Thermal-Related Stress–Strain Behavior of Alkali Activated Slag Concretes under Compression
Abstract
1. Introduction
2. Experiment
2.1. Materials
2.2. Specimens Preparation
2.3. Heating Regime
2.4. Axial Compression Testing
2.4.1. Displacement Extensometer Measurement
2.4.2. DIC Detection


3. Results and Discussion
3.1. Stress–Strain Relationship

| T (°C) | |||||||
|---|---|---|---|---|---|---|---|
| 20 | 200 | 400 | 600 | 800 | 1000 | ||
| 6%-1.0 | σp (MPa) | 58.4 (±3.3) | 32.4 (±4.0) | 26.8 (±2.0) | 12.8 (±1.4) | 5.2 (±0.9) | 2.2 (±0.6) |
| E (GPa) | 44.0 (±1.8) | 22.1 (±3.3) | 12.7 (±1.3) | 6.6 (±0.6) | 2.6 (±0.3) | 1.0 (±0.2) | |
| ε (×10−3) | 4.8 (±0.9) | 11.1 (±1.1) | 15.7 (±1.4) | 20.9 (±5.2) | 26.0 (±2.7) | 36.2 (±3.4) | |
| 6%-1.5 | σp (MPa) | 58.6 (±3.0) | 34.5 (±0.7) | 24.2 (±3.1) | 16.5 (±2.4) | 4.9 (±0.7) | 1.6 (±0.1) |
| E (GPa) | 43.7 (±2.5) | 26.3 (±2.6) | 11.1 (±2.5) | 5.7 (±0.9) | 2.2 (±0.2) | 1.7 (±0.2) | |
| ε (×10−3) | 6.6 (±1.1) | 10.9 (±0.9) | 19.3 (±1.8) | 26.6 (±2.7) | 25.7 (±3.8) | 35.1 (±5.3) | |
| 6%-2.0 | σp (MPa) | 58.8 (±1.9) | 37.7 (±2.0) | 19.0 (±3.7) | 12.5 (±0.8) | 3.9 (±0.6) | 1.5 (±0.1) |
| E (GPa) | 42.7 (±0.6) | 25.5 (±2.8) | 11.9 (±1.4) | 5.3 (±0.6) | 2.1 (±0.5) | 1.4 (±0.3) | |
| ε (×10−3) | 8.9 (±0.8) | 9.9 (±1.5) | 16.0 (±3.2) | 25.6 (±3.4) | 26.6 (±5.0) | 33.4 (±4.1) | |
| 4%-1.5 | σp (MPa) | 48.9 (±2.4) | 36.0 (±2.3) | 23.4 (±1.3) | 12.8 (±2.9) | 5.8 (±1.2) | 1.4 (±0.6) |
| E (GPa) | 45.6 (±1.6) | 24.1 (±2.5) | 11.6 (±0.8) | 6.4 (±3.0) | 1.7 (±0.7) | 1.4 (±0.3) | |
