A Research on Durability Degradation of Mineral Admixture Concrete
Abstract
1. Introduction
2. Experiment Overview
2.1. Materials of the Experiment
2.2. Proportion of Admixture Concrete
2.3. Experimental Method
3. Experiment Results and Analysis
3.1. Analysis of the Laws of Sulfate Ion Transport
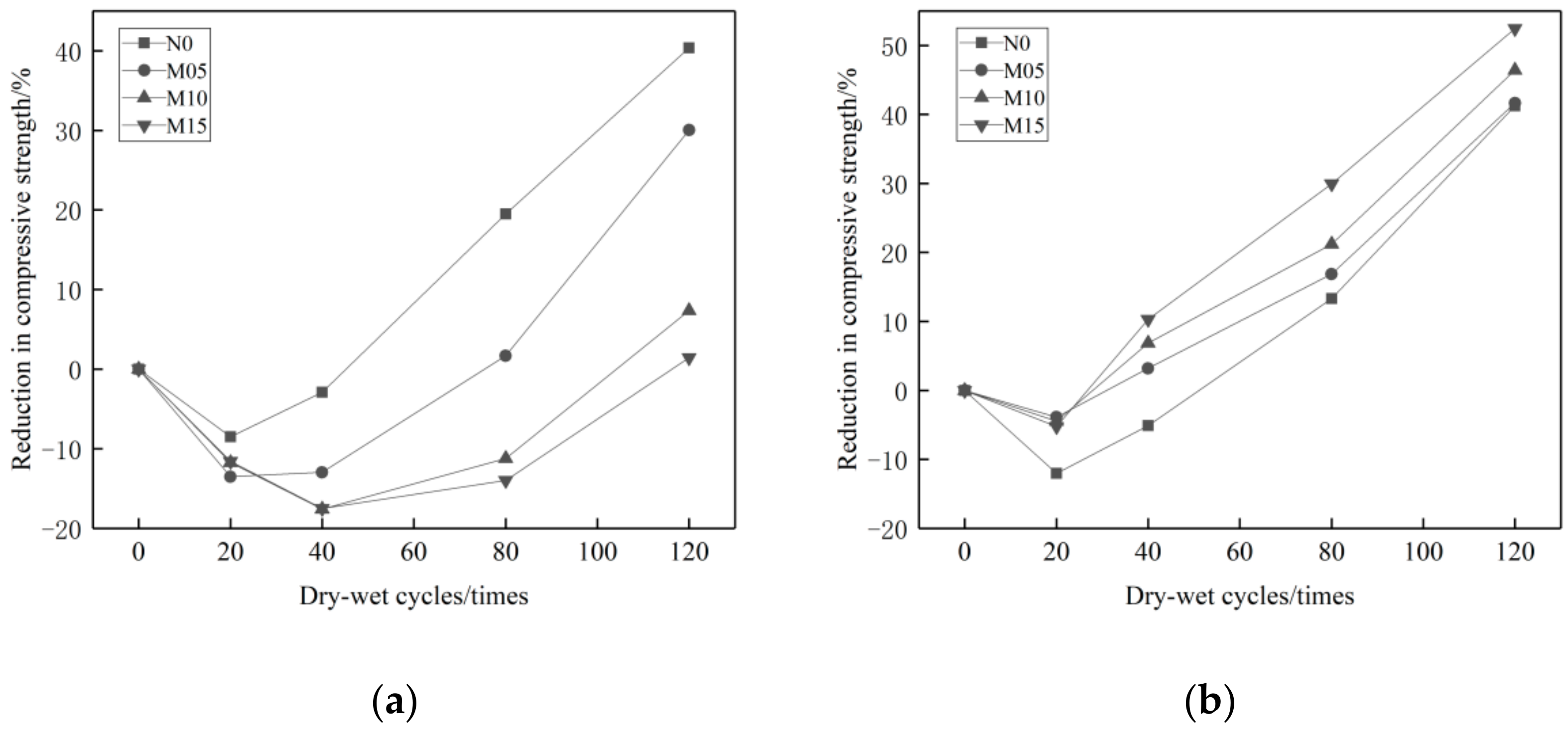
3.2. Impacts of Na2SO4 and MgSO4 Erosion on the Compressive Strength of MK Admixture Concrete
3.3. Impact on Compressive Strength of UFA Admixture Concrete after the Erosion Corrosion of Na2SO4 and MgSO4
3.4. Impact on MK and UFA Compressive Strength of Composite Admixture Concrete after the Erosion of Na2SO4 and MgSO4
3.5. Grey Relational Analysis
- 1)
- Calculate the original value of each sequence, and use the initial value method to undimensionalize the original test data and turn it into a sequence convenient for comparison:where refers to the data after undimensionalization, refers to the original data, and xi′ (1) refers to the first original test data. The detailed original strength sequence and sequence after undimensionalization are listed in Table 3.
