Recent Development of Flax Fibres and Their Reinforced Composites Based on Different Polymeric Matrices
Abstract
:1. Introduction
| Fibre | Advantages | Disadvantages |
|---|---|---|
| Natural fibre | Biodegradable | Inhomogeneous quality |
| Low density/price | Dimensional instability | |
| Synthetic fibre | Moisture resistance | Difficult in recycle |
| Good mechanical properties | Relative high price |

| Fibres | Density (kg/m3) | E-modulus (GPa) | Tensile strength (MPa) | Elongation at break (%) |
|---|---|---|---|---|
| E-glass | 2550 | 71 | 3400 | 3.4 |
| Flax | 1530 | 58 ± 15 | 1339 ± 486 | 3.27 |
| Hemp | 1520 | 70 | 920 | 1.7 |
| Jute | 1520 | 60 | 860 | 2 |
| Kenaf | 1193 | 14–38 | 240–600 | – |
2. Flax Fibres as Reinforcement
2.1. Origin of Flax Fibres

2.2. Properties of Flax Fibres
2.2.1. Tensile Properties

| Property | E-glass | Flax fibres |
|---|---|---|
| Diameter (µm) | 8–14 | 10–80 |
| Density (g/cm3) | 2.56 | 1.4 |
| E-modulus (GPa) | 76 | 50–70 |
| Tensile strength (GPa) | 1.4–2.5 | 0.5–1.5 |
| Specific E-modulus (Gpa/g·cm−3) | 30 | 36–50 |
| Specific tensile strength (GPa/g·cm−3) | 0.5–1 | 0.4–1.1 |
2.2.2. Compressive Properties

2.2.3. Physical Properties
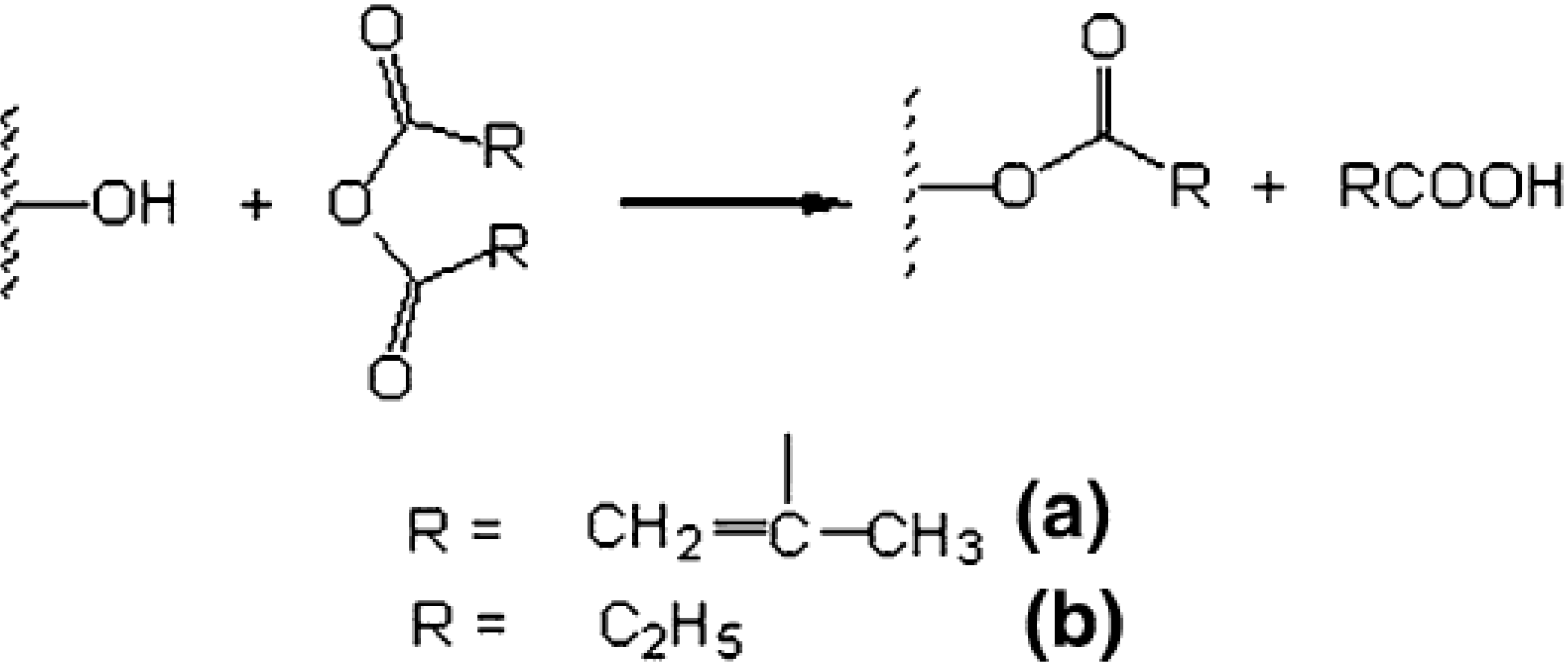
2.3. Development of Surface Treatment on Flax Fibres
| Fibre/matrix | Chemical treatment | Conditions | Effect on properties | Reference |
|---|---|---|---|---|
| flax/PP | esterification | 10 wt % MA, 25h, 50 °C | highest flexural and tensile strength | [26] |
| flax/phenolic | esterification | 25 wt % MMA, 30min, 210 W | more moisture retardant | [27] |
| flax/epoxy | alkali treatment | 5 wt % NaOH, 30 min | tensile strength 21.9%; flexural strength 16.1% | [31] |
| flax/epoxy | alkali treatment | 4 wt % NaOH, 45 s | transvers strength, 30% increment | [32] |
| flax/polyester | silane treatment | 0.05 wt %, 24 h | hydric fibre/matrix interface | [33] |
| flax/pp | esterification | MA-PP coupling agent | interphase compatibility | [34] |
2.3.1. Silane Treatment

2.3.2. Acetylation
2.3.3. Anhydride Treatment

2.3.4. Mercerization/Alkali Treatment
2.3.5. Enzymatic Treatments
2.3.6. Other Treatments
3. Properties and Characterization of Flax Polymeric Composites
3.1. Thermoplastic Polypropylene Based Flax Composites

| Fibre/matrix | Processing method | Tensile strength (MPa) | Tensile modulus (GPa) | Flexural strength (MPa) | Impact strength (kJ/m2) | Reference |
|---|---|---|---|---|---|---|
| flax/bio-thermoset(MSO) | compression moulding | ≈ 50–120 | ≈ 6–15 | 180 (max) | – | [72] |
| flax/bio-thermoset (MMSO) | compression moulding | ≈ 50–120 | ≈ 7–15 | 201 (max) | – | [72] |
| Arctic Flax/ Epoxy(50:50) | resin transfer moulding | 280 | 40 | – | – | [73] |
| plain woven flax/epoxy | hand lay-up | – | – | ≈ 78–100 (MPa/g cm−3) | ≈ 17–35 (kJ/m2/g cm−3) | [74] |
| plain-woven flax/thermoset | compression moulding | 280 | 32 | 250 | 15 (Charpy) | [75] |
