Comparative Study of the Marinobacter hydrocarbonoclasticus Biofilm Formation on Antioxidants Containing Siloxane Composite Coatings
Abstract
:1. Introduction
2. Materials and Methods
2.1. Coating Compositions
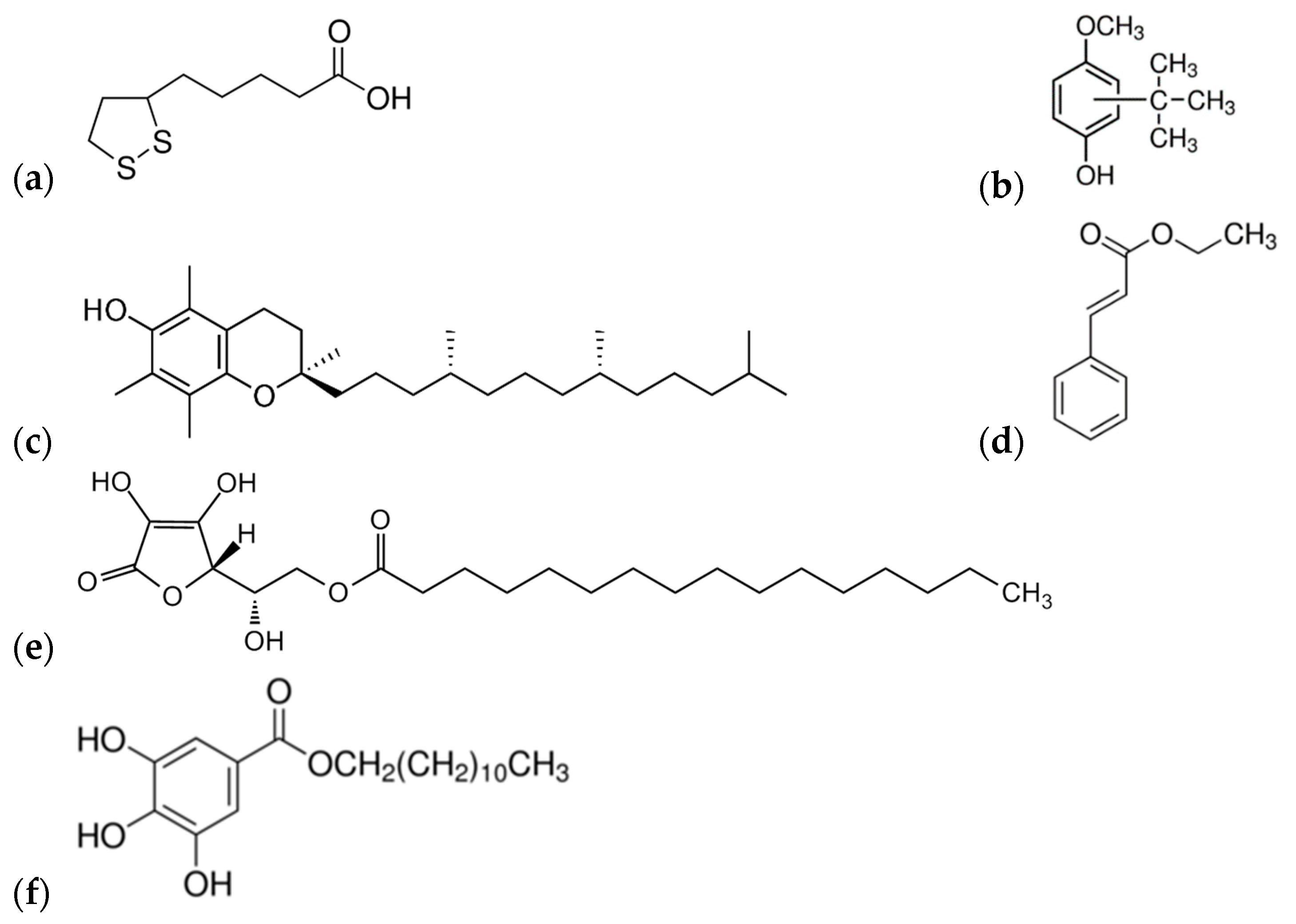
- Butylated hydroxyanisole (Sigma Aldrich, St. Louis, MO, USA);
- α-Tocopherol (E307, Panteley Toshev Ltd., Sofia, Bulgaria);
- Ethyl cinnamate (Sigma Aldrich, St. Louis, MO, USA);
- L-Ascorbil palmitate (oil soluble vitamin C; Sigma Aldrich, St. Louis, MO, USA);
- DL-Tioctic acide (Lipoic acid; ZeinPharm, Nauheim, Germany);
- Dodecyl gallate (E312, Sigma Aldrich, St. Louis, MO, USA).
