Elastic Properties and Enhanced Piezoelectric Response at Morphotropic Phase Boundaries
Abstract
:1. Introduction
2. Dielectric, Elastic and Piezoelectric Responses
2.1. Paraelectric, Paraelastic and Mixed Piezoelectric Relaxation: Thermodynamics
2.2. Paraelectric and Paraelastic Relaxation: Kinetics
2.3. Non-Debye Relaxation From Domain Walls

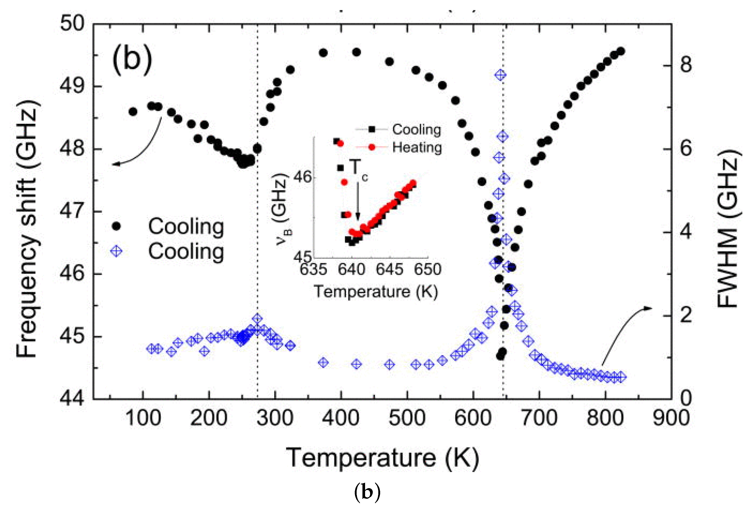
3. Methods for Measuring the Elastic Properties

3.1. Piezoelectric Resonance
3.2. Free Flexural Resonance
3.3. DMA
3.4. Torsion Pendulum
3.5. Resonant Ultrasound Spectroscopy
3.6. Ultrasound Propagation
3.7. Brillouin Scattering
4. Landau Theory of Phase Transitions
4.1. First and Second Order Ferroelectric Transitions

4.2. Coupling to Stress: The Electrostrictive and Piezoelectric Effects
4.3. The Polarization Anisotropy
4.4. Phase Diagrams From Landau Free Energies


5. Susceptibilities Near a Phase Transition: Landau Theory
5.1. Elastic Anomaly at a 2nd Order Phase Transition From Landau Theory

5.2. General case from Landau theory

5.3. A Simple Treatment of the Softening With the Intermediate M Phase

5.4. Thermal Fluctuations
6. Intrinsic and Extrinsic Contributions to the Piezoelectric Effect
7. Monoclinic Phases, Polarization Rotation and Enhanced Piezoelectric Response
7.1. Poling Induced Monoclinic Phase
7.2. Intermediate Phase Induced by Disorder and Domain Strain Accommodation
7.3. The Monoclinic Phase as Ground State of PbTiO-Based Solid Solutions

7.4. Monoclinic Phase = High Piezoelectric Coefficients?
7.5. Tricritical Points Are Better Than MPBs?
8. PZT
8.1. Measurements With the Torsion Pendulum

