Margules, C.R.; Botkin, D.B. Indicators of biodiversity for ecologically sustainable forest management. Conserv. Biol. 2000, 14, 941–950. [Google Scholar] [CrossRef]
- Giam, X. Global biodiversity loss from tropical deforestation. Proc. Natl. Acad. Sci. USA 2017, 114, 5775–5777. [Google Scholar] [CrossRef] [PubMed]
- Simonson, W.D.; Allen, H.D.; Coomes, D.A. Applications of airborne lidar for the assessment of animal species diversity. Methods Ecol. Evol. 2014, 5, 719–729. [Google Scholar] [CrossRef]
- Tuanmu, M.N.; Jetz, W. A global, remote sensing-based characterization of terrestrial habitat heterogeneity for biodiversity and ecosystem modelling. Glob. Ecol. Biogeogr. 2015, 24, 1329–1339. [Google Scholar] [CrossRef]
- Skidmore, A.K.; Pettorelli, N. Agree on biodiversity metrics to track from space: Ecologists and space agencies must forge a global monitoring strategy. Nature 2015, 523, 403–406. [Google Scholar] [CrossRef] [PubMed]
- Pereira, H.M.; Ferrier, S.; Walters, M.; Geller, G.; Jongman, R.; Scholes, R.; Bruford, M.; Brummitt, N.; Butchart, S.; Cardoso, A. Essential biodiversity variables. Science 2013, 339, 277–278. [Google Scholar] [CrossRef]
- Leblanc, S.G.; Fournier, R.A. Measurement of forest structure with hemispherical photography. In Hemispherical Photography in Forest Science: Theory, Methods, Applications; Fournier, R.A., Hall, R.J., Eds.; Springer: Dordrecht, The Netherlands, 2017; pp. 53–83. [Google Scholar]
- Day, M.; Baldauf, C.; Rutishauser, E.; Sunderland, T.C. Relationships between tree species diversity and above-ground biomass in central african rainforests: Implications for redd. Environ. Conserv. 2014, 41, 64–72. [Google Scholar] [CrossRef]
- Gao, T.; Hedblom, M.; Emilsson, T.; Nielsen, A.B. The role of forest stand structure as biodiversity indicator. For. Ecol. Manag. 2014, 330, 82–93. [Google Scholar] [CrossRef]
- Mitchell, A.L.; Rosenqvist, A.; Mora, B. Current remote sensing approaches to monitoring forest degradation in support of countries measurement, reporting and verification (mrv) systems for redd+. Carbon Balance Manag. 2017, 12, 9. [Google Scholar] [CrossRef] [PubMed]
- Zellweger, F.; Morsdorf, F.; Purves, R.S.; Braunisch, V.; Bollmann, K. Improved methods for measuring forest landscape structure: Lidar complements field-based habitat assessment. Biodivers. Conserv. 2014, 23, 289–307. [Google Scholar] [CrossRef]
- Kaasalainen, S.; Holopainen, M.; Karjalainen, M.; Vastaranta, M.; Kankare, V.; Karila, K.; Osmanoglu, B. Combining lidar and synthetic aperture radar data to estimate forest biomass: Status and prospects. Forests 2015, 6, 252–270. [Google Scholar] [CrossRef]
- Alexander, C.; Moeslund, J.E.; Bøcher, P.K.; Arge, L.; Svenning, J.-C. Airborne laser scanner (lidar) proxies for understory light conditions. Remote Sens. Environ. 2013, 134, 152–161. [Google Scholar] [CrossRef]
- Srinivasan, S.; Popescu, S.C.; Eriksson, M.; Sheridan, R.D.; Ku, N.-W. Terrestrial laser scanning as an effective tool to retrieve tree level height, crown width, and stem diameter. Remote Sens. 2015, 7, 1877–1896. [Google Scholar] [CrossRef]
- Van Leeuwen, M.; Nieuwenhuis, M. Retrieval of forest structural parameters using lidar remote sensing. Eur. J. For. Res. 2010, 129, 749–770. [Google Scholar] [CrossRef]