2.2. Coated Test-Samples
- (1)
- Bare glass sample;
- (2)
- Control—glass sample, coated with siloxane composition without antioxidant;
- (3)
- Glass sample, coated with siloxane composition, containing 2 wt.% Thioctic acid;
- (4)
- Glass sample, coated with siloxane composition, containing 2 wt.% Butylated hydroxianysole;
- (5)
- Glass sample, coated with siloxane composition, containing 2 wt.% α-Tocopherol;
- (6)
- Glass sample, coated with siloxane composition, containing 2 wt.% Ethyl cinnamate;
- (7)
- Glass sample, coated with siloxane composition, containing 2 wt.% L-Ascorbil palmitate;
- (8)
- Glass sample coated with siloxane composition, containing 2 wt.% Dodecyl gallate.
2.3. Water Contact Angle (WCA) and Surface Energy (γ)
2.4. Atomic Force Microscopy (AFM)
2.5. Depth Sensing Indentation (DSI)
2.6. Test Bacterium and Bacterial Biofilm Formation
2.7. Fluorescence Microscopy
3. Experimental Results and Discussion
3.1. Surface Characteristics of the Coated Test Samples
3.2. Biofilm Formation by Marinobacter hydrocarbonoclasticus
- The average BCSA (the black line in the bares) is lower for the samples for which coatings contain Thioctic acid, Butylated hydroxyanisol or Ethyl cinnamate (Figure 2, Sample 3, Sample 4, Sample 6, respectively) indicating their inhibiting effect on biofilm formation after 1 h and 4 h growth;
- The average BCSA (the black line in the bares) is higher for the samples for which coatings contain L-Ascorbic palmitate and Dodecyl gallate (Figure 2, Sample 7, Sample 8, respectively), thereby indicating that these antioxidants stimulate 1 h and 4 h biofilm development.
- The average BCSA (Figure 2, the black line in the bares) decreases after 4 h (the dark blue bars) as compared to 1 h of M. hydrocarbonoclasticus cells growth (the light blue bars) for the control coating without antioxidant (Figure 2, Sample 2) and of those containing Thioctic acid or Ethyl cinnamate (Figure 2, Samples 3, Sample 6); however, it increases on bare glass (Figure 2, Sample 1) and on the coatings containing butilated hydroxianisol, α-Tocopherol, L-Ascorbil palmitate and Dodecyl gallate (Figure 2, Sample 4, Sample 5, Sample 7 and Sample 8, respectively).
- Promising results regarding M. hydrocarbonoclasticus biofilm development suppression were found for Thioctic acid and the Ethyl cinnamate. The average BCSA of coatings containing these antioxidants (Figure 2, Samples 3 and Sample 6) is lower than that of the control coating (Figure 2, Sample 2) after 1 h (light blue bars) and decreases after 4 h M. hydrocarbonoclasticus growth (dark blue bars).
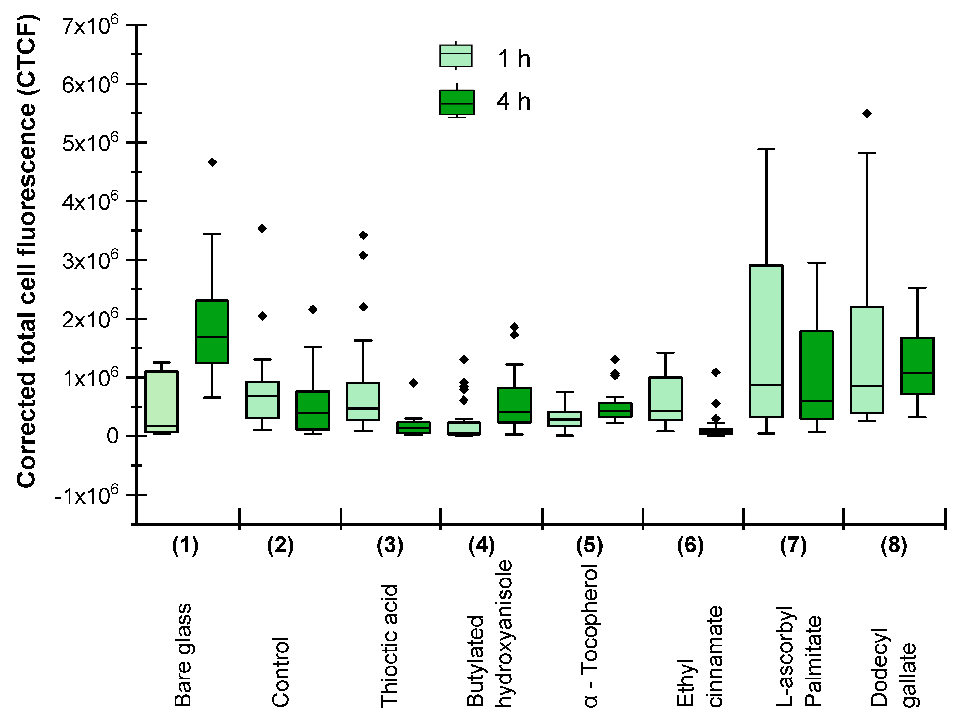
- The average CTCF (the black line in the bars) of the samples containing Thioctic acid, Butylated hydroxyanisol, α-Tocopherol or Ethyl cinnamate (Figure 3, Samples 3–6) is below than that of the control without antioxidants (Figure 3, Sample 2) after 1 h (Figure 3, the light green bars) as well as after 4 h (Figure 3, the dark green bars) of M. hydrocarbonoclasticus incubation; for the coated samples containing L-Ascorbic palmitate or Dodecyl gallate (Figure 3, Samples 7 and Sample 8)) it was higher.