| ε (×10−3) | 6.3 (±1.4) | 11.9 (±1.1) | 19.6 (±2.3) | 20.6 (±2.2) | 27.9 (±4.8) | 36.1 (±3.4) | |
| 8%-1.5 | σp (MPa) | 60.0 (±5.8) | 32.3 (±3.9) | 15.9 (±2.0) | 11.1 (±1.9) | 5.5 (±1.1) | 1.5 (±0.4 |
| E (GPa) | 43.6 (±3.0) | 25.9 (±3.5) | 9.1 (±2.3) | 2.8 (±0.6) | 1.6 (±0.5) | 0.6 (±0.1) | |
| ε (×10−3) | 4.8 (±1.2) | 13.5 (±0.9) | 18.6 (±1.4) | 24.5 (±2.5) | 28.7 (±3.2) | 42.6 (±5.4) | |

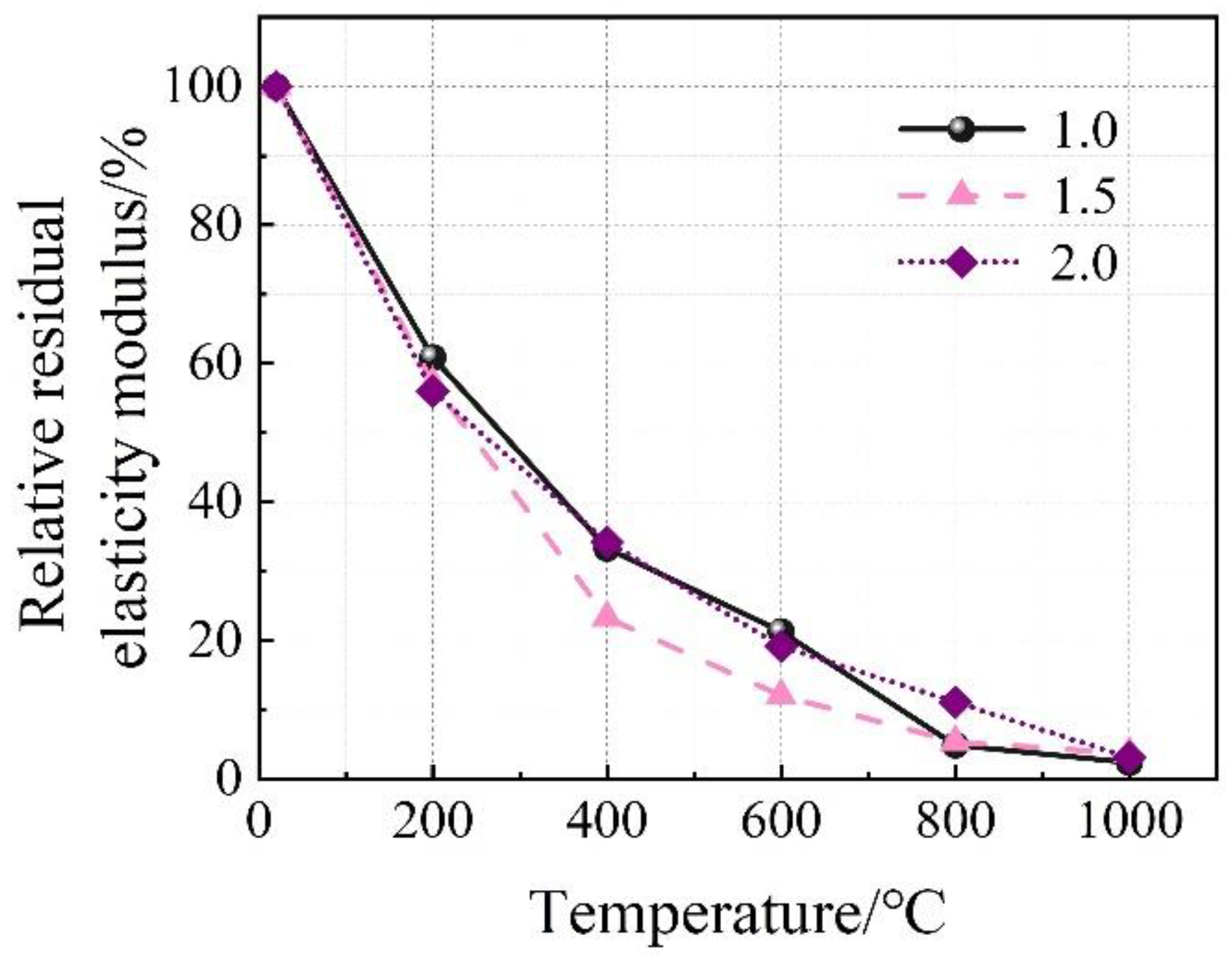
3.2. Effect of Na2O% and Ms
3.3. Comparison between Extensometer and DIC
3.4. Strain Cloud Chart
4. Conclusions
- (1)
- Generally, with the increase in temperature, stress–strain curves of the AAS concrete specimens tend to be flattened, indicating reductions in both stress peak (axial compressive strength) and gradient of the curve (elastic modulus), as well as an increase in the strain corresponding to the stress peak. After 1000 °C, only 2.5–3.7% axial compressive strength and 1.4–3.9% elastic modulus remained, respectively.
- (2)
- Before 600 °C, Na2O% of 6% could ensure a relatively higher residual axial compressive strength. However, the concrete specimen with Na2O% of 6% did not exhibit much advantage when residual elastic modulus was considered. After reaching 600 °C, the influence of Na2O% on both axial compressive strength and elastic modulus was not significant. When Ms of 2.0 was applied, the concrete specimen always yielded a relatively lower residual axial compressive strength. Meanwhile, when residual elastic modulus was considered, such mixes performed well to a certain extent.
