Characterization of Optimized Ternary PLA/PHB/Organoclay Composites Processed through Fused Filament Fabrication and Injection Molding
Abstract
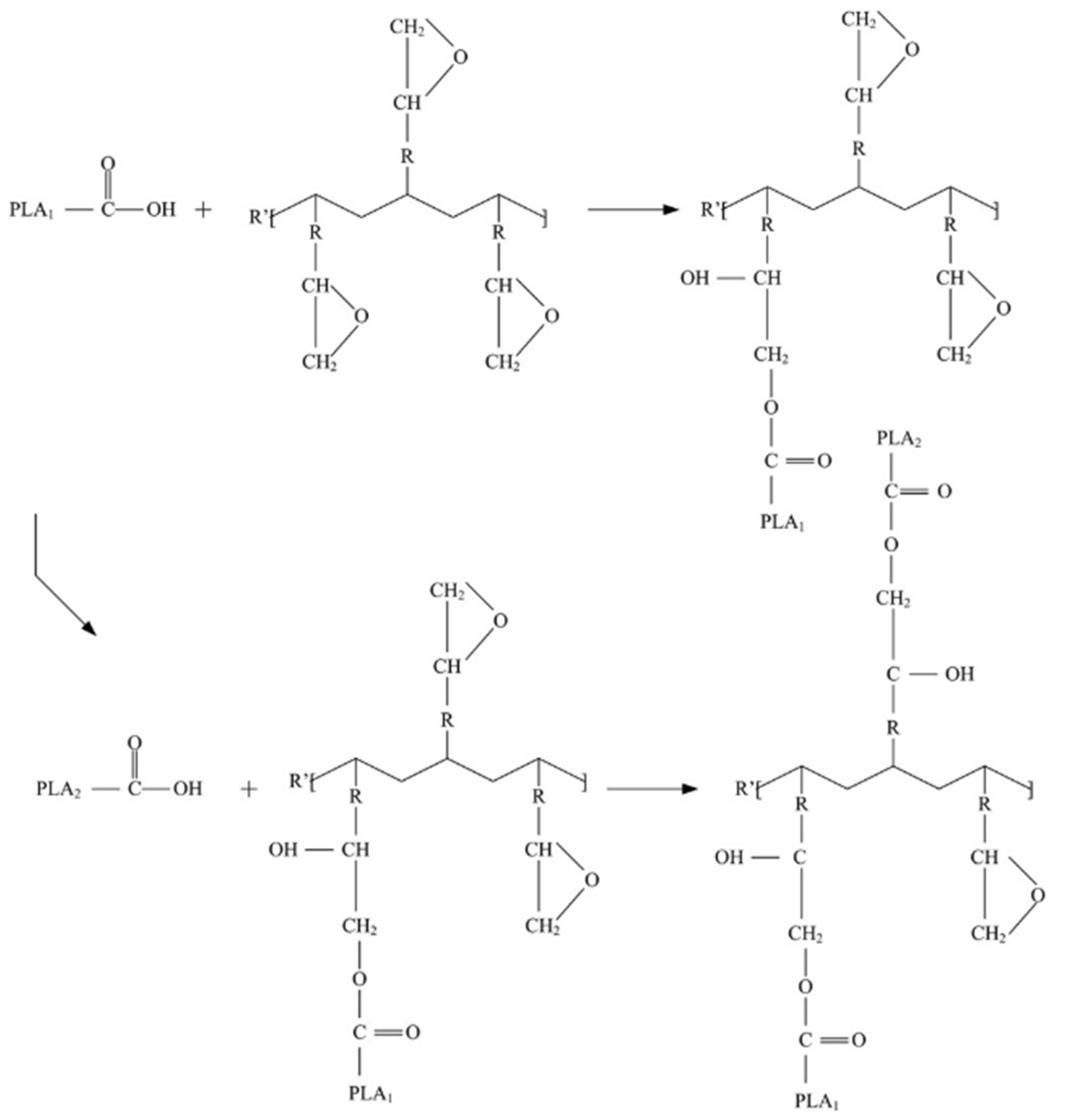
:1. Introduction
2. Materials and Methods
2.1. Materials
2.2. Blend Preparation
2.3. Sample Preparation
2.4. Characterizations
3. Results and Discussion
3.1. XRD Behavior
3.2. Morphology
3.3. Mechanical Behavior
3.4. Thermal Properties
3.4.1. DSC
3.4.2. Thermogravimetric Analysis
3.5. Rheology
4. Conclusions
Author Contributions
Funding
Institutional Review Board Statement
Informed Consent Statement
Data Availability Statement
Conflicts of Interest
References
- Li, G.; Zhao, M.; Xu, F.; Yang, B.; Li, X.; Meng, X.; Li, Y. Synthesis and Biological Application of Polylactic Acid. Molecules 2020, 25, 5023. [Google Scholar] [CrossRef] [PubMed]
- Naser, A.Z.; Deiab, I.; Darras, B.M. Poly(lactic acid) (PLA) and polyhydroxyalkanoates (PHAs), green alternatives to petroleum-based plastics: A review. RSC Adv. 2021, 11, 17151–17196. [Google Scholar] [CrossRef] [PubMed]
- Zeng, J.B.; Li, K.A.; Du, A.K. Compatibilization strategies in poly(lactic acid)-based blends. Eur. Polym. J. 2013, 98, 32546–32565. [Google Scholar] [CrossRef]
- Liu, Z.Y.; Weng, Y.X.; Huang, Z.G.; Wang, L.; Qiu, D.; Shao, S.X. Effect of Epoxy Chain Extender on the Properties of Polylactic Acid. Adv. Mater. Sci. Eng. 2018, 2, 1–7. [Google Scholar]
- Hamad, K.; Kaseem, M.; Ayyoob, M.; Joo, J.; Deri, F. Polylactic acid blends: The future of green, light and tough. Prog. Polym. Sci. 2018, 85, 83–127. [Google Scholar] [CrossRef]
- Park, J.W.; Doi, Y.; Iwata, T. Uniaxial drawing and mechanical properties of poly[(R)-3-hydroxybutyrate]/poly(L-lactic acid) blends. Biomacromolecules 2004, 5, 1557–1566. [Google Scholar] [CrossRef]
- Zhang, M.; Thomas, N.L. Blending Polylactic Acid with Polyhydroxybutyrate: The Effect on Thermal, Mechanical, and Biodegradation Properties. Adv. Polym. Technol. 2011, 30, 67–79. [Google Scholar] [CrossRef]
- Olejnik, O.; Masek, A.; Zawadziłło, J. Processability and mechanical properties of thermoplastic polylactide/polyhydroxybutyrate (PLA/PHB) bioblends. Materials 2021, 14, 898. [Google Scholar] [CrossRef]
- Correa, J.P.; Bacigalupe, A.; Maggi, J.; Eisenberg, P. Biodegradable PLA/PBAT/clay nanocomposites: Morphological, rheological and thermomechanical behavior. J. Renew. Mater. 2016, 4, 258–265. [Google Scholar] [CrossRef]
