Achieving Superlubricity: Development of Multilayer Co-Doped DLC Coatings and Tribological Evaluation with Eco-Friendly Base Oil and Low-SAPS Oil Formulations
Highlights
- Novel Co-doped DLC coatings were developed having nanoscale multilayer microstructures by DCMS.
- A simple method to control the substrate holder's RPM was devised for multilayer coatings.
- Adhesion increased 1.8-fold and elastic recovery 1.04-fold in doped multilayer coatings compared to undoped DLC.
- COF significantly reduced in multilayer coatings with ‘octyl dihydrogen phosphate’ oil formulation, achieving superlubricity at 0.006.
- Wear rates of multilayer coatings became negligible with ‘C12-14 alkyl amine iso-octyl phosphate’ oil, unlike undoped DLC and steel.
Abstract
1. Introduction
2. Materials and Methods
3. Results and Discussion
3.1. Morphological, Chemical, and Structural Analysis
3.2. Mechanical Properties
3.3. Tribological Analysis
4. Conclusions
- Multilayer Co-DLC/DLC coatings with cobalt concentrations of 4.1, 6.9, and 8.7% were successfully developed using non-reactive direct current magnetron sputtering (DCMS).
- The multilayer structure was achieved by controlling the angular speed of the substrate holder during deposition, with 1 rpm used for the deposition of multilayer Co-doped DLC coatings.
- All coatings exhibited granular, cauliflower-like surface morphology and columnar cross-sectional morphology. The ‘carbon + chromium’ gradient interlayer had an average thickness of 0.33 µm, while the coatings measured an average thickness of 1.07 µm.
- X-ray diffraction and electron diffraction analyses confirmed that all coatings were amorphous.
- The multilayer microstructure was first calculated based on the deposition rates and later confirmed through transmission electron microscopy (TEM) coupled with energy dispersive spectroscopy (EDS). The calculated and measured values were in agreement, validating the methodology.
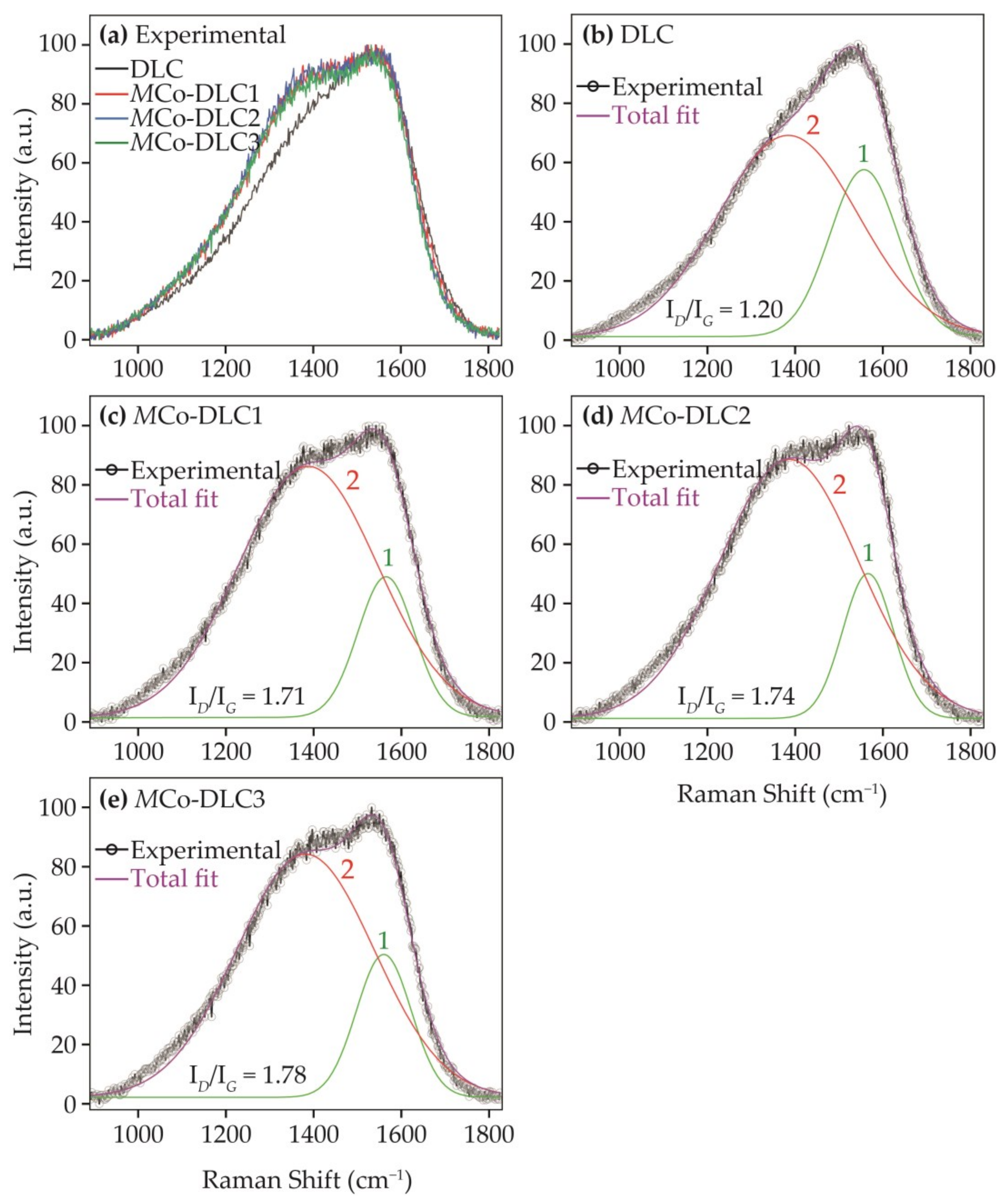
- The cobalt doping did not significantly affect the ID/IG ratios in any of the Co-doped DLC coatings.
- The addition of cobalt reduced hardness and the reduced modulus, but increased toughness (We).
- All coatings exhibited compressive residual stresses.
- Adhesion was significantly improved by cobalt doping, with the Co-DLC coating containing 8.7% cobalt showing the greatest improvement, 59% higher than undoped DLC.
