Abstract
Inductance spectroscopy is a particular formulation variant of the well known complex impedance formalism typically used for the electric characterization of dielectric, ferroelectric, and piezoelectric materials. It has been successfully exploited as a versatile tool for characterization of the magnetization dynamics in amorphous ribbons and wires by means of simple experiments involving coils for sample holding and impedance analyzer equipment. This technique affords the resolution of the magnetization processes in soft magnetic materials, in terms of reversible deformation of pinned domain walls, domain wall displacements and spin rotation, for which characteristic parameters such as the alloy initial permeability and the relaxation frequencies, indicating the dispersion of each process, can be defined. Additionally, these parameters can be correlated with chemical composition variation, size effects and induced anisotropies, leading to a more physical insight for the understanding of the frequency dependent magnetic response of amorphous alloys, which is of prime interest for the development of novel applications in the field of telecommunication and sensing technologies. In this work, a brief overview, together with recent progress on the magnetization dynamics of amorphous ribbons, wires, microwires and biphase wires, is presented and discussed for the intermediate frequency interval between 10 Hz and 13 MHz.
1. Introduction
Amorphous alloys obtained from rapid solidification techniques as thin ribbons (with characteristic thickness below 30 microns and variable lengths) and fine wires (with typical diameters lower than 120 microns and variable lengths) have been the subject of research since the 1980s due to their ultrasoft magnetic character which has allowed interesting technological applications in devices for conversion of electromagnetic energy into mechanic energy and for signal processing; power electronics, electric power conditioning, magnetic sensors, telecommunication, automotive magnetics; and electronic article surveillance [1,2]. Amorphous ribbons can be cast by means of chill block melt spinning method which involves the continuous ejection of a molten alloy onto the edge surface of a wide rotating copper disk (with typical angular speeds within the range 2,000–3,000 rpm) which allows solidification rates between 105–107 K/s [3]. On the other hand, for the formation of wires with diameters within the range 80–120 microns, a variant of melt spinning process known as “rotating water bath melt spinning” entails the streaming of a fine jet of molten alloy into a flow of cold water (moving in a rapidly rotating drum at almost the same velocity as the jet) such that the alloy rapidly solidifies and vitrifies [4]. In addition, amorphous glass coated microwires, with usual diameters from 5 to 40 microns for the metallic nucleus and between 5–25 microns for the surrounding glass layer, can be produced by a modified Taylor-Ulitovsky technique in which a metal drop melted by high frequency induction is placed inside a glass tube. The temperature achieved by the melting assembly is high enough to allow the softening of the glass tube and its further drawing to a thin capillary which in turn is wound onto a receiving bobbin. The fast moving capillary entrapping the melted alloy passes through a cooling water jet for its rapid solidification [5].
Usually, within the study of soft magnetic materials, the characterization of the magnetic permeability μ as a function of frequency is a figure of merit because of the possibility for developing high frequency applications for telecommunications, wireless systems and radar detection, among others. In this context, a powerful characterization technique is the so called impedance spectroscopy (ImS) which has been widely used to investigate electric polarization phenomena in a variety of dielectric, ferroelectric, and piezoelectric materials [6]. However, it can be shown that by a simple change in experimental conditions (essentially coils instead of electrodes for applying external ac magnetic fields hac of variable intensity), and by a convenient transformation of complex formalisms (inductances and magnetic permeabilities instead of capacitances and permittivities), it is possible to build a methodology which can be established as inductance spectroscopy (InS) [7]. As in ImS, for materials characterization by InS, it is feasible to resolve the dominant magnetization processes by measuring in a wide frequency range. At low frequencies, all the magnetization processes (namely reversible domain wall bulging, domain wall displacement, spin rotation and spin precession) contribute to the total value permeability (and thus, of magnetization). However, they possess different dynamics in the sense that each magnetization process is characterized by a time-constant. As the frequency of hac increases, the magnetization processes with slow dynamics (i.e., large time-constants) become unable to follow the excitation field exhibiting a dispersion and subsequently, a decrease in the total value of permeability. The permeability value in each frequency range, the frequency at which the process ceases to follow the field, and the dispersion (the behavior to change from one magnetization process to another one) are significant aspects to understand the frequency response of the material. A wide variety of magnetic materials have been investigated by InS, such as ferrites [8], amorphous and nanocrystallized ribbons [9], amorphous wires [10] and glass-coated microwires [11].