| flax yarn/SPC resins | pultrusion | 298 | 4.3 | 117 | – | [19] |
| flax/Lactic acid resins(70:30) | compression moulding | 62 | 9 | 96 | – | [76] |
| flax/PLA | injection moulding | ≈ 40–55 | ≈ 3–6 | – | ≈ 9–11 (Charpy) | [77] |

3.2. Thermoset-Epoxy Resin Based Flax Composites


3.3. Bio-Degradable Poly(Lactic Acid) (PLA) Based Flax Composites

3.4. Bio-Epoxy Resin Based Flax Composites
3.5. Bio-Phenolic (Tannin) RESIN Based Flax Composites

3.6. Flax Composites Based on Other Matrices
4. Nanotechnology Applied in Flax Composites
5. Conclusions
Acknowledgments
Conflicts of Interest
References
- Cheung, H.; Ho, M.; Lau, K.; Cardona, F.; Hui, D. Natural fiber-reinforced composites for bioengineering and environmental engineering applications. Comp. Part B Eng. 2009, 40, 655–663. [Google Scholar] [CrossRef]
- Yu, L.; Dean, K.; Li, L. Polymer blends and composites from renewable resources. Prog. Polym. Sci. 2006, 31, 576–602. [Google Scholar] [CrossRef]
- Nabi Saheb, D.; Jog, J.P. Natural fiber polymer composites: A review. Adv. Polym. Technol. 1999, 18, 351–363. [Google Scholar]
- Avella, M.; Buzarovska, A.; Errico, M.E.; Gentile, G.; Grozdanov, A. Eco-challenges of bio-based polymer composites. Materials 2009, 2, 911–925. [Google Scholar] [CrossRef]
- Holbery, J.; Houston, D. Natural-fiber-reinforced polymer composites in automotive applications. J. Min. Met. Mater. Soc. 2006, 58, 80–86. [Google Scholar] [CrossRef]
- Idicula, M.; Boudenne, A.; Umadevi, L.; Ibos, L.; Candau, Y.; Thomas, S. Thermophysical properties of natural fiber reinforced polyester composites. Compo. Sci. Technol. 2006, 66, 2719–2725. [Google Scholar] [CrossRef]
- Wollerdorfer, M.; Bader, H. Influence of natural fibers on the mechanical properties of biodegradable polymers. Ind. Crops Prod. 1998, 8, 105–112. [Google Scholar] [CrossRef]
- Summerscales, J.; Dissanayake, N.P.J.; Virk, A.S.; Hall, W. A review of bast fibers and their composites. Part 1—Fibres as reinforcements. Compos. Part A Appl. Sci. Manuf. 2010, 41, 1329–1335. [Google Scholar] [CrossRef]
- Anandjiwala, R.D.; Blouw, S. Composites from bast fibers—Prospects and potential in the changing market environment. J. Nat. Fibers 2007, 4, 91–901. [Google Scholar] [CrossRef]
- Cao, Y.; Wu, Y.; Goda, K. Research and development of bast fiber-reinforced composites. Chin. J. Mate. Res. 2008, 22, 10–17. [Google Scholar]
- Sparnins, E. Mechanical Properties of Flax Fibers and Their Composites. Ph.D. Thesis, Luleå University of Technology, Luleå, Sweden, 2009. [Google Scholar]
- Symington, M.C.; Banks, W.M.; West, O.D.; Pethrick, R.A. Tensile testing of cellulose based natural fibers for structural composite applications. J. Comp. Mater. 2009, 43, 1083–1108. [Google Scholar] [CrossRef]
- Xie, Y.; Hill, C.A.S.; Xiao, Z.; Militz, H.; Mai, C. Silane coupling agents used for natural fiber/polymer composites: A review. Compos. Part A Appl. Sci. Manuf. 2010, 41, 806–819. [Google Scholar] [CrossRef]