8.2. Measurements With Flexural Resonance

8.2.1. Peaked Softening at : Intermediate Monoclinic Phase
8.2.2. Octahedral Tilting and the R/M Border

8.3. Brillouin Scattering: Reduced Amplitude of the Anomaly at in


9. Other PT-Based Solid Solutions
9.1. Monoclinic Phases and Rotation of the Polarization Under An Electric Field

9.2. Adaptive vs. Monoclinic
9.3. Anelastic Spectra of PMN-PT

10. NBT-Based Solid Solutions
10.1. General Properties
10.2. Elastic Properties

11. BCTZ



12. KNN-Based Solid Solutions
13. Conclusions
Acknowledgments
Conflicts of Interest
Abbreviations and Conventions
Phases
| AFE | antiferroelectric |
| C | cubic |
| FE | ferroelectric |
| M | monoclinic |
| O | orthorhombic |
| MPB | morphotropic phase boundary |
| PE | paraelectric |
| R | rhombohedral |
| T | tetragonal |
| TPB | thermotropic phase boundary |
| Curie temperature | |
| temperature of the MPB, usually or | |
| temperature below which the octahedra are tilted | |
| temperature of the transition between the low-T phase X and the high-T phase Y |
Physical Quantities
| , (Voigt) | elastic stiffness constant |
| , (Voigt) | piezoelectric constant |
| , (Voigt) | strain |
| , (Voigt) | elastic compliance |
| , (Voigt) | stress |
| dielectric susceptibility | |
| F | Helmholtz free energy |
| G | shear modulus |
| Gibbs free energy | |
| , | (spontaneous) polarization |
| elastic energy loss coefficient | |
| , (Voigt) | electrostrictive coefficient |
| Y | Young’s modulus |
Materials
| ABCDEF | ABCDEF |
| BCTZ | Ba(TiZr)O(BaCa)TiO |
| PMN | Pb(MnNb)O |
| PSN | Pb(ScNb)O |
| PZN | Pb(ZnNb)O |
| PT | PbTiO |
| PZT-100x | PbZrTiO |
Techniques
| DMA | Dynamic Mechanical Analyzer |
| HRTEM | High Resolution Transmission Electron Microscopy |
Other Abbreviations
| DW | domain wall |
| PNR | Polar Nano Regions |
| XRD | X-Ray Diffraction |
References
- Shirane, G.; Suzuki, K.; Takeda, A. Phase transitions in solid solutions of PbZrO3 and PbTiO3 (II) X-ray study. J. Phys. Soc. Jpn. 1952, 7, 12–18. [Google Scholar] [CrossRef]
- Jaffe, B.; Roth, R.S.; Marzullo, S. Piezoelectric properties of lead zirconate-lead titanate solid solution ceramics. J. Appl. Phys. 1954, 25. [Google Scholar] [CrossRef]
- Budimir, M.; Damjanovic, D.; Setter, N. Piezoelectric anisotropy-phase transition relations in perovskite single crystals. J. Appl. Phys. 2003, 94. [Google Scholar] [CrossRef]
- Jaffe, B.; Cook, W.R.; Jaffe, H. Piezoelectric Ceramics; Academic Press: London, UK, 1971. [Google Scholar]
- Cao, W.; Cross, L.E. Theoretical model for the morphotropic phase boundary in lead zirconate-lead titanate solid solution. Phys. Rev. B 1993, 47. [Google Scholar] [CrossRef]
- Mishra, S.K.; Pandey, D.; Singh, A.P. Effect of phase coexistence at morphotropic phase boundary on the properties of Pb(ZrxTi1−x)O3 ceramics. Appl. Phys. Lett. 1996, 69, 1707–1709. [Google Scholar] [CrossRef]
- Noheda, B.; Cox, D.E.; Shirane, G.; Cross, L.E.; Park, S.E. A monoclinic ferroelectric phase in the Pb(Zr1−xTix)O3 solid solution. Appl. Phys. Lett. 1999, 74. [Google Scholar] [CrossRef]
- Noheda, B. Structure and high-piezoelectricity in lead oxide solid solutions. Curr. Opin. Solid State Mater. Sci. 2002, 6, 27–34. [Google Scholar] [CrossRef]
- Fu, H.; Cohen, R.E. Polarization rotation mechanism for ultrahigh electromechanical response in single-crystal piezoelectrics. Nature 2000, 403. [Google Scholar] [CrossRef]
- Jin, Y.M.; Wang, Y.U.; Khachaturyan, A.G.; Li, J.F.; Viehland, D. Adaptive ferroelectric states in systems with low domain wall energy: Tetragonal microdomains. J. Appl. Phys. 2003, 94, 3629–3640. [Google Scholar] [CrossRef]
- Iwata, M.; Ishibashi, Y. Analysis of Ferroelectricity and Enhanced Piezoelectricity near the Morphotropic Phase Boundary. In Ferroelectric Thin Films; Topics Appl. Phys.; Okuyama, M., Ishibashi, Y., Eds.; Springer: Berlin, Germany, 2005; pp. 127–148. [Google Scholar]
- Isupov, V.A. Ferroelectric Na0.5Bi0.5TiO3 and K0.5Bi0.5TiO3 perovskites and their solid solutions. Ferroelectrics 2005, 315, 123–147. [Google Scholar] [CrossRef]
- Noheda, B.; Cox, D.E. Bridging phases at the morphotropic boundaries of lead-oxide solid solutions. Phase Transit. 2006, 79, 5–20. [Google Scholar] [CrossRef]
- Davis, M. Picturing the elephant: Giant piezoelectric activity and the monoclinic phases of relaxor-ferroelectric single crystals. J. Electroceram. 2007, 19, 23–45. [Google Scholar] [CrossRef]
- Ye, Z.G. Handbook of Advanced Dielectric, Piezoelectric and Ferroelectric Materials; CRC: Cambridge, UK, 2008. [Google Scholar]
- Safari, A.; Akdogan, E.K. (Eds.) Piezoelectric and Acoustic Materials for Transducer Applications; Springer: New York, NY, USA, 2008.
- Rödel, J.; Jo, W.; Seifert, K.P.; Anton, E.M.; Granzow, T.; Damjanovic, D. Perspective on the development of lead-free piezoceramics. J. Am. Ceram. Soc. 2009, 92, 1153–1177. [Google Scholar] [CrossRef]
- Damjanovic, D. Comments on origins of enhanced piezoelectric properties in ferroelectrics. IEEE Trans. Ultrason. Ferroelectr. Freq. Control 2009, 56. [Google Scholar] [CrossRef] [PubMed]
- Topolov, V.Y. Heterogeneous Ferroelectric Solid Solutions 2012, Volume 111, 094109.
- Li, F.; Wang, L.; Jin, L.; Lin, D.; Li, J.; Li, Z.; Xu, Z.; Zhang, S. Piezoelectric Activity in Perovskite Ferroelectric Crystals. IEEE Trans. Ultrason. Ferroelectr. Freq. Control 2015, 62. [Google Scholar] [CrossRef] [PubMed]
- Ogawa, T. Origin of Piezoelectricity in Piezoelectric Ceramics from the Viewpoints of Elastic Constants Measured by Acoustic Wave Velocities. In Ferroelectric Materials—Synthesis and Characterization; Barranco, A.P., Ed.; Intech: Rijeka, Croatia, 2015; Volume 2. [Google Scholar]
- Gu, Y.; Xue, F.; Lei, S.; Lummen, T.A.; Wang, J.; Gopalan, V.; Chen, L.Q. Monoclinic phases arising across thermal inter-ferroelectric phase transitions. Phys. Rev. B 2014, 90. [Google Scholar] [CrossRef]
- Nye, J.F. Physical Properties of Crystals; Their Representation by Tensors and Matrices; Oxford University Press: Oxford, UK, 1957. [Google Scholar]