- Calders, K.; Schenkels, T.; Bartholomeus, H.; Armston, J.; Verbesselt, J.; Herold, M. Monitoring spring phenology with high temporal resolution terrestrial lidar measurements. Agric. For. Meteorol. 2015, 203, 158–168. [Google Scholar] [CrossRef]
- Hancock, S.; Essery, R.; Reid, T.; Carle, J.; Baxter, R.; Rutter, N.; Huntley, B. Characterising forest gap fraction with terrestrial lidar and photography: An examination of relative limitations. Agric. For. Meteorol. 2014, 189, 105–114. [Google Scholar] [CrossRef]
- Calders, K.; Newnham, G.; Burt, A.; Murphy, S.; Raumonen, P.; Herold, M.; Culvenor, D.; Avitabile, V.; Disney, M.; Armston, J. Nondestructive estimates of above-ground biomass using terrestrial laser scanning. Methods Ecol. Evol. 2015, 6, 198–208. [Google Scholar] [CrossRef]
- Hackenberg, J.; Wassenberg, M.; Spiecker, H.; Sun, D. Non destructive method for biomass prediction combining tls derived tree volume and wood density. Forests 2015, 6, 1274–1300. [Google Scholar] [CrossRef]
- Decuyper, M.; Mulatu, K.A.; Brede, B.; Calders, K.; Armston, J.; Rozendaal, D.M.; Mora, B.; Clevers, J.G.; Kooistra, L.; Herold, M. Assessing the structural differences between tropical forest types using terrestrial laser scanning. For. Ecol. Manag. 2018, 429, 327–335. [Google Scholar] [CrossRef]
- Pettorelli, N.; Laurance, W.F.; O’Brien, T.G.; Wegmann, M.; Nagendra, H.; Turner, W. Satellite remote sensing for applied ecologists: Opportunities and challenges. J. Appl. Ecol. 2014, 51, 839–848. [Google Scholar] [CrossRef]
- Meng, J.; Li, S.; Wang, W.; Liu, Q.; Xie, S.; Ma, W. Estimation of forest structural diversity using the spectral and textural information derived from spot-5 satellite images. Remote Sens. 2016, 8, 125. [Google Scholar] [CrossRef]
- Baloloy, A.; Blanco, A.; Candido, C.; Argamosa, R.; Dumalag, J.; Dimapilis, L.; Paringit, E. Estimation of mangrove forest aboveground biomass using multispectral bands, vegetation indices and biophysical variables derived from optical satellite imageries: Rapideye, planetscope and sentinel-2. In Proceedings of the ISPRS Annals of Photogrammetry, Remote Sensing & Spatial Information Sciences, Beijing, China, 7–10 May 2018; Volume 4. [Google Scholar]
- Dash, J.P.; Watt, M.S.; Bhandari, S.; Watt, P. Characterising forest structure using combinations of airborne laser scanning data, rapideye satellite imagery and environmental variables. Forestry 2015, 89, 159–169. [Google Scholar] [CrossRef]
- Matasci, G.; Hermosilla, T.; Wulder, M.A.; White, J.C.; Coops, N.C.; Hobart, G.W.; Zald, H.S. Large-area mapping of canadian boreal forest cover, height, biomass and other structural attributes using landsat composites and lidar plots. Remote Sens. Environ. 2018, 209, 90–106. [Google Scholar] [CrossRef]
- Hansen, M.C.; Potapov, P.V.; Goetz, S.J.; Turubanova, S.; Tyukavina, A.; Krylov, A.; Kommareddy, A.; Egorov, A. Mapping tree height distributions in sub-saharan africa using landsat 7 and 8 data. Remote Sens. Environ. 2016, 185, 221–232. [Google Scholar] [CrossRef]
- Frazier, R.J.; Coops, N.C.; Wulder, M.A.; Kennedy, R. Characterization of aboveground biomass in an unmanaged boreal forest using landsat temporal segmentation metrics. ISPRS J. Photogramm. Remote Sens. 2014, 92, 137–146. [Google Scholar] [CrossRef]
- Freitas, S.R.; Mello, M.C.; Cruz, C.B. Relationships between forest structure and vegetation indices in atlantic rainforest. For. Ecol. Manag. 2005, 218, 353–362. [Google Scholar] [CrossRef]