- Rosa, M.F.; Chiou, B.; Medeiros, E.S.; Wood, D.F.; Mattoso, L.H.C.; Orts, W.J.; Imam, S.H. Biodegradable composites based on starch/EVOH/glycerol blends and coconut fibers. J. Appl. Polym. Sci. 2009, 111, 612–618. [Google Scholar]
- Joshi, S.V.; Drzal, L.T.; Mohanty, A.K.; Arora, A. Are natural fiber composites environmentally superior to glass fiber reinforced composites? Compos. Part A Appl. Sci. Manuf. 2004, 35, 371–376. [Google Scholar] [CrossRef]
- Bos, H.L. The Potential of Flax Fiber as Reinforcement for Composite Materials. Ph.D. Thesis, Eindhoven University, Eindhoven, The Netherlands, 2004. [Google Scholar]
- Charlet, K.; Jernot, J. P.; Eve, S.; Gomina, M.; Bréard, J. Multi-scale morphological characterisation of flax: From the stem to the fibrils. Carbohyr. Polym. 2012, 82, 54–61. [Google Scholar] [CrossRef]
- Laine, L.; Rozite, L. Eco-efficient Composite Materials: State of Art. Available online: http://www.ketek.fi/anacompo/STATE%20OF%20THE%20ART.pdf (accessed on 13 March 2012).
- Huang, X.; Netravali, A. Characterization of flax fiber reinforced soy protein resin based green composites modified with nano-clay particles. Compos. Sci. Technol. 2007, 67, 2005–2014. [Google Scholar] [CrossRef]
- Baley, C.; Perrot, Y.; Busnel, F.; Guezenoc, H.; Davies, P. Transverse tensile behaviour of unidirectional plies reinforced with flax fibers. Mater. Lett. 2006, 60, 2984–2987. [Google Scholar] [CrossRef]
- Van De Velde, K.; Kiekens, P. Thermal degradation of flax: The determination of kinetic parameters with thermogravimetric analysis. J. Appl. Polym. Sci. 2002, 83, 2634–2643. [Google Scholar] [CrossRef]
- Gassan, J.; Bledzki, A.K. Thermal degradation of flax and jute fibers. J. Appl. Polym. Sci. 2001, 82, 1417–1422. [Google Scholar] [CrossRef]
- Stamboulis, A.; Baillie, C.A.; Peijs, T. Effects of environmental conditions on mechanical and physical properties of flax fibers. Compos. Part A Appl. Sci. Manuf. 2001, 32, 1105–1115. [Google Scholar] [CrossRef]
- Hughes, M.; Carpenter, J.; Hill, C. Deformation and fracture behaviour of flax fiber reinforced thermosetting polymer matrix composites. J. Mater. Sci. 2007, 42, 2499–2511. [Google Scholar] [CrossRef]
- Jähn, A.; Schröder, M.W.; Füting, M.; Schenzel, K.; Diepenbrock, W. Characterization of alkali treated flax fibers by means of FT Raman spectroscopy and environmental scanning electron microscopy. Spectrochim. Acta. Part A Mol. Biomol. Spectrosc. 2002, 58, 2271–2279. [Google Scholar] [CrossRef]
- Cantero, G.; Arbelaiz, A.; Llano-Ponte, R.; Mondragon, I. Effects of fiber treatment on wettability and mechanical behaviour of flax/polypropylene composites. Compos. Sci. Technol. 2003, 63, 1247–1254. [Google Scholar] [CrossRef]
- Kaith, B.S.; Kalia, S. Grafting of flax fiber (Linum usitatissimum) with vinyl monomers for enhancement of properties of flax-phenolic composites. Polym. J. 2007, 39, 1319–1327. [Google Scholar] [CrossRef]