- 2)
- Set up the difference transformation matrix
- 3)
- Calculate the grey relational degree
3.6. Macro Analysis
3.7. Phase Composition Analysis
3.7.1. X-ray Diffraction Analysis
3.7.2. FTIR Analysis
3.8. SEM Analysis
4. Conclusions
- The addition of MK can improve the Na2SO4 erosion resistance of concrete. On the other hand, due to the effects of Mg2+, the addition of MK can reduce the MgSO4 erosion resistance. UFA can improve the Na2SO4 and MgSO4 erosion resistance of the concrete significantly. UFA and MK composite admixture concrete has the best Na2SO4 erosion resistance performance, but the weaker MgSO4 erosion resistance than mono UFA admixture concrete.
- Through grey relational analysis, it can be determined that the concrete has the best Na2SO4 erosion resistance performance when the proportion of MK is 10% and the proportion of UFA is 30%. UFA admixture concrete has the best MgSO4 erosion resistance performance, especially when the proportion of UFA is 30%.
- Through XDR and FTIR, it is known that the erosion products made when sulfate salt corrodes the admixture concrete include ettringite, gypsum, and mirabilite. The erosion products made when complex ions corrode the admixture concrete include ettringite, gypsum, brucite, and M-S-H.
- Through macro and SEM observation, it can be determined that the destruction of the concrete made by mono sulfate salt can be divided into three stages: production of ettringite, erosion of gypsum and ettringite, and growth of ettringite and gypsum crystals. The destruction made by complex ions can be divided into three stages: initial production of brucite and ettringite, co-destruction from M-S-H, ettringite, and gypsum, and growth of crystals of brucite, ettringite, and gypsum.
Author Contributions
Funding
Institutional Review Board Statement
Informed Consent Statement
Data Availability Statement
Conflicts of Interest
References
- Tan, L.; Wang, F.; Liang, M.; Wang, X.; Das, R.; Mao, D.; Luo, Y. Antibiotic resistance genes attenuated with salt accumulation in saline soil. J. Hazard. Mater. 2019, 374, 35–42. [Google Scholar] [CrossRef] [PubMed]
- Wang, X.; Xue, Z.; Lu, X.; Liu, Y.; Liu, G.; Wu, Z. Salt leaching of heavy coastal saline silty soil by controlling the soil matric potential. Soil Water 2019, 14, 132–137. [Google Scholar] [CrossRef]
- Zhang, Y.; Jiang, L.; Zhang, W. Introduction to Durability of Concrete Structure; Shanghai Science and Technology Press: Shanghai, China, 2003. [Google Scholar]
- Zhao, G.; Li, J. Study on degradation in axial bearing capacity of a cast-in-situpile caused by sulfate attack in saline area. In Proceedings of the GeoShanghai International Conference, Shanghai, China, 26–29 May 2018; pp. 253–264. [Google Scholar]
- Wee, T.H.; Suryavanshi, A.K.; Wong, S.F.; Anisur Rahman, A.K.M. Sulfate resistance of concrete containing mineral admixtures. ACI Mater. J. 2000, 97, 536–549. [Google Scholar]
- Müllauer, W.; Beddoe, R.E.; Heinz, D. Sulfate attack expansion mechanisms. Cem. Concr. Res. 2013, 52, 208–215. [Google Scholar] [CrossRef]