- (3)
- The DIC technique is feasible for thermal strain measurement of the AAS concrete. Compared to a traditional extensometer, DIC has yielded a small error of 4.5% and 7.2%, respectively, for axial compressive strength and elastic modulus measurement. The strain cloud chart obtained using DIC has confirmed that in general, the stress corresponding to the first cracking of the specimens reduced with the increase in temperature, as a result of thermal damage. After the initial cracking, with the further increase in stress, more severe cracking occurred on the specimens. When cracks went through the section of the specimens, the specimens were completely damaged.
Author Contributions
Funding
Institutional Review Board Statement
Informed Consent Statement
Data Availability Statement
Acknowledgments
Conflicts of Interest
References
- Long, W.-J.; Tan, X.-W.; Xiao, B.-X.; Han, N.-X.; Xing, F. Effective use of ground waste expanded perlite as green supplementary cementitious material in eco-friendly alkali activated slag composites. J. Clean. Prod. 2019, 213, 406–414. [Google Scholar] [CrossRef]
- Shi, C.; Krivenko, P.V.; Roy, D. Alkali-Activated Cements and Concretes; Chemical Industry Publishing House: Beijing, China, 2008. (In Chinese) [Google Scholar]
- Part, K.W.; Ramli, M.; Cheah, B.C. An overview on the influence of various factors on the properties of geopolymer concrete derived from industrial by-products. Constr. Build. Mater. 2015, 77, 370–395. [Google Scholar] [CrossRef]
- Rashad, A.M.; Zeedan, S.R.; Hassan, A.A. Influence of the activator concentration of sodium silicate on the thermal properties of alkali-activated slag pastes. Constr. Build. Mater. 2016, 102, 811–820. [Google Scholar] [CrossRef]
- Burciaga-Díaz, O.; Escalante-Garcia, J.I. Comparative performance of alkali activated slag/metakaolin cement pastes exposed to high temperatures. Cem. Concr. Compos. 2017, 84, 157–166. [Google Scholar] [CrossRef]
- Wang, W.; Wang, H.; Lo, M. The engineering properties of alkali-activated slag pastes exposed to high temperatures. Constr. Build. Mater. 2014, 68, 409–415. [Google Scholar] [CrossRef]
- Rovnaník, P.; Bayer, P.; Rovnaníková, P. Characterization of alkali activated slag paste after exposure to high temperatures. Constr. Build. Mater. 2013, 47, 1479–1487. [Google Scholar] [CrossRef]
- Rashad, A.M.; Bai, Y.; Basheer, P.A.M.; Collier, N.C.; Milestone, N.B. Chemical and mechanical stability of sodium sulfate activated slag after exposure to elevated temperature. Cem. Concr. Res. 2012, 42, 333–343. [Google Scholar] [CrossRef]
- Tran, T.T.; Kang, H.; Kwon, H.-M. Effect of Heat Curing Method on the Mechanical Strength of Alkali-Activated Slag Mortar after High-Temperature Exposure. Materials 2019, 12, 1789. [Google Scholar] [CrossRef]
- Rashad, A.M.; Sadek, D.M.; Hassan, H.A. An investigation on blast-furnace stag as fine aggregate in alkali-activated slag mortars subjected to elevated temperatures. J. Clean. Prod. 2016, 112, 1086–1096. [Google Scholar] [CrossRef]
- Tran, T.T.; Kwon, H.-M. Influence of Activator Na2O Concentration on Residual Strengths of Alkali-Activated Slag Mortar upon Exposure to Elevated Temperatures. Materials 2018, 11, 1296. [Google Scholar] [CrossRef]
- Celikten, S.; Sarıdemir, M.; Deneme, I.Ö. Mechanical and microstructural properties of alkali-activated slag and slag + fly ash mortars exposed to high temperature. Constr. Build. Mater. 2019, 217, 50–61. [Google Scholar] [CrossRef]