- Di Bella, G.; Fiore, V.; Valenza, A. Effect of areal weight and chemical treatment on the mechanical properties of bidirectional flax fabrics reinforced composites. Mater. Des. 2010, 31, 4098–4103. [Google Scholar] [CrossRef]
- Chabba, S.; Netravali, A.N. “Green” composites part 1: Characterization of flax fabric and glutaraldehyde modified soy protein concentrate composites. J. Mater. Sci. 2005, 40, 6263–6273. [Google Scholar] [CrossRef]
- Van de Weyenberg, I.; Ivens, J.; De Coster, A.; Kino, B.; Baetens, E.; Verpoest, I. Influence of processing and chemical treatment of flax fibers on their composites. Compos. Sci. Technol. 2003, 63, 1241–1246. [Google Scholar] [CrossRef]
- Yan, L.; Chouw, N.; Yuan, X. Improving the mechanical properties of natural fiber fabric reinforced epoxy composites by alkali treatment. J. Reinf. Plast. Compos. 2012, 31, 425–437. [Google Scholar] [CrossRef]
- Van de Weyenberg, I.; Chi Truong, T.; Vangrimde, B.; Verpoest, I. Improving the properties of UD flax fiber reinforced composites by applying an alkaline fiber treatment. Compos. Part A Appl. Sci. Manuf. 2006, 37, 1368–1376. [Google Scholar] [CrossRef]
- Alix, S.; Lebrun, L.; Morvan, C.; Marais, S. Study of water behaviour of chemically treated flax fibers-based composites: A way to approach the hydric interface. Compos. Sci. Technol. 2011, 71, 893–899. [Google Scholar] [CrossRef]
- Bledzki, A.K.; Fink, H.; Specht, K. Unidirectional hemp and flax EP- and PP-composites: Influence of defined fiber treatments. J. Appl. Polym. Sci. 2004, 93, 2150–2156. [Google Scholar] [CrossRef]
- Singha, A.S.; Rana, A.K. Effect of Aminopropyltriethoxysilane (APS) treatment on properties of mercerized lignocellulosic grewia optiva fiber. J. Polym. Environ. 2012, 21, 141–150. [Google Scholar] [CrossRef]
- John, M.J.; Anandjiwala, R.D. Recent developments in chemical modification and characterization of natural fiber-reinforced composites. Polym. Compos. 2008, 29, 187–207. [Google Scholar] [CrossRef]
- Van de Velde, K.; Kiekens, P. Thermoplastic polymers: Overview of several properties and their consequences in flax fiber reinforced composites. Polym. Test 2001, 20, 885–893. [Google Scholar] [CrossRef]
- Wang, B.; Panigrahi, S.; Tabil, L.; Crerar, W. Pre-treatment of flax fibers for use in rotationally molded biocomposites. J. Reinf. Plast. Compos. 2007, 26, 447–463. [Google Scholar] [CrossRef]
- Bledzki, A.K.; Mamun, A.A.; Lucka-Gabor, M.; Gutowski, V.S. The effects of acetylation on properties of flax fiber and its polypropylene composites. Express Polym. Lett. 2008, 2, 413–422. [Google Scholar] [CrossRef]
- Guduri, B.R.; Semosa, H.; Meng, Y.Z. Green Composites from Woven Flax Fiber and Bio-Copolyester. In Proceedings of 17th ICCM International Conferences on Composite Materials, Edinburgh, UK, 27–31 July 2009.
