Valence Variability Induced in SrMoO₃ Perovskite by Mn Doping: Evaluation of a New Family of Anodes for Solid-Oxide Fuel Cells
Abstract
1. Introduction
2. Materials and Methods
2.1. Synthesis
2.2. Structural Characterization
2.3. Microstructural Characterization
2.4. Thermogravimetric Analysis (TGA)
2.5. Thermal Expansion Coefficients
2.6. DC-Conductivity
2.7. Single-Cell Performance
2.8. Magnetic Measurements
3. Result and Discussion
3.1. Crystallographic Characterization
3.2. Neutron Powder Diffraction (NPD)
3.3. High Temperature NPD
3.4. Electrical Conductivity
3.5. Thermal Expansion Behavior
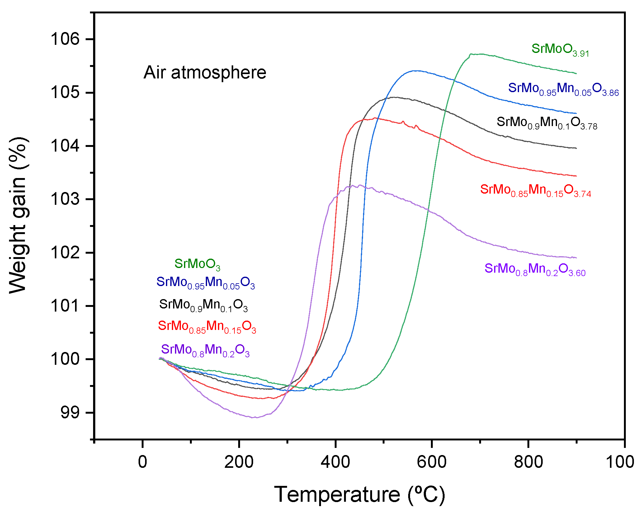
3.6. Thermogravimetric Analysis
3.7. Single-Cell Power Tests
3.8. Chemical Compatibility
3.9. Magnetic Measurements
3.10. SEM Post Mortem
4. Conclusions
Neutron Powder Diffraction (NPD)
Supplementary Materials
Author Contributions
Funding
Institutional Review Board Statement
Informed Consent Statement
Data Availability Statement
Acknowledgments
Conflicts of Interest
References
- Koyamparambath, A.; Santillán-Saldivar, J.; McLellan, B.; Sonnemann, G. Supply Risk Evolution of Raw Materials for Batteries and Fossil Fuels for Selected OECD Countries (2000–2018). Resour. Policy 2022, 75, 102465. [Google Scholar] [CrossRef]
- Rutz, D.; Ball, I.; Di Costanzo, B.; Janssen, R.; Tretter, H.; Knaus, K.; Drexlmeier, S.; Baumann, C.; Puente, F.; Šegon, V.; et al. An Urgent Call for the Phase-out of Fossil Space Heating Systems and for the Support of Renewables in the Heating Sector European Technology and Innovation Platform on Renewable Heating and Cooling (RHC-ETIP) and Its Bioenergy Technology Panel. In Proceedings of the 28th European Biomass Conference and Exhibition, Online, 6 July 2020; Volume 11. [Google Scholar]
- Lewis, N.S.; Nocera, D.G. Powering the Planet: Chemical Challenges in Solar Energy Utilization. Proc. Natl. Acad. Sci. USA 2006, 103, 15729–15735. [Google Scholar] [CrossRef] [PubMed]
- Ellabban, O.; Abu-Rub, H.; Blaabjerg, F. Renewable Energy Resources: Current Status, Future Prospects and Their Enabling Technology. Renew. Sustain. Energy Rev. 2014, 39, 748–764. [Google Scholar] [CrossRef]
- Ishaq, H.; Dincer, I.; Crawford, C. A Review on Hydrogen Production and Utilization: Challenges and Opportunities. Int. J. Hydrogen Energy 2022, 47, 26238–26264. [Google Scholar] [CrossRef]
- Abdin, Z.; Zafaranloo, A.; Rafiee, A.; Mérida, W.; Lipiński, W.; Khalilpour, K.R. Hydrogen as an Energy Vector. Renew. Sustain. Energy Rev. 2020, 120, 109620. [Google Scholar] [CrossRef]
- Gahleitner, G. Hydrogen from Renewable Electricity: An International Review of Power-to-Gas Pilot Plants for Stationary Applications. Int. J. Hydrogen Energy 2013, 38, 2039–2061. [Google Scholar] [CrossRef]