- Li, X. Study on the mechanism of magnesium sulfate to cement and C-S-H gelz. Adv. Mater. Res. 2011, 243, 4687–4690. [Google Scholar] [CrossRef]
- Liu, Z.; Li, X.; Hou, L.; Shi, B.; Deng, D. Accelerating effect of fly ash damage of concrete partially immersed to sulfate environment. J. Build. Mater. 2017, 20, 339–443. [Google Scholar]
- Nie, Q.; Zhou, C.; Shu, X.; He, Q.; Huang, B. Chemical, mechanical, and durability properties of concrete with local mineral admixtures under sulfate environment in Northwest China. Materials 2014, 7, 3772–3785. [Google Scholar] [CrossRef]
- Santhanam, M.; Cohen, M.; Olek, J. Differentiating seawater and groundwaterattack in Portland cement mortars. Cem. Concr. Res. 2006, 36, 2132–2137. [Google Scholar] [CrossRef]
- Yu, C.; Sun, W.; Scrivener, K. Degradation mechanism of slag blended mortarsimmersed in sodium sulfate solution. Cem. Concr. Res. 2015, 72, 37–47. [Google Scholar] [CrossRef]
- Zhang, F.; Ma, B.; Yin, G.; Wu, Y.; Zhu, Y. Corrosion products of cement stone in lowtemperature sulfate attack environment. J. Chin. Ceram. Soc. 2008, 36, 1411–1416. [Google Scholar]
- Yuan, X.; Li, B.; Cui, G.; Zhao, S. Effects of mineral admixtures on durability ofconcrete under cyclic drying and sulfate attack. J. Chin. Ceram. Soc. 2009, 37, 1754–1759. [Google Scholar]
- Lee, B.; Kim, G.; Nam, J.; Lee, K.; Kim, G.; Lee, S.; Shin, K.; Koyama, T. Influence of α-Calcium sulfate hemihydrate on setting, compressive strength, and shrinkage strain of cement mortar. Materials 2019, 12, 163. [Google Scholar] [CrossRef]
- De Weerdt, K.; Justnes, H. The effect of sea water on the phase assemblage of hydrated cement paste. Cement Concr. Compos. 2015, 55, 215–222. [Google Scholar] [CrossRef]
- Monteiro, P.J.M.; Kurtis, K.E. Time to failure for concrete exposed to severe sulfate attack. Cem. Concr. Res. 2003, 33, 987–993. [Google Scholar] [CrossRef]
- Yu, H.; Tan, Y.; Yang, L. Microstructural evolution of concrete under the attack of chemical, salt crystallization, and bending stress. J. Mater. Civ. Eng. 2017, 29, 401–407. [Google Scholar] [CrossRef]
- Wei, J.; Yu, J.; Dong, R.; Zhou, X. Fitting research and analysis of chloride transport experiment in concrete under wetting and drying cycle. J. Southeast. Univ. 2006, S2, 150–153. [Google Scholar]
- Ma, H.; Gong, W.; Yu, H.; Sun, W. Durability of concrete subjected to dry-wet cycles in various types of Salt Lake brines. Constr. Build. Mater. 2018, 193, 286–294. [Google Scholar] [CrossRef]
- Lee, S.T.; Moon, H.Y.; Hooton, R.D.; Kim, J.P. Effects of solution concentrations and replacement levels of metakaolin on the resistance of mortars exposed to magnesium sulfate solutions. Cem. Concr. Res 2005, 35, 1314–1323. [Google Scholar] [CrossRef]
- Scarfato, P.; di Maio, L.; Fariello, M.L.; Russo, P.; Incarnato, L. Preparation and evaluation of polymer/clay nanocomposite surface treatments for concrete durability enhancement. Cem. Concr. Compos. 2012, 34, 297–305. [Google Scholar] [CrossRef]
- Hackman, I.; Hollaway, L. Epoxy-layered silicate nanocomposites in civil engineering. Compos. Part A Appl. Sci. Manuf. 2006, 37, 1161–1170. [Google Scholar] [CrossRef]