- Zhao, H.; Cui, Z.; Wang, X.; Turng, L.S.; Peng, X. Processing and characterization of solid and microcellular poly(lactic acid)/polyhydroxybutyrate-valerate (PLA/PHBV) blends and PLA/PHBV/Clay nanocomposites. Compos. Part B Eng. 2013, 51, 79–91. [Google Scholar] [CrossRef]
- D’Anna, A.; Arrigo, R.; Frache, A. Rheology, Morphology and Thermal Properties of a PLA/PHB/Clay Blend Nanocomposite: The Influence of Process Parameters. J. Polym. Environ. 2021, 30, 102–113. [Google Scholar] [CrossRef]
- Valapa, R.B.; Loganathan, S.; Pugazhenthi, G.; Thomas, S.; Varghese, T.O. An Overview of Polymer-Clay Nanocomposites. In Clay-Polymer Nanocomposites, 1st ed.; Elsevier: Amsterdam, The Netherlands, 2017; pp. 29–81. [Google Scholar]
- Usuki, A.; Hasegawa, N.; Kato, M.; Kobayashi, S. Polymer–clay nanocomposite. Polymer 2005, 179, 135–195. [Google Scholar]
- Labidi, S.; Azema, N.; Perrin, D.; Lopez-Cuesta, J.M. Organo-modified montmorillonite/poly(ɛ-caprolactone) nanocomposites prepared by melt intercalation in a twin-screw extrude. Polym. Degrad. Stab. 2010, 95, 382–388. [Google Scholar] [CrossRef]
- Karamane, M.; Raihane, M.; Tasdelen, M.A.; Uyar, T.; Lahcini, M.; Ilsouk, M.; Yagci, Y. Preparation of fluorinated methacrylate/clay nanocomposite via in-situ polymerization: Characterization, structure, and properties. J. Polym. Sci. Part A Polym. Chem. 2017, 55, 411–418. [Google Scholar] [CrossRef]
- Lacoste, C.; Gallard, B.; Lopez-Cuesta, J.M.; Ipek Kalaoglu-Altan, O.; De Clerck, K. Development of bionanocomposites based on poly(3-Hydroxybutyrate-co-3-Hydroxyvalerate) /polylactide blends reinforced with cloisite 30B. J. Funct. Biomater. 2020, 11, 64. [Google Scholar] [CrossRef]
- Lee, S.; Kim, M.; Song, H.Y.; Hyun, K. Characterization of the Effect of Clay on Morphological Evaluations of PLA/Biodegradable Polymer Blends by FT-Rheology. Macromolecules 2019, 52, 7904–7919. [Google Scholar] [CrossRef]
- Ausejo, J.G.; Rydz, J.; Musioł, M.; Sikorska, W.; Sobota, M.; Włodarczyk, J.; Kowalczuk, M. A comparative study of three-dimensional printing directions: The degradation and toxicological profile of a PLA/PHA blend. Polym. Degrad. Stab. 2018, 152, 191–207. [Google Scholar] [CrossRef] [Green Version]
- Dawin, T.P.; Ahmadi, Z.; Taromi, F.A. Taromi Biocompatible PLA/PHB coatings obtained from controlled solid state polymerization. Prog. Org. Coat. 2019, 132, 41–49. [Google Scholar] [CrossRef]