- Balat, H.; Kirtay, E. Hydrogen from Biomass—Present Scenario and Future Prospects. Int. J. Hydrogen Energy 2010, 35, 7416–7426. [Google Scholar] [CrossRef]
- Winter, M.; Brodd, R.J. What Are Batteries, Fuel Cells, and Supercapacitors? Chem. Rev. 2004, 104, 4245–4269. [Google Scholar] [CrossRef]
- Cano, Z.P.; Banham, D.; Ye, S.; Hintennach, A.; Lu, J.; Fowler, M.; Chen, Z. Batteries and Fuel Cells for Emerging Electric Vehicle Markets. Nat. Energy 2018, 3, 279–289. [Google Scholar] [CrossRef]
- Stambouli, A.B.; Traversa, E.; Stambouli, A. Solid Oxide Fuel Cells (SOFCs): A Review of an Environmentally Clean and Efficient Source of Energy. Renew. Sustain. Energy Rev. 2002, 6, 433–455. [Google Scholar] [CrossRef]
- Onovwiona, H.I.; Ugursal, V.I. Residential Cogeneration Systems: Review of the Current Technology. Renew. Sustain. Energy Rev. 2006, 10, 389–431. [Google Scholar] [CrossRef]
- Singh, M.; Zappa, D.; Comini, E. Solid Oxide Fuel Cell: Decade of Progress, Future Perspectives and Challenges. Int. J. Hydrogen Energy 2021, 46, 27643–27674. [Google Scholar] [CrossRef]
- Xu, Q.; Guo, Z.; Xia, L.; He, Q.; Li, Z.; Temitope Bello, I.; Zheng, K.; Ni, M. A Comprehensive Review of Solid Oxide Fuel Cells Operating on Various Promising Alternative Fuels. Energy Convers. Manag. 2022, 253, 115175. [Google Scholar] [CrossRef]
- Cowin, P.I.; Petit, C.T.G.; Lan, R.; Irvine, J.T.S.; Tao, S. Recent Progress in the Development of Anode Materials for Solid Oxide Fuel Cells. Adv. Energy Mater. 2011, 1, 314–332. [Google Scholar] [CrossRef]
- Mahato, N.; Banerjee, A.; Gupta, A.; Omar, S.; Balani, K. Progress in Material Selection for Solid Oxide Fuel Cell Technology: A Review. Prog. Mater. Sci. 2015, 72, 141–337. [Google Scholar]
- Jacobson, A.J. Materials for Solid Oxide Fuel Cells. Chem. Mater. 2010, 22, 660–674. [Google Scholar] [CrossRef]
- Tsipis, E.V.; Kharton, V.V. Electrode Materials and Reaction Mechanisms in Solid Oxide Fuel Cells: A Brief Review: I Electrochemical Behavior vs. Materials Science Aspects. J. Solid State Electrochem. 2008, 12, 1367–1391. [Google Scholar] [CrossRef]
- da Silva, F.S.; de Souza, T.M. Novel Materials for Solid Oxide Fuel Cell Technologies: A Literature Review. Int. J. Hydrogen Energy 2017, 42, 26020–26036. [Google Scholar] [CrossRef]
- Litzelman, S.J.; Hertz, J.L.; Jung, W.; Tuller, H.L. Opportunities and Challenges in Materials Development for Thin Film Solid Oxide Fuel Cells. Fuel. Cells 2008, 8, 294–302. [Google Scholar] [CrossRef]
- Shri Prakash, B.; Senthil Kumar, S.; Aruna, S.T. Properties and Development of Ni/YSZ as an Anode Material in Solid Oxide Fuel Cell: A Review. Renew. Sustain. Energy Rev. 2014, 36, 149–179. [Google Scholar] [CrossRef]
- Zhu, W.Z.; Deevi, S.C. A Review on the Status of Anode Materials for Solid Oxide Fuel Cells. Mater. Sci. Eng. A 2003, 362, 228–239. [Google Scholar] [CrossRef]