- Yu, H.; Su, W.; Yan, L.; Wang, Q. Study on frost resistance of air entrained concrete in salt lake environment of China. J. Wuhan Univ. Technol. 2004, 26, 15–18. [Google Scholar]
- Wang, J.; Niu, D.; Wang, Y.; Wang, B. Durability performanceof brine-exposed shotcrete in Salt Lake environment. Constr. Build. Mater. 2018, 188, 520–536. [Google Scholar] [CrossRef]
- Gao, C. On the importance of improving EP localization rate of EPC project of international cement engineering. New Century Cement Herald 2019, 4, 1–3. [Google Scholar]
- Yin, S.; Pang, C.; Mu, Y.; Yu, Q. Analysis of quantification method of CO2 emission from cement production and establishment of mathematical model. Cement 2012, 7, 1–6. [Google Scholar]
- Teh, S.H.; Wiedmann, T.; Castel, A.; de Burgh, J. Hybrid life cycle assessment of greenhouse gas emissions from cement, concrete and geopolymer concrete in Australia. J. Clean. Prod. 2017, 152, 312–320. [Google Scholar] [CrossRef]
- Li, Y.; Yue, W.; Pan, C.; Li, D. Experimental study on Na2SO4 corrosion of coal gangue aggregate concrete. Silic. Bull. 2018, 37, 2675–2680. [Google Scholar]
- Yuan, X.; Li, B.; Cui, G.; Zhao, S. Time-varying model of concrete strength under sulfate attack environmen. J. Yangtze River Sci. Res. Inst. 2010, 27, 59–61. [Google Scholar]
- Li, Y.; Song, Z.; Min, H. Experimental study on corrosion resistance of cement mortar mixed with fly ash to dilute sulfuric acid. Environ. Sci. Technol. 2012, 3, 127–130. [Google Scholar]
- Yu, B.; Wang, Q.; Zhou, L.; Zhang, F. Study on the influence of mineral admixture and water-glue ratio on concrete durability. Silic. Bull. 2012, 31, 391–395 + 410. [Google Scholar]
- Du, J.; Chen, Y.; Yu, G.; Ji, Y. Study on anti-sulfate corrosion performance of Fly Ash Concrete in Adsorption Zone. J. Chin. Univ. Min. Technol. Soc. Sci. 2014, 43, 600–605. [Google Scholar]
- Sideris, K.K.; Savva, A.E.; Papayianni, J. Sulfate resistance and carbonation of plain and blended cements. Cem. Concr. Compos. 2006, 28, 47–56. [Google Scholar] [CrossRef]
- Wang, W.C. Compressive strength and thermal conductivity of concrete with nanoclay under various high-temperatures. Constr. Build. Mater. 2017, 147, 305–311. [Google Scholar] [CrossRef]
- Norhasri, M.S.M.; Hamidah, M.S.; Fadzil, A.M.; Megawati, O. Inclusion of nano metakaolin as additive in ultra high performance concrete. Constr. Build. Mater. 2016, 127, 167–175. [Google Scholar] [CrossRef]
- Goncalves, J.P.; Toledo, R.D.; Fairbairn, E.M.R. Evaluation of magneslum sulphate attack in mortar metakaolins system by thermal analysis. J. Therm. Anal. Calorim. 2008, 94, 511. [Google Scholar] [CrossRef]
- Aghabaglou, A.M.; Sezer, G.I.; Ramyar, K. Comparision of fly ash, silica fmne and metakaolin from mechanical properties and durability performance of mortar mixtures view point. Constr. Build. Mater. 2014, 70, 17. [Google Scholar] [CrossRef]
- Wang, J.; Liu, D.; Hui, H.; Wang, B. Study on durability degradation of shotcrete lining corroded by compound salt. J. Civ. Eng. 2019, 52, 79–90. [Google Scholar]