- Vanovčanová, Z.; Alexy, P.; Feranc, J.; Plavec, R.; Bočkaj, J.; Kaliňáková, L.; Gálisová, I. Effect of PHB on the properties of biodegradable PLA blends. Chem. Pap. 2016, 70, 1408–1415. [Google Scholar] [CrossRef]
- Vigil Fuentes, M.A.; Thakur, S.; Wu, F.; Misra, M.; Gregori, S.; Mohanty, A.K. Study on the 3D printability of poly(3-hydroxybutyrate-co-3-hydroxyvalerate)/poly(lactic acid) blends with chain extender using fused filament fabrication. Sci. Rep. 2020, 10, 11804. [Google Scholar] [CrossRef]
- Mysiukiewicz, O.; Barczewski, M.; Skórczewska, K.; Matykiewicz, D. Correlation between processing parameters and degradation of different polylactide grades during twin-screw extrusion. Polymers 2020, 12, 1333. [Google Scholar] [CrossRef] [PubMed]
- Montano-Herrera, L.; Pratt, S.; Arcos-Hernandez, M.V.; Halley, P.J.; Lant, P.A.; Werker, A.; Laycock, B. In-line monitoring of thermal degradation of PHA during melt-processing by Near-Infrared spectroscopy. N. Biotechnol. 2014, 31, 357–363. [Google Scholar] [CrossRef] [PubMed]
- Rafie, M.A.F.; Marsilla, K.K.; Hamid, Z.A.A.; Rusli, A.; Abdullah, M.K. Enhanced mechanical properties of plasticized polylactic acid filament for fused deposition modelling: Effect of in situ heat treatment. Prog. Rubber Plast. Recycl. Technol. 2020, 36, 131–142. [Google Scholar] [CrossRef]
- Menčík, P.; Přikryl, R.; Stehnová, I.; Melčová, V.; Kontárová, S.; Figalla, S.; Bočkaj, J. Effect of selected commercial plasticizers on mechanical, thermal, and morphological properties of poly(3-hydroxybutyrate)/Poly(lactic acid)/plasticizer biodegradable blends for three-dimensional (3D) print. Materials 2018, 11, 1893. [Google Scholar] [CrossRef] [PubMed] [Green Version]
- Chevillard, A.; Angellier-Coussy, H.; Peyron, S.; Gontard, N.; Gastaldi, E. Investigating Ethofumesate-Clay Interactions for Pesticide Controlled Release. Soil Sci. Soc. Am. J. 2012, 76, 420–431. [Google Scholar] [CrossRef]
- Trifol, J.; Plackett, D.; Sillard, C.; Hassager, O.; Daugaard, A.E.; Bras, J.; Szabo, P. A comparison of partially acetylated nanocellulose, nanocrystalline cellulose, and nanoclay as fillers for high-performance polylactide nanocomposites. J. Appl. Polym. Sci. 2016, 133, 1–11. [Google Scholar] [CrossRef]
- Xie, W.; Gao, Z.; Pan, W.P.; Hunter, D.; Singh, A.; Vaia, R. Thermal degradation chemistry of alkyl quaternary ammonium Montmorillonite. Chem. Mater. 2001, 13, 2979–2990. [Google Scholar] [CrossRef]
- Pillin, I.; Montrelay, N.; Grohens, Y. Thermo-mechanical characterization of plasticized PLA: Is the miscibility the only significant factor? Polymer 2006, 47, 4676–4682. [Google Scholar] [CrossRef]