- Sirotin, Y.I.; Shaskolskaya, M.P. Fundamentals of Crystal Physics; Mir Publishers: Moscow, Russia, 1982. [Google Scholar]
- Damjanovic, D. Ferroelectric, dielectric and piezoelectric properties of ferroelectric thin films and ceramics. Rep. Prog. Phys. 1998, 61. [Google Scholar] [CrossRef]
- Nowick, A.S.; Heller, W.R. Dielectric and anelastic relaxation of crystals containing point defects. Adv. Phys. 1965, 14, 101–166. [Google Scholar] [CrossRef]
- Nowick, A.S. Dielectric and anelastic relaxation of crystals containing point defects. II. Adv. Phys. 1967, 16. [Google Scholar] [CrossRef]
- Damjanovic, D. Hysteresis in Piezoelectric and Ferroelectric Materials. In The Science of Hysteresis: Hysteresis in Materials, Volume 3; Chapter 4; Bertotti, G., Mayergoyz, I.D., Eds.; Academic Press: Oxford, UK, 2006; pp. 337–465. [Google Scholar]
- Nowick, A.S.; Heller, W.R. Anelasticity and stress-induced ordering of point defects in crystals. Adv. Phys. 1963, 12, 251–298. [Google Scholar] [CrossRef]
- Cordero, F. Anelastic (dielectric) relaxation of point defects at any concentration, with blocking effects and formation of complexes. Phys. Rev. B 1993, 47, 7674–7685. [Google Scholar] [CrossRef]
- Leibfried, G.; Breuer, N. Point Defects in Metals I; Springer: Berlin, Germany, 1978. [Google Scholar]
- Nalbach, P.; Terzidis, O.; Topp, K.; Würger, A. Elastic response of [111]-tunnelling impurities. J. Phys. Condens. Matter 2001, 13. [Google Scholar] [CrossRef]
- Höchli, U.T.; Knorr, K.; Loidl, A. Orientational glasses. Adv. Phys. 2002, 51, 589–798. [Google Scholar] [CrossRef]
- Lines, M.E.; Glass, A.M. Principles and Applications of Ferroelectrics and Related Materials; Oxford University Press: Oxford, UK, 1977. [Google Scholar]
- Mason, W.P.; Matthias, B.T. Theoretical model for explaining the ferroelectric effect in barium titanate. Phys. Rev. 1948, 74. [Google Scholar] [CrossRef]
- Dattagupta, S.; Balakrishnan, R.; Ranganathan, R. Strain ordering in BCC metals and associated anelasticity. J. Phys. F Metal Phys. 1982, 12, 1345–1362. [Google Scholar] [CrossRef]
- Sidorkin, A. Domain Structure in Ferroelectrics and Related Materials; Cambridge International Science Publishing: Cambridge, UK, 2006. [Google Scholar]
- Salje, E.K.H. Ferroelastic materials. Annu. Rev. Mater. Res. 2012, 42. [Google Scholar] [CrossRef]
- Angel, R.J.; Jackson, J.M.; Reichmann, H.J.; Speziale, S. Elasticity measurements on minerals: A review. Eur. J. Miner. 2009, 21, 525–550. [Google Scholar] [CrossRef]
- Nowick, A.S.; Berry, B.S. Anelastic Relaxation in Crystalline Solids; Academic Press: New York, NY, USA, 1972. [Google Scholar]
- Algueró, M.; Alemany, C.; Pardo, L.; González, A.M. Method for obtaining the full set of linear electric, mechanical, and electromechanical coefficients and all related losses of a piezoelectric ceramic. J. Am. Ceram. Soc. 2004, 87. [Google Scholar] [CrossRef]
- Pardo, L.; Brebøl, K. Properties of Ferro-Piezoelectric Ceramic Materials in the Linear Range: Determination from Impedance Measurements at Resonance. In Multifunctional Polycrystalline Ferroelectric Materials; Springer Series in Materials Science; Chapter 13; Springer: Heidelberg, Germany, 2011; Volume 140, p. 617. [Google Scholar]
- Mishra, S.K.; Pandey, D. Thermodynamic nature of phase transitions in Pb(Zr1−xTix)O3 ceramics near the morphotropic phase boundary. II. Dielectric and piezoelectric studies. Philos. Mag. B 1997, 76. [Google Scholar] [CrossRef]
- Bordoni, P.G.; Nuovo, M. Longitudinal vibration measurements in the megacycle range made by electrostatic drive and frequency-modulation detection. Acta Acustica 1957, 7, 1–7. [Google Scholar]
- Cordero, F.; Bella, L.D.; Corvasce, F.; Latino, P.M.; Morbidini, A. An insert for anelastic spectroscopy measurements from 80 K to 1100 K. Meas. Sci. Technol. 2009, 20. [Google Scholar] [CrossRef]
- Xue, D.; Gao, J.; Zhou, Y.; Ding, X.; Sun, J.; Lookman, T.; Ren, X. Phase transitions and phase diagram of Ba(Zr0.2Ti0.8)O3−x(Ba0.7Ca0.3)TiO3 Pb-free system by anelastic measurement. J. Appl. Phys. 2015, 117. [Google Scholar] [CrossRef]
- Narvaez, J.; Saremi, S.; Hong, J.; Stengel, M.; Catalan, G. Large flexoelectric anisotropy in paraelectric barium titanate. Phys. Rev. Lett. 2015, 115. [Google Scholar] [CrossRef] [PubMed]
- Kê, T.S. Development of the torsion pendulum and early research on grain boundary relaxation and the cold-work internal friction peak. J. Alloys Compd. 1994, 211–212. [Google Scholar] [CrossRef]
- Carpenter, M.A. Static and dynamic strain coupling behaviour of ferroic and multiferroic perovskites from resonant ultrasound spectroscopy. J. Phys. Condens. Matter 2015, 27. [Google Scholar] [CrossRef] [PubMed]
- Edmonds, P.D. Methods of Experimental Physics: Ultrasonic; Academic Press: London, UK, 1981. [Google Scholar]
- Valevichius, V.; Samulionis, V.; Banys, J. Ultrasonic dispersion in the phase transition region of ferroelectric materials. J. Alloys Compd. 1994, 211–212, 369–373. [Google Scholar] [CrossRef]
- Kojima, S. Micro-brillouin scattering of normal and relaxor ferroelectrics. Ferroelectrics 2011, 414. [Google Scholar] [CrossRef]
- Kim, T.H.; Ko, J.H.; Kojima, S.; Bokov, A.A.; Long, X.; Ye, Z.G. Phase transition behaviors of Pb(Zr1−xTix)O3 single crystals as revealed by elastic anomalies and central peaks. Appl. Phys. Lett. 2012, 100. [Google Scholar] [CrossRef]
- Strukov, B.A.; Levanyuk, A.P. Ferroelectric Phenomena in Crystals; Springer: Heidelberg, Germany, 1998. [Google Scholar]
- Lüthi, B. Physical Acoustics in the Solid State; Springer Series in Solid-State Sciences; Springer: Berlin, Germany, 2007. [Google Scholar]
- Khachaturyan, A.G. Ferroelectric solid solutions with morphotropic boundary: Rotational instability of polarization, metastable coexistence of phases and nanodomain adaptive states. Phil. Mag. 2010, 90, 37–60. [Google Scholar] [CrossRef]
- Ishibashi, Y.; Iwata, M. Theory of morphotropic phase boundary in solid-solution systems of perovskite-type oxide ferroelectrics: Elastic properties. Jpn. J. Appl. Phys. 1999, 38, 1454–1458. [Google Scholar] [CrossRef]