The InS formalism involves the calculation of the complex inductance L = Lre + iLim ( i = √-1) from complex impedance measurements Z = Zre + iZim via the following transformation
where ω is the angular frequency of hac. Complementarily, the complex permeability formalism μ = μre + iμim can be formulated according to
where G is an appropriate geometrical factor. For instance, G~108 (Henry)−1 for wires and microwires [12]. Within both of these formalisms, the real component Lre (or μre) corresponds to the material magnetic permeability, whilst Lim (or μim) is associated with the dissipative process. The spectroscopic plots Lre (ω) and Lim (ω) (or alternatively μre (ω) and μim (ω)) obtained from Equations (1) and (2) have led to the resolution as a function of frequency of the following magnetization mechanisms: Reversible domain wall bulging, unpinning-displacement of domain walls (i.e., hysteresis) and spin rotation. At frequencies low enough, all these magnetization processes contribute to the material’s response; in particular, domain wall movements and spin rotation
L = −iZ/ω
μ = G L
An additional aspect to bear in mind for the dynamic characterization of the magnetization in amorphous ribbons and wires, is the particular magnetic domain formation features of these types of alloys. Such magnetic domain distribution strongly depends on the magnetoelastic coupling between the residual stresses frozen during the rapid solidification process and the sign and magnitude of the alloy magnetostriction λs [13,14]. For the case of ribbons, longitudinal internal stresses (i.e., along the length direction of the sample) develop as a consequence of the gradient of temperature between the wheel contact-side of the ribbon and it’s free-side [3] leading to in-plane-easy axis and hence, longitudinal magnetic domains are preferentially formed for Fe-based ribbons with high λs constants (λs ~ 10–30 ppm). In contrast, negative sign of λs favors the appearance of transverse magnetic domains (i.e., perpendicularly oriented respect to the ribbon main axis). Nevertheless, for both cases, the residual stresses follow a rather complex distribution, including in-plane tensile and compressive stresses, but also planar compressive stress inducing perpendicular easy axis (relative to the ribbon surface). These internal stresses can vary not only laterally, but also in depth, leading to the formation of rather complicated magnetic domain configurations including: Wide curved domains with 180° walls, narrow fingerprints, maze and dense stripe domains [15,16]. On the other hand, for amorphous wires the magnetoelastic properties are also determined by the complex quenched-in stresses configuration arising from the casting process, especially from the strong thermal gradient between the inner and the outer regions of the wire, together with the sign of λs. Additionally, for amorphous glass covered microwires, there are two kinds of stress sources (a) axial stress due to the cooling process and (b) radial stress caused by the difference in thermal expansion coefficients between the metallic nucleus and the glass coating [17,18]. These internal stress variations follow a rather complex distribution with axial, circular and radial components changing rapidly from positive (at the axial zone) to negative (at the surrounding shell) including maximum values at half the radius, as well as on the wire edges, and even zero stress value is expected at the precise microwire centre [19,20]. In any case, the sign of λs determines again the peculiar magnetic domain configuration for these kinds of amorphous alloys: An inner zone with magnetic axial orientation surrounded by a sheath of perpendicular magnetization with either radial (a characteristic of Fe-based wires with large positive λs) or circular orientation (typical of Co- and CoFe-based wires with negative λs) [18,21]. In this work, recent progress on the magnetization dynamics, in terms of the resolution of magnetization processes as a function of frequency, for amorphous ribbons and wires, is presented and discussed
2. Results and Discussion
2.1. Amorphous Ribbons
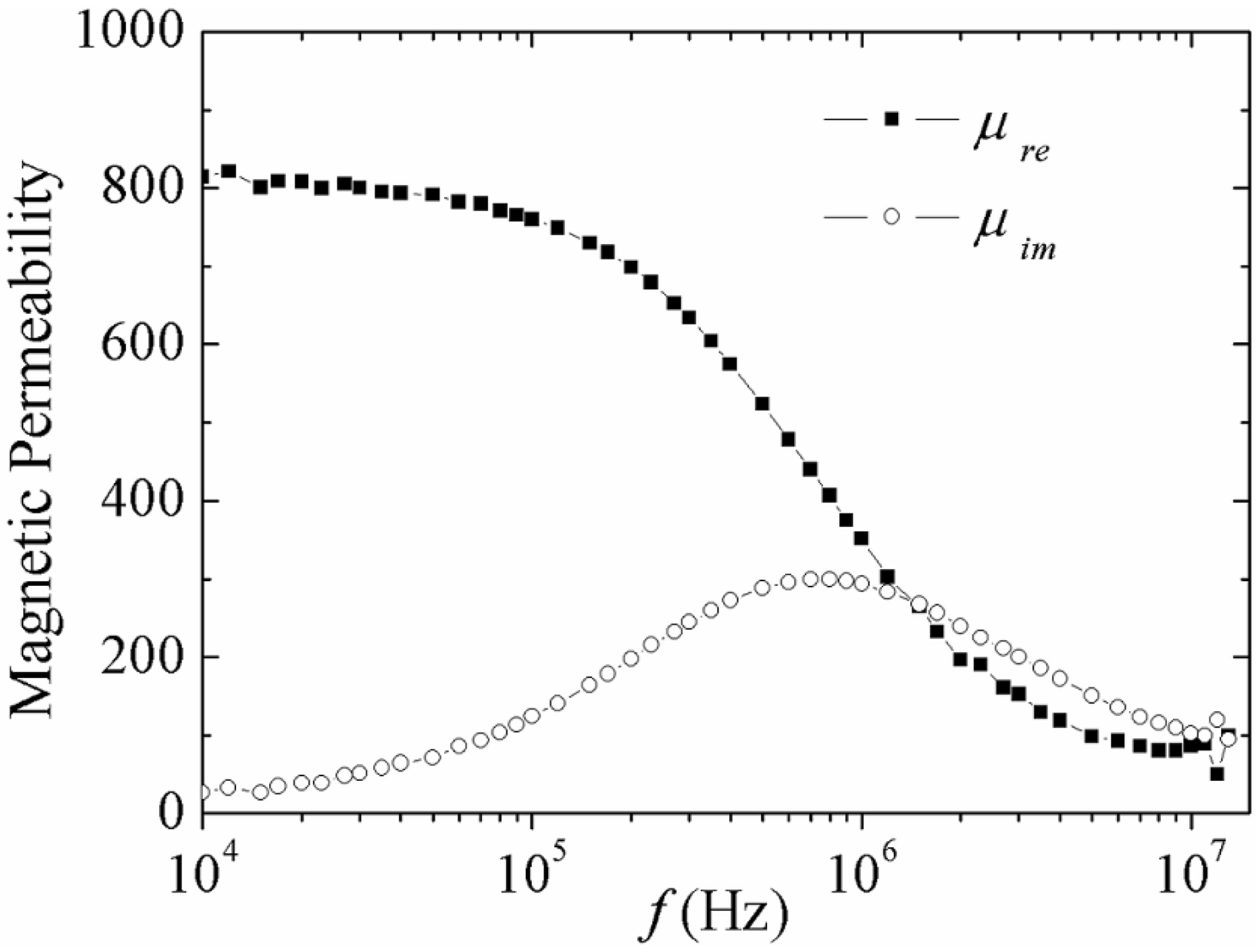
The spectroscopy behavior for real and imaginary components of complex permeability for amorphous Fe80B10Si10 ribbons are shown in Figure 1. These curves afford the resolution of the active magnetization mechanisms across the frequency range for a given hac intensity [22,23]. For instance, the μre(f ) plot for an hac = 0.42 A/m shows an initial plateau-like behavior for increasing frequency f values up to 6 x104 Hz. This tendency of μre can be attributed to the reversible bulging of the magnetic domain walls (DWs) pinned at the ribbon surface´s defects (such as voids, surface irregularities and the very surface itself). Hence, μre at this part of the frequency is then associated with the initial permeability μini of the material [22,24] Further, increase in f causes a significant reduction in μre(f ), which can be ascribed to a relaxation-type dispersion of the reversible bulging mechanism for which the DWs are no longer able to follow the ac magnetic variations. Beyond a threshold frequency fx (or relaxation frequency) μre becomes very small, reflecting the contribution of the spin rotation as the only magnetization process active for f > fx [22,24]. Complementarily, the imaginary μim component is attributed to the alloy magnetic losses (hysteresis, eddy current, power losses) [25,26]. The maximum in μim corresponds to fx.
Figure 1.
Spectroscopic plots of the complex permeability components for amorphous Fe80B10Si10 ribbon at hac = 0.42.
Figure 1.
Spectroscopic plots of the complex permeability components for amorphous Fe80B10Si10 ribbon at hac = 0.42.