- Matsuzaki, Y.; Yasuda, I. The Poisoning Effect of Sulfur-Containing Impurity Gas on a SOFC Anode: Part I. Dependence on Temperature, Time, and Impurity Concentration. Solid State Ion. 2000, 132, 261–269. [Google Scholar] [CrossRef]
- Shaikh, S.P.S.; Muchtar, A.; Somalu, M.R. A Review on the Selection of Anode Materials for Solid-Oxide Fuel Cells. Renew. Sustain. Energy Rev. 2015, 51, 1–8. [Google Scholar] [CrossRef]
- Xia, C.; Li, Z.; Wang, S.; Beshiwork, B.A.; Lin, B. Recent Progress on Efficient Perovskite Ceramic Anodes for High-Performing Solid Oxide Fuel Cells. Int. J. Hydrogen Energy 2024, 62, 331–344. [Google Scholar] [CrossRef]
- Fergus, J.W. Oxide Anode Materials for Solid Oxide Fuel Cells. Solid State Ion. 2006, 177, 1529–1541. [Google Scholar] [CrossRef]
- Sunarso, J.; Hashim, S.S.; Zhu, N.; Zhou, W. Perovskite Oxides Applications in High Temperature Oxygen Separation, Solid Oxide Fuel Cell and Membrane Reactor: A Review. Prog. Energy Combust. Sci. 2017, 61, 57–77. [Google Scholar] [CrossRef]
- Chun, O.; Jamshaid, F.; Khan, M.Z.; Gohar, O.; Hussain, I.; Zhang, Y.; Zheng, K.; Saleem, M.; Motola, M.; Hanif, M.B. Advances in Low-Temperature Solid Oxide Fuel Cells: An Explanatory Review. J. Power Sources 2024, 610, 234719. [Google Scholar] [CrossRef]
- Martínez-Coronado, R.; Alonso, J.A.; Aguadero, A.; Fernández-Díaz, M.T. Optimized Energy Conversion Efficiency in Solid-Oxide Fuel Cells Implementing SrMo1−XFeXO3−δ Perovskites as Anodes. J. Power Sources 2012, 208, 153–158. [Google Scholar] [CrossRef]
- Martínez-Coronado, R.; Alonso, J.A.; Aguadero, A.; Fernández-Díaz, M.T. New SrMo1−xCrxO3−δ Perovskites as Anodes in Solid-Oxide Fuel Cells. Int. J. Hydrogen Energy 2014, 39, 4067–4073. [Google Scholar] [CrossRef]
- Cascos, V.; Alonso, J.A.; Fernández-Díaz, M.T. Novel Mg-Doped SrMoO3 Perovskites Designed as Anode Materials for Solid Oxide Fuel Cells. Materials 2016, 9, 588. [Google Scholar] [CrossRef]
- Cascos, V.; Troncoso, L.; Alonso, J.A.; Fernández-Díaz, M.T. Design of New Ga-Doped SrMoO3 Perovskites Performing as Anode Materials in SOFC. Renew. Energy 2017, 111, 476–483. [Google Scholar] [CrossRef]
- Martínez-Coronado, R.; Alonso, J.A.; Fernández-Díaz, M.T. SrMo0.9Co0.1O3−δ: A Potential Anode for Intermediate-Temperature Solid-Oxide Fuel Cells (IT-SOFC). J. Power Sources 2014, 258, 76–82. [Google Scholar] [CrossRef]
- Jia, X.; Chen, Y.; Nan, C.W.; Ma, J.; Chen, C. High UV Transparent Conductivity of SrMoO3 Thin Films. Cryst. Growth Des. 2024, 24, 5402–5410. [Google Scholar] [CrossRef]
- Xu, C.; Hua, W.; Zhang, Q.; Liu, Y.; Dang, R.; Xiao, R.; Wang, J.; Chen, Z.; Ding, F.; Guo, X.; et al. Sufficient Utilization of Mn2+/Mn3+/Mn4+ Redox in NASICON Phosphate Cathodes towards High-Energy Na-Ions Batteries. Adv. Funct. Mater. 2023, 33, 2302810. [Google Scholar] [CrossRef]