- Grönqvist, S.; Buchert, J.; Rantanen, K.; Viikari, L.; Suurnäkki, A. Activity of laccase on unbleached and bleached thermomechanical pulp. Enzyme Microb. Technol. 2003, 32, 439–445. [Google Scholar] [CrossRef]
- Grönqvist, S.; Viikari, L.; Niku-Paavola, M.; Orlandi, M.; Canevali, C.; Buchert, J. Oxidation of milled wood lignin with laccase, tyrosinase and horseradish peroxidase. Appl. Microbiol. Biotechnol. 2005, 67, 489–494. [Google Scholar] [CrossRef] [PubMed]
- Kudanga, T.; Nyanhongo, G.S.; Guebitz, G.M.; Burton, S. Potential applications of laccase-mediated coupling and grafting reactions: A review. Enzyme Microb. Technol. 2011, 48, 195–208. [Google Scholar] [CrossRef] [PubMed]
- Kim, S.; Cavaco-Paulo, A. Laccase-catalysed protein-flavonoid conjugates for flax fiber modification. Appl. Microb. Biotechnol. 2012, 93, 585–600. [Google Scholar] [CrossRef]
- Aracri, E.; Fillat, A.; Colom, J.F.; Gutiérrez, A.; del Río, J.C.; Martínez, T.T.; Vidal, T. Enzymatic grafting of simple phenols on flax and sisal pulp fibers using laccases. Bioresour. Technol. 2010, 101, 8211–8216. [Google Scholar] [CrossRef] [PubMed]
- Fillat, A.; Gallardo, O.; Vidal, T.; Pastor, F.I.J.; Díaz, P.; Roncero, M.B. Enzymatic grafting of natural phenols to flax fibers: Development of antimicrobial properties. Carbohydr. Polym. 2012, 87, 146–152. [Google Scholar] [CrossRef]
- Garcia-Ubasart, J.; Colom, J.F.; Vila, C.; Hernández, N.G.; Blanca Roncero, M.; Vidal, T. A new procedure for the hydrophobization of cellulose fiber using laccase and a hydrophobic phenolic compound. Bioresour. Technol. 2012, 112, 341–344. [Google Scholar] [CrossRef] [PubMed]
- Garcia-Ubasart, J.; Esteban, A.; Vila, C.; Roncero, M.B.; Colom, J.F.; Vidal, T. Enzymatic treatments of pulp using laccase and hydrophobic compounds. Bioresour. Technol. 2011, 102, 2799–2803. [Google Scholar] [CrossRef] [PubMed]
- Wang, B.; Tabil, L.; Panigrahi, S. Effects of chemical treatments on mechanical and physical properties of flax fiber-reinforced composites. Sci. Eng. Compo. Mater. 2008, 15, 43–57. [Google Scholar] [CrossRef]
- Hebeish, A.; Abou-Zeid, N.Y.; Waly, A.; Higazy, A. Chemical modification of flax cellulose via etherification, esterification and crosslinking reactions. Cellul. Chem. Technol. 1988, 22, 591–605. [Google Scholar]
- George, J.; Ivens, J.; Verpoest, I. Mechanical properties of flax fiber reinforced epoxy composites. Angew. Makromol. Chem. 1999, 272, 41–45. [Google Scholar] [CrossRef]
- Duchemin, B.; Thuault, A.; Vicente, A.; Rigaud, B.; Fernandez, C.; Eve, S. Ultrastructure of cellulose crystallites in flax textile fibers. Cellulose 2012, 19, 1837–1854. [Google Scholar] [CrossRef]
- Zafeiropoulos, N.E.; Vickers, P.E.; Baillie, C.A.; Watts, J.F. An experimental investigation of modified and unmodified flax fibers with XPS, ToF-SIMS and ATR-FTIR. J. Mater. Sci. 2003, 38, 3903–3914. [Google Scholar] [CrossRef]
- Nigam, V.; Soni, H.; Saroop, M.; Verma, G.L.; Bhattacharya, A.S.; Setua, D.K. Thermal, morphological, and X-ray study of polymer-clay nanocomposites. J. Appl. Polym. Sci. 2012, 124, 3236–3244. [Google Scholar] [CrossRef]
- Bismarck, A.; Aranberri-Askargorta, I.; Springer, J.; Lampke, T.; Wielage, B.; Stamboulis, A.; Shenderovich, I.; Limbach, H. Surface characterization of flax, hemp and cellulose fibers; Surface properties and the water uptake behavior. Polym. Compos. 2002, 23, 872–894. [Google Scholar] [CrossRef]
- Garside, P.; Wyeth, P. Identification of cellulosic fibres by FTIR spectroscopy: Thread and single fiber analysis by attenuated total reflectance. Stud. Conserv. 2004, 48, 269–275. [Google Scholar] [CrossRef]
- Bos, H.L.; Müssig, J.; van den Oever, M.J.A. Mechanical properties of short-flax-fiber reinforced compounds. Compos. Part A Appl. Sci. Manuf. 2006, 37, 1591–1604. [Google Scholar] [CrossRef]