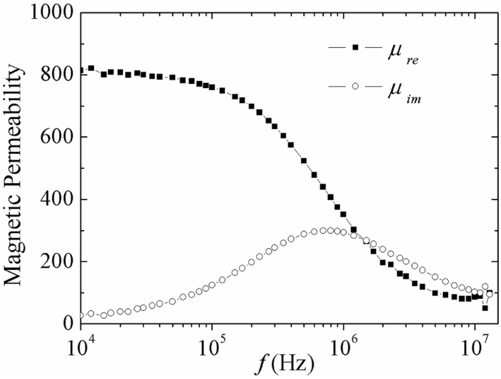
On the other hand, for a higher hac intensity of 1.69 A/m, it is possible to observe two sections of the μre (f) plot as is shown in Figure 2 for the same FeBSi ribbons: The reversible bulging process, together with its corresponding relaxation for f > 1 × 105 Hz, and a significant increase in μre for the frequency interval 3 × 103 Hz < f < 1 × 105 Hz, with a precedent constant tendency for f < 3 × 103 Hz. This increment in μre can be interpreted in terms of a magnetization mechanism involving the irreversible displacement of DWs caused by the higher hac intensity [22,23,24]. The DWs displacement leads to the hysteresis process within the material, which also presents a relaxation-type dispersion (i.e., a change of process) for the aforementioned frequency interval (3 × 103 Hz < f < 1 × 105 Hz), for which a progressive decrease in μre is manifested for increasing f up to a threshold frequency known as “hysteresis relaxation frequency” fxh. Beyond this fxh, the irreversible displacement of DWs becomes unable to follow the exciting hac field, allowing the reversible bulging to be the active magnetization process because of its shorter time constant. Complementarily, the imaginary component μim (f ) exhibits a behavior consistent with the sequence of magnetization mechanisms described already, showing one maximum for each process, i.e., irreversible displacement of DWs at fxh and reversible bulging of DWs at fx, respectively. For this case fxh = 8 × 103 Hz and fx = 8 × 105 Hz. The marked order of magnitude between both threshold frequencies (fxh << fx) reflects the significant difference between the time constant for each magnetization mechanism (much larger for the hysteresis process compared with the reversible bulging of DWs). In addition, the magnetic losses (proportional to the area under the μim curve) are also comparatively larger for the irreversible displacement of DWs than for the reversible bulging, due to the higher energy cost for the hysteresis process relative to the reversible deformation of the DWs.
Figure 2.
Spectroscopic plots of the complex permeability components for amorphous Fe80B10Si10 ribbon at hac = 1.69 A/m.
Figure 2.
Spectroscopic plots of the complex permeability components for amorphous Fe80B10Si10 ribbon at hac = 1.69 A/m.

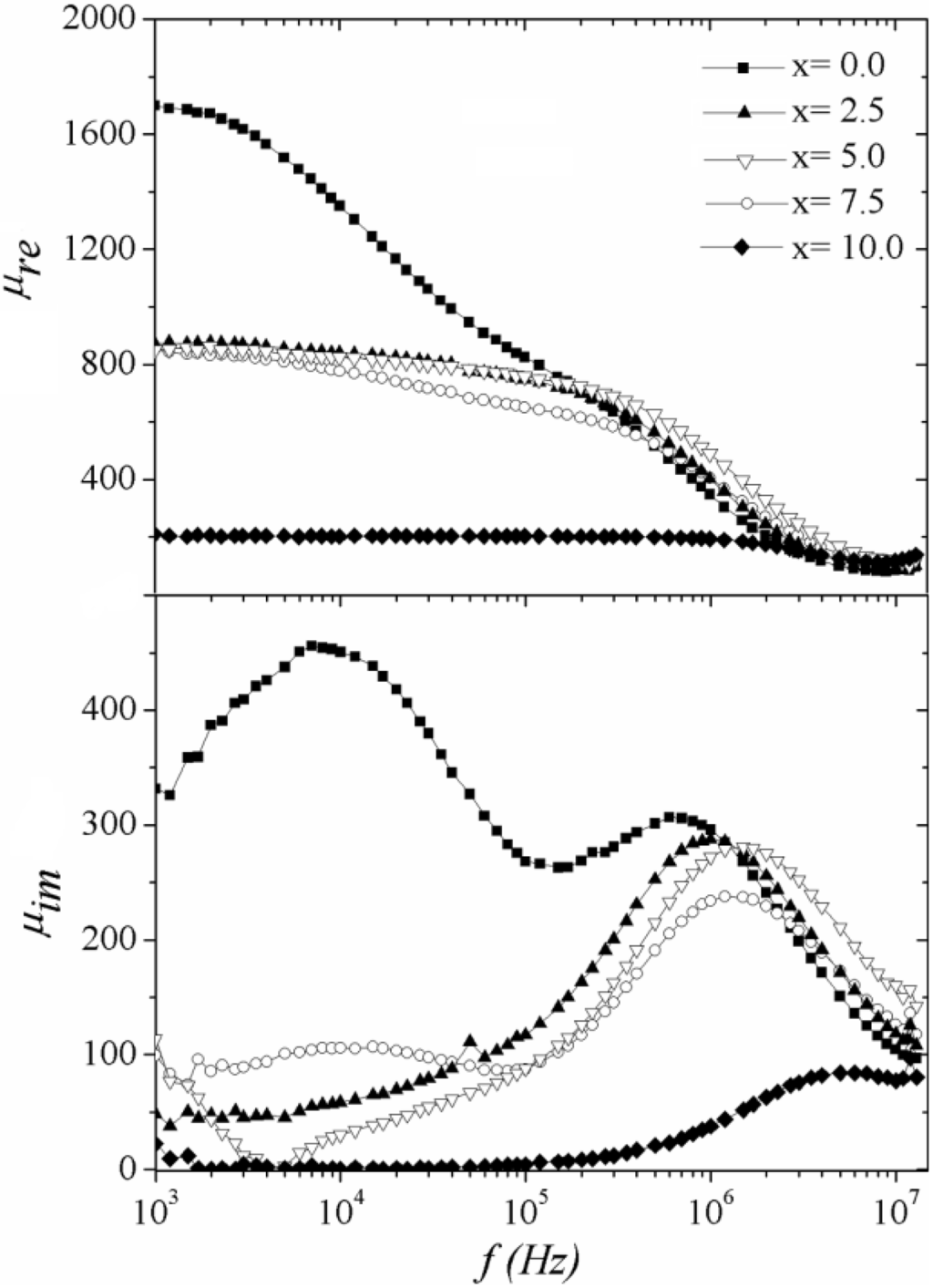
The magnetic permeability and thus, the magnetization processes, are highly sensitive to the chemical composition of the alloy ribbons because of the possible effect on the short-range atomic ordering introduced by variable atom species, which may affect the exchange interaction between magnetic moments as well as the formation of spin-up/spin down bands [27,28,29]. In Figure 3, the real permeability spectroscopic plots (Figure 3a) for melt spun Fe80B10Si10-xGex (x = 0.0–10.0) ribbons shows an initial behavior (x = 0.0) including irreversible DWs displacement for f < 1 × 105 Hz and its further reversible bulging response for higher frequencies. Nevertheless, for increasing Ge concentration (x ≥ 2.5) the low time constant processes (i.e., hysteresis) disappears, leaving the reversible bulging of DWs as the only active mechanism, for which a progressive deleterious tendency is observed with increasing Ge content. Complementarily, the imaginary component μim(f) (Figure 3b) also exhibits a transition from a double-peak behavior corresponding to two magnetization processes, to a single maximum regime associated to the magnetization mechanism with higher time constant. Additionally, it is possible to observe that the relaxation frequency fx increases in a monotonous manner with increasing x, as indicated by the maxima in μim(f) plots moving to higher frequency values. These results point to a significant compositional influence on the time constant response of amorphous alloys via the effective magnetic anisotropy, which has been observed also in amorphous wires [30] and soft ferrites [31].