- Molchanova, A.; Boldyrev, K.; Kuzmin, N.; Veligzhanin, A.; Khaydukov, K.; Khaydukov, E.; Kondratev, O.; Gudim, I.; Mikliaeva, E.; Popova, M. Manganese Luminescent Centers of Different Valence in Yttrium Aluminum Borate Crystals. Materials 2023, 16, 537. [Google Scholar] [CrossRef]
- Alonso, J.A.; Martínez-Lope, M.J.; Casais, M.T.; Fernández-Díaz, M.T. Evolution of the Jahn-Teller Distortion of MnO6 Octahedra in RMnO3 Perovskites (R = Pr, Nd, Dy, Tb, Ho, Er, Y): A Neutron Diffraction Study. Inorg. Chem. 2000, 39, 917–923. [Google Scholar] [CrossRef]
- Alonso, J.A.; Martinez-Lope, M.J.; Casais, M.T. High Oxygen Pressure Synthesis of LaMnO3+d with High Delta Values. Eur. J. Solid State Inorg. Chem. 1996, 33, 331–341. [Google Scholar]
- Rietveld, H.M. A Profile Refinement Method for Nuclear and Magnetic Structures. Appl. Crystallogr. 1969, 2, 65–71. [Google Scholar] [CrossRef]
- Macquart, R.B.; Kennedy, B.J.; Avdeev, M. Neutron Diffraction Study of Phase Transitions in Perovskite-Type Strontium Molybdate SrMoO3. J. Solid State Chem. 2010, 183, 250–255. [Google Scholar] [CrossRef]
- Cascos, V.; Chivite Lacaba, M.; Biskup, N.; Fernández-Díaz, M.T.; Alonso, J.A. SrMo0.9O3−δ Perovskite with Segregated Ru Nanoparticles Performing as Anode in Solid Oxide Fuel Cells. ACS Appl. Mater. Interfaces 2024, 16, 17474–17482. [Google Scholar] [CrossRef]
- Yaremchenko, A.A.; Kharton, V.V.; Avdeev, M.; Shaula, A.L.; Marques, F.M.B. Oxygen Permeability, Thermal Expansion and Stability of SrCo0.8Fe0.2O3−δ–SrAl2O4 Composites. Solid State Ion. 2007, 178, 1205–1217. [Google Scholar] [CrossRef]
- Zhu, X.; Le, S.; Chen, X.; Sun, K.; Yuan, Y.; Zhang, N. Chemical Compatibility, Thermal Expansion Matches and Electrochemical Performance of SrCo0.8Fe0.2O3−δ–La0.45Ce0.55O2−δ Composite Cathodes for Intermediate-Temperature Solid Oxide Fuel Cells. Int. J. Hydrogen Energy 2011, 36, 12549–12554. [Google Scholar] [CrossRef]
- Stevenson, J.W.; Hasinska, K.; Canfield, N.L.; Armstrong, T.R. Influence of Cobalt and Iron Additions on the Electrical and Thermal Properties of (La, Sr) (Ga, Mg) O3 − δ. J. Electrochem. Soc. 2000, 147, 3213. [Google Scholar] [CrossRef]
- Zhao, B.C.; Sun, Y.P.; Zhang, S.B.; Song, W.H.; Dai, J.M. Ferromagnetism in Cr Substituted SrMoO3 System. J. Appl. Phys. 2007, 102, 113903–113905. [Google Scholar] [CrossRef]
- Zhang, S.B.; Sun, Y.P.; Zhao, B.C.; Luo, X.; Hao, C.Y.; Zhu, X.B.; Song, W.H. Mn Doping-Induced Semiconducting Behavior in the Perovskite Molybdates SrMo1−xMnxO3 (0 ≤ x ≤ 0.20). J Appl Phys 2007, 102, 103903. [Google Scholar] [CrossRef]
- Mugiraneza, S.; Hallas, A.M. Tutorial: A Beginner’s Guide to Interpreting Magnetic Susceptibility Data with the Curie-Weiss Law. Commun. Phys. 2022, 5, 95. [Google Scholar] [CrossRef]