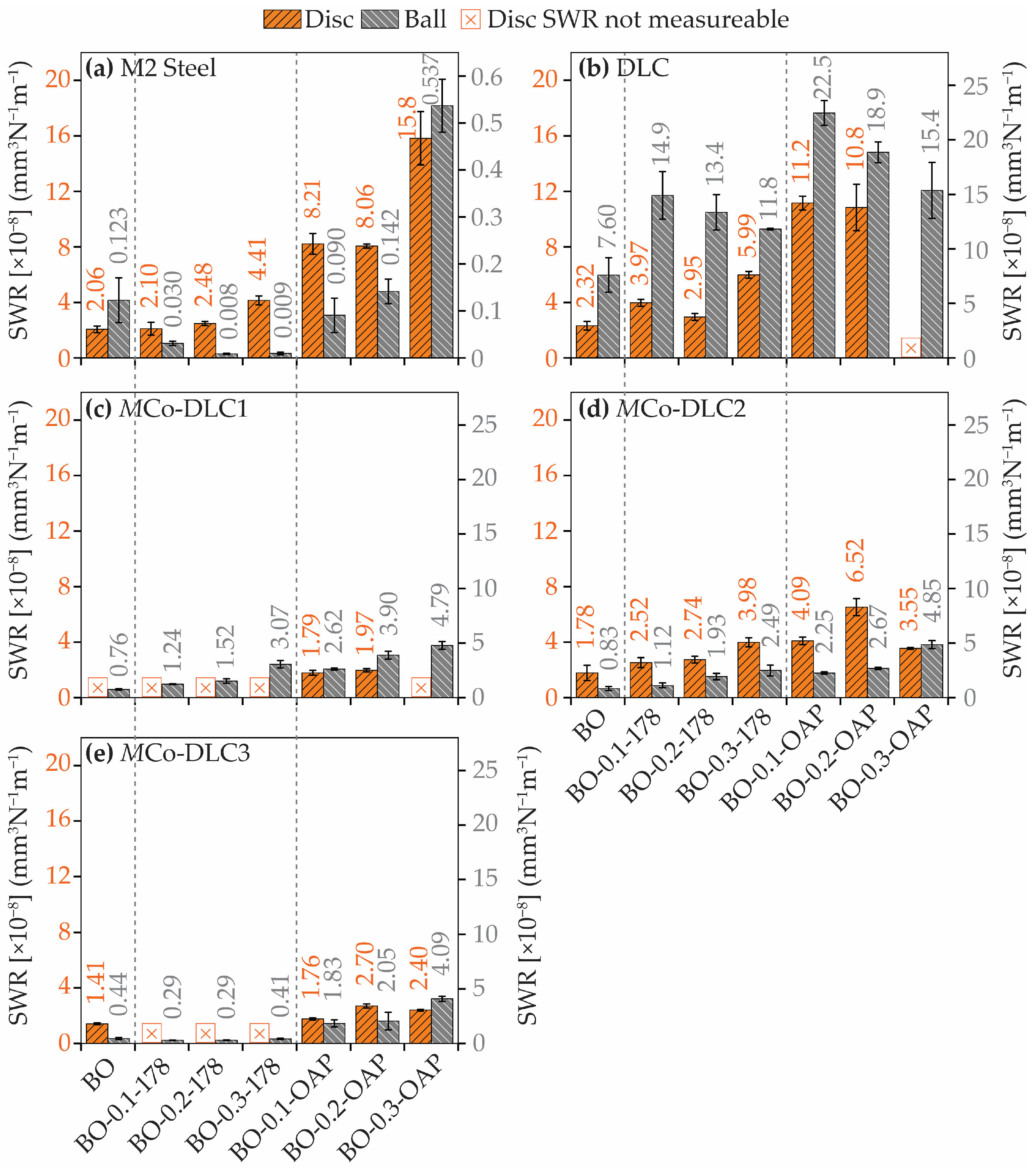
- Co-DLC coatings tested with BO-X-OAP oil formulations (PAO4 + C8H19PO4) achieved superlubricity, with COF values reaching as low as 0.006. The ID/IG ratios increased after the tribological tests, more significantly with ‘PAO4 + C8H19PO4’ than with BO-X-178 oil formulations (PAO4 + C19H42NPO4—C29H63NPO4).
- A reduction in wear was observed for the coatings when tested with BO-X-178 oil formulations (PAO4 + C19H42NPO4—C29H63NPO4).
Author Contributions
Funding
Institutional Review Board Statement
Informed Consent Statement
Data Availability Statement
Acknowledgments
Conflicts of Interest
References
- Zia, A.W.; Zhou, Z.; Li, L.K.-Y. Chapter 7—Structural, Mechanical, and Tribological Characteristics of Diamond-Like Carbon Coatings. In Nanomaterials-Based Coatings; Tri, P.N., Rtimi, S., Plamondon, C.M.O., Eds.; Micro and Nano Technologies; Elsevier: Amsterdam, The Netherlands, 2019; pp. 171–194. ISBN 978-0-12-815884-5. [Google Scholar]
- Ean, Y.C.; Jang, Y.-J.; Kim, J.-K.; Yun Hsien, W.L.; Siambun, N.J.; Kim, S.-S. Effect of substrate bias on the tribological behavior of ta-C coating prepared by filtered cathodic vacuum arc. Int. J. Precis. Eng. Manuf. 2017, 18, 779–784. [Google Scholar] [CrossRef]
- Bergmann, E.; Vogel, J. Tribological properties of metal/carbon coatings. J. Vac. Sci. Technol. A 1986, 4, 2867–2869. [Google Scholar] [CrossRef]
- Gudmundsson, J.T.; Lundin, D. 1—Introduction to Magnetron Sputtering. In High Power Impulse Magnetron Sputtering; Lundin, D., Minea, T., Gudmundsson, J.T., Eds.; Elsevier: Amsterdam, The Netherlands, 2020; pp. 1–48. ISBN 978-0-12-812454-3. [Google Scholar]
- Naseer, A.; Evaristo, M.; Oliveira, J.; Kalin, M.; Cavaleiro, A. A sustainable deposition method for diamond-like nanocomposite coatings—Insights into the evolution of atomic structure and properties. Surf. Coat. Technol. 2024, 489, 131082. [Google Scholar] [CrossRef]
- Kulikovsky, V.Y.; Fendrych, F.; Jastrabik, L.; Chvostova, D. Study of formation and some properties of Ti-C:H films prepared by D.C. magnetron sputtering. Surf. Coat. Technol. 1997, 91, 122–130. [Google Scholar] [CrossRef]