- The average CTCF (the black line in the bars) decreased after 4 h (the dark green bars) compared to 1 h (the light green bars) of M. hydrocarbonoclasticus incubation for Samples 2, 3, 6 (Figure 3). This indicates an expected releasing effect of the control siloxane coating without antioxidants (Figure 3, Sample 2) and an improvement of this effect by the presence of both Thioctic acid or Ethyl cinnamate (Figure 3, Sample 3 and Sample 6, respectively), demonstrating a bactericidal activity.
- The average CTCF (the black line in the bars) is lower than that of the control sample (Figure 3, Sample 2) for the coatings containing Thioctic acid or Ethyl cinnamate (Figure 3, Sample 3, Sample 6) and decreases after 4 h (the dark green bars) compared to 1 h of M. hydrocarbonoclasticus incubation (the light bars).
4. Conclusions
Supplementary Materials
Author Contributions
Funding
Institutional Review Board Statement
Informed Consent Statement
Data Availability Statement
Acknowledgments
Conflicts of Interest
References
- Erkoc, P.; Ulucan-Karnak, F. Nanotechnology-Based Antimicrobial and Antiviral Surface Coating Strategies. Prosthes 2021, 3, 25–52. [Google Scholar] [CrossRef]
- Vladkova, T.; Akuzov, D. Current Strategies to Reduction of Marine Biofilm Formation. In Biofilm Control in Biomedical and Industrial Environments; Murthy, S., Sekar, R., Nanchariah, V., Thiyagarajan, V., Eds.; Narosa Publishing House: Delhi, India, 2019; pp. 5.1–5.49. [Google Scholar]
- Olmo, J.A.D.; Ruiz-Rubio, L.; Pérez-Alvarez, L.; Sáez-Martínez, V.; Vilas-Vilela, J.L. Antibacterial Coatings for Improving the Performance of Biomaterials. Coatings 2020, 10, 139. [Google Scholar] [CrossRef] [Green Version]
- International Paint Co. Ltd. GB1470465A-Coated Marine Surfaces. Available online: https://patents.google.com/patent/GB1470465A/en (accessed on 29 May 2022).