- Vanderbilt, D.; Cohen, M.H. Monoclinic and triclinic phases in higher-order devonshire theory. Phys. Rev. B 2001, 63. [Google Scholar] [CrossRef]
- Sergienko, I.A.; Gufan, Y.M.; Urazhdin, S. Phenomenological theory of phase transitions in highly piezoelectric perovskites. Phys. Rev. B 2002, 65. [Google Scholar] [CrossRef]
- Hudak, O. Monoclininc phase in PZT: Order parameter and phase transition from tetragonal phase. Phase Transit. 2008, 81. [Google Scholar] [CrossRef]
- Lu, X.; Zheng, L.; Li, H.; Cao, W. Theoretical study on phase coexistence in ferroelectric solid solutions near the tricritical point. J. Appl. Phys. 2015, 117. [Google Scholar] [CrossRef]
- Jin, Y.M.; Wang, Y.U.; Khachaturyan, A.G.; Li, J.F.; Viehland, D. Conformal miniaturization of domains with low domain-wall energy: Monoclinic ferroelectric states near the morphotropic phase boundaries. Phys. Rev. Lett. 2003, 91. [Google Scholar] [CrossRef] [PubMed]
- Khachaturyan, A.G.; Shapiro, S.M.; Semenovskaya, S. Adaptive phase formation in martensitic transformation. Phys. Rev. B 1991, 43. [Google Scholar] [CrossRef]
- Grinberg, I.; Cooper, V.R.; Rappe, A.M. Oxide chemistry and local structure of Pb(ZrxTi1−x)O3 studied by density-functional theory supercell calculations. Phys. Rev. B 2004, 69. [Google Scholar] [CrossRef]
- Bell, A.J. Factors influencing the piezoelectric behaviour of PZT and other “morphotropic phase boundary” ferroelectrics. J. Mater. Sci. 2006, 41, 13–25. [Google Scholar] [CrossRef]
- Wu, Z.; Cohen, R.E. Pressure-Induced Anomalous Phase Transitions and Colossal Enhancement of Piezoelectricity in PbTiO3. Phys. Rev. Lett. 2005, 95. [Google Scholar] [CrossRef] [PubMed]
- Ahart, M.; Somayazulu, M.; Cohen, R.E.; Ganesh, P.; Dera, P.; Mao, H.; Hemley, R.J.; Ren, Y.; Liermann, P.; Wu, Z. Origin of morphotropic phase boundaries in ferroelectrics. Nature 2008, 451. [Google Scholar] [CrossRef] [PubMed]
- Tröster, A.; Dellago, C.; Schranz, W. Free energies of the phi4 model from Wang-Landau simulations. Phys. Rev. B 2005, 72. [Google Scholar] [CrossRef]
- Hlinka, J.; Márton, P. Phenomenological model of a 90° domain wall in BaTiO3-type ferroelectrics. Phys. Rev. B 2006, 74. [Google Scholar] [CrossRef]
- Wang, Y.L.; Tagantsev, A.K.; Damjanovic, D.; Setter, N.; Yarmarkin, V.K.; Sokolov, A.I. Anharmonicity of BaTiO3 single crystals. Phys. Rev. B 2006, 73. [Google Scholar] [CrossRef]
- Haun, M.J.; Furman, E.; Jang, S.J.; Cross, L.E. Thermodynamic theory of the lead zirconate-titanate solid-solution system, 1. Phenomenology. Ferroelectrics 1989, 99, 13–25. [Google Scholar] [CrossRef]
- Haun, M.J.; Furman, E.; Jang, S.J.; Cross, L.E. Thermodynamic theory of the lead zirconate-titanate solid-solution system, 5. Theoretical calculations. Ferroelectrics 1989, 99, 63–86. [Google Scholar] [CrossRef]
- Isupov, V.A. Thermodynamic analysis of phase transitions in perovskite ferroelectrics. Sov. Phys. Solid State 1977, 19, 783–786. [Google Scholar]
- Bell, A.J.; Furman, E. A two order parameter thermodynamic model for Pb(Zr1−xTix)O3. Jpn. J. Appl. Phys. 2003, 42. [Google Scholar] [CrossRef]
- Eremkin, V.V.; Smotrakov, V.G.; Fesenko, E.G. Phase transitions in the lead zirconate-titanate system of solid solutions. Sov. Phys. Solid State 1989, 31, 1002–1005. [Google Scholar]
- Cordero, F.; Trequattrini, F.; Craciun, F.; Galassi, C. Merging of the polar and tilt instability lines near the respective morphotropic phase boundaries of Pb(Zr1−xTix)O3. Phys. Rev. B 2013, 87. [Google Scholar] [CrossRef]
- Cordero, F.; Craciun, F.; Galassi, C. Low-temperature phase transformations of PbZr1−xTixO3 in the morphotropic phase-boundary region. Phys. Rev. Lett. 2007, 98. [Google Scholar] [CrossRef] [PubMed]
- Cordero, F.; Trequattrini, F.; Craciun, F.; Galassi, C. Octahedral tilting, monoclinic phase and the phase diagram of PZT. J. Phys. Condens. Matter 2011, 23. [Google Scholar] [CrossRef] [PubMed]
- Cordero, F.; Craciun, F.; Trequattrini, F.; Galassi, C.; Thomas, P.A.; Keeble, D.S.; Glazer, A.M. Splitting of the transition to the antiferroelectric state in PbZr0.95Ti0.05O3 into polar and antiferrodistortive components. Phys. Rev. B 2013, 88. [Google Scholar] [CrossRef]
- Cordero, F.; Craciun, F.; Trequattrini, F.; Galassi, C. Effects of coupling between octahedral tilting and polar modes on the phase diagram of the ferroelectric perovskites Pb(Zr1−xTix)O3 and (Na1/2Bi1/2)1–xBaxTiO3. Phase Transit. 2014, 87. [Google Scholar] [CrossRef]
- Arlt, G. Domain contributions to piezoelectricity in ceramics. In Proceedings of the IEEE Ultrasonic Symposium, Honolulu, HI, USA, 4–7 December 1990; p. 733.
- Filho, A.G.S.; Lima, K.C.V.; Ayala, A.P.; Guedes, I.; Freire, P.T.C.; Melo, F.E.A.; Filho, J.M.; Araújo, E.B.; Eiras, J.A. Raman scattering study of the Pb(Zr1−xTix)O3 system: Rhombohedral-monoclinic-tetragonal phase transitions. Phys. Rev. B 2002, 66. [Google Scholar] [CrossRef]
- Singh, A.K.; Mishra, S.K.; Ragini; Pandey, D.; Yoon, S.; Baik, S.; Shin, N. Origin of high piezoelectric response of Pb(ZrxTi1−x)O3 at the morphotropic phase boundary: Role of elastic instability. Appl. Phys. Lett. 2008, 92. [Google Scholar] [CrossRef]
- Buixaderas, E.; Nuzhnyy, D.; Petzelt, J.; Jin, L.; Damjanovic, D. Polar lattice vibrations and phase transition dynamics in Pb(Zr1−xTix)O3. Phys. Rev. B 2011, 84. [Google Scholar] [CrossRef]
- Rossetti, J.; Khachaturyan, A.G.; Akcay, G.; Ni, Y. Ferroelectric solid solutions with morphotropic boundaries: Vanishing polarization anisotropy, adaptive, polar glass, and two-phase states. J. Appl. Phys. 2008, 103. [Google Scholar] [CrossRef]
- Heitmann, A.A.; Rossetti, G.A., Jr. Thermodynamics of ferroelectric solid solutions with morphotropic phase boundaries. J. Am. Ceram. Soc. 2014, 97. [Google Scholar] [CrossRef]
- Haun, M.J.; Furman, E.; McKinstry, A.; Cross, L.E. Thermodynamic theory of the lead zirconate-titanate solid-solution system, 2. Tricritical behavior. Ferroelectrics 1989, 99, 27–44. [Google Scholar] [CrossRef]