- Guo, J.; Wang, K.; Guo, T.; Yang, Z.; Zhang, P. Effect of Dry–Wet Ratio on Properties of Concrete Under Sulfate Attack. Materials 2019, 12, 2755. [Google Scholar] [CrossRef]
- GB/T 50081-2002. Standard for Test Method of Mechanical Properties on Ordinary Concrete; China Building Industry Press: Beijing, China, 2002. [Google Scholar]
- GB/T 176-2008. Methods for chemical analysis of cement; Chinese Standard Institution Press: Beijing, China, 2008. [Google Scholar]
- GB/T 50082-2009. Standard for Test Method of Long-Term Performance and Durability of Ordinary Concrete; Chinese Standard Institution Press: Beijing, China, 2009. [Google Scholar]
- Zhao, G.; Shi, M.; Fan, H.; Cui, J.; Xie, F. The influence of multiple combined chemical attack on cast-in-situ concrete: Deformation, mechanical development and mechanisms. Constr. Build. Mater. 2020, 251. [Google Scholar] [CrossRef]
- Al-Amoudi, O.S.B. Attack on plain and blended cements exposed to aggressive sulfate environments. Cement Concr. Compos. 2002, 24, 305–316. [Google Scholar] [CrossRef]
- Su, J.; Ceng, Z.; Liang, Y.; Shen, Y. Grey correlation analysis of compressive strength of recycled concrete block. Low Temp. Build. Technol. 2013, 35, 5–7. [Google Scholar]
- Peng, J.; Deng, T.; Zhu, N.; Yi, D. Influence of mineral admixtures on strength of concrete and correlation analysis. J. Changjiang Acad. Sci. 2016, 33, 120–126. [Google Scholar]
- Liu, S.; Cai, H.; Yang, Y.; Cao, Y. Research progress of grey relational analysis model. Theory Pract. Syst. Eng. 2013, 33, 2041–2046. [Google Scholar]
- Wang, D.; Wang, X. Research on index weight of green supplier selection in iron and steel enterprises based on AHP/entropy method. Soft Sci. 2010, 24, 117–122. [Google Scholar]
- Moon, H.Y.; Lee, S.T.; Kim, S.S. Sulphate resistance of silica fume blended mortars exposed to various sulphate solution. Can. J. Civ. Eng. 2003, 30, 625–636. [Google Scholar] [CrossRef]
- Bernard, E.; Lothenbach, B.; Rentsch, D.; Pochard, I.; Dauzeres, A. Formationof magnesium silicate hydrates (M-S-H). Phys. Chem. Earth Parts A 2017, 99, 142–157. [Google Scholar] [CrossRef]



















| Composition | CaO | Al2O3 | SiO2 | Fe2O3 | MgO | Na2O | K2O | SO3 | P2O5 | ZrO5 |
|---|---|---|---|---|---|---|---|---|---|---|
| Cement | 68.12 | 3.31 | 21.8 | 2.78 | 0.75 | 0.04 | 0.68 | 1.03 | 0.31 | 0.32 |
| MK | 0.03 | 41.21 | 56.41 | 0.62 | 0.07 | 0.12 | 0.19 | 0.20 | 0.11 | 0.26 |
| UFA | 2.21 | 35.61 | 54.64 | 5.18 | 0.41 | 0.31 | 0.45 | 0.51 | 0.21 | 0.19 |
| Admixture Content | NO | Cement kg/m3 | MK kg/m3 | UFA kg/m3 | Sand kg/m3 | Aggregate kg/m3 | Water kg/m3 | Water Reducing Agent kg/m3 |
|---|---|---|---|---|---|---|---|---|
| Normal | N0 | 500 | 0 | 0 | 619 | 1101 | 180 | 3 |
| M5% | M05 | 475 | 25 | 0 | 619 | 1101 | 180 | 4 |
| M10% | M10 | 450 | 50 | 0 | 619 | 1101 | 180 | 4 |
| M15% | M15 | 425 | 75 | 0 | 619 | 1101 | 180 | 4 |
| F10% | F10 | 450 | 0 | 50 | 619 | 1101 | 180 | 3 |
| F20% | F20 | 400 | 0 | 100 | 619 | 1101 | 180 | 3 |
| F30% | F30 | 350 | 0 | 150 | 619 | 1101 | 180 | 3 |
| M10%; F10% | M10F10 | 400 | 50 | 50 | 619 | 1101 | 180 | 4 |
| M10%; F20% | M10F20 | 350 | 50 | 100 | 619 | 1101 | 180 | 4 |