- Türker, H.T.; Balçikanli, M.; Durmuş, I.H.; Özbay, E.; Erdemir, M. Microstructural alteration of alkali activated slag mortars depend on exposed high temperature level. Constr. Build. Mater. 2016, 104, 169–180. [Google Scholar] [CrossRef]
- Sarıdemir, M.; Bulut, M.; Akça, U. Effects of different curing conditions on the long-term properties of alkali activated GBP + GBFS mortars exposed to high temperatures. Constr. Build. Mater. 2022, 321, 125732. [Google Scholar] [CrossRef]
- Pan, Z.; Tao, Z.; Cao, Y.; Wuhrer, R.; Murphy, T. Compressive strength and microstructure of alkali-activated fly ash/slag binders at high temperature. Cem. Concr. Compos. 2018, 86, 9–18. [Google Scholar] [CrossRef]
- Sedaghatdoost, A.; Behfarnia, K.; Bayati, M.; Vaezi, M. Influence of recycled concrete aggregates on alkali-activated slag mortar exposed to elevated temperatures. J. Build. Eng. 2019, 26, 100871. [Google Scholar] [CrossRef]
- Sasui, S.; Kim, K.; Nam, J.; Riessen, A.; Nyarko, M.H.; Choe, G.; Suh, D.; Jinwuth, W. Effects of waste glass sand on the thermal behavior and strength of fly ash and GGBS based alkali activated mortar exposed to elevated temperature. Constr. Build. Mater. 2022, 316, 125864. [Google Scholar] [CrossRef]
- Khan, M.N.N.; Sarker, P.K. Effect of waste glass fine aggregate on the strength, durability and high temperature resistance of alkali-activated fly ash and GGBFS blended mortar. Constr. Build. Mater. 2020, 263, 120177. [Google Scholar] [CrossRef]
- Nasr, D.; Pakshir, A.H.; Ghayour, H. The influence of curing conditions and alkaline activator concentration on elevated temperature behavior of alkali activated slag (AAS) mortars. Constr. Build. Mater. 2018, 190, 108–119. [Google Scholar] [CrossRef]
- Yang, Y.; Huang, L.; Xu, L.; Yu, M.; Ye, H.; Chi, Y. Temperature-dependent compressive stress-strain behaviors of alkali-activated slag-based ultra-high strength concrete. Constr. Build. Mater. 2022, 357, 129250. [Google Scholar] [CrossRef]
- Yang, S.; Wang, J.; Dong, K.; Zhang, X.; Sun, Z. A predictive solution for fracture modeling of alkali-activated slag and fly ash blended sea sand concrete after exposure to elevated temperature. Constr. Build. Mater. 2022, 329, 127111. [Google Scholar] [CrossRef]
- Kiachehr, B.; Mohammad, S. The effect of elevated temperature on the residual tensile strength and physical properties of the alkali-activated slag concrete. J. Build. Eng. 2018, 20, 442–454. [Google Scholar] [CrossRef]
- Cai, R.; Ye, H. Clinkerless ultra-high strength concrete based on alkali-activated slag at high temperatures. Cem. Concr. Res. 2021, 145, 106465. [Google Scholar] [CrossRef]
- Manjunath, R.; Narasimhan, M.C.; Umesha, K. Studies on high performance alkali activated slag concrete mixes subjected to aggressive environments and sustained elevated temperatures. Constr. Build. Mater. 2019, 229, 116887. [Google Scholar] [CrossRef]
- Ma, Q.; Guo, R.; Zhao, Z.; Lin, Z.; He, K. Mechanical properties of concrete at high temperature—A review. Constr. Build. Mater. 2015, 93, 371–383. [Google Scholar] [CrossRef]
- Fan, K.; Li, J.; Yu, M.; Wu, M.; Yao, Y. Compressive stress-strain relationship for stressed concrete at high temperatures. Fire Saf. J. 2022, 130, 103576. [Google Scholar] [CrossRef]