- Zhang, S.B.; Sun, Y.P.; Zhao, B.C.; Zhu, X.B.; Song, W.H. Influence of Ni Doping on the Properties of Perovskite Molybdates SrMo1−XNixO3 (0.02 ≤ x ≤ 0.08). Solid State Commun. 2007, 142, 671–675. [Google Scholar] [CrossRef]
- Martínez-Coronado, R.; Aguadero, A.; Alonso, J.A.; Fernández-Díaz, M.T. Neutron Diffraction and Magnetic Study of the Low-Temperature Transitions in SrMo1−XFexO3−δ. Mater. Res. Bull. 2012, 47, 2148–2153. [Google Scholar] [CrossRef]











| x | y | z | Uiso */Ueq (Å2) | Occ. (<1) | |
|---|---|---|---|---|---|
| Sr | 0.50000 | 0.50000 | 0.50000 | 0.0129 (10) * | |
| Mo | 0.00000 | 0.00000 | 0.00000 | 0.0075 (11) * | 0.907 (5) |
| Mn | 0.00000 | 0.00000 | 0.00000 | 0.0075 (11) * | 0.093 (5) |
| O | 0.50000 | 0.00000 | 0.00000 | 0.0180 (13) | 1.003 (6) |
| Atomic displacement parameters (Å2) | |||||
| U11 | U22 | U33 | U12 | U13 | |
| O | 0.0077 (15) | 0.0232 (11) | 0.0232 (11) | 0.00000 | 0.00000 |
Disclaimer/Publisher’s Note: The statements, opinions and data contained in all publications are solely those of the individual author(s) and contributor(s) and not of MDPI and/or the editor(s). MDPI and/or the editor(s) disclaim responsibility for any injury to people or property resulting from any ideas, methods, instructions or products referred to in the content. |
© 2025 by the authors. Licensee MDPI, Basel, Switzerland. This article is an open access article distributed under the terms and conditions of the Creative Commons Attribution (CC BY) license (https://creativecommons.org/licenses/by/4.0/).
Share and Cite
Sánchez de Bustamante, L.; Santos Silva, R., Jr.; Martínez, J.L.; Fernández-Díaz, M.T.; Aguadero, A.; Alonso, J.A. Valence Variability Induced in SrMoO₃ Perovskite by Mn Doping: Evaluation of a New Family of Anodes for Solid-Oxide Fuel Cells. Materials 2025, 18, 542. https://doi.org/10.3390/ma18030542
Sánchez de Bustamante L, Santos Silva R Jr., Martínez JL, Fernández-Díaz MT, Aguadero A, Alonso JA. Valence Variability Induced in SrMoO₃ Perovskite by Mn Doping: Evaluation of a New Family of Anodes for Solid-Oxide Fuel Cells. Materials. 2025; 18(3):542. https://doi.org/10.3390/ma18030542
Chicago/Turabian StyleSánchez de Bustamante, Lucía, Romualdo Santos Silva, Jr., José Luis Martínez, María Teresa Fernández-Díaz, Ainara Aguadero, and José Antonio Alonso. 2025. "Valence Variability Induced in SrMoO₃ Perovskite by Mn Doping: Evaluation of a New Family of Anodes for Solid-Oxide Fuel Cells" Materials 18, no. 3: 542. https://doi.org/10.3390/ma18030542
APA StyleSánchez de Bustamante, L., Santos Silva, R., Jr., Martínez, J. L., Fernández-Díaz, M. T., Aguadero, A., & Alonso, J. A. (2025). Valence Variability Induced in SrMoO₃ Perovskite by Mn Doping: Evaluation of a New Family of Anodes for Solid-Oxide Fuel Cells. Materials, 18(3), 542. https://doi.org/10.3390/ma18030542