Figure 3.
Spectroscopic plots of the complex permeability components for the amorphous ribbon Fe80B10Si10-xGex series at hac = 1.69 A/m.
Figure 3.
Spectroscopic plots of the complex permeability components for the amorphous ribbon Fe80B10Si10-xGex series at hac = 1.69 A/m.

As was mentioned in the “Introduction” section, the magnetoelastic coupling between the residual stresses and the alloy magnetostriction λs plays a major role in determining the magnetic domain configuration of ribbons and wires and, hence, of their magnetic properties. In order to monitor the magnetoelastic coupling for the ribbon series Fe52−xCo10+xNb8B30 (x = 0, 12, 24, 36), μre plots as a function of an applied magnetic dc field Hdc and under the effect of variable longitudinal applied tension stress σ at a constant frequency f = 13 MHz were determined for each composition. Figure 4 illustrates μre (Hdc)-σ curves for the Fe52Co10Nb8B30 alloy (x = 0), for which at σ = 0, μre initially increases for Hdc values between 0 and 800 A/m, followed by a monotonous decrease for Hdc > 800 A/m. This behavior is symmetrical for negative Hdc. For increasing σ, this original two-peak behavior progressively evolves to a reduced single-maximum μre (Hdc) picture. Same tendencies were observed for the remaining alloy samples, except for the x = 36 alloy, which showed negligible magnetic permeability values as a consequence of its vanishing λs constant.
Figure 4.
μre(Hdc) curves under the effect of variable tension stress σ for the Fe52Co10Nb8B30 ribbon.
Figure 4.
μre(Hdc) curves under the effect of variable tension stress σ for the Fe52Co10Nb8B30 ribbon.

The physical meaning of these μre (Hdc) -σ plots can be explained as follows: At the frequency of measurement (f = 13 MHz >> fx), the spin rotation remains as the only active magnetization mechanism and thus, the real component of permeability corresponds to the rotational permeability μrerot. For the stress-free curve, the initial increase of μrerot up to Hdc = 800 A/m can be ascribed to an additional component (axially oriented) of μrerot exerted by Hdc. The maximum in μrerot is a consequence of a counterbalancing effect in the rotational magnetization process between the axial Hdc and the anisotropy field Hk in the transverse direction induced during the ribbon fabrication. Thus, the maximum in μrerot (Hdc) corresponds to Hk [32,33]. For Hdc beyond 800A/m, the rotational permeability decreases since the magnetic spins are mostly axially oriented after having overcome the original anisotropy. On the other hand, for the μrerot (Hdc) curves with increasing σ (up to 16.6 MPa), a shifting of Hk towards lower values is observed as a consequence of a progressively higher induced axial anisotropy, allowed by the increment of σ, which counterbalance the original transverse anisotropy and thus, the as-cast transverse magnetoelastic coupling. For σ = 25.0 MPa, the alloy transverse anisotropy is averaged out, which results in a single-peak regime with reduced μrerot as a consequence of the predominant axial anisotropy induced by σ. This behavior is indicative of a positive λs. The dependence of Hk on σ for alloy ribbons with x ≤ 36 is displayed in Figure 5, for which the following linear trends are manifested (after appropriate linear fittings): Hk = 576 [A/m] –27.3 × 10−6 [A/(mPa)] σ x = 0; Hk = 628 [A/m] –10.3 × 10−6 [A/(mPa)] σ, x = 12; and Hk = 387 [A/m] –17.7 × 10−6 [A/(mPa)] σ, x = 24.
Figure 5.
Anisotropy field Hk as a function of applied stress σ for the Fe52−xCo10+xNb8B30 alloy series. The straight lines correspond to linear fittings with at least R2 = 0.99.
Figure 5.
Anisotropy field Hk as a function of applied stress σ for the Fe52−xCo10+xNb8B30 alloy series. The straight lines correspond to linear fittings with at least R2 = 0.99.

From the functional relations stated above, it is possible to estimate the λs constant for each alloy according to the following relationship [33,34]:
where μ0Ms is the saturation magnetization and ΔHz corresponds to the variations of the transverse field Hz necessary to compensate the magnetoelastic contribution induced by σ. This equation is proposed for positive and negative λs values [33,34]. For present measurements, the compensating ΔHz field corresponds to Hk straightforward. Therefore, Equation (3) becomes:
Taking μo = 12.56 × 10−7 H/m and the following μ0Ms values determined from M-H measurements in a VSM system: 1.24 T (x = 0), 1.09 T (x = 12), 0.86 T (x = 24), in addition to Hk/Δσ as the slopes of the Hk(σ) plots (Figure 5), we found a decreasing λs tendency with increasing Co concentration as follows: λs = 10.7 ppm (x = 0), λs = 3.6 ppm (x = 12) and λs = 3.0 ppm (x = 24).