- Kfoury, G.; Raquez, J.M.; Hassouna, F.; Leclère, P.; Toniazzo, V.; Ruch, D.; Dubois, P. Toughening of Poly(lactide) Using Polyethylene Glycol Methyl Ether Acrylate: Reactive Versus Physical Blending Georgio. Polym. Eng. Sci. 2015, 101, 1408–1419. [Google Scholar] [CrossRef]
- Pachekoski, W.M.; Dalmolin, C.; Agnelli, J.A.M. The influence of the industrial processing on the degradation of poly(hidroxybutyrate)–PHB. Mater. Res. 2013, 16, 327–332. [Google Scholar] [CrossRef] [Green Version]
- Bikiaris, D.N.; Karayannidis, G.P. Chain extension of polyesters PET and PBT with two new diimidodiepoxides. II. J. Polym. Sci. Part A Polym. Chem. 1996, 34, 1337–1342. [Google Scholar] [CrossRef]
- Najafi, N.; Heuzey, M.C.; Carreau, P.J.; Wood-Adams, P.M. Control of thermal degradation of polylactide (PLA)-clay nanocomposites using chain extenders. Polym. Degrad. Stab. 2012, 97, 554–565. [Google Scholar] [CrossRef]
- Cailloux, J.; Santana, O.O.; Franco-Urquiza, E.; Bou, J.J.; Carrasco, F.; Maspoch, M.L. Sheets of branched poly(lactic acid) obtained by one-step reactive extrusion-calendering process: Physical aging and fracture behavior. J. Mater. Sci. 2014, 49, 4093–4107. [Google Scholar] [CrossRef]
- Turner, J.F.I.I.; Riga, A.; O’Connor, A.; Zhang, J.; Collis, J. Characterization of drawn and undrawn poly-L-lactide films by differential scanning calorimetry. J. Therm. Anal. Calorim. 2004, 75, 257–268. [Google Scholar] [CrossRef]
- Barham, P.J.; Keller, A.; Otun, E.L.; Holmes, P.A. Crystallization and morphology of a bacterial thermoplastic: Poly-3-hydroxybutyrate. J. Mater. Sci. 1984, 19, 2781–2794. [Google Scholar] [CrossRef]
- Slaný, M.; Jankovič, Ľ.; Madejová, J. Structural characterization of organo-montmorillonites prepared from a series of primary alkylamines salts: Mid-IR and near-IR study. Appl. Clay Sci. 2019, 176, 11–20. [Google Scholar] [CrossRef]
- Abbasi, F.; Tavakoli, A.; Razavi Aghjeh, M.K. Rheology, morphology, and mechanical properties of reactive compatibilized polypropylene/polystyrene blends via Friedel–Crafts alkylation reaction in the presence of clay. J. Vinyl Addit. Technol. 2018, 24, 18–26. [Google Scholar] [CrossRef]
- Botana, A.; Mollo, M.; Eisenberg, P.; Sanchez, R.M.T. Effect of modified montmorillonite on biodegradable PHB nanocomposites. Appl. Clay Sci. 2010, 47, 263–270. [Google Scholar] [CrossRef]