- Kulikovsky, V.Y.; Fendrych, F.; Jastrabik, L.; Chvostova, D.; Soukup, L.; Pridal, J.; Franc, F. The mechanical and tribological properties of magnetron sputtered Ti–C:H Coatings. Surf. Coat. Technol. 1998, 102, 81–89. [Google Scholar] [CrossRef]
- Liu, D.; Zhang, P.; Meng, L.; Ruan, C.; Liang, Y.; Tu, J. Structure, mechanical properties and tribological behavior of sp2-C:Ti/sp3-C:Ti multilayer films deposited by magnetron sputtering. Diam. Relat. Mater. 2022, 125, 108963. [Google Scholar] [CrossRef]
- Li, R.L.; Tu, J.P.; Hong, C.F.; Liu, D.G.; Zhou, D.H.; Sun, H.L. Microstructure and tribological properties of Ti-contained amorphous carbon film deposited by DC magnetron sputtering. J. Appl. Phys. 2009, 106, 123508. [Google Scholar] [CrossRef]
- Chen, C.; Tang, W.; Li, X.; Wang, W.; Xu, C. Structure and cutting performance of Ti-DLC films prepared by reactive magnetron sputtering. Diam. Relat. Mater. 2020, 104, 107735. [Google Scholar] [CrossRef]
- Bai, W.Q.; Li, L.L.; Wang, X.L.; He, F.F.; Liu, D.G.; Jin, G.; Tu, J.P. Effects of Ti content on microstructure, mechanical and tribological properties of Ti-doped amorphous carbon multilayer films. Surf. Coat. Technol. 2015, 266, 70–78. [Google Scholar] [CrossRef]
- Haneef, M.; Yang, L.; Morina, A.; Trindade, B. Superlubricity of multilayer titanium doped DLC coatings by using low SAPS organic additives in base oil. Tribol. Int. 2025, 201, 110186. [Google Scholar] [CrossRef]
- Holmberg, K.; Erdemir, A. The impact of tribology on energy use and CO2 emission globally and in combustion engine and electric cars. Tribiol. Int. 2019, 135, 389–396. [Google Scholar] [CrossRef]
- Haneef, M.; Evaristo, M.; Morina, A.; Yang, L.; Trindade, B. New nanoscale multilayer magnetron sputtered Ti-DLC/DLC coatings with improved mechanical properties. Surf. Coat. Technol. 2024, 480, 130595. [Google Scholar] [CrossRef]
- Ma, G.; Gong, S.; Lin, G.; Zhang, L.; Sun, G. A study of structure and properties of Ti-doped DLC film by reactive magnetron sputtering with ion implantation. Appl. Surf. Sci. 2012, 258, 3045–3050. [Google Scholar] [CrossRef]
- Zahid, R.; Hassan, M.B.H.; Alabdulkarem, A.; Varman, M.; Mufti, R.A.; Kalam, A.; Zulkifli, N.W.B.M.; Gulzar, M.; Lee, T. Investigation of the tribochemical interactions of a tungsten-doped diamond-like carbon coating (W-DLC) with formulated palm trimethylolpropane ester (TMP) and polyalphaolefin (PAO). RSC Adv. 2017, 7, 26513–26531. [Google Scholar] [CrossRef]