2.2. Amorphous Wires
An alternative representation of the spectroscopic μre (f), μim (f) plots (or alternatively Lre (f), Lim (f) plots) is the so-called Cole-Cole diagram in which both components are plotted simultaneously in the complex plane, with the frequency f being now an implicit variable (the corresponding f for each data point increases from right to left in the plot) as is shown in Figure 6 for an amorphous wire of composition (Co94Fe6)72.5B15Si12.5 (120 μm diameter). For this representation, the formation of well defined semicircles is associated with a magnetization process [23]. In the case of Figure 6, a single semicircle, somehow distorted, reveals the reversible bulging of DWs within the wire as the active mechanism for the frequency range of measurements (10 Hz–13 MHz). The dispersion of the process for the Cole-Cole representation occurs at the middle point onto the semicircle. For this case, fx = 88.5 kHz. The distortion of the semicircle reflects a distribution of time constants within the wire, i.e., variations of the DWs pinning distance. For a homogenous DWs pinning distance, a perfect circular curvature is expected to occur in the Cole-Cole plane [23].
Figure 6.
Cole-Cole representation for the complex inductance formalism of (Co0.94Fe0.6)72.5B15Si12.5 amorphous wire.
Figure 6.
Cole-Cole representation for the complex inductance formalism of (Co0.94Fe0.6)72.5B15Si12.5 amorphous wire.

A more physical insight into the magnetization processes involved in InS measurements can be attained by means of direct calculation of the circular magnetization Mφ of amorphous wires, which is afforded by the circular magnetic domains characteristic of these alloys. The Mφ determination is described as follows:
The magnetic permeability calculation of Equation (2) corresponds to circular permeability μφ in amorphous wires, since the applied magnetic field hac is also of circumferential character as described in the “Experimental Techniques” section. Once μφ is known, the wire´s circular induction Bφ can be worked out from the permeability definition:
and from the general equation
with μo the vacuum’s permeability.
μφ = Bφ/hac
Bφ = μo (Mφ + hac)
The calculation of the circular magnetization μoMφ is straightforward according to:
μoMφ = hac (kLr − μo)
Therefore, circular magnetization plots μoMφ (hac) can be calculated for various hac amplitudes at fixed frequencies f of hac, as is shown in Figure 7, for an amorphous (Co94Fe6)72.5B15Si12.5 wire with vanishing λs. At low frequency (i.e., f << fx ), a typical domain wall magnetization process is observed at the linear initial Mφ-hac behavior, corresponding to reversible pinned domain wall bulging, followed by a sudden increase in μoMφ at a particular hac field value known as the propagation field hp for which the irreversible wall displacement begins. Further increase in hac amplitude should exhibit a μoMφ trend to saturation, where the spin rotation will complete the magnetic moment alignment towards hac orientation. On the other hand, for f >> fx, the linear character of the magnetization curve across the hac amplitude variation, clearly reflects the spin rotation as the only magnetization mechanism remaining active at such a frequency.
Figure 7.
Circular magnetization plots Mφ (hac) for (Co0.94Fe0.6)72.5B15Si12.5 amorphous wire.
Figure 7.
Circular magnetization plots Mφ (hac) for (Co0.94Fe0.6)72.5B15Si12.5 amorphous wire.

An interesting set of measurements aiming to determine the effect of torsion strain ζ on the wire´s circular magnetization at low frequency (f = 1 kHz) is shown in Figure 8. For positive ζ (clockwise rotation, Figure 8a), μoMφ versus hac, increases with the torsion angle up to a maximum of 120°. Further increase in ζ results in decreasing μoMφ. Counterclockwise rotations (−ζ, Figure 8b), on the other hand, resulted in decreasing μoMφ as ζ increases.
Figure 8.
Mφ (hac) plots for (Co0.94Fe0.6)72.5B15Si12.5 amorphous wire at variable positive and negative torsion angles.
Figure 8.
Mφ (hac) plots for (Co0.94Fe0.6)72.5B15Si12.5 amorphous wire at variable positive and negative torsion angles.

In addition, hp (calculated at the inflexion point of each μoMφ(hac) plot), exhibits a sharp minimum (Figure 9) at the same torsion angle. This particular μoMφ, hp behavior with varying torsion angles can be interpreted in terms of an intrinsic helical anisotropy induced during the fabrication process, which results in internal stresses τ, of about 60 MPa, according to theoretical predictions based on cylindrical layer solidification models [35,36]. Then, as +ζ increases, a counterbalance effect of this +ζ against the internal stress is evident, since the wire becomes magnetically softer, which affords higher μoMφ values (due to higher μφ) together with lower hp values, as a consequence of an enhancement of the unpinning-displacement domain wall process. In contrast, for negative torsion angles, progressive increase in induced anisotropy due to −ζ results in decreasing μφ and, hence, in lower μoMφ values, is in agreement with recent reports [37]. The corresponding applied torsion stress τappl, for a torsion angle of 120°, can be calculated as follows:
where K is the wire’s shear modulus, ζ = (torsion angle)/(wire length) is the torsion strain and r is the wire radius. Using K = 60 GPa [38], we have τappl = 83 MPa, which is in good agreement with the expected internal τ induced during the wire fabrication (between 50 and 100 MPa [39]). Similar τappl for enhanced μφ at various ζ values has also been found in Fe-based wires [40].
τ = Kζr
Figure 9.
Propagation field hp as a function of the torsion angle for amorphous (Co0.94Fe0.6)72.5B15Si12.5 wire.
Figure 9.
Propagation field hp as a function of the torsion angle for amorphous (Co0.94Fe0.6)72.5B15Si12.5 wire.

2.3. Amorphous Glass Coated Microwires
Spectroscopic plots of μre (f ) for amorphous Co69.7Fe3.8B13Si11Mo1.5Ni1 glass coated microwires (24 μm diameter, 10μm glass coating) at selected amplitudes of hac, are shown in Figure 10. At low fields (hac < 127 A/m) and low frequencies (<1 MHz), μre exhibits the same constant trend even for different hac amplitudes, followed by its corresponding dispersion. The relaxation frequency fx again represents the frequency for which the initial magnetization mechanism is no longer active. This fx can be determined at the corresponding μim maximum (Figure 11). For the present case, fx = 2.5 MHz. This fx value is much higher than the typical fx values of amorphous wires with larger diameters values (of about 100–140 μm) with characteristic fx ~ 90 kHz. The substantial increase of fx for amorphous glass coated microwires is a consequence of their reduced diameter, since the DWs lengths are smaller than those in larger amorphous wires, and therefore, the expected relaxation occurs at higher frequencies. For hac > 127 A/m, μre is no longer independent of hac amplitude (at f < fx). For f > fx, all the plots converge into the low field plot exhibiting the same relaxation dispersion. Assuming a domain structure consisting of circumferential walls for these Co-based microwires, the magnetization process for hac < 127 A/m is associated with reversible bulging of domain walls since these DWs are considered to be pinned to surface defects.
Figure 10.