- Castillo, J.A.A.; Apan, A.A.; Maraseni, T.N.; Salmo III, S.G. Estimation and mapping of above-ground biomass of mangrove forests and their replacement land uses in the philippines using sentinel imagery. ISPRS J. Photogramm. Remote Sens. 2017, 134, 70–85. [Google Scholar] [CrossRef]
- Majasalmi, T.; Rautiainen, M. The potential of sentinel-2 data for estimating biophysical variables in a boreal forest: A simulation study. Remote Sens. Lett. 2016, 7, 427–436. [Google Scholar] [CrossRef]
- Ningthoujam, R.; Balzter, H.; Tansey, K.; Morrison, K.; Johnson, S.; Gerard, F.; George, C.; Malhi, Y.; Burbidge, G.; Doody, S. Airborne s-band sar for forest biophysical retrieval in temperate mixed forests of the UK. Remote Sens. 2016, 8, 609. [Google Scholar] [CrossRef]
- Rodríguez-Veiga, P.; Wheeler, J.; Louis, V.; Tansey, K.; Balzter, H. Quantifying forest biomass carbon stocks from space. Curr. For. Rep. 2017, 3, 1–18. [Google Scholar] [CrossRef]
- Nguyen, L.V.; Tateishi, R.; Nguyen, H.T.; Sharma, R.C.; To, T.T.; Le, S.M. Estimation of tropical forest structural characteristics using alos-2 sar data. Adv. Remote Sens. 2016, 5, 131. [Google Scholar] [CrossRef]
- Rüetschi, M.; Small, D.; Waser, L.T. Rapid detection of windthrows using sentinel-1 c-band sar data. Remote Sens. 2019, 11, 115. [Google Scholar] [CrossRef]
- Joshi, N.P.; Mitchard, E.T.; Schumacher, J.; Johannsen, V.K.; Saatchi, S.; Fensholt, R. L-band sar backscatter related to forest cover, height and aboveground biomass at multiple spatial scales across denmark. Remote Sens. 2015, 7, 4442–4472. [Google Scholar] [CrossRef]
- Lucas, R.M.; Mitchell, A.L.; Rosenqvist, A.; Proisy, C.; Melius, A.; Ticehurst, C. The potential of l-band sar for quantifying mangrove characteristics and change: Case studies from the tropics. Aquat. Conserv. Mar. Freshw. Ecosyst. 2007, 17, 245–264. [Google Scholar] [CrossRef]
- Mulatu, K.A.; Mora, B.; Kooistra, L.; Herold, M. Biodiversity monitoring in changing tropical forests: A review of approaches and new opportunities. Remote Sens. 2017, 9, 1059. [Google Scholar] [CrossRef]
- NABU. Nabu’s Biodiversity Assessment at the Kafa Biosphere Reserve; The Nature and Biodiversity Conservation Union (NABU): Berlin, Germany; Addis Ababa, Ethiopia, 2017. [Google Scholar]
- Tadesse, G.; Zavaleta, E.; Shennan, C. Coffee landscapes as refugia for native woody biodiversity as forest loss continues in southwest ethiopia. Biol. Conserv. 2014, 169, 384–391. [Google Scholar] [CrossRef]
- Calders, K.; Armston, J.; Newnham, G.; Herold, M.; Goodwin, N. Implications of sensor configuration and topography on vertical plant profiles derived from terrestrial lidar. Agric. For. Meteorol. 2014, 194, 104–117. [Google Scholar] [CrossRef]
- Hackenberg, J.; Spiecker, H.; Calders, K.; Disney, M.; Raumonen, P. Simpletree—An efficient open source tool to build tree models from tls clouds. Forests 2015, 6, 4245–4294. [Google Scholar] [CrossRef]
- Chave, J.; Coomes, D.; Jansen, S.; Lewis, S.L.; Swenson, N.G.; Zanne, A.E. Towards a worldwide wood economics spectrum. Ecol. Lett. 2009, 12, 351–366. [Google Scholar] [CrossRef] [PubMed]
- PlanetLabs. Planet Imagery Product Specification; PlanetLabs: San Francisco, CA, USA, 2018. [Google Scholar]
- ESA. The Copernicus Open Access Hub; ESA: Paris, France. Available online: https://scihub.copernicus.eu/ (accessed on 25 January 2019).