- Chang, Y.-Y.; Wang, D.-Y. Structural and electrical properties of Cr doped a-C:H films synthesized by a cathodic-arc activated deposition process. Surf. Coat. Technol. 2006, 200, 3170–3174. [Google Scholar] [CrossRef]
- Tang, Y.; Li, Y.S.; Zhang, C.Z.; Wang, J.; Yang, Q.; Hirose, A. Synthesis of cobalt/diamond-like carbon thin films by biased target ion beam deposition. Diam. Relat. Mater. 2011, 20, 538–541. [Google Scholar] [CrossRef]
- Mohandas, J.C.; Gnanamani, M.K.; Jacobs, G.; Ma, W.; Ji, Y.; Khalid, S.; Davis, B.H. Fischer–Tropsch synthesis: Characterization and reaction testing of cobalt carbide. ACS Catal. 2011, 1, 1581–1588. [Google Scholar] [CrossRef]
- Lin, Q.; Liu, B.; Jiang, F.; Fang, X.; Xu, Y.; Liu, X. Assessing the formation of cobalt carbide and its catalytic performance under realistic reaction conditions and tuning product selectivity in a cobalt-based FTS reaction. Catal. Sci. Technol. 2019, 9, 3238–3258. [Google Scholar] [CrossRef]
- Wang, J.; He, D.; Li, X.; Zhang, J.; Li, Q.; Wang, Z.; Su, Y.; Tian, Y.; Yang, J.; Peng, B. The melting curve of cobalt under high pressure. Solid State Commun. 2020, 307, 113805. [Google Scholar] [CrossRef]
- Makineni, S.K.; Samanta, A.; Rojhirunsakool, T.; Alam, T.; Nithin, B.; Singh, A.K.; Banerjee, R.; Chattopadhyay, K. A new class of high strength high temperature cobalt based γ–γ’ Co–Mo–Al alloys stabilized with Ta addition. Acta Mater. 2015, 97, 29–40. [Google Scholar] [CrossRef]
- Bulut, B.; Unal, F.; Baydogan, M.; Kayali, E.S. Effect of particle morphology on physical, mechanical and wear properties of cobalt metal powders. Trans. Indian Inst. Met. 2021, 74, 2345–2355. [Google Scholar] [CrossRef]
- Hawkins, M. Why we need cobalt. Appl. Earth Sci. 2001, 110, 66–70. [Google Scholar] [CrossRef]
- Betteridge, W. The properties of metallic cobalt. Prog. Mater. Sci. 1980, 24, 51–142. [Google Scholar] [CrossRef]
- Pape, F.; Muhmann, C.; Pahl, D.; Lipinsky, D.; Arlinghaus, H.F.; Poll, G. ZDDP containing tribofilms generated under sliding micro contact and bearing test rig conditions. Mater. Perform. Charact. 2018, 7, 191–212. [Google Scholar] [CrossRef]
- Hayashi, T.; Hirono, S.; Tomita, M.; Umemura, S. Magnetic thin films of cobalt nanocrystals encapsulated in graphite-like carbon. Nature 1996, 381, 772–774. [Google Scholar] [CrossRef]