- Vladkova, T.G.; Dineff, P.D.; Zlatanov, I.Y.; Kathioli, S.; Ramasammy, V.; Vasudeva, P.S.M. Composition Coating for Biofouling Protection. WO2008074102, 26 July 2008. [Google Scholar]
- Dickinson, G.H.; Vega, I.E.; Wahl, K.J.; Orihuela, B.; Beyley, V.; Rodriguez, E.N.; Everett, R.K.; Bonaventura, J.; Rittschof, D. Barnacle Cement: A Polymerization Model Based on Evolutionary Concepts. J. Exp. Biol. 2009, 212, 3499–3510. [Google Scholar] [CrossRef] [PubMed] [Green Version]
- Humphrey, A.J.; Finlay, J.A.; Pettitt, M.E.; Stanley, M.S.; Callow, J.A. Effect of Ellman’s Reagent and Dithiothreitol on the Curing of the Spore Adhesive Glycoprotein of the Green Alga Ulva. J. Adhes. 2007, 81, 791–803. [Google Scholar] [CrossRef]
- Callow, J.A.; Callow, M.E. The Spore Adhesive System. In Biological Adhesives; Springer: Berlin/Heidelberg, Germany, 2006; pp. 63–78. [Google Scholar] [CrossRef]
- Sendamangalam, V. Antibiofouling Effect of Polyphenols on Streptococcus Biofilms. Ph.D. Thesis, The University of Toledo, Toledo, OH, USA, 2010. [Google Scholar]
- Akuzov, D.; Brümmer, F.; Vladkova, T. Some Possibilities to Reduce the Biofilm Formation on Transparent Siloxane Coatings. Colloids Surf. B Biointerfaces 2013, 104, 303–310. [Google Scholar] [CrossRef] [PubMed]
- Akuzov, D.; Vladkova, T.; Zamfirova, G.; Gaydarov, V.; Nascimento, M.V.; Szeglat, N.; Grunwald, I. Polydimethyl Siloxane Coatings with Superior Antibiofouling Efficiency in Laboratory and Marine Conditions. Prog. Org. Coat. 2017, 103, 126–134. [Google Scholar] [CrossRef]
- Jansen, K. Antioxidant coating could help reduce marine biofouling. Chemical & Engineering News, 29 September 2016. [Google Scholar]
- Del Grosso, C.A.; McCarthy, T.W.; Clark, C.L.; Cloud, J.L.; Wilker, J.J. Managing Redox Chemistry to Deter Marine Biological Adhesion. Chem. Mater. 2016, 28, 6791–6796. [Google Scholar] [CrossRef]
- Vladkova, T.; Georgieva, N.; Staneva, A.; Gospodinova, D. Recent Progress in Antioxidant Active Substances from Marine Biota. Antioxidants 2022, 11, 439. [Google Scholar] [CrossRef] [PubMed]
- Staneva, A.D.; Dimitrov, D.K.; Gospodinova, D.N.; Vladkova, T.G. Antibiofouling Activity of Graphene Materials and Graphene-Based Antimicrobial Coatings. Microorg 2021, 9, 1839. [Google Scholar] [CrossRef] [PubMed]
- Gauthier, M.J.; Lafay, B.; Christen, R.; Fernandez, L.; Acquaviva, M.; Bonin, P.; Bertrand, J.C. Marinobacter hydrocarbonoclasticus Gen. Nov., Sp. Nov., a New, Extremely Halotolerant, Hydrocarbon-Degrading Marine Bacterium. Int. J. Syst. Bacteriol. 1992, 42, 568–576. [Google Scholar] [CrossRef] [PubMed] [Green Version]
- Chan, C.M. Polymer Surface Modification and Characterization; Hanser Pub Inc.: Liberty Twp, OH, USA, 1993. [Google Scholar]
- Schneider, C.A.; Rasband, W.S.; Eliceiri, K.W. NIH Image to ImageJ: 25 Years of Image Analysis. Nat. Methods 2012, 9, 671–675. [Google Scholar] [CrossRef] [PubMed]
- Kendall, K. The Adhesion and Surface Energy of Elastic Solids. J. Phys. D Appl. Phys. 1971, 4, 1186. [Google Scholar] [CrossRef]
- Callow, M.E.; Fletcher, R.L. The Influence of Low Surface Energy Materials on Bioadhesion—A Review. Int. Biodeterior. Biodegrad. 1994, 34, 333–348. [Google Scholar] [CrossRef]
- Chaudhury, M.K. Interfacial Interaction between Low-Energy Surfaces. Mater. Sci. Eng. R Rep. 1996, 16, 97–159. [Google Scholar] [CrossRef]
- Packham, D.E. Surface Energy, Surface Topography and Adhesion. Int. J. Adhes. Adhes. 2003, 23, 437–448. [Google Scholar] [CrossRef] [Green Version]