- Fukushima, K.; Tabuani, D.; Arena, M.; Gennari, M.; Camino, G. Effect of clay type and loading on thermal, mechanical properties and biodegradation of poly(lactic acid) nanocomposites. React. Funct. Polym. 2013, 73, 540–549. [Google Scholar] [CrossRef]
- Fukushima, K.; Wu, M.H.; Bocchini, S.; Rasyida, A.; Yang, M.C. PBAT based nanocomposites for medical and industrial applications. Mater. Sci. Eng. 2012, 32, 1331–1351. [Google Scholar] [CrossRef]
- [Nofar, M.; Heuzey, M.C.; Carreau, P.J.; Kamal, M.R.; Randall, J. Coalescence in PLA-PBAT blends under shear flow: Effects of blend preparation and PLA molecular weight. J. Rheol. 2016, 60, 637–648. [Google Scholar]
- La Mantia, F.P.; Mistretta, M.C.; Palermo, S.; Koci, E.; Ceraulo, M. Thermomechanical degradation of PLA-based nanobiocomposite. Polym. Adv. Technol. 2016, 27, 308–313. [Google Scholar] [CrossRef]
- Yang, X.; Clénet, J.; Xu, H.; Odelius, K.; Hakkarainen, M. Hakkarainen Two Step Extrusion Process: From Thermal Recycling of PHB to Plasticized PLA by Reactive Extrusion Grafting of PHB Degradation Products onto PLA Chains. Macromolecules 2015, 48, 2509–2518. [Google Scholar] [CrossRef]
- Kaynak, C.; Varsavas, S.D. Performance comparison of the 3D-printed and injection-molded PLA and its elastomer blend and fiber composites. J. Thermoplast. Compos. Mater. 2019, 32, 501–520. [Google Scholar] [CrossRef]
- Almeida, T.G.; Costa, A.R.M.; Wellen, R.M.; Canedo, E.L.; Carvalho, L.H. PHB/bentonite compounds. Effect of clay modification and thermal aging on properties. Mater. Res. 2017, 20, 1503–1510. [Google Scholar] [CrossRef] [Green Version]













| Formulations Composition | Code Name | 
|---|---|
| 98 wt% PLA and 2 wt% J | PLA-J | 
| 99 wt% PHB and 1 wt% J | PHB-J | 
| 93 wt% PLA, 2 wt% J and 5 wt% DBS | PLA-JD | 
| 65 wt% PLA, 2 wt% J, 3 wt% DBS and 30 wt% PHB | PLA-JD/PHB-J | 
| 62 wt% PLA, 2 wt% J, 3 wt% DBS, 28 wt% PHB and 5 wt% BYK | 95(PLA-JD/PHB-J)5BYK | 
| Formulation | Nozzle Speed (mm/s) | Printing Temperature (°C) | Printing Speed (mm/s) | Extrusion Multiplier (a.u.) | 
|---|---|---|---|---|
| PLA-JD/PHB-J-3D | 40 | 200 | 60 | 1.1 | 
| 95(PLA-JD/PHB-J)5BYK-3D | 40 | 195 | 60 | 1.05 | 
| Blends | Yield Stress (MPa) | Elongation at Yield Stress (%) | Tensile Strength at Break (MPa) | Elongation at Break (%) | Tensile Modulus (MPa) | 
|---|---|---|---|---|---|
| PLA-JD | 51.78 ± 1.07 | 3.33 ± 0.03 | 19.8 ± 10.2 | 6 ± 1 | 2924 ± 189 | 
| PHB-J | 7.58 ± 0.50 | 3.13 ± 0.38 | 13.2 ± 0.6 | 39 ± 8 | 483 ± 29 | 