- Abadel, A.; Abbas, H.; Albidah, A.; Almusallam, T.; AL-Salloum, Y. Effectiveness of GFRP strengthening of normal and high strength fiber reinforced concrete after exposure to heating and cooling. Eng. Sci. Technol. Int. J. 2022, 36, 101147. [Google Scholar] [CrossRef]
- Anand, N.; Andrushia, A.D.; Kanagaraj, B.; Kiran, T.; Chandramohan, D.L.; Ebinezer, S.; Kiran, R. Effect of fibers on stress–strain behavior of concrete exposed to elevated temperature. Mater. Today Proc. 2022, 60, 299–305. [Google Scholar] [CrossRef]
- Xiao, L.; Chen, P.; Huang, J.; Peng, S.; Yang, Z. Compressive behavior of reinforced steel-PVA hybrid fiber concrete short columns after high temperature exposure. Constr. Build. Mater. 2022, 342, 127935. [Google Scholar] [CrossRef]
- Chang, Y.; Chen, Y.; Sheu, M.; Yao, G. Residual stress–strain relationship for concrete after exposure to high temperatures. Cem. Concr. Res. 2006, 36, 1999–2005. [Google Scholar] [CrossRef]
- Algourdin, N.; Pliya, P.; Beaucour, A.L.; Noumowe, A.; Coste, D. Effect of fine and coarse recycled aggregates on high-temperature behaviour and residual properties of concrete. Constr. Build. Mater. 2022, 341, 127847. [Google Scholar] [CrossRef]
- Zhu, Q.; Yuan, X.; Chen, J.; Fan, L.; Yang, H. Research on the high-temperature resistance of recycled aggregate concrete with iron tailing sand. Constr. Build. Mater. 2022, 327, 126889. [Google Scholar] [CrossRef]
- Zheng, W.; Li, H.; Wang, Y. Compressive stress–strain relationship of steel fiber-reinforced reactive powder concrete after exposure to elevated temperatures. Constr. Build. Mater. 2012, 35, 931–940. [Google Scholar] [CrossRef]
- Dabbaghi, F.; Dehestani, M.; Yousefpour, H.; Rasekh, H.; Navaratnam, S. Residual compressive stress–strain relationship of lightweight aggregate concrete after exposure to elevated temperatures. Constr. Build. Mater. 2021, 298, 123890. [Google Scholar] [CrossRef]
- Jayswal, S.; Mungule, M. Effect of temperature on stress strain behavior of high calcium fly ash and alccofine blended high strength concrete. Mater. Today Proc. 2022, 65, 1019–1025. [Google Scholar] [CrossRef]
- Zhao, Y.; Zhang, J.; Song, B.; Wang, L.; Shi, J. Research on strain localization of concrete after high temperature based on DIC method. Concrete 2022, 390, 37–43. (In Chinese) [Google Scholar]
- Chinese Standard GB/T50081-2019; Standard for Test Methods of Concrete Physical and Mechanical Properties. Standardization Administration of China: Beijing, China, 2019. (In Chinese)
- He, K.; Guo, R.; Ma, Q.; Yan, F.; Lin, Z.; Sun, Y. Experimental research on high temperature resistance of modified lightweight concrete after exposure to elevated temperatures. Adv. Mater. Sci. Eng. 2016, 6, 5972570. [Google Scholar] [CrossRef]
- Lima, V.M.E.; Basto, P.A.; Henrique, M.A.; Almeida, Y.M.; Neto, A.A. Optimizing the concentration of Na2O in alkaline activators to improve mechanical properties and reduce costs and CO2 emissions in alkali-activated mixtures. Constr. Build. Mater. 2022, 344, 128185. [Google Scholar] [CrossRef]
- Ma, Q.; Yang, J.; Zhu, X.; Nanukuttan, S.V.; Huang, L. Influence of alkali concentration and modulus on compressive strength of alkali activated slag concrete. New Build. Mater. 2019, 46, 1–4. (In Chinese) [Google Scholar]