- Mueller-Wilm, U.; Devignot, O.; Pessiot, L. S2 mpc sen2cor Configuration and User Manual; European Space Agency: Paris, France, 2017. [Google Scholar]
- Zhu, Z.; Woodcock, C.E. Object-based cloud and cloud shadow detection in landsat imagery. Remote Sens. Environ. 2012, 118, 83–94. [Google Scholar] [CrossRef]
- Reiche, J.; Hamunyela, E.; Verbesselt, J.; Hoekman, D.; Herold, M. Improving near-real time deforestation monitoring in tropical dry forests by combining dense sentinel-1 time series with landsat and alos-2 palsar-2. Remote Sens. Environ. 2018, 204, 147–161. [Google Scholar] [CrossRef]
- LaRue, E.A.; Atkins, J.W.; Dahlin, K.; Fahey, R.; Fei, S.; Gough, C.; Hardiman, B.S. Linking landsat to terrestrial lidar: Vegetation metrics of forest greenness are correlated with canopy structural complexity. Int. J. Appl. Earth Observ. Geoinf. 2018, 73, 420–427. [Google Scholar] [CrossRef]
- Navarro, J.; Algeet, N.; Fernández-Landa, A.; Esteban, J.; Rodríguez-Noriega, P.; Guillén-Climent, M. Integration of uav, sentinel-1, and sentinel-2 data for mangrove plantation aboveground biomass monitoring in senegal. Remote Sens. 2019, 11, 77. [Google Scholar] [CrossRef]
- Wallner, A.; Elatawneh, A.; Schneider, T.; Knoke, T. Estimation of forest structural information using rapideye satellite data. For. Int. J. For. Res. 2015, 88, 96–107. [Google Scholar] [CrossRef]
- Gitelson, A.A.; Kaufman, Y.J.; Merzlyak, M.N. Use of a green channel in remote sensing of global vegetation from eos-modis. Remote Sens. Environ. 1996, 58, 289–298. [Google Scholar] [CrossRef]
- Heute, A.; Liu, H.; Batchily, K.; Van Leeuwen, W. A comparison of vegetation indices over a global set of tm images for eos-modis. Remote Sens. Environ. N. Y. 1997, 59, 440–451. [Google Scholar] [CrossRef]
- Gitelson, A.A.; Gritz, Y.; Merzlyak, M.N. Relationships between leaf chlorophyll content and spectral reflectance and algorithms for non-destructive chlorophyll assessment in higher plant leaves. J. Plant Physiol. 2003, 160, 271–282. [Google Scholar] [CrossRef]
- Gao, B.-C. Ndwi—A normalized difference water index for remote sensing of vegetation liquid water from space. Remote Sens. Environ. 1996, 58, 257–266. [Google Scholar] [CrossRef]
- Frampton, W.J.; Dash, J.; Watmough, G.; Milton, E.J. Evaluating the capabilities of sentinel-2 for quantitative estimation of biophysical variables in vegetation. ISPRS J. Photogramm. Remote Sens. 2013, 82, 83–92. [Google Scholar] [CrossRef]
- Viet Nguyen, L.; Tateishi, R.; Kondoh, A.; Sharma, R.C.; Thanh Nguyen, H.; Trong To, T.; Ho Tong Minh, D. Mapping tropical forest biomass by combining alos-2, landsat 8, and field plots data. Land 2016, 5, 31. [Google Scholar] [CrossRef]
- Reiche, J.; Verhoeven, R.; Verbesselt, J.; Hamunyela, E.; Wielaard, N.; Herold, M. Characterizing tropical forest cover loss using dense sentinel-1 data and active fire alerts. Remote Sens. 2018, 10, 777. [Google Scholar] [CrossRef]
- Saatchi, S.; Marlier, M.; Chazdon, R.L.; Clark, D.B.; Russell, A.E. Impact of spatial variability of tropical forest structure on radar estimation of aboveground biomass. Remote Sens. Environ. 2011, 115, 2836–2849. [Google Scholar] [CrossRef]
- Urbazaev, M.; Thiel, C.; Migliavacca, M.; Reichstein, M.; Rodriguez-Veiga, P.; Schmullius, C. Improved multi-sensor satellite-based aboveground biomass estimation by selecting temporally stable forest inventory plots using ndvi time series. Forests 2016, 7, 169. [Google Scholar] [CrossRef]
- Harrell, F.; Dupont, C. Hmisc: Harrell Miscellaneous. R Package Version 4.2-0. Available online: https://CRAN.R-project.org/package=Hmisc (accessed on 4 November 2018).