Spectroscopic plots μre (f) for glass coated Co69.7Fe3.8B13Si11Mo1.5Ni1 microwire with hac amplitude as a parameter.
Figure 10.
Spectroscopic plots μre (f) for glass coated Co69.7Fe3.8B13Si11Mo1.5Ni1 microwire with hac amplitude as a parameter.

The frequency response of μim for various hac amplitudes is shown in Figure 11. For hac < 127 A/m, a single peak is observed, which is ascribed to the energy dissipated during the reversible domain wall bulging process, whereas for increasing hac such peak remains, but the additional low-frequency peak corresponding to the hysteretic mechanism appears. The height of hysteretic peak increases as hac increases, because the higher the field, the easier DWs displacement, for which larger energy dissipation occurs (compared with domain bulging) leading to the observed higher peaks for increasing hac fields.
Figure 11.
Spectroscopic plots μim (f) for glass coated Co69.7Fe3.8B13Si11Mo1.5Ni1 microwire at various hac field values.
Figure 11.
Spectroscopic plots μim (f) for glass coated Co69.7Fe3.8B13Si11Mo1.5Ni1 microwire at various hac field values.

Circular magnetization curves Mφ (hac) at two selected frequencies are shown in Figure 12. The low frequency (f = 20 kHz) curve exhibits the expected features of domain wall magnetization, such as a rather low initial susceptibility (for hac below 100 A/m) followed by a marked increase in slope at about hac = 100 A/m, together with a trend to saturation above 200 A/m. In contrast, the curve obtained at 10 MHz (high frequency) shows a linear tendency in agreement with a pure rotational magnetization process.
Figure 12.
Circular magnetization curves for glass coated Co69.7Fe3.8B13Si11Mo1.5Ni1 microwire at low (f << fx) and high (f >> fx) frequency values.
Figure 12.
Circular magnetization curves for glass coated Co69.7Fe3.8B13Si11Mo1.5Ni1 microwire at low (f << fx) and high (f >> fx) frequency values.

The Cole-Cole representation for the reversible bulging of DWs and the hysteresis process for the same glass coated Co69.7Fe3.8B13Si11Mo1.5Ni1 microwire is depicted in Figure 13 for two distinct hac amplitudes of 42 A/m and 212 A/m. A well defined semicircle formation (each point obtained at a different frequency) is observed for hac = 42 A/m with a diameter of 7.5 μH associated to the former magnetization mechanism, whilst for hac = 212 A/m, two half-circles of different diameter are evident, the larger one being of 15 μH diameter and for which the irreversible displacement of DWs is attributed.
Figure 13.
Cole-Cole plots at different hac amplitudes for glass coated Co69.7Fe3.8B13Si11Mo1.5Ni1 microwire.
Figure 13.
Cole-Cole plots at different hac amplitudes for glass coated Co69.7Fe3.8B13Si11Mo1.5Ni1 microwire.

2.4. Biphase Wires
Recently, amorphous glass coated microwires have elicited considerable interest for the development of biphase microwires consisting of an amorphous soft magnetic metallic nucleus (obtained by Taylor-Ulitovsky technique) surrounded by a hard magnetic layer deposited by electrochemical process on the glass layer [41]. This hard magnetic layer affords the control of the biphase microwires magnetic properties by means of its magnetic interaction with the soft magnetic nucleus through: (i) the modification of the amorphous wire easy axis of magnetization from radial to longitudinal orientation depending on the hard layer thickness, (i.e., on the electrochemical deposition parameters, namely current density and electrochemical exposure time); (ii) the possibility for obtaining controllable magnetostatic or eventually exchange bias response (similar to the bias effect used in spin valves); and (iii) the tailoring of their magnetic domain formation and thus, their magnetic performance from non-hysteretic to bistable behavior [42]. However, biphase systems entailing an amorphous wire nucleus (obtained by rotating water bath melt spinning method) have not yet been explored at all. The spectroscopy response for real and imaginary components of complex permeability for biphase wires composed of an amorphous wire nucleus of composition Fe64Co8B19.2Si4.8Ta4 (140 μm diameter) and electrodeposited Co90Ni10 magnetic hard layers with variable thickness t of 1.5 μm, 3 μm and 6 μm (attained by carefully control of exposure time to the electrodeposition process) is shown in Figure 14. For the μre(f ) plot of t = 0 μm (Figure 14a), the reversible bulging of the magnetic DWs is manifested for increasing frequency f values up to 103 Hz. This part of the real permeability curve corresponds to the initial permeability μini of the soft magnetic amorphous wire core. Further increase in f leads to relaxation of the reversible bulging mechanism at f = 9 kHz , leaving the spin rotation as the only magnetization process active for f > fx. The hard layer thickness significantly affects the low-field reversible magnetization process of the soft core since μini decreases from 16,738 (t = 0) to 3,205 (t = 6 μm). This marked reduction for μini can be attributed to the increasing out-of-axis anisotropy, developed by the biphase wires with increasing hard layer thickness, as a consequence of the accumulation of mechanical stress appearing at the amorphous-wire/CoNi-layer interface, for which the thicker the layer, the higher the internal stress accumulated.
Alternatively , the imaginary μim component (Figure 14b) is associated with the magnetic losses (hysteresis, eddy current or power losses) [25]. Consequently, the presence of the external hard layer significantly reduces the losses. The maximum in μim is observed at frequency fx for each biphase wire. The fx exhibits an increasing tendency (Figure 14b) from 9 kHz (t = 0 μm) to 27 kHz (t = 6 μm) and follows an inverse tendency with t, which confirms the influence of the variable anisotropy on the spin rotation mechanism active for f > fx, for which the product μrefx = constant is known as the Snoek’s limit [26].
Figure 14.
Real and imaginary permeability spectra for biphase wires with hard layer thickness t (microns) as a parameter.
Figure 14.
Real and imaginary permeability spectra for biphase wires with hard layer thickness t (microns) as a parameter.

3. Experimental Section
Melt spun ribbons with compositions Fe80B10Si10−xGex and Fe52−xCo10+xNb8B30 were prepared by means of chill block melt spinning technique with a roll speed of 35 m/s, from initial ingots obtained from arc-melting of pure (99.99%) constituent elements in a Ti-gettered, protective Ar atmosphere. On the other hand, as-cast amorphous (Co0.94Fe0.6)72.5B15Si12.5 wires of 120 μm diameter were prepared by the rotating water bath melt spinning method by using a water depth of 19 mm and an angular drum velocity of 370 rpm. Additionally, amorphous glass coated microwires, 25 μm metallic diameter and 10 μm glass coating of nominal composition Co69.7Fe3.8B13Si11Mo1.5Ni1 were prepared by the Taylor-Ulitovsky technique.