- Porta, M.; Lookman, T. Effects of tricritical points and morphotropic phase boundaries on the piezoelectric properties of ferroelectrics. Phys. Rev. B 2011, 83. [Google Scholar] [CrossRef]
- Slonczewski, J.C.; Thomas, H. Interaction of elastic strain with the structural transition of SrTiO3. Phys. Rev. B 1970, 1. [Google Scholar] [CrossRef]
- Ishibashi, Y.; Iwata, M. A theory of morphotropic phase boundary in solid-solution systems of perovskite-type oxide ferroelectrics. Jpn. J. Appl. Phys. 1999, 38, 800–804. [Google Scholar] [CrossRef]
- Yao, W.; Cummins, H.Z.; Bruce, R.H. Acoustic anomalies in terbium molybdate near the improper ferroelastic-ferroelectric phase transition. Phys. Rev. B 1981, 24, 424–444. [Google Scholar] [CrossRef]
- Fossum, J.O. A phenomenological analysis of ultrasound near phase transitions. J. Phys. C: Solid State Phys. 1985, 18. [Google Scholar] [CrossRef]
- Carpenter, M.A.; Salje, E.H.K. Elastic anomalies in minerals due to structural phase transitions. Eur. J. Miner. 1998, 10, 693–812. [Google Scholar]
- Carpenter, M.A.; Buckley, A.; Taylor, P.A.; McKnight, R.E.A.; Darling, T.W. Elastic relaxations associated with the Pm-3m-R-3c transition in LaAlO3: III. Superattenuation of acoustic resonances. J. Phys. Condens. Matter 2010, 22. [Google Scholar] [CrossRef]
- Kohutych, A.; Yevych, R.; Perechinskii, S.; Samulionis, V.; Banys, J.; Vysochanskii, Y. Sound behavior near the Lifshitz point in proper ferroelectrics. Phys. Rev. B 2010, 82. [Google Scholar] [CrossRef]
- Vikhnin, V.S.; Blinc, R.; Pirc, R. Mechanisms of electrostriction and giant piezoelectric effect in relaxor ferroelectrics. J. Appl. Phys. 2003, 93. [Google Scholar] [CrossRef]
- Craciun, F. Strong variation of electrostrictive coupling near an intermediate temperature of relaxor ferroelectrics. Phys. Rev. B 2010, 81. [Google Scholar] [CrossRef]
- Kutnjak, Z.; Petzelt, J.; Blinc, R. The giant electromechanical response in ferroelectric relaxors as a critical phenomenon. Nature 2006, 441. [Google Scholar] [CrossRef] [PubMed]
- Viehland, D.; Jang, S.J.; Cross, E.; Wuttig, M. Anelastic relaxation and internal strain in lead magnesium niobate relaxors. Phil. Mag. A 1991, 64. [Google Scholar] [CrossRef]
- Shabbir, G.; Kojima, S. A micro-Brillouin scattering study of the acoustic properties of PLZT relaxor ceramics. J. Phys. Condens. Matter 2003, 15. [Google Scholar] [CrossRef]
- Ivanov, O.N.; Danshina, E.P. Elastic and anelastic behavior of the relaxor ferroelectric 0.55SrTiO3-0.45BiScO3. Ferroelectrics 2014, 467. [Google Scholar] [CrossRef]
- Zhang, R.; Jiang, B.; Cao, W. Orientation dependence of piezoelectric properties of single domain 0.67Pb(Mn1/3Nb2/3)O3-0.33PbTiO3 crystals. Appl. Phys. Lett. 2003, 82. [Google Scholar] [CrossRef]
- Damjanovic, D.; Budimir, M.; Davis, M.; Setter, N. Monodomain versus polydomain piezoelectric response of 0.67Pb(Mg1/3Nb2/3)O3-0.33PbTiO3 single crystals along nonpolar directions. Appl. Phys. Lett. 2003, 83. [Google Scholar] [CrossRef]
- Zhang, R.; Cao, W. Transformed material coefficients for single-domain 0.67Pb(Mg1/3Nb2/3)O3-0.33PbTiO3 single crystals under differently defined coordinate systems. Appl. Phys. Lett. 2004, 85. [Google Scholar] [CrossRef]
- Park, S.E.; Shrout, T.R. Ultrahigh strain and piezoelectric behavior in relaxor based ferroelectric single crystals. J. Appl. Phys. 1997, 82. [Google Scholar] [CrossRef]
- Arlt, G.; Pertsev, N.A. Force constant and effective mass of 90° domain walls in ferroelectric ceramics. J. Appl. Phys. 1991, 70. [Google Scholar] [CrossRef]
- Li, F.; Zhang, S.; Xu, Z.; Wei, X.; Luo, J.; Shrout, T.R. Composition and phase dependence of the intrinsic and extrinsic piezoelectric activity of domain engineered (1–x)Pb(Mg1/3Nb2/3)O3−xPbTiO3 crystals. J. Appl. Phys. 2010, 108. [Google Scholar] [CrossRef]
- Bennett, J.; Shrout, T.R.; Zhang, S.J.; Mandal, P.; Bell, A.J.; Stevenson, T.J.; Comyn, T.P. Temperature dependence of the intrinsic and extrinsic contributions in BiFeO3-(K0.5Bi0.5)TiO3-PbTiO3 piezoelectric ceramics. J. Appl. Phys. 2014, 116. [Google Scholar] [CrossRef]
- Algueró, M.; Jiménez, B.; Pardo, L. Rayleigh type behavior of the Young’s modulus of unpoled ferroelectric ceramics and its dependence on temperature. Appl. Phys. Lett. 2003, 83, 2641–2643. [Google Scholar] [CrossRef]
- Nakamura, K.; Tokiwa, T.; Kawamura, Y. Domain structures in KNbO3 crystals and their piezoelectric properties. J. Appl. Phys. 2002, 91. [Google Scholar] [CrossRef]
- Jones, J.L.; Aksel, E.; Tutuncu, G.; Usher, T.M.; Chen, J.; Xing, X.; Studer, A.J. Domain wall and interphase boundary motion in a two-phase morphotropic phase boundary ferroelectric: Frequency dispersion and contribution to piezoelectric and dielectric properties. Phys. Rev. B 2012, 86. [Google Scholar] [CrossRef]
- Damjanovic, D. Contributions to the piezoelectric effect in ferroelectric single crystals and ceramics. J. Am. Ceram. Soc. 2005, 88. [Google Scholar] [CrossRef]
- Guo, R.; Cross, L.E.; Park, S.E.; Noheda, B.; Cox, D.E.; Shirane, G. Origin of the high piezoelectric response in PbZr1−xTixO3. Phys. Rev. Lett. 2000, 84. [Google Scholar] [CrossRef] [PubMed]
- Chen, L.; Liang, R.; Wang, G.; Nie, H.; Zhou, Z.; Cao, F.; Dong, X. Poling induced dielectric anomalies in a PZT ceramic. Ceram. Int. 2013, 39. [Google Scholar] [CrossRef]
- Baker, D.W.; Thomas, P.A.; Zhang, N.; Glazer, A.M. A comprehensive study of the phase diagram of KxNa1−xNbO3. Appl. Phys. Lett. 2009, 95. [Google Scholar] [CrossRef]
- Gupta, S.; Petkov, V.; Priya, S. Local atomic structure of KxNa(1−x)NbO3 by total X-ray diffraction. Appl. Phys. Lett. 2014, 105. [Google Scholar] [CrossRef]
- Gindele, O.; Kimmel, A.; Cain, M.G.; Duffy, D. Shell model force field for lead zirconate titanate Pb(Zr1−xTix)O3. J. Phys. Chem. C 2015, 119. [Google Scholar] [CrossRef]
- Wada, S.; Suzuki, S.; Noma, T.; Suzuki, T.; Osada, M.; Kakihana, M.; Park, S.E.; Cross, L.E.R.T. Enhanced piezoelectric property of barium titanate single crystals with engineered domain configurations. Jpn. J. Appl. Phys. 1999, 38. [Google Scholar] [CrossRef]