- RStudio Team. RStudio: Integrated Development for R. RStudio, Inc., Boston, MA, USA. Available online: http://www.rstudio.com/ (accessed on 4 November 2016).
- Dube, T.; Gara, T.W.; Mutanga, O.; Sibanda, M.; Shoko, C.; Murwira, A.; Masocha, M.; Ndaimani, H.; Hatendi, C.M. Estimating forest standing biomass in savanna woodlands as an indicator of forest productivity using the new generation worldview-2 sensor. Geocarto Int. 2018, 33, 178–188. [Google Scholar] [CrossRef]
- Malahlela, O.; Cho, M.A.; Mutanga, O. Mapping canopy gaps in an indigenous subtropical coastal forest using high-resolution worldview-2 data. Int. J. Remote Sens. 2014, 35, 6397–6417. [Google Scholar] [CrossRef]
- Huete, A.R.; Liu, H.; van Leeuwen, W.J. In The Use of Vegetation Indices in Forested Regions: Issues of Linearity and Saturation. In Proceedings of the 1997 IEEE International Geoscience and Remote Sensing, 1997. IGARSS’97. Remote Sensing-A Scientific Vision for Sustainable Development, Singapore, 3–8 August 1997; pp. 1966–1968. [Google Scholar]
- Healey, S.P.; Yang, Z.; Cohen, W.B.; Pierce, D.J. Application of two regression-based methods to estimate the effects of partial harvest on forest structure using landsat data. Remote Sens. Environ. 2006, 101, 115–126. [Google Scholar] [CrossRef]
- Brede, B.; Suomalainen, J.; Bartholomeus, H.; Herold, M. Influence of solar zenith angle on the enhanced vegetation index of a guyanese rainforest. Remote Sens. Lett. 2015, 6, 972–981. [Google Scholar] [CrossRef]
- Martin, M.E.; Plourde, L.C.; Ollinger, S.V.; Smith, M.-L.; McNeil, B. A generalizable method for remote sensing of canopy nitrogen across a wide range of forest ecosystems. Remote Sens. Environ. 2008, 112, 3511–3519. [Google Scholar] [CrossRef]
- Houborg, R.; McCabe, M.F. A cubesat enabled spatio-temporal enhancement method (cestem) utilizing planet, landsat and modis data. Remote Sens. Environ. 2018, 209, 211–226. [Google Scholar] [CrossRef]
- Gibbs, H.K.; Brown, S.; Niles, J.O.; Foley, J.A. Monitoring and estimating tropical forest carbon stocks: Making redd a reality. Environ. Res. Lett. 2007, 2, 045023. [Google Scholar] [CrossRef]
- Woodhouse, I.H. Introduction to Microwave Remote Sensing; CRC Press: Boca Raton, FL, USA, 2005. [Google Scholar]
- Chen, Q.; Laurin, G.V.; Battles, J.J.; Saah, D. Integration of airborne lidar and vegetation types derived from aerial photography for mapping aboveground live biomass. Remote Sens. Environ. 2012, 121, 108–117. [Google Scholar] [CrossRef]
- Næsset, E.; Gobakken, T.; Solberg, S.; Gregoire, T.G.; Nelson, R.; Ståhl, G.; Weydahl, D. Model-assisted regional forest biomass estimation using lidar and insar as auxiliary data: A case study from a boreal forest area. Remote Sens. Environ. 2011, 115, 3599–3614. [Google Scholar] [CrossRef]