For impedance measurements, an HP 4192 A impedance analyzer controlled by a PC was used. Our measuring system allows the determination of the complex impedance for 94 discrete frequencies from 10 Hz to 13 MHz together with the rms voltage varying between 0.1 and 1.0 V, which leads to longitudinal ac applied magnetic fields hac within the range 0.40–3 A/m on amorphous ribbons by means of a coil with 100 turns; whereas for amorphous wires and microwires, the rms voltage applied directly on the wire ends afforded ac currents iac flowing through the sample within the range 2–22 mA (rms) which, in turn, produce circular hac fields within the range 10–240 A/m.
4. Conclusions
Inductance spectroscopy has been employed as a powerful tool for characterization of the magnetization dynamics in amorphous ribbons and wires, by means of the resolution of the magnetization mechanism within the materials, in terms of reversible deformation of pinned domain walls, domain wall displacements and spin rotation, for which characteristic parameters, such as the alloy initial permeability and the relaxation frequencies, indicating the dispersion of each process, can be established. In the case of amorphous ribbons, the reversible bulging of DWs and its further displacement was observed as being dependent on the intensity of the ac applied field, together with a clear dependence of both the magnetic permeability and the relaxation frequency with the chemical composition in FeBSiGe alloys. Further, combined experiments with magnetic dc fields and tensile stress, afforded the estimation of the magnetostriction constant in FeCoNbB ribbons. On the other hand, for amorphous wires of 120 microns diameter, the calculation of their circular magnetization curves also reflect the frequency dependency of the magnetization mechanisms identified, as well as the effect of induced anisotropies (by means of torsion stress). In addition, amorphous microwires exhibited similar features for their magnetization mechanism resolution, with distinctive higher relaxation frequencies (compared with amorphous wires) for both reversible bulging of DWs and their displacement, because of the reduced diameters characterizing these alloys obtained by means of the Taylor-Ulitovsky method. Finally, the typical inverse correlation between the alloy´s initial permeability and its frequency relaxation was verified for biphase wires, for which the variable hard coating thickness also influences the magnetic response.
Acknowledgements
The author is grateful with M.Vazquez (Materials Science Institute, CSIC, Madrid, Spain) for his kindly supply of microwires and biphase samples.
References
- Hasegawa, R. Present status of amorphous soft magnetic alloys. J. Magn. Magn. Mater 2000, 215/216, 240–245. [Google Scholar] [CrossRef]
- Gavrila, H.; Ionita, V. Crystalline and amorphous soft magnetic materials and their applications status of art and challenges. J. Optoelectronic Adv. Mater. 2002, 4, 173–192. [Google Scholar]
- Kavesh, S. Metallic Glasses; The American Society for Metals: Ohio, OH, USA, 1978; p. 36. [Google Scholar]
- Masumoto, T.; Ohnaka, I.; Inoue, A.; Hadiwara, M. Production of Pd-Cu-Si amorphous wires by melt spinning method using rotating water. Scripta Metall. 1981, 15, 293–298. [Google Scholar] [CrossRef]
- Vazquez, M. Soft magnetic wires. Physica B 2001, 299, 302–313. [Google Scholar] [CrossRef]
- Macdonald, R. Impedance Spectroscopy; Wiley&Sons: New York, NY, USA, 1987. [Google Scholar]
- Valenzuela, R. Impedance spectroscopy in ferromagnetic materials. Mat. Res. Soc. Symp. Proc. 2002, 699, 127–133. [Google Scholar]
- Irvine, J.T.S.; Amano, E.; Huanosta, A.; Valenzuela, R.; West, A.R. Characterisation of magnetic materials by impedance spectroscopy. Sol. State Ionics 1990, 40/41, 220–223. [Google Scholar] [CrossRef]
- Amano, E.; Valenzuela, R.; Irvine, J.T.S.; West, A.R. Domain wall relaxation in amorphous ribbons. J. Appl. Phys. 1990, 67, 5589–5591. [Google Scholar] [CrossRef]
- Quintana, P.; Amano, E.; Echavarrieta, C.; Valenzuela, R.; González, J.; Murillo, N.; Blanco, J.M. Effect of tensile stress on the domain wall dynamics of co-based amorphous ferromagnetic wires. J. Magn. Magn. Mater. 1995, 140-144, 1903–1904. [Google Scholar]
- Montiel, H.; Alvarez, G.; Gutiérrez, M.P.; Zamorano, R.; Valenzuela, R. The effect of metal-to-glass ratio on the low field microwave absorption at 9.4 ghz of glass coated cofebsi microwires. IEEE Trans. Magn. 2006, 42, 3380–3382. [Google Scholar] [CrossRef]
- Sanchez, M.L.; Valenzuela, R.; Vazquez, M.; Hernando, A. Circumferential permeability in non-magnetostrictive amorphous wires. J. Mater. Res. 1996, 11, 2486–2489. [Google Scholar] [CrossRef]
- Kronmüller, H.; Fernengel, W. The role of internal stresses in amorphous ferromagnetic alloys. Phys. Stat. Sol. A 1981, 64, 593–602. [Google Scholar] [CrossRef]
- Vazquez, M.; Fernengel, W.; Kronmüller, H. The effect of tensile stresses on the magnetic properties of Co58Fe5Ni10Si11B16 amorphous alloys. Phys.Stat. Sol. A 1983, 80, 195–204. [Google Scholar] [CrossRef]
- Appino, C.; Fiorillo, F.; Maraner, A. Initial susceptibility vs. applied stress in amorphous alloys with positive and negative magnetostriction. IEEE Trans. Magn. 1993, 29, 3469–3471. [Google Scholar] [CrossRef]
- Schäfer, R. Domains in “Extremely” soft magnetic materials. J. Magn. Magn. Mater. 2000, 215-216, 652–663. [Google Scholar] [CrossRef]