- Eisenschmidt, C.; Langhammer, H.T.; Steinhausen, R.; Schmidt, G. Tetragonal-orthorhombic phase transition in barium titanate via monoclinic MA type symmetry. Ferroelectrics 2012, 432. [Google Scholar] [CrossRef]
- Lummen, T.A.; Gu, Y.; Wang, J.; Lei, S.; Xue, F.; Kumar, A.; Barnes, A.T.; Barnes, E.; Denev, S.; Belianinov, A.; et al. Thermotropic phase boundaries in classic ferroelectrics. Nat. Commun. 2014, 5. [Google Scholar] [CrossRef] [PubMed]
- Kong, L.; Liu, G.; Yang, W.; Cao, W. An insight into the origin of low-symmetry bridging phase and enhanced functionality in systems containing competing phases. Appl. Phys. Lett. 2015, 107. [Google Scholar] [CrossRef] [PubMed]
- Noheda, B.; Cox, D.E.; Shirane, G.; Guo, R.; Jones, B.; Cross, L.E. Stability of the monoclinic phase in the ferroelectric perovskite PbZr1−xTixO3. Phys. Rev. B 2000, 63. [Google Scholar] [CrossRef]
- Singh, A.K.; Pandey, D. Evidence for MB and MC phases in the morphotropic phase boundary region of (1-x)[Pb(Mg1/3Nb2/3)O3]-xPbTiO3: A rietveld study. Phys. Rev. B 2003, 67. [Google Scholar] [CrossRef]
- Pandey, R.; Singh, A.K. Presence of a monoclinic (Pm) phase in the morphotropic phase boundary region of multiferroic (1-x)Bi(Ni1/2Ti1/2)O3-xPbTiO3 solid solution: A rietveld study. J. Appl. Phys. 2015, 116. [Google Scholar] [CrossRef]
- Upadhyay, A.; Singh, A.K. Grain size dependent phase stabilities and presence of a monoclinic (Pm) phase in the morphotropic phase boundary region of (1-x)Bi(Mg1/2Ti1/2)O3-xPbTiO3 piezoceramics. J. Appl. Phys. 2015, 117. [Google Scholar] [CrossRef]
- Singh, A.K.; Pandey, D.; Zaharko, O. Powder neutron diffraction study of phase transitions in and a phase diagram of (1-x)[Pb(Mg1/3Nb2/3)O3]-xPbTiO3. Phys. Rev. B 2006, 74. [Google Scholar] [CrossRef]
- Wang, Y.U. Three intrinsic relationships of lattice parameters between intermediate monoclinic MC and tetragonal phases in ferroelectric Pb[(Mg1/3Nb2/3)1–xTix]O3 and Pb[(Zn1/3Nb2/3)1–xTix]O3 near morphotropic phase boundaries. Phys. Rev. B 2006, 73. [Google Scholar] [CrossRef]
- Ahart, M.; Sinogeikin, S.; Shebanova, O.; Ikuta, D.; Ye, Z.G.; Mao, H.; Cohen, R.E.; Hemley, R.J. Pressure dependence of the monoclinic phase in (1–x)Pb(Mg1/3Nb2/3)O3-xPbTiO3 solid solutions. Phys. Rev. B 2012, 86. [Google Scholar] [CrossRef]
- Janolin, P.E.; Bouvier, P.; Kreisel, J.; Thomas, P.A.; Kornev, I.A.; Bellaiche, L.; Crichton, W.; Hanfland, M.; Dkhil, B. High-pressure effect on PbTiO3: An investigation by Raman and X-ray scattering up to 63 GPa. Phys. Rev. Lett. 2008, 101. [Google Scholar] [CrossRef] [PubMed]
- Frantti, J. Notes of the recent structural studies on lead zirconate titanate. J. Phys. Chem. B 2008, 112. [Google Scholar] [CrossRef] [PubMed]
- Kisi, E.H.; Piltz, R.O.; Forrester, J.S.; Howard, C.J. The giant piezoelectric effect: Electric field induced monoclinic phase or piezoelectric distortion of the rhombohedral parent? J. Phys. Condens. Matter 2003, 15. [Google Scholar] [CrossRef]
- Aksel, E.; Forrester, J.S.; Jones, J.L.; Thomas, P.A.; Page, K.; Suchomel, M.R. Monoclinic crystal structure of polycrystalline Na0.5Bi0.5TiO3. Appl. Phys. Lett. 2011, 98. [Google Scholar] [CrossRef]
- Acosta, M.; Novak, N.; Jo, W.; Rödel, J. Relationship between electromechanical properties and phase diagram in the Ba(Zr0.2Ti0.8)O3-x(Ba0.7Ca0.3)TiO3 lead-free piezoceramic. Acta Mater. 2014, 80. [Google Scholar] [CrossRef]
- Acosta, M.; Khakpash, N.; Someya, T.; Novak, N.; Jo, W.; Nagata, H.; Rossetti, G.A., Jr.; Rödel, J. Origin of the large piezoelectric activity in (1–x)Ba(Zr0.2Ti0.8)O3-x(Ba0.7Ca0.3)TiO3 ceramics. Phys. Rev. B 2015, 91. [Google Scholar] [CrossRef]
- Bourim, E.M.; Tanaka, H.; Gabbay, M.; Fantozzi, G.; Cheng, B.L. Domain wall motion effect on the anelastic behavior in lead zirconate titanate piezoelectric ceramics. J. Appl. Phys. 2002, 91. [Google Scholar] [CrossRef]
- Bouzid, A.; Bourim, E.M.; Gabbay, M.; Fantozzi, G. PZT phase diagram determination by measurement of elastic moduli. J. Eur. Ceram. Soc. 2005, 25. [Google Scholar] [CrossRef]
- Ragini; Mishra, S.K.; Pandey, D.; Lemmens, H.; Tendeloo, G.V. Evidence for another low-temperature phase transition in tetragonal Pb(ZrxTi1−x)O3 (x = 0.515, 0.520). Phys. Rev. B 2001, 64. [Google Scholar] [CrossRef]
- Dai, Y.R.; Bao, P.; Shen, H.M.; Su, D.; Zhu, J.S.; Wang, Y.N.; Zhu, Y.P. Internal friction study on low-temperature phase transitions in lead zirconate titanate ferroelectric ceramics. Appl. Phys. Lett. 2003, 82. [Google Scholar] [CrossRef]
- Franke, I.; Roleder, K.; Klimontko, J.; Ratuszna, A.; Soszynski, A. Anomalous piezoelectric and elastic properties of a tetragonal PZT ceramic near morphotropic phase boundary. J. Phys. D Appl. Phys. 2005, 38, 749–753. [Google Scholar] [CrossRef]
- Da Silva, P.S., Jr.; Venet, M.; Florêncio, O. Influence of diffuse phase transition on the anelastic behavior of Nb-doped Pb(Zr0.53Ti0.47)O3 ceramics. J. Alloys Compd. 2015, 647. [Google Scholar] [CrossRef]
- Burkovsky, R.G.; Bronwald, Y.A.; Filimonov, A.V.; Rudskoy, A.I.; Chernyshov, D.; Bosak, A.; Hlinka, J.; Long, X.; Ye, Z.G.; Vakhrushev, S.B. Structural heterogeneity and diffuse scattering in morphotropic lead Zirconate-Titanate single crystals. Phys. Rev. Lett. 2012, 109. [Google Scholar] [CrossRef] [PubMed]
- Fesenko, E.G.; Eremkin, V.V.; Smotrakov, V.G. Sov. Phys. Solid State 1986, 28, 181.
- Cordero, F.; Trequattrini, F.; Craciun, F.; Galassi, C. Effects of aging and annealing on the polar and antiferrodistortive components of the antiferroelectric transition in PbZr1−xTixO3. Phys. Rev. B 2014, 89. [Google Scholar] [CrossRef]
- Samara, G.A.; Sakudo, T.; Yoshimitsu, K. Important generalization concerning the role of competing forces in displacive phase transitions. Phys. Rev. Lett. 1975, 35. [Google Scholar] [CrossRef]
- Fraysse, G.; Al-Zein, A.; Haines, J.; Rouquette, J.; Bornand, V.; Papet, P.; Bogicevic, C.; Hull, S. Competing order parameters in the Pb(Zr1−xTix)O3 solid solution at high pressure. Phys. Rev. B 2011, 84. [Google Scholar] [CrossRef]