- Huang, G.; Liu, L. Research on properties of thermoplastic composites reinforced by flax fabrics. Mater. Des. 2008, 29, 1075–1079. [Google Scholar] [CrossRef]
- Peijs, T.; Garkhail, S.; Heijenrath, R.; Van Den Oever, M.; Bos, H. Thermoplastic composites based on flax fibers and polypropylene: Influence of fiber length and fiber volume fraction on mechanical properties. Macromol. Symp. 1998, 127, 193–203. [Google Scholar] [CrossRef]
- Andersons, J.; Sparniņš, E.; Joffe, R. Stiffness and strength of flax fiber/polymer matrix composites. Polym. Comp. 2006, 27, 221–229. [Google Scholar] [CrossRef]
- Van de Velde, K.; Kiekens, P. Effect of material and process parameters on the mechanical properties of unidirectional and multidirectional flax/polypropylene composites. Compos. Struct. 2003, 62, 443–448. [Google Scholar] [CrossRef]
- Arbelaiz, A.; Fernández, B.; Valea, A.; Mondragon, I. Mechanical properties of short flax fiber bundle/poly(ε-caprolactone) composites: Influence of matrix modification and fiber content. Carbohydr. Polym. 2006, 64, 224–232. [Google Scholar] [CrossRef]
- Arbelaiz, A.; Fernández, B.; Ramos, J.A.; Retegi, A.; Llano-Ponte, R.; Mondragon, I. Mechanical properties of short flax fiber bundle/polypropylene composites: Influence of matrix/fiber modification, fiber content, water uptake and recycling. Compos. Sci. Technol. 2005, 65, 1582–1592. [Google Scholar] [CrossRef]
- Garkhail, S.K.; Heijenrath, R.W.H.; Peijs, T. Mechanical properties of natural-fiber-mat-reinforced thermoplastics based on flax fibers and polypropylene. Appl. Compos. Mater. 2000, 7, 351–372. [Google Scholar] [CrossRef]
- Modniks, J.; Andersons, J. Modeling elastic properties of short flax fiber-reinforced composites by orientation averaging. Comput. Mater. Sci. 2010, 50, 595–599. [Google Scholar] [CrossRef]
- Andersons, J.; Joffe, R.; Spãrniņŝ, E.; Weichert, D. Modeling the effect of reinforcement discontinuity on the tensile strength of UD flax fiber composites. J. Mater. Sci. 2011, 46, 5104–5110. [Google Scholar] [CrossRef]
- Van Den Oever, M.J.A.; Bos, H.L.; Van Kemenade, M.J.J.M. Influence of the physical structure of flax fibers on the mechanical properties of flax fiber reinforced polypropylene composites. Appl. Compos. Mater. 2000, 7, 387–402. [Google Scholar] [CrossRef]
- Bos, H.L.; Molenveld, K.; Teunissen, W.; Van Wingerde, A.M.; Van Delft, D.R.V. Compressive behaviour of unidirectional flax fiber reinforced composites. J. Mater. Sci. 2004, 39, 2159–2168. [Google Scholar] [CrossRef]
- Stamboulis, A.; Baillie, C.A.; Garkhail, S.K.; Van Melick, H.G.H.; Peijs, T. Environmental durability of flax fibers and their composites based on polypropylene matrix. Appl. Compos. Mater. 2000, 7, 273–294. [Google Scholar] [CrossRef]
- Assarar, M.; Scida, D.; El Mahi, A.; Poilâne, C.; Ayad, R. Influence of water ageing on mechanical properties and damage events of two reinforced composite materials: Flax-fibers and glass-fibers. Mater. Des. 2011, 32, 788–795. [Google Scholar] [CrossRef]
- Sgriccia, N.; Hawley, M.C.; Misra, M. Characterization of natural fiber surfaces and natural fiber composites. Compos. Part A Appl. Sci. Manuf. 2008, 39, 1632–1637. [Google Scholar] [CrossRef]
- Adekunle, K.; Cho, S.; Ketzscher, R.; Skrifvars, M. Mechanical properties of natural fiber hybrid composites based on renewable thermoset resins derived from soybean oil, for use in technical applications. J. Appl. Polym. Sci. 2012, 124, 4530–4541. [Google Scholar]
- Oksman, K. High quality flax fiber composites manufactured by the resin transfer moulding process. J. Reinf. Plast. Compos. 2001, 20, 621–627. [Google Scholar] [CrossRef]
- Muralidhar, B.A.; Giridev, V.R.; Raghunathan, K. Flexural and impact properties of flax woven, knitted and sequentially stacked knitted/woven preform reinforced epoxy composites. J. Reinf. Plast. Compos. 2012, 31, 379–388. [Google Scholar] [CrossRef]