- Zhukov, A.P.; Vázquez, M.; Velázquez, J.; Chiriac, H.; Larin, V. The remagnetization process in thin and ultra-thin Fe-rich amorphous wires. J. Magn. Magn. Mater. 1995, 151, 132–138. [Google Scholar] [CrossRef]
- Hernando, A.; Marín, P. Magnetic microwires: Manufacture, properties and applications. In Concise Encyclopedia of Magnetic and Superconducting Materials, 2nd ed.; Buschow, K.H.J., Ed.; Elsevier: Amsterdam, The Netherlands, 2005; p. 511. [Google Scholar]
- Chiriac, H.; Óvári, T.A.; Pop, G. Internal stress distribution in glass-covered amorphous magnetic wires. Phys. Rev.B 1995, 52, 10104–10113. [Google Scholar] [CrossRef]
- Velázquez, J.; Vázquez, M.; Zhukov, A.P. Magnetoelastic anisotropy distribution in glass-coated microwires. J. Mater. Res. 1996, 11, 2499–2505. [Google Scholar] [CrossRef]
- Vazquez, M. Advanced magnetic microwires. In Handbook of Magnetism and Advanced Magnetic Materials; Kronmüller, H., Parking, S., Eds.; Wiley: Chichester, UK, 2007; p. 2193. [Google Scholar]
- Valenzuela, R. Low-frequency magnetoimpedance: Domain wall magnetization processes. Physica B 2001, 299, 280–285. [Google Scholar] [CrossRef]
- Valenzuela, R.; Montiel, H.; Gutiérrez, M.P.; Betancourt, I. Characterization of soft ferromagnetic materials by inductance spectroscopy and magnetoimpedance. J. Magn. Magn. Mater. 2005, 294, 239–244. [Google Scholar] [CrossRef]
- Valenzuela, R. Giant magnetoimpedance and inductance spectroscopy. J. Alloys Compounds 2004, 369, 40–42. [Google Scholar] [CrossRef]
- Chen, D.X.; Muñoz, J.L. AC impedance and circular permeability of slab and cylinder. IEEE Trans. Magn. 1999, 35, 1906–1923. [Google Scholar] [CrossRef]
- Chikazumi, S. Physics of Magnetism; Robert, E., Ed.; Krieger Pub Co: New York, NY, USA, 1978. [Google Scholar]
- McHenry, M.E.; Willard, M.A.; Laughlin, D.E. Amorphous and nanocrystalline materials for applications as soft magnets. Prog. Mater. Sci. 1999, 44, 291–433. [Google Scholar] [CrossRef]
- Fdez-Gubieda, M.L.; García-Arribas, A.; Barandiarán, J.M.; López Antón, R.; Orue, I.; Gorria, P.; Pizzini, S.; Fontaine, A. Local structure and ferromagnetic character of Fe-B and Fe-B-Si amorphous alloys. Phys. Rev. B 2000, 62, 5746–5752. [Google Scholar] [CrossRef]
- Barandiarán, J.M.; Gorria, P.; Orúe, I.; Fdez-Gubieda, M.L.; Plazaola, F.; Hernando, A. Tensile stress dependence of the curie temperature and hyperfine field in Fe-Zr-B-(Cu) amorphous alloys. Phys. Rev. B 1996, 54, 3026–3029. [Google Scholar] [CrossRef]
- García, K.L.; Valenzuela, R. The effects of the axial DC field on magnetoimpedance: Circumferential domain wall damping. IEEE Trans. Magn. 1998, 34, 1162–1164. [Google Scholar] [CrossRef]
- Valenzuela, R.; Irvine, J.T.S. Domain wall relaxation frequency and magnetocrystalline anisotropy constant in Ni-Zn ferrites. J. Magn. Magn. Mater. 1996, 160, 386–387. [Google Scholar] [CrossRef]
- Panina, L.V.; Mohri, K.; Uchiyama, T.; Noda, M. Giant magnetoimpedance in co-rich amorphous wires and films. IEEE Trans. Magn. 2002, 31, 1249–1260. [Google Scholar] [CrossRef]
- Knobel, M.; Vazquez, M.; Kraus, L.; Magneotimpedance, G. Handbook of Magnetic Materials; Buschow, K.H.J., Ed.; Elsevier North-Holland: Amsterdam, The Netherlands, 2003; Volume 15, p. 497. [Google Scholar]
- Hernando, A.; Vazquez, M.; Madurga, V.; Kronmüller, H. Modification of the saturation magnetostriction constant after thermal treatments for the Co58Fe5Ni10B16Si11 amorphous ribbons. J. Magn. Magn. Mater. 1983, 37, 161–166. [Google Scholar] [CrossRef]
- Madurga, V.; Hernando, A. Radial stress distribution generated during rapid solidification of amorphous wires. J. Phys. Cond. Mater. 1990, 2, 2127. [Google Scholar] [CrossRef]
- Tannous, C.; Gieraltowski, J.; Valenzuela, R. Helical anisotropy and magnetoimpedance of CoFeSiB wires under torsional stress. J. Magn. Magn. Mater. 2007, 308, 273–277. [Google Scholar] [CrossRef]
- Garcia, K.L.; Garcia-Beneytez, J.M.; Valenzuela, R.; Zhukov, A.; Gonzalez, J.; Vazquez, M. Effects of torsion on the magnetoimpedance response of CoFeBSi amorphous wires. J. Magn. Magn. Mater. 2001, 226/230, 721–723. [Google Scholar] [CrossRef]
- Chubykalo, O.A.; Gonzalez, J.; Gonzalez, J.M. Saturation magnetostriction dependence on torsion in amorphous wires measured by modified small angle magnetization rotation method. J. Magn. Magn. Mater. 1997, 169, 169–177. [Google Scholar] [CrossRef]
- Liu, J.; Malmhall, R.; Arnberg, L.; Savage, S.J. Theoretical analysis of residual stress effects on the magnetostrictive properties of amorphous wires. J. Appl. Phys. 1990, 67, 4238–4240. [Google Scholar] [CrossRef]
- Kim, C.G.; Yoon, S.S.; Vazquez, M. Evaluation of helical magnetoelastic anisotropy in fe-based amorphous wire from the decomposed susceptibility spectra. J. Magn. Magn. Mater. 2001, 223, 199–202. [Google Scholar] [CrossRef]
- Pirota, K.R.; Provencio, M.; Garcia, K.L.; Escobar-Galindo, R.P.; Zelis, M.; Hernández-Vélez, M.; Vazquez, M. Bi-magnetic wires: A novel family of materials with controlled magnetic behavior. J. Magn. Magn. Mater. 2005, 68, 290–291. [Google Scholar]
- Vázquez, M.; Castaño, F.; Ovari, T.A.; Raposo, V.; Hernando, A. New viscosimeter based on the AC field induced rotation of magnetostrictive amorphous wires. Sensor. Actuator. A—Phys. 2001, 91, 112–115. [Google Scholar] [CrossRef]
© 2010 by the authors. Licensee MDPI, Basel, Switzerland. This article is an open access article distributed under the terms and conditions of the Creative Commons Attribution license ( http://creativecommons.org/licenses/by/3.0/).