- Glazer, A.M.; Thomas, P.A.; Baba-Kishi, K.Z.; Pang, G.K.H.; Tai, C.W. Influence of short-range and long-range order on the evolution of the morphotropic phase boundary in Pb(Zr1−xTix)O3. Phys. Rev. B 2004, 70. [Google Scholar] [CrossRef]
- Jiménez, R.; Jiménez, B.; Carreaud, J.; Kiat, J.M.; Dkhil, B.; Holc, J.; Kosec, M.; Algueró, M. Transition between the ferroelectric and relaxor states in 0.8Pb(Mg1/3Nb2/3)O3-0.2PbTiO3 ceramics. Phys. Rev. B 2006, 74. [Google Scholar] [CrossRef]
- Gehring, P.M. Neutron diffuse scattering in lead-based relaxor ferroelectrics and its relationship to the ultra-high piezoelectricity. J. Adv. Dielect. 2012, 2. [Google Scholar] [CrossRef]
- Haumont, R.; Al-Barakaty, A.; Dkhil, B.; Kiat, J.M.; Bellaiche, L. Morphotropic phase boundary of heterovalent perovskite solid solutions: Experimental and theoretical investigation of PbSc1/2Nb1/2O3-PbTiO3. Phys. Rev. B 2005, 71. [Google Scholar] [CrossRef]
- Corker, D.L.; Glazer, A.M.; Whatmore, R.W.; Stallard, A.; Fauth, F. A neutron diffraction investigation into the rhombohedral phases of the perovskite series PZT. J. Phys. Condens. Matter 1998, 10. [Google Scholar] [CrossRef]
- Xu, G.; Wen, J.; Stock, C.; Gehring, P.M. Phase instability induced by polar nanoregions in a relaxor ferroelectric system. Nat. Mater. 2008, 7. [Google Scholar] [CrossRef] [PubMed]
- Noheda, B.; Cox, D.E.; Shirane, G.; Park, S.E.; Cross, L.E.; Zhong, Z. Polarization rotation via a monoclinic phase in the piezoelectric 92%PbZn1/3Nb2/3O3–8%PbTiO3. Phys. Rev. Lett. 2001, 86. [Google Scholar] [CrossRef] [PubMed]
- Zhang, Y.; Xue, D.; Wu, H.; Ding, X.; Lookman, T.; Ren, X. Adaptive ferroelectric state at morphotropic phase boundary: Coexisting tetragonal and rhombohedral phases. Acta Mater. 2014, 71. [Google Scholar] [CrossRef]
- Hungría, T.; Houdellier, F.; Algueró, M.; Castro, A. Monoclinic symmetry of twin-free nanocrystals in the BiScO3-PbTiO3 solid solution as revealed by aberration-corrected TEM. Phys. Rev. B 2010, 81. [Google Scholar] [CrossRef]
- Shirokov, V.B. Basis of invariants for multiferroic. Cryst. Rep. 2011, 56. [Google Scholar] [CrossRef]
- Sato, Y.; Hirayama, T.; Ikuhara, Y. Monoclinic nanodomains in morphotropic phase boundary Pb(Mg1/3Nb2/3)O3-PbTiO3. Appl. Phys. Lett. 2014, 104. [Google Scholar] [CrossRef]
- Algueró, M.; Jiménez, B.; Pardo, L. Transition between the relaxor and ferroelectric states for (1-x)Pb(Mg1/3Nb2/3)O3-xPbTiO3 with x = 0.2 and 0.3 polycrystalline aggregates. Appl. Phys. Lett. 2005, 87. [Google Scholar] [CrossRef]
- Bokov, A.A.; Ye, Z.G. Freezing of dipole dynamics in relaxor ferroelectric PMN-PT as evidenced by dielectric spectroscopy. J. Phys. Condens. Matter 2000, 12. [Google Scholar] [CrossRef]
- Yu, Y.; Wang, X.S.; Zou, H.; Li, Y.X.; Yao, X. Polarization effect for dielectric and mechanical behaviors in Pb(Mg1/3Nb2/3)0.71Ti0.29O3 crystal. Mater. Res. Bull. 2015, 69. [Google Scholar] [CrossRef]
- Hiruma, Y.; Watanabe, Y.; Nagata, H.; Takenaka, T. Phase transition temperatures of divalent and trivalent ions Substituted (Bi1/2Na1/2)TiO3 ceramics. Key Eng. Mater. 2007, 350, 93–96. [Google Scholar] [CrossRef]
- Eerd, B.W.; Damjanovic, D.; Klein, N.; Setter, N.; Trodahl, J. Structural complexity of (Na0.5Bi0.5)TiO3-BaTiO3 as revealed by Raman spectroscopy. Phys. Rev. B 2010, 82. [Google Scholar] [CrossRef]
- Jones, G.O.; Thomas, P.A. Investigation of the structure and phase transitions in the novel A-site substituted distorted perovskite compound Na0.5Bi0.5TiO3. Acta Cryst. B 2002, 58, 168–178. [Google Scholar] [CrossRef]
- Gorfman, S.; Keeble, D.S.; Bombardi, A.; Thomas, P.A. Topology and temperature dependence of the diffuse X-ray scattering in Na0.5Bi0.5TiO3 ferroelectric single crystals. J. Appl. Cryst. 2015, 48. [Google Scholar] [CrossRef]
- Siny, I.G.; Tu, C.S.; Schmidt, V.H. Critical acoustic behavior of the relaxor ferroelectric Na0.5Bi0.5TiO3 in the intertransition region. Phys. Rev. B 1995, 51. [Google Scholar] [CrossRef]
- Aleksandrova, I.P.; Sukhovsky, A.A.; Ivanov, Y.N.; Yablonskaya, Y.E.; Vakhrushev, S.B. Local and average structure of relaxor Na1/2Bi1/2TiO3 from the point of view of NMR. Ferroelectrics 2009, 378, 16–22. [Google Scholar] [CrossRef]
- Jo, W.; Schaab, S.; Sapper, E.; Schmitt, L.A.; Kleebe, H.J.; Bell, A.J.; Rödel, J. On the phase identity and its thermal evolution of lead free (Bi1/2Na1/2)TiO3-6 mol% BaTiO3. J. Appl. Phys. 2011, 110. [Google Scholar] [CrossRef]
- Craciun, F.; Galassi, C.; Birjega, R. Electric-field-induced and spontaneous relaxor-ferroelectric phase transitions in (Na1/2Bi1/2)1–xBaxTiO3. J. Appl. Phys. 2012, 112. [Google Scholar] [CrossRef]
- Li, X.; Chen, C.; Deng, H.; Zhang, H.; Lin, D.; Zhao, X.; Luo, H. The growth and properties of lead-free ferroelectric single crystals. Crystals 2015, 5. [Google Scholar] [CrossRef]
- Maurya, D.; Murayama, M.; PRamanick, A.; Reynolds, W.T., Jr.; An, K.; Priya, S. Origin of high piezoelectric response in A-site disordered morphotropic phase boundary composition of lead-free piezoelectric 0.93(Na0.5Bi0.5)TiO3–0.07BaTiO3. J. Appl. Phys. 2013, 113. [Google Scholar] [CrossRef]
- Hong, K.S.; Park, S.E. Phase relations in the system of (Na1/2Bi1/2)TiO3–PbTiO3. II. dielectric property. J. Appl. Phys. 1996, 79. [Google Scholar] [CrossRef]
- Xie, H.; Jin, L.; Shen, D.; Wang, X.; Shen, G. Morphotropic phase boundary, segregation effect and crystal growth in the NBT-KBT system. J. Cryst. Growth 2009, 311, 3626–3630. [Google Scholar] [CrossRef]
- Cordero, F.; Craciun, F.; Trequattrini, F.; Mercadelli, E.; Galassi, C. Phase transitions and phase diagram of the ferroelectric perovskite (Na0.5Bi0.5)1–xBaxTiO3 by anelastic and dielectric measurements. Phys. Rev. B 2010, 81. [Google Scholar] [CrossRef]
- Ma, C.; Tan, X.; Dulkin, E.; Roth, M. Domain structure-dielectric property relationship in lead-free (1-x)Bi1/2Na1/2)TiO3-xBaTiO3 ceramics. J. Appl. Phys. 2010, 108. [Google Scholar] [CrossRef]