| Ref. | Type of Specimen | Temperature (°C) | Type of Alkali Activator | Modulus * | Alkali Concentration (Na2O% of Precursor) | Mechanical Properties Tested | Remarks |
|---|---|---|---|---|---|---|---|
| [4] | Paste | 200, 400, 600, 800, 1000 | Sodium silicate solution | 1.7 | 3.5, 5.5, 6.5, 10.5 | Compressive strength | |
| [5] | Paste | 600, 800, 1000, 1200 | Sodium silicate solution | 1.0 | 5 | Compressive strength | |
| [6] | Paste | 200, 500, 800 | Sodium silicate solution | 0.50, 0.75, 1.00 | 7–10 | Compressive strength | |
| [7] | Paste | 200, 400, 600, 800, 1000, 1200 | Sodium silicate solution | 1.95 | 5 | Compressive strength, flexural strength | |
| [8] | Paste | 200, 400, 600, 800 | Sodium sulfate | -- | 1, 3 | Compressive strength | |
| [9] | Mortar | 200, 400, 600, 800, 1000 | Sodium silicate solution | 1.0 | 4 | Compressive strength, flexural strength, tensile strength | |
| [10] | Mortar | 200, 400, 600, 800 | Sodium silicate solution | 2.4 | 4 | Compressive strength | |
| [11] | Mortar | 200, 400, 600, 800, 1000, 1200 | Sodium silicate solution | 1.0 | 4, 6, 8, 10 | Compressive strength, flexural strength, tensile strength | |
| [12] | Mortar | 400, 600, 800 | Sodium silicate solution | 0.25, 0.50, 0.75, 1.00, 1.25 | 6 | Compressive strength, flexural strength | |
| [13] | Mortar | 200, 400, 600, 800 | Sodium silicate solution | 1 | 14 | Compressive strength, flexural strength | |
| [14] | Mortar | 300, 450, 600, 750, 900, 1050 | Sodium silicate solution | 0.1 | 2, 4, 6, 8, 10 | Compressive strength, flexural strength | 50% GGBS + 50% basaltic pumice |
| [15] | Mortar | 300, 600 | Sodium metasilicate | 1.0 | 1.2 | Compressive strength | |
| [16] | Mortar | 200, 400, 600, 800 | Sodium silicate solution | 0.85 | 13.5 | Compressive strength | |
| [17] | Mortar | 200, 400, 600, 800 | NaOH | -- | 31 | Compressive strength | |
| [18] | Mortar | 200, 400, 600, 800 | Sodium silicate solution | 0.6 | 21 | Compressive strength | 30% GGBS + 70% fly ash |
| [19] | Mortar | 200, 400, 600, 800 | Sodium silicate solution | 2.3 | 2, 4, 6, 8, 10, 12 | Compressive strength, flexural strength | |
| [20] | Concrete | 200, 400, 600, 800, 1000 | Combination of potassium carbonate and sodium silicate | -- | N/A | Stress–strain behavior | Ultra-high-strength concrete (70% GGBS + 10% quatz powder + 20% silica fume) |
| [21] | Concrete | 200, 400, 600, 800 | Sodium silicate solution | 1.3 | 5 | Compressive strength, splitting tensile strength | Concrete with sea sand and sea water (75% GGBS + 25% fly ash, 50% GGBS + 50% fly ash) |
| [22] | Concrete | 200, 400, 600, 800 | Sodium silicate solution | 0.4 | 23 | Tensile strength | |
| [23] | Concrete | 400, 600, 800 | Combination of potassium carbonate, sodium silicate, and sodium carbonate | -- | N/A | Compressive strength | Ultra-high-strength concrete ((70% GGBS + 10% quatz powder + 20% silica fume) |
| [24] | Concrete | 200, 400, 600, 800 | Sodium silicate solution | 1.0 | 5–7 | Compressive strength | Self-compacting high-performance concrete |
| CaO | SiO2 | Al2O3 | MgO | TiO2 | SO3 | MnO | K2O | Fe2O3 |
|---|---|---|---|---|---|---|---|---|
| 40.68 | 33.48 | 13.43 | 5.70 | 2.57 | 1.98 | 1.03 | 0.55 | 0.29 |
| Specimen No. (Na2O%-Ms) | Slag | WG | NaOH | Coarse Aggregate | Fine Aggregate | Water |
|---|---|---|---|---|---|---|
| 4%-1.5 | 344 | 90 | 9 | 1139 | 759 | 108 |
| 6%-1.0 | 336 | 88 | 18 | 1143 | 762 | 109 |