- Adekunle, K.; Cho, S.; Patzelt, C.; Blomfeldt, T.; Skrifvars, M. Impact and flexural properties of flax fabrics and Lyocell fiber-reinforced bio-based thermoset. J. Reinf. Plast. Compos. 2011, 30, 685–697. [Google Scholar] [CrossRef]
- Åkesson, D.; Skrifvars, M.; Seppälä, J.; Turunen, M. Thermoset lactic acid-based resin as a matrix for flax fibers. J. Appl. Polym. Sci. 2011, 119, 3004–3009. [Google Scholar] [CrossRef]
- Bax, B.; Müssig, J. Impact and tensile properties of PLA/Cordenka and PLA/flax composites. Compos. Sci. Technol. 2008, 68, 1601–1607. [Google Scholar] [CrossRef]
- Liang, S.; Gning, P.B.; Guillaumat, L. A comparative study of fatigue behaviour of flax/epoxy and glass/epoxy composites. Compos. Sci. Technol. 2012, 72, 535–543. [Google Scholar] [CrossRef]
- Yan, L.; Chouw, N. Crashworthiness characteristics of flax fiber reinforced epoxy tubes for energy absorption application. Mater. Des. 2013, 51, 629–640. [Google Scholar] [CrossRef]
- Muralidhar, B.A. Tensile and compressive behaviour of multilayer flax-rib knitted preform reinforced epoxy composites. Mater. Des. 2013, 49, 400–405. [Google Scholar] [CrossRef]
- Muralidhar, B.A. Study of flax hybrid preforms reinforced epoxy composites. Mater. Des. 2013, 52, 835–840. [Google Scholar] [CrossRef]
- Muralidhar, B.A. Tensile and compressive properties of flax-plain weave preform reinforced epoxy composites. J. Reinf. Plast. Compos. 2013, 32, 207–213. [Google Scholar] [CrossRef]
- Liu, Q.; Hughes, M. The fracture behaviour and toughness of woven flax fiber reinforced epoxy composites. Compos. Part A Appl. Sci. Manuf. 2008, 39, 1644–1652. [Google Scholar] [CrossRef]
- Newman, R.H. Auto-accelerative water damage in an epoxy composite reinforced with plain-weave flax fabric. Compos. Part A Appl. Sci. Manuf. 2009, 40, 1615–1620. [Google Scholar] [CrossRef]
- Mohanty, A.K.; Misra, M.; Hinrichsen, G. Biofibers, biodegradable polymers and biocomposites: An overview. Macromol. Mater. Eng. 2000, 276–277, 1–24. [Google Scholar] [CrossRef]
- Graupner, N.; Herrmann, A.S.; Müssig, J. Natural and man-made cellulose fiber-reinforced poly(lactic acid) (PLA) composites: An overview about mechanical characteristics and application areas. Compos. Part A Appl. Sci. Manuf. 2009, 40, 810–821. [Google Scholar] [CrossRef]
- Oksman, K.; Skrifvars, M.; Selin, J.-F. Natural fibers as reinforcement in polylactic acid (PLA) composites. Compos. Sci. Technol. 2003, 63, 1317–1324. [Google Scholar] [CrossRef]
- Le Duigou, A.; Davies, P.; Baley, C. Interfacial bonding of flax fiber/poly(l-lactide) bio-composites. Compos. Sci. Technol. 2010, 70, 231–239. [Google Scholar] [CrossRef]
- Lincoln, J.D.; Shapiro, A.A.; Earthman, J.C.; Saphores, J.M.; Ogunseitan, O.A. Design and evaluation of bioepoxy-flax composites for printed circuit boards. IEEE Transac. Electron. Packag. Manuf. 2008, 31, 211–220. [Google Scholar] [CrossRef]
- Berger, C.; Bledzki, A.K.; Heim, H.; Böttcher, A. Fiber-Reinforced Epoxy Composites Made from Renewable Resources. In Proceeding of 2011 International SAMPE Technical Conference, Fort Worth, TX, USA, 18–19 October 2011.
- Felline, F.; Pappadà, S.; Gennaro, R.; Passaro, A. Resin transfer moulding of composite panels with bio-based resins. SAMPE J. 2013, 49, 20–24. [Google Scholar]
- Avril, C.; Bailly, P.A.; Njuguna, J.; Nassiopoulos, E.; De Larminat, A. Development of Flax-reinforced Bio-composites for High-load Bearing Automotive Parts. In Proceeding of European Conference on Composite Materials (ECCM), Venice, Italy, 24–28 June 2012.
- Fan, J.; Nassiopoulos, E.; Brighton, J.; De Larminat, A.; Njuguna, J. New Structural Biocomposites for Car Applications. In Society of Plastics Engineers-EUROTEC 2011 Conference Proceedings, Barcelona, Spain, 14–15 November 2011.