- Yao, Y.; Sun, Z.; Ji, Y.; Yang, Y.; Tan, X.; Ren, X. Evolution of the tetragonal to rhombohedral transition in (1-x)Bi1/2Na1/2)TiO3-xBaTiO3 (x < 7%). Sci. Technol. Adv. Mater. 2013, 14. [Google Scholar] [CrossRef]
- Ma, C.; Guo, H.; Beckman, S.P.; Tan, X. Creation and destruction of morphotropic phase boundaries through electrical poling: A case study of lead-free Bi1/2Na1/2-TiO3-BaTiO3 piezoelectrics. Phys. Rev. Lett. 2012, 109. [Google Scholar] [CrossRef] [PubMed]
- Uddin, S.; Zheng, G.P.; Iqbal, Y.; Ubic, R.; Chan, N.Y.; Chan, H.L.W. Elastic softening near the phase transitions in (1-x)Bi1/2Na1/2TiO3-xBaTiO3 solid solutions. Mater. Res. Expr. 2014, 1. [Google Scholar] [CrossRef]
- Zheng, X.C.; Zheng, G.P.; Lin, Z.; Jiang, Z.Y. Thermal and dynamic mechanical analyses on Bi0.5Na0.5TiO3–BaTiO3 ceramics synthesized with citrate method. Ceram. Int. 2013, 39. [Google Scholar] [CrossRef]
- Dittmer, R.; Jo, W.; Webber, K.G.; Jones, J.L.; Rödel, J. Local structure change evidenced by temperature-dependent elastic measurements: Case study on Bi1/2Na1/2TiO3-based lead-free relaxor piezoceramics. J. Appl. Phys. 2014, 115. [Google Scholar] [CrossRef]
- Suchanicz, J. Elastic constants of Bi0.5Na0.5TiO3 single crystal. J. Mater. Sci. 2002, 37, 489–491. [Google Scholar] [CrossRef]
- Onda, Y.; Tsukada, S.; Hidaka, Y.; Kojima, S. Elastic Anomalies and Diffuse Phase Transitions of (1–x)(Na0.5Bi0.5)TiO3-xBaTiO3 Single Crystals Studied by Brillouin Scattering Spectroscopy. Ferroelectrics 2010, 405. [Google Scholar] [CrossRef]
- Cao, H.; Devreugd, C.P.; Ge, W.; Li, J.; Viehland, D.; Luo, H.; Zhao, X. Monoclinic MC phase in (001) field cooled BaTiO3 single crystals. Appl. Phys. Lett. 2009, 94. [Google Scholar] [CrossRef]
- Fu, D.; Itoh, M. Role of Ca off-Centering in Tuning Ferroelectric Phase Transitions in Ba(Zr,Ti)O3 System. In Ferroelectric Materials—Synthesis and Characterization; Chapter 5; Barranco, A.P., Ed.; Intech: Rijeka, Croatia, 2015. [Google Scholar]
- Liu, W.; Ren, X. Large piezoelectric effect in Pb-free ceramics. Phys. Rev. Lett. 2009, 103. [Google Scholar] [CrossRef] [PubMed]
- Zhou, C.; Liu, W.; Xue, D.; Ren, X.; Bao, H.; Gao, J.; Zhang, L. Triple-point-type morphotropic phase boundary based large piezoelectric Pb-free material-Ba(Ti0.8Hf0.2)O3-(Ba0.7Ca0.3)TiO3. Appl. Phys. Lett. 2012, 100. [Google Scholar] [CrossRef]
- Xue, D.; Zhou, Y.; Bao, H.; Zhou, C.; Gao, J.; Ren, X. Elastic, piezoelectric, and dielectric properties of Ba(Zr0.2Ti0.8)O3-50(Ba0.7Ca0.3)TiO3 Pb-free ceramic at the morphotropic phase boundary. J. Appl. Phys. 2011, 109. [Google Scholar] [CrossRef]
- Xue, D.; Zhou, Y.; Gao, J.; Ding, X.; Ren, X. A comparison between tetragonal-rhombohedral and tetragonal-orthorhombic phase boundaries on piezoelectricity enhancement. EPL 2012, 100. [Google Scholar] [CrossRef]
- Damjanovic, D.; Biancoli, A.; Batooli, L.; Vahabzadeh, A.; Trodahl, J. Elastic, dielectric, and piezoelectric anomalies and Raman spectroscopy of 0.5Ba(Ti0.8Zr0.2)O3-0.5(Ba0.7Ca0.3)TiO3. Appl. Phys. Lett. 2012, 100. [Google Scholar] [CrossRef]
- Keeble, D.S.; Benabdallah, F.; Thomas, P.A.; Maglione, M.; Kreisel, J. Revised structural phase diagram of (Ba0.7Ca0.3TiO3)-(BaZr0.2Ti0.8O3). Appl. Phys. Lett. 2013, 102. [Google Scholar] [CrossRef]
- Gao, J.; Xue, D.; Wang, Y.; Wang, D.; Zhang, L.; Wu, H.; Guo, S.; Bao, H.; Zhou, C.; Liu, W.; et al. Microstructure basis for strong piezoelectricity in Pb-free Ba(Zr0.2Ti0.8)O3-(Ba0.7Ca0.3)TiO3 ceramics. Appl. Phys. Lett. 2011, 99. [Google Scholar] [CrossRef]
- Gao, J.; Zhang, L.; Xue, D.; Kimoto, T.; Song, M.; Zhong, L.; Ren, X. Symmetry determination on Pb-free piezoceramic 0.5Ba(Zr0.2Ti0.8)O3-0.5(Ba0.7Ca0.3)TiO3 using convergent beam electron diffraction method. J. Appl. Phys. 2014, 115. [Google Scholar] [CrossRef]
- Gao, J.; Hu, X.; Zhang, L.; Li, F.; Zhang, L.; Wang, Y.; Hao, Y.; Zhong, L.; Ren, X. Major contributor to the large piezoelectric response in (1–x)Ba(Zr0.2Ti0.8)O3-x(Ba0.7Ca0.3)TiO3 ceramics: Domain wall motion. Appl. Phys. Lett. 2014, 104. [Google Scholar] [CrossRef]
- Cordero, F.; Craciun, F.; Dinescu, M.; Scarisoreanu, N.; Galassi, C.; Schranz, W.; Soprunyuk, V. Elastic response of (1–x)Ba(Ti0.8Zr0.2)O3-x(Ba0.7Ca0.3)TiO3 (x = 0.45–0.55) and the role of the intermediate orthorhombic phase in enhancing the piezoelectric coupling. Appl. Phys. Lett. 2014, 105. [Google Scholar] [CrossRef]
- Klein, N.; Hollenstein, E.; Damjanovic, D.; Trodahl, H.J.; Setter, N.; Kuball, M. A study of the phase diagram of (K,Na,Li)NbO3 determined by dielectric and piezoelectric measurements, and Raman spectroscopy. J. Appl. Phys. 2007, 102. [Google Scholar] [CrossRef]
- Zhang, S.; Xia, R.; Shrout, T.R.; Zang, G.; Wang, J. Piezoelectric properties in perovskite 0.948(K0.5Na0.5)NbO3–0.052LiSbO3 lead-free ceramics. J. Appl. Phys. 2011, 100. [Google Scholar] [CrossRef]
- Gao, J.; Ren, S.; Zhang, L.; Hao, Y.; Fang, M.; Zhang, M.; Dai, Y.; Hu, X.; Wang, D.; Zhong, L.; et al. Phase transition sequence in Pb-free 0.96(K0.5Na0.5)0.95Li0.05Nb0.93 Sb0.07O3-0.04BaZrO3 ceramic with large piezoelectric response. Appl. Phys. Lett. 2015, 107. [Google Scholar] [CrossRef]
© 2015 by the author; licensee MDPI, Basel, Switzerland. This article is an open access article distributed under the terms and conditions of the Creative Commons by Attribution (CC-BY) license (http://creativecommons.org/licenses/by/4.0/).
Share and Cite
Cordero, F. Elastic Properties and Enhanced Piezoelectric Response at Morphotropic Phase Boundaries. Materials 2015, 8, 8195-8245. https://doi.org/10.3390/ma8125452
Cordero F. Elastic Properties and Enhanced Piezoelectric Response at Morphotropic Phase Boundaries. Materials. 2015; 8(12):8195-8245. https://doi.org/10.3390/ma8125452
Chicago/Turabian StyleCordero, Francesco. 2015. "Elastic Properties and Enhanced Piezoelectric Response at Morphotropic Phase Boundaries" Materials 8, no. 12: 8195-8245. https://doi.org/10.3390/ma8125452
APA StyleCordero, F. (2015). Elastic Properties and Enhanced Piezoelectric Response at Morphotropic Phase Boundaries. Materials, 8(12), 8195-8245. https://doi.org/10.3390/ma8125452