- Zhou, S.; Berndt, M.; Bürger, D.; Heera, V.; Potzger, K.; Abrasonis, G.; Radnóczi, G.; Kovács, G.J.; Kolitsch, A.; Helm, M.; et al. Spin-dependent transport in nanocomposite C:Co films. Acta Mater. 2009, 57, 4758–4764. [Google Scholar] [CrossRef]
- Wang, F.L.; Jiang, J.C.; Meletis, E.I. Self-assembled Co nanorods in diamond-like carbon thin films synthesized by plasma-assisted magnetron sputtering. Appl. Phys. Lett. 2003, 83, 2423–2425. [Google Scholar] [CrossRef]
- Li, B.; Zhang, Y.; Wu, Z.; Qin, Z.; Ji, H.; Liu, X.; Li, B.; Hu, W. Magnetic properties and corrosion resistance of Co-DLC nanocomposite films with different cobalt contents. Diam. Relat. Mater. 2021, 117, 108477. [Google Scholar] [CrossRef]
- Ma, L.; He, M.F.; Liu, Z.W.; Zeng, D.C.; Gu, Z.F.; Cheng, G. Structure and giant magnetoresistance of carbon-based amorphous films prepared by magnetron sputtering. Thin Solid Film. 2014, 556, 460–463. [Google Scholar] [CrossRef]
- Ling, X.; Zhang, P.; Li, R.; Fan, D.; Yao, X. Electron field emission of iron and cobalt-doped DLC films fabricated by electrochemical deposition. Surf. Interface Anal. 2013, 45, 943–948. [Google Scholar] [CrossRef]
- Charitidis, C.A. Nanomechanical and nanotribological properties of carbon-based thin films: A review. Int. J. Refract. Met. Hard Mater. 2010, 28, 51–70. [Google Scholar] [CrossRef]
- Kosarieh, S.; Morina, A.; Flemming, J.; Lainé, E.; Neville, A. Wear mechanisms of hydrogenated DLC in oils containing MoDTC. Tribol. Lett. 2016, 64, 4. [Google Scholar] [CrossRef]
- Charitidis, C.A.; Logothetidis, S. Effects of normal load on nanotribological properties of sputtered carbon nitride films. Diam. Relat. Mater. 2005, 14, 98–108. [Google Scholar] [CrossRef]
- Sui, X.; Liu, J.; Zhang, S.; Yang, J.; Hao, J. Microstructure, mechanical and tribological characterization of CrN/DLC/Cr-DLC multilayer coating with improved adhesive wear resistance. Appl. Surf. Sci. 2018, 439, 24–32. [Google Scholar] [CrossRef]
- Shiri, S.; Ashtijoo, P.; Odeshi, A.; Yang, Q. Evaluation of Stoney equation for determining the internal stress of DLC thin films using an optical profiler. Surf. Coat. Technol. 2016, 308, 98–100. [Google Scholar] [CrossRef]