| PLA-JD/PHB-J | 9.05 ± 2.05 | 4.78 ± 0.31 | 24.5 ± 1.2 | 505 ± 23 | 1233 ± 97 | 
| PLA-JD/PHB-J-3D | 25.00 ± 2.10 | 3.56 ± 0.03 | 23.1 ± 1.7 | 219 ± 19 | 1431 ± 220 | 
| 95(PLA-JD/PHB-J)5BYK | 3.45 ± 0.79 | 4.44 ± 1.14 | 16.6 ± 0.8 | 334 ± 12 | 1355 ± 113 | 
| 95(PLA-JD/PHB-J)5BYK-3D | 17.60 ± 0.35 | 4.23 ± 0.13 | 21.6 ± 0.6 | 255 ± 12 | 954 ± 79 | 
| Blends | Tm (°C) | Tg (°C) | Tcc (°C) | X(PLA) (%) | X(PHB) (%) | 
|---|---|---|---|---|---|
| PLA-JD | 149 | 59 | 112 | - | - | 
| PHB-J | 165 | - | - | - | 44 | 
| PLA-JD/PHB-J | 146 (PLA-JD) 171 (PHB-J) | 30 (PLA-JD) −24 (PHB-J) | 92 | - | 16 | 
| PLA-JD/PHB-J-3D | 142 (PLA-JD) 166 (PHB-J) | 38 | 108 | - | 30 | 
| 95(PLA-JD/PHB-J)5BYK | 146 | 18 | 67 81 | - | - | 
| 95(PLA-JD/PHB-J)5BYK-3D | 146 (PLA-JD) 158 (PHB-J) | 24 | 81 101 | - | - | 
| Publisher’s Note: MDPI stays neutral with regard to jurisdictional claims in published maps and institutional affiliations. | 
© 2022 by the authors. Licensee MDPI, Basel, Switzerland. This article is an open access article distributed under the terms and conditions of the Creative Commons Attribution (CC BY) license (https://creativecommons.org/licenses/by/4.0/).
Share and Cite
Buyuksoy-Fekraoui, K.; Lacoste, C.; Pucci, M.F.; Lopez-Cuesta, J.-M.; Perrin, D. Characterization of Optimized Ternary PLA/PHB/Organoclay Composites Processed through Fused Filament Fabrication and Injection Molding. Materials 2022, 15, 3398. https://doi.org/10.3390/ma15093398
Buyuksoy-Fekraoui K, Lacoste C, Pucci MF, Lopez-Cuesta J-M, Perrin D. Characterization of Optimized Ternary PLA/PHB/Organoclay Composites Processed through Fused Filament Fabrication and Injection Molding. Materials. 2022; 15(9):3398. https://doi.org/10.3390/ma15093398
Chicago/Turabian StyleBuyuksoy-Fekraoui, Kubra, Clément Lacoste, Monica Francesca Pucci, José-Marie Lopez-Cuesta, and Didier Perrin. 2022. "Characterization of Optimized Ternary PLA/PHB/Organoclay Composites Processed through Fused Filament Fabrication and Injection Molding" Materials 15, no. 9: 3398. https://doi.org/10.3390/ma15093398
APA StyleBuyuksoy-Fekraoui, K., Lacoste, C., Pucci, M. F., Lopez-Cuesta, J.-M., & Perrin, D. (2022). Characterization of Optimized Ternary PLA/PHB/Organoclay Composites Processed through Fused Filament Fabrication and Injection Molding. Materials, 15(9), 3398. https://doi.org/10.3390/ma15093398
 
         
                                                



 
       