- Lu, D.; Chen, Q.; Wang, G.; Liu, L.; Li, G.; Moran, E. A survey of remote sensing-based aboveground biomass estimation methods in forest ecosystems. Int. J. Digit. Earth 2016, 9, 63–105. [Google Scholar] [CrossRef]
- Noorian, N.; Joibary, S.S.; Mohammadi, J. Assessment of different remote sensing data for forest structural attributes estimation in the hyrcanian forests. For. Syst. 2016, 25, 9. [Google Scholar] [CrossRef]
- Suzuki, R.; Kim, Y.; Ishii, R. Sensitivity of the backscatter intensity of alos/palsar to the above-ground biomass and other biophysical parameters of boreal forest in alaska. Polar Sci. 2013, 7, 100–112. [Google Scholar] [CrossRef]
- Goh, J.; Miettinen, J.; Chia, A.S.; Chew, P.T.; Liew, S.C. Biomass estimation in humid tropical forest using a combination of alos palsar and spot 5 satellite imagery. Asian J. Geoinform. 2014, 13, 1–10. [Google Scholar]
- Barbier, N.; Couteron, P.; Gastelly-Etchegorry, J.-P.; Proisy, C. Linking canopy images to forest structural parameters: Potential of a modeling framework. Ann. For. Sci. 2012, 69, 305–311. [Google Scholar] [CrossRef]
- Silveira, E.M.; Silva, S.H.G.; Acerbi-Junior, F.W.; Carvalho, M.C.; Carvalho, L.M.T.; Scolforo, J.R.S.; Wulder, M.A. Object-based random forest modelling of aboveground forest biomass outperforms a pixel-based approach in a heterogeneous and mountain tropical environment. Int. J. Appl. Earth Observ. Geoinf. 2019, 78, 175–188. [Google Scholar] [CrossRef]
- Ligot, G.; Balandier, P.; Courbaud, B.; Claessens, H. Forest radiative transfer models: Which approach for which application? Can. J. For. Res. 2014, 44, 391–403. [Google Scholar] [CrossRef]
- Dalla Mura, M.; Prasad, S.; Pacifici, F.; Gamba, P.; Chanussot, J.; Benediktsson, J.A. Challenges and opportunities of multimodality and data fusion in remote sensing. Proc. IEEE 2015, 103, 1585–1601. [Google Scholar] [CrossRef]
- Pettorelli, N.; Wegmann, M.; Skidmore, A.; Mücher, S.; Dawson, T.P.; Fernandez, M.; Lucas, R.; Schaepman, M.E.; Wang, T.; O’Connor, B. Framing the concept of satellite remote sensing essential biodiversity variables: Challenges and future directions. Remote Sens. Ecol. Conserv. 2016, 2, 122–131. [Google Scholar] [CrossRef]
- Stysley, P.R.; Coyle, D.B.; Kay, R.B.; Frederickson, R.; Poulios, D.; Cory, K.; Clarke, G. Long term performance of the high output maximum efficiency resonator (homer) laser for nasa’s global ecosystem dynamics investigation (gedi) lidar. Opt. Laser Technol. 2015, 68, 67–72. [Google Scholar] [CrossRef]
- Le Toan, T.; Quegan, S.; Davidson, M.; Balzter, H.; Paillou, P.; Papathanassiou, K.; Plummer, S.; Rocca, F.; Saatchi, S.; Shugart, H. The biomass mission: Mapping global forest biomass to better understand the terrestrial carbon cycle. Remote Sens. Environ. 2011, 115, 2850–2860. [Google Scholar] [CrossRef]




| TLS | Conventional | ||||||||||
|---|---|---|---|---|---|---|---|---|---|---|---|