- Gonczy, S.T.; Randall, N. An ASTM standard for quantitative scratch adhesion testing of thin, hard ceramic coatings. Int. J. Appl. Ceram. Technol. 2005, 2, 422–428. [Google Scholar] [CrossRef]
- ASTM C1624-22; Standard Test Method for Adhesion Strength and Mechanical Failure Modes of Ceramic Coatings by Quantitative Single Point Scratch Testing. ASTM International: West Conshohocken, PA, USA, 2022.
- ECHA CHEM—European Chemicals Agency, Amines, C12-14-Alkyl, Isooctyl Phosphates. Available online: https://echa.europa.eu/registration-dossier/-/registered-dossier/19188# (accessed on 24 January 2025).
- ECHA CHEM—European Chemicals Agency, Phosphoric Acid, Octyl Ester. Available online: https://echa.europa.eu/substance-information/-/substanceinfo/100.049.478 (accessed on 24 January 2025).
- Wang, S.-F.; Lin, H.-C.; Bor, H.-Y.; Tsai, Y.-L.; Wei, C.-N. Characterization of chromium thin films by sputter deposition. J. Alloys Compd. 2011, 509, 10110–10114. [Google Scholar] [CrossRef]
- Ferreira, F.; Serra, R.; Cavaleiro, A.; Oliveira, J. Diamond-like carbon coatings deposited by deep oscillation magnetron sputtering in Ar-Ne discharges. Diam. Relat. Mater. 2019, 98, 107521. [Google Scholar] [CrossRef]
- Calderon Velasco, S.; Cavaleiro, A.; Carvalho, S. Functional properties of ceramic-Ag nanocomposite coatings produced by magnetron sputtering. Prog. Mater. Sci. 2016, 84, 158–191. [Google Scholar] [CrossRef]
- Wang, Q.; Zhou, F.; Zhou, Z.; Yang, Y.; Yan, C.; Wang, C.; Zhang, W.; Li, L.K.-Y.; Bello, I.; Lee, S.-T. Influence of Ti content on the structure and tribological properties of Ti-DLC coatings in water lubrication. Diam. Relat. Mater. 2012, 25, 163–175. [Google Scholar] [CrossRef]
- Casiraghi, C.; Ferrari, A.C.; Robertson, J. Raman spectroscopy of hydrogenated amorphous carbons. Phys. Rev. B 2005, 72, 85401. [Google Scholar] [CrossRef]



















| Coatings | DLC | MCo-DLC1 | MCo-DLC2 | MCo-DLC3 |
|---|---|---|---|---|
| Power at C + Co target (W) | 0 | 160 | 305 | 450 |
| Power at C targets (W) | 1750 | 1750 | 1750 | 1750 |
| Deposition time (sec) | 15,480 | 14,340 | 13,260 | 12,240 |
| Rotational speed of substrate holder (rpm) | 12 | 1 | 1 | 1 |
| Coating | SEM-EDS (at.%) | |||
|---|---|---|---|---|
| C | Co | Ar | O | |
| DLC | 96.2 | 0.0 | 3.5 | 0.3 |
| MCo-DLC1 | 91.7 | 4.1 | 3.8 | 0.4 |
| MCo-DLC2 | 88.7 | 6.9 | 3.6 | 0.8 |
| MCo-DLC3 | 86.0 | 8.7 | 3.4 | 1.9 |