| 6%-1.5 | 329 | 129 | 13 | 1164 | 776 | 80 |
| 6%-2.0 | 321 | 168 | 9 | 1185 | 790 | 53 |
| 8%-1.5 | 314 | 164 | 16 | 1188 | 792 | 55 |
| T (°C) | |||||||
|---|---|---|---|---|---|---|---|
| 20 | 200 | 400 | 600 | 800 | |||
| 6%-1.0 | σp (MPa) | DIC | 59.3 | 35.1 | 25.9 | 13.5 | 5.3 |
| Extensometer | 58.4 | 32.4 | 26.8 | 12.8 | 5.2 | ||
| Error (%) | 1.51 | 7.62 | 3.35 | 4.95 | 1.31 | ||
| E (GPa) | DIC | 45.7 | 23.4 | 13.4 | 6.9 | 2.7 | |
| Extensometer | 44.0 | 22.1 | 12.7 | 6.6 | 2.6 | ||
| Error (%) | 3.75 | 5.74 | 5.02 | 5.13 | 4.00 | ||
| 6%-1.5 | σp (MPa) | DIC | 57.1 | 34.3 | 24.2 | 16.5 | 4.9 |
| Extensometer | 58.6 | 34.5 | 24.2 | 16.5 | 4.9 | ||
| Error (%) | 2.645 | 0.82 | 0.13 | 0.12 | 0.24 | ||
| E (GPa) | DIC | 46.4 | 25.3 | 12.0 | 6.9 | 2.3 | |
| Extensometer | 43.7 | 26.3 | 11.1 | 5.7 | 2.2 | ||
| Error (%) | 5.85 | 3.80 | 7.98 | 17.82 | 5.49 | ||
| 6%-2.0 | σp (MPa) | DIC | 59.3 | 37.0 | 20.3 | 15.1 | 4.6 |
| Extensometer | 58.8 | 37.7 | 19.0 | 12.5 | 3.9 | ||
| Error (%) | 0.70 | 2.04 | 6.35 | 14.58 | 13.95 | ||
| E (GPa) | DIC | 45.4 | 26.6 | 12.6 | 5.8 | 2.0 | |
| Extensometer | 42.7 | 25.5 | 11.9 | 5.3 | 2.1 | ||
| Error (%) | 5.94 | 4.29 | 5.07 | 8.81 | 3.99 | ||
| 4%-1.5 | σp (MPa) | DIC | 49.7 | 39.9 | 23.7 | 13.3 | 5.8 |
| Extensometer | 48.9 | 36.0 | 23.4 | 12.8 | 5.8 | ||
| Error (%) | 1.78 | 9.85 | 1.62 | 3.43 | 0.28 | ||
| E (GPa) | DIC | 46.8 | 26.6 | 11.4 | 4.1 | 1.8 | |
| Extensometer | 45.6 | 24.1 | 11.6 | 6.4 | 1.7 | ||
| Error (%) | 2.64 | 9.60 | 2.03 | 3.51 | 5.65 | ||
| 8%-1.5 | σp (MPa) | DIC | 61.1 | 32.1 | 17.1 | 12.8 | 6.9 |
| Extensometer | 60.1 | 32.3 | 15.9 | 11.1 | 5.5 | ||
| Error (%) | 1.66 | 0.73 | 6.63 | 13.42 | 13.82 | ||
| E (GPa) | DIC | 45.8 | 30.7 | 10.0 | 3.9 | 1.7 | |
| Extensometer | 43.6 | 25.9 | 9.1 | 2.8 | 1.6 | ||
| Error (%) | 4.73 | 15.85 | 9.28 | 28.92 | 5.79 | ||
Disclaimer/Publisher’s Note: The statements, opinions and data contained in all publications are solely those of the individual author(s) and contributor(s) and not of MDPI and/or the editor(s). MDPI and/or the editor(s) disclaim responsibility for any injury to people or property resulting from any ideas, methods, instructions or products referred to in the content. |
© 2023 by the authors. Licensee MDPI, Basel, Switzerland. This article is an open access article distributed under the terms and conditions of the Creative Commons Attribution (CC BY) license (https://creativecommons.org/licenses/by/4.0/).
Share and Cite
Zhang, M.; Ma, Q.; Chen, Y.; Liu, Z.; Zhou, H. Thermal-Related Stress–Strain Behavior of Alkali Activated Slag Concretes under Compression. Materials 2023, 16, 3470. https://doi.org/10.3390/ma16093470
Zhang M, Ma Q, Chen Y, Liu Z, Zhou H. Thermal-Related Stress–Strain Behavior of Alkali Activated Slag Concretes under Compression. Materials. 2023; 16(9):3470. https://doi.org/10.3390/ma16093470
Chicago/Turabian StyleZhang, Miao, Qianmin Ma, Yang Chen, Zhuo Liu, and Haoxue Zhou. 2023. "Thermal-Related Stress–Strain Behavior of Alkali Activated Slag Concretes under Compression" Materials 16, no. 9: 3470. https://doi.org/10.3390/ma16093470
APA StyleZhang, M., Ma, Q., Chen, Y., Liu, Z., & Zhou, H. (2023). Thermal-Related Stress–Strain Behavior of Alkali Activated Slag Concretes under Compression. Materials, 16(9), 3470. https://doi.org/10.3390/ma16093470