| Mean Gap (m2) | Maximum Gap (m2) | Canopy Openness (%) | Number of Gaps | PAVD 10 m (m2/m3) | Cumulative PAVD (m2/m3) | Average Height (m) | AGB (t/ha) | Tree Density | Total BA (m2/ha) | Number of Tree Species | |
| Mean | 105.7 | 276.9 | 24.3 | 6.9 | 1.5 | 3.1 | 17.8 | 479.2 | 730.8 | 58.3 | 7.9 |
| Min | 2.85 | 5.5 | 0.6 | 1 | 0.4 | 1.1 | 6 | 102.4 | 95.5 | 14.9 | 2 |
| Max | 826.1 | 893.5 | 70.9 | 24 | 3.5 | 5.3 | 37.1 | 1825.8 | 1655.2 | 220.3 | 16 |
| Data Type | Acquisition Date | Parameters Derived | Spatial Resolution |
|---|---|---|---|
| PlanetScope images | 2016-11 | Vegetation indices | 3 m |
| Sentinel-2 | 2016-11-15 | Vegetation indices | 10 m |
| Landsat-7/ETM+ | 2015-01-01 | Vegetation indices | 30 m |
| Sentinel 1 (C-band) | 2015-09-22, 2015-11-09, 2015-12-03 | VV backscatter | 30 m |
| ALOS-2 PALSAR-2 (L-band) | 2015-01-25, 2015-09-06, 2016-01-24 | HH, HV backscatter, Forest backscatter | 30 m |
| Vegetation Index | Description | Satellite | Source |
|---|---|---|---|
| GNDVI | (nir − green)/(nir + green) | PlanetScope, Sentinel-2, Landsat-7 | [51] |
| EVI | G*((nir − red)/(nir + C1*red − C2*blue + Levi)) | PlanetScope, Sentinel-2, Landsat-7 | [52] |
| CI green | (NIR/green) − 1 | PlanetScope, Sentinel-2, Landsat-7 | [53] |
| NDMI | (NIR − SWIR)/(NIR + SWIR) | Sentinel-2, Landsat-7 | [54] |
| IRECI | (NIR − Red)/(RE2/RE1) | Sentinel-2 | [55] |
| HV backscatter | HV backscatter of ALOS-2 PALSAR-2 sensor presented in sigma-nought values | ALOS-2 PALSAR-2 | [35,56] |
| Forest Backscatter index | ALOS-2 PALSAR-2 | [36] | |
| VV polarization | VV backscatter of sentinel1 sensor presented in sigma-nought values | Sentinel-1 | [57] |
| RS Group | SRS Variables | Mean Gap | Max Gap | Canopy Openness | Number of Gaps | PAVD 10 m | Cumulative PAVD | Average Height | AGB | Tree Density | Total BA | Number of Species |
|---|---|---|---|---|---|---|---|---|---|---|---|---|
| PlanetScope | GNDVI Mean | 0.45 * | 0.44 * | 0.41 * | ||||||||
| EVI Mean | 0.56 ** | 0.53 ** | ||||||||||
| CIGreen Mean | 0.4 * | 0.45 * | 0.48 * | |||||||||
| Sentinel-2 | GNDVI Mean | 0.7 ** | 0.55 ** | 0.5 * | −0.4 * | |||||||
| EVI Mean | 0.75 ** | 0.67 ** | 0.63 ** | −0.49 * | −0.48 * | |||||||
| CIGreen Mean | ||||||||||||
| NDMI Mean | 0.42 * | 0.43 * | ||||||||||
| IRECI Mean | 0.5 * | 0.54 ** | 0.53 ** | −0.4 * | −0.57 ** | −0.42 * | −0.45 * | −0.48 * | ||||
| Landsat-7 | GNDVI Mean | 0.44 * | ||||||||||
| EVI Mean | 0.4 * | |||||||||||
| CIGreen Mean | 0.44 * | 0.41 * | 0.42 * | |||||||||
| NDMI Mean | 0.46 * | |||||||||||
| Sentinel-1 | VV Mean | 0.44 * | 0.49 * | |||||||||
| VV TSD | 0.4 * | 0.43 * | ||||||||||
| ALOS-2 PALSAR-2 | HV Mean | |||||||||||
| HV TSD | 0.49 * | 0.41 * | ||||||||||
| HH Mean | 0.49 * | |||||||||||
| HH TSD | ||||||||||||
| FB Mean | ||||||||||||
| FB TSD |
| Field Measured | Model Variables | R2 | RMSE (RRMSE) | Predicted vs. Observed Correlation | |