| M10%; F30% | M10F30 | 300 | 50 | 150 | 619 | 1101 | 180 | 4 |
| Number | 10%NaSO4 Erosion | 10%MgSO4 Erosion | ||||||||
|---|---|---|---|---|---|---|---|---|---|---|
| Curing for 28 Days | Cycle for 20 Days | Cycle for 40 Days | Cycle for 80 Days | Cycle for 120 Days | Curing for 28 Days | Cycle for 20 Days | Cycle for 40 Days | Cycle for 80 Days | Cycle for 120 Days | |
| x′0 | 51 | 56.2 | 60.3 | 61.7 | 61 | 54.8 | 58.1 | 62.5 | 63.1 | 62 |
| x0 | 1 | 1.10 | 1.18 | 1.21 | 1.20 | 1 | 1.06 | 1.14 | 1.15 | 1.13 |
| x′1 | 51.8 | 56.2 | 53.3 | 41.7 | 30.9 | 54.8 | 61.4 | 57.6 | 47.5 | 32.2 |
| x1 | 1 | 1.08 | 1.03 | 0.81 | 0.60 | 1 | 1.12 | 1.05 | 0.87 | 0.59 |
| x′2 | 53.3 | 60.5 | 60.2 | 52.4 | 37.3 | 59.3 | 61.6 | 57.4 | 49.3 | 34.6 |
| x2 | 1 | 1.14 | 1.13 | 0.98 | 0.70 | 1 | 1.04 | 0.97 | 0.83 | 0.58 |
| x′3 | 59.7 | 66.7 | 70.2 | 66.4 | 55.3 | 62.7 | 65.5 | 58.4 | 49.4 | 33.6 |
| x3 | 1 | 1.12 | 1.18 | 1.11 | 0.93 | 1 | 1.04 | 0.93 | 0.79 | 0.54 |
| x′4 | 62.2 | 69.4 | 73.1 | 70.9 | 61.3 | 63.1 | 66.4 | 56.6 | 44.2 | 30.0 |
| x4 | 1 | 1.12 | 1.18 | 1.14 | 0.99 | 1 | 1.05 | 0.90 | 0.70 | 0.48 |
| x′5 | 54.1 | 58.1 | 52.3 | 47.8 | 35.6 | 50.1 | 58.8 | 54.7 | 47.7 | 36.8 |
| x5 | 1 | 1.07 | 0.97 | 0.88 | 0.66 | 1 | 1.17 | 1.09 | 0.95 | 0.73 |
| x′6 | 49.1 | 57.9 | 56.5 | 55.2 | 43 | 47.9 | 56.7 | 55.7 | 49.3 | 37.0 |
| x6 | 1 | 1.18 | 1.15 | 1.12 | 0.88 | 1 | 1.18 | 1.16 | 1.03 | 0.77 |
| x′7 | 45.3 | 55.3 | 54.7 | 54.2 | 42.8 | 42.3 | 51.8 | 52.7 | 51.2 | 39.9 |
| x7 | 1 | 1.22 | 1.21 | 1.20 | 0.94 | 1 | 1.22 | 1.25 | 1.21 | 0.94 |
| x′8 | 55.6 | 62.8 | 66.9 | 62.6 | 51.9 | 62.1 | 66.4 | 62.9 | 50.1 | 36.2 |
| x8 | 1 | 1.13 | 1.20 | 1.13 | 0.93 | 1 | 1.07 | 1.01 | 0.81 | 0.58 |
| x′9 | 54.7 | 61.1 | 65.2 | 61.8 | 53.8 | 56.9 | 63.2 | 60.7 | 53.1 | 38.6 |
| x9 | 1 | 1.12 | 1.19 | 1.13 | 0.98 | 1 | 1.11 | 1.07 | 0.93 | 0.68 |
| x′10 | 51.9 | 59.6 | 65.2 | 63.1 | 58.4 | 56.9 | 63.2 | 60.7 | 53.1 | 38.6 |
| x10 | 1 | 1.15 | 1.26 | 1.22 | 1.13 | 1 | 1.09 | 1.06 | 0.96 | 0.71 |
Publisher’s Note: MDPI stays neutral with regard to jurisdictional claims in published maps and institutional affiliations. |
© 2021 by the authors. Licensee MDPI, Basel, Switzerland. This article is an open access article distributed under the terms and conditions of the Creative Commons Attribution (CC BY) license (https://creativecommons.org/licenses/by/4.0/).
Share and Cite
Chen, X.; Sun, Z.; Pang, J. A Research on Durability Degradation of Mineral Admixture Concrete. Materials 2021, 14, 1752. https://doi.org/10.3390/ma14071752
Chen X, Sun Z, Pang J. A Research on Durability Degradation of Mineral Admixture Concrete. Materials. 2021; 14(7):1752. https://doi.org/10.3390/ma14071752
Chicago/Turabian StyleChen, Xupeng, Zhuowen Sun, and Jianyong Pang. 2021. "A Research on Durability Degradation of Mineral Admixture Concrete" Materials 14, no. 7: 1752. https://doi.org/10.3390/ma14071752
APA StyleChen, X., Sun, Z., & Pang, J. (2021). A Research on Durability Degradation of Mineral Admixture Concrete. Materials, 14(7), 1752. https://doi.org/10.3390/ma14071752