- Vladkova, T.G. Surface Engineering of Polymeric Biomaterials; Smithers Rapra: Shawbury, UK, 2012. [Google Scholar]
- Berglin, M.; Lönn, N.; Gatenholm, P. Coating Modulus and Barnacle Bioadhesion. Biofouling 2010, 19, 63–69. [Google Scholar] [CrossRef] [PubMed]
- Chaudhury, M.K.; Finlay, J.A.; Jun, Y.C.; Callow, M.E.; Callow, J.A. The Influence of Elastic Modulus and Thickness on the Release of the Soft-Fouling Green Alga Ulva Linza (Syn. Enteromorpha Linza) from Poly(Dimethylsiloxane) (PDMS) Model Networks. Biofouling 2007, 21, 41–48. [Google Scholar] [CrossRef] [PubMed]
- Abe, Y.; Polyakov, P.; Skali-Lami, S.; Francius, G. Elasticity and Physico-Chemical Properties during Drinking Water Biofilm Formation. Biofouling 2011, 27, 739–750. [Google Scholar] [CrossRef] [PubMed]
- Anderson, C.; Atlar, M.; Callow, M.; Candries, M.; Milne, A.; Townsin, R. The Development of Foul-Release Coatings for Seagoing Vessels. J. Mar. Des. Oper. 2003, 4, 11–23. [Google Scholar]



| Parameter | Coated Glass Sample No. | ||||||
|---|---|---|---|---|---|---|---|
| 2 Control | 3 DL-Thiotic Acid | 4 Butylated Hydroxyl Anisole | 5 α-Tocopherol | 6 Ethyl Cinnamate | 7 L-Ascorbic Palmitate | 8 Dodecyl Gallate | |
| WCA, ° | 104.1 ± 0.3 | 99.9 ± 0.2 | 101.1 ± 0.7 | 92.5 ± 0.4 | 107.2 ± 0.6 | 91.1 ± 0.7 | 99.3 ± 0.1 |
| Ec, mN/m | 21.4 | 24.8 | 22.0 | 24.6 | 19.3 | 25.9 | 24.0 |
| Ed, mN/m | 19.8 | 22.9 | 20.8 | 22.0 | 18.2 | 23.2 | 23.2 |
| Ep, mN/m | 1.6 | 1.9 | 1.2 | 2.3 | 1.1 | 2.7 | 0.8 |
| Ra, nm | 12 ± 4 | 72 ± 14 | 29 ± 5 | 14 ± 6 | 14 ± 3 | 48 ± 11 | 59 ± 12 |
| Rq, nm | 15 ± 7 | 102 ± 18 | 61 ± 12 | 12 ± 9 | 11 ± 6 | 65 ± 16 | 83 ± 17 |
| HMV, N/mm2 | 0.13 ± 0.02 | 0.46 ± 0.09 | 0.20 ± 0.09 | 0.17 ± 0.06 | 0.15 ± 0.03 | 0.33 ± 0.02 | 0.28 ± 0.01 |
| HIT, N/mm2 | 0.34 ± 0.01 | 0.51 ± 0.01 | 0.42 ± 0.06 | 0.22 ± 0.07 | 0.29 ± 0.01 | 0.67 ± 0.03 | 0.42 ± 0.05 |
| EIT, N/mm2 | 1.76 ± 0.06 | 1.32 ± 0.04 | 2.05 ± 0.10 | 2.39 ± 0.09 | 0.99 ± 0.12 | 5.61 ± 0.02 | 3.93 ± 0.06 |
Publisher’s Note: MDPI stays neutral with regard to jurisdictional claims in published maps and institutional affiliations. |
© 2022 by the authors. Licensee MDPI, Basel, Switzerland. This article is an open access article distributed under the terms and conditions of the Creative Commons Attribution (CC BY) license (https://creativecommons.org/licenses/by/4.0/).
Share and Cite
Vladkova, T.G.; Monov, D.M.; Akuzov, D.T.; Ivanova, I.A.; Gospodinova, D. Comparative Study of the Marinobacter hydrocarbonoclasticus Biofilm Formation on Antioxidants Containing Siloxane Composite Coatings. Materials 2022, 15, 4530. https://doi.org/10.3390/ma15134530
Vladkova TG, Monov DM, Akuzov DT, Ivanova IA, Gospodinova D. Comparative Study of the Marinobacter hydrocarbonoclasticus Biofilm Formation on Antioxidants Containing Siloxane Composite Coatings. Materials. 2022; 15(13):4530. https://doi.org/10.3390/ma15134530
Chicago/Turabian StyleVladkova, Todorka G., Deyan M. Monov, Danail T. Akuzov, Iliana A. Ivanova, and Dilyana Gospodinova. 2022. "Comparative Study of the Marinobacter hydrocarbonoclasticus Biofilm Formation on Antioxidants Containing Siloxane Composite Coatings" Materials 15, no. 13: 4530. https://doi.org/10.3390/ma15134530
APA StyleVladkova, T. G., Monov, D. M., Akuzov, D. T., Ivanova, I. A., & Gospodinova, D. (2022). Comparative Study of the Marinobacter hydrocarbonoclasticus Biofilm Formation on Antioxidants Containing Siloxane Composite Coatings. Materials, 15(13), 4530. https://doi.org/10.3390/ma15134530