|---|---|---|---|---|---|
| TLS | Mean Gap | S2_IRECI_Mean **, PS_GNDVI_Mean # S1_VV_TSD | 0.52 | 148.6 (1.4) | 0.77 |
| Maximum gap | S2_EVI_Mean *, S1_VV_Mean S2_IRECI_Mean # | 0.51 | 181.74 (0.66) | 0.81 | |
| Canopy openness | S2_EVI_Mean *, S2_IRECI_Mean * S1_VV_TSD *, ALOS_FB_Mean # | 0.66 | 13.23 (0.54) | 0.81 | |
| Number of gaps | S1_VV_Mean ***, S1_VV_TSD ** S2_EVI_Mean ** | 0.68 | 3.96 (0.58) | 0.72 | |
| PAVD at 10 m | S1_VV_Mean ** ALOS_HV_TSD ** | 0.47 | 0.62 (0.41) | 0.71 | |
| Cumulative PAVD | S2_IRECI_Mean **, ALOS_HV_TSD * LS_NDMI_Mean # | 0.58 | 0.73 (0.23) | 0.76 | |
| Average Height | S2_IRECI_Mean, S2_EVI_Mean ALOS_FB_Mean # | 0.37 | 6.28 (0.35) | 0.61 | |
| Conventional | AGB | S2_IRECI_Mean ***, S2_NDMI_Mean * ALOS_FB_TSD *, S1_VV_Mean | 0.62 | 292.4 (0.61) | 0.78 |
| Tree density | LS_GNDVI_Mean *, ALOS_HV_TSD | 0.28 | 296.95 (0.41) | 0.53 | |
| Total basal area | S2_IRECI_Mean ***, S2_NDMI_Mean * ALOS_FB_Mean # | 0.61 | 32.12 (0.55) | 0.81 | |
| Number of species | S2_EVI_Mean, S1_VV_TSD # | 0.21 | 3.14 (0.39) | 0.46 |
| Field Measurements | Structural Parameters | Univariate Predictors | Multivariate Predictors |
|---|---|---|---|
| TLS | Canopy gap parameters | PlanetScope | Sentinel-2 + Sentinel-1 |
| PAVD | ALOS-2 PALSAR-2, Sentinel-1 | Sentinel-2 + ALOS-2 PALSAR-2 + Sentinel-1 | |
| Average height | Sentinel-2 | - | |
| Conventional | AGB/basal area | Sentinel-2 | Sentinel-2 + ALOS-2 PALSAR-2 |
| Tree density | Landsat-7, ALOS-2 PALSAR-2 | - | |
| Number of tree species | - | - |
© 2019 by the authors. Licensee MDPI, Basel, Switzerland. This article is an open access article distributed under the terms and conditions of the Creative Commons Attribution (CC BY) license (http://creativecommons.org/licenses/by/4.0/).
Share and Cite
Mulatu, K.A.; Decuyper, M.; Brede, B.; Kooistra, L.; Reiche, J.; Mora, B.; Herold, M. Linking Terrestrial LiDAR Scanner and Conventional Forest Structure Measurements with Multi-Modal Satellite Data. Forests 2019, 10, 291. https://doi.org/10.3390/f10030291
Mulatu KA, Decuyper M, Brede B, Kooistra L, Reiche J, Mora B, Herold M. Linking Terrestrial LiDAR Scanner and Conventional Forest Structure Measurements with Multi-Modal Satellite Data. Forests. 2019; 10(3):291. https://doi.org/10.3390/f10030291
Chicago/Turabian StyleMulatu, Kalkidan Ayele, Mathieu Decuyper, Benjamin Brede, Lammert Kooistra, Johannes Reiche, Brice Mora, and Martin Herold. 2019. "Linking Terrestrial LiDAR Scanner and Conventional Forest Structure Measurements with Multi-Modal Satellite Data" Forests 10, no. 3: 291. https://doi.org/10.3390/f10030291
APA StyleMulatu, K. A., Decuyper, M., Brede, B., Kooistra, L., Reiche, J., Mora, B., & Herold, M. (2019). Linking Terrestrial LiDAR Scanner and Conventional Forest Structure Measurements with Multi-Modal Satellite Data. Forests, 10(3), 291. https://doi.org/10.3390/f10030291