- Zhu, J.; Abhyankar, H.; Nassiopoulos, E.; Njuguna, J. Tannin-based flax fiber reinforced composites for structural applications in vehicles. IOP Conf. Ser. Mater. Sci. Eng. 2012, 40. [Google Scholar] [CrossRef]
- Bisanda, E.T.N.; Ogola, W.O.; Tesha, J.V. Characterisation of tannin resin blends for particle board applications. Cement. Concr. Compos. 2003, 25, 593–598. [Google Scholar] [CrossRef]
- Pizzi, A.; Kueny, R.; Lecoanet, F.; Massetau, B.; Carpentier, D.; Krebs, A.; Loiseau, F.; Molina, S.; Ragoubi, M. High resin content natural matrix-natural fiber biocomposites. Ind. Crops Prod. 2009, 30, 235–240. [Google Scholar] [CrossRef]
- Zhu, J.; Njuguna, J.; Abhyankar, H.; Zhu, H.; Perreux, D.; Thiebaud, F.; Chapelle, D.; Pizzi, A.; Sauget, A.; de Larminat, A.; et al. Effect of fiber configurations on mechanical properties of flax/tannin composites. Ind. Crops Prod. 2013, 50, 68–76. [Google Scholar] [CrossRef]
- Pichelin, F.; Kamoun, C.; Pizzi, A. Hexamine hardener behaviour: Effects on wood glueing, tannin and other wood adhesives. Holzals Roh Werkst. 1999, 57, 305–307. [Google Scholar] [CrossRef]
- Saiah, R.; Sreekumar, P.A.; Gopalakrishnan, P.; Leblanc, N.; Gattin, R.; Saiter, J.M. Fabrication and characterization of 100% green composite: Thermoplastic based on wheat flour reinforced by flax fibers. Polym. Comp. 2009, 30, 1595–1600. [Google Scholar] [CrossRef]
- Andersons, J.; Joffe, R. Estimation of the tensile strength of an oriented flax fiber-reinforced polymer composite. Compos. Part A Appl. Sci. Manuf. 2011, 42, 1229–1235. [Google Scholar] [CrossRef]
- Eichhorn, S.J.; Dufresne, A.; Aranguren, M.; Marcovich, N.E.; Capadona, J.R.; Rowan, S.J.; Weder, C.; Thielemans, W.; Roman, M.; Renneckar, S.; et al. Review: Current international research into cellulose nanofibers and nanocomposites. J. Mater. Sci. 2010, 45, 1–33. [Google Scholar] [CrossRef]
- Bhatnagar, A.; Sain, M. Processing of cellulose nanofiber-reinforced composites. J. Reinf. Plast. Compos. 2005, 24, 1259–1268. [Google Scholar] [CrossRef]
- Hrabalova, M.; Schwanninger, M.; Wimmer, R.; Gregorova, A.; Zimmermann, T.; Mundigler, N. Fibrillation of flax and wheat straw cellulose: Effects on thermal, morphological, and viscoelastic properties of poly(vinylalcohol)/fiber composites. BioResources 2011, 6, 1631–1647. [Google Scholar]
- Qua, E.H.; Hornsby, P.R.; Sharma, H.S.S.; Lyons, G.; Mccall, R.D. Preparation and characterization of poly(vinyl alcohol) nanocomposites made from cellulose nanofibers. J. Appl. Polym. Sci. 2009, 113, 2238–2247. [Google Scholar] [CrossRef]
© 2013 by the authors; licensee MDPI, Basel, Switzerland. This article is an open access article distributed under the terms and conditions of the Creative Commons Attribution license (http://creativecommons.org/licenses/by/3.0/).
Share and Cite
Zhu, J.; Zhu, H.; Njuguna, J.; Abhyankar, H. Recent Development of Flax Fibres and Their Reinforced Composites Based on Different Polymeric Matrices. Materials 2013, 6, 5171-5198. https://doi.org/10.3390/ma6115171
Zhu J, Zhu H, Njuguna J, Abhyankar H. Recent Development of Flax Fibres and Their Reinforced Composites Based on Different Polymeric Matrices. Materials. 2013; 6(11):5171-5198. https://doi.org/10.3390/ma6115171
Chicago/Turabian StyleZhu, Jinchun, Huijun Zhu, James Njuguna, and Hrushikesh Abhyankar. 2013. "Recent Development of Flax Fibres and Their Reinforced Composites Based on Different Polymeric Matrices" Materials 6, no. 11: 5171-5198. https://doi.org/10.3390/ma6115171
APA StyleZhu, J., Zhu, H., Njuguna, J., & Abhyankar, H. (2013). Recent Development of Flax Fibres and Their Reinforced Composites Based on Different Polymeric Matrices. Materials, 6(11), 5171-5198. https://doi.org/10.3390/ma6115171