| Coating | Co (at.%) | H (GPa) | E* (GPa) | We (%) | H/E* | H3/E*2 (GPa) | Residual Stresses (GPa) | ID/IG |
|---|---|---|---|---|---|---|---|---|
| DLC | 0.0 | 16.2 ± 0.6 | 184.8 ± 5.7 | 63.7 | 0.088 | 0.124 | −1.16 ± 0.06 | 1.20 |
| MCo-DLC1 | 4.1 | 13.4 ± 1.1 | 158.6 ± 6.4 | 66.0 | 0.084 | 0.096 | −1.81 ± 0.09 | 1.71 |
| MCo-DLC2 | 6.9 | 12.4 ± 0.9 | 155.6 ± 6.3 | 63.6 | 0.080 | 0.079 | −1.40 ± 0.20 | 1.74 |
| MCo-DLC3 | 8.7 | 11.1 ± 0.8 | 149.2 ± 4.9 | 59.2 | 0.074 | 0.061 | −0.75 ± 0.09 | 1.78 |
Disclaimer/Publisher’s Note: The statements, opinions and data contained in all publications are solely those of the individual author(s) and contributor(s) and not of MDPI and/or the editor(s). MDPI and/or the editor(s) disclaim responsibility for any injury to people or property resulting from any ideas, methods, instructions or products referred to in the content. |
© 2025 by the authors. Licensee MDPI, Basel, Switzerland. This article is an open access article distributed under the terms and conditions of the Creative Commons Attribution (CC BY) license (https://creativecommons.org/licenses/by/4.0/).
Share and Cite
Haneef, M.; Evaristo, M.; Yang, L.; Morina, A.; Trindade, B. Achieving Superlubricity: Development of Multilayer Co-Doped DLC Coatings and Tribological Evaluation with Eco-Friendly Base Oil and Low-SAPS Oil Formulations. Materials 2025, 18, 847. https://doi.org/10.3390/ma18040847
Haneef M, Evaristo M, Yang L, Morina A, Trindade B. Achieving Superlubricity: Development of Multilayer Co-Doped DLC Coatings and Tribological Evaluation with Eco-Friendly Base Oil and Low-SAPS Oil Formulations. Materials. 2025; 18(4):847. https://doi.org/10.3390/ma18040847
Chicago/Turabian StyleHaneef, Mobeen, Manuel Evaristo, Liuquan Yang, Ardian Morina, and Bruno Trindade. 2025. "Achieving Superlubricity: Development of Multilayer Co-Doped DLC Coatings and Tribological Evaluation with Eco-Friendly Base Oil and Low-SAPS Oil Formulations" Materials 18, no. 4: 847. https://doi.org/10.3390/ma18040847
APA StyleHaneef, M., Evaristo, M., Yang, L., Morina, A., & Trindade, B. (2025). Achieving Superlubricity: Development of Multilayer Co-Doped DLC Coatings and Tribological Evaluation with Eco-Friendly Base Oil and Low-SAPS Oil Formulations. Materials, 18(4), 847. https://doi.org/10.3390/ma18040847

