Photoresponse Dimensionality of Organic Field-Effect Transistor
Abstract
:1. Introduction
2. Materials and Methods
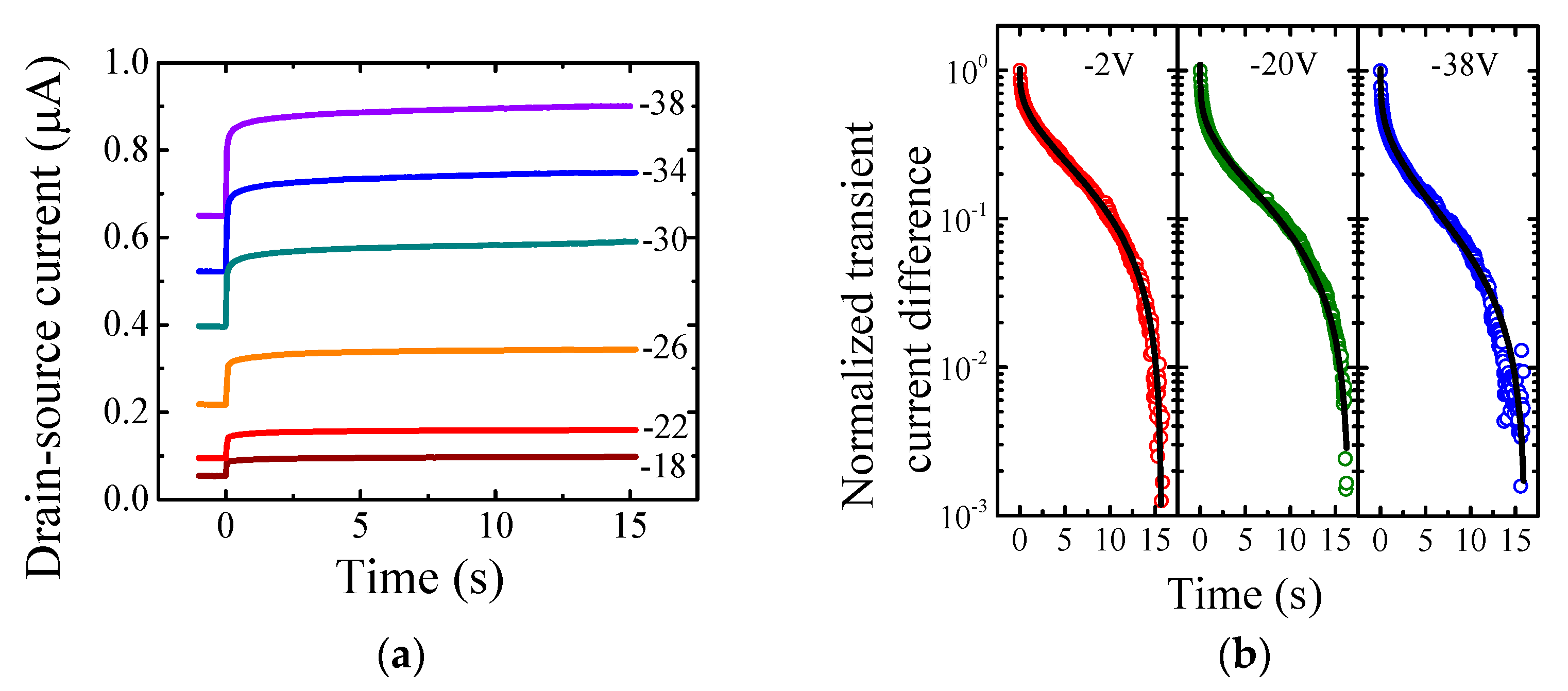
3. Results and Discussion
4. Conclusions
Supplementary Materials
Author Contributions
Funding
Institutional Review Board Statement
Informed Consent Statement
Data Availability Statement
Conflicts of Interest
References
- Sang, L.; Liao, M.; Sumiya, M. A comprehensive review of semiconductor ultraviolet photodetectors: From thin film to one-dimensional nanostructures. Sensors 2013, 13, 10482–10518. [Google Scholar] [CrossRef]
- Teng, F.; Hu, K.; Ouyang, W.; Fang, X. Photoelectric detectors based on inorganic p-type semiconductor materials. Adv. Mater. 2018, 30, 1706262. [Google Scholar] [CrossRef] [PubMed]
- Baeg, K.J.; Binda, M.; Natali, D.; Caironi, M.; Noh, Y.Y. Organic light detectors: Photodiodes and phototransistors. Adv. Mater. 2013, 25, 4267–4295. [Google Scholar] [CrossRef]
- Jansen-van Vuuren, R.D.; Armin, A.; Pandey, A.K.; Burn, P.L.; Meredith, P. Organic photodiodes: The future of full color detection and image sensing. Adv. Mater. 2016, 28, 4766–4802. [Google Scholar] [CrossRef] [PubMed]
- Yang, D.; Ma, D. Development of organic semiconductor photodetectors: From mechanism to applications. Adv. Opt. Mater. 2019, 7, 1800522. [Google Scholar] [CrossRef]
- Horowitz, G. Organic Transistors. In Organic Electronics, 1st ed.; Klauk, H., Ed.; Wiley-VCH: Weinheim, Germany, 2006; pp. 3–33. [Google Scholar]
- Han, T.; Sun, L.; Feng, Q.; Cao, K.; Ding, S.; Jin, G.; Jiang, C.; Huang, X. The mechanism of photogenerated minority carrier movement in organic phototransistors. J. Mater. Chem. C 2020, 8, 12284–12290. [Google Scholar] [CrossRef]
- Su, Y.; Ouyang, M.; Liu, P.; Luo, Z.; Xie, W.; Xu, J. Insights into the Interfacial Properties of Low-Voltage CuPc Field Effect Transistors. ACS Appl. Mater. Interfaces 2013, 5, 4960–4965. [Google Scholar] [CrossRef]
- Yakuphanoglu, F.; Caglar, M.; Caglar, Y.; Ilican, S. Improved mobility of the copper phthalocyanine thin-film transistor. Synth. Met. 2010, 160, 1520–1523. [Google Scholar] [CrossRef]
- Puigdollers, J.; Voz, C.; Fonrodona, M.; Cheylan, S.; Stella, M.; Andreu, J.; Vetter, M.; Alcubilla, R. Copper phthalocyanine thin-film transistors with polymeric gate dielecric. J. Non-Cryst. Solids 2006, 352, 1778–1782. [Google Scholar] [CrossRef]
- Johnston, D.C. Stretched exponential relaxation arising from a continuous sum of exponential decays. Phys. Rev. B 2006, 74, 184430. [Google Scholar] [CrossRef] [Green Version]
- Lukichev, A. Physical meaning of the stretched exponential Kohlrausch function. Phys. Lett. A 2019, 383, 2983–2987. [Google Scholar] [CrossRef]
- Wu, J.H.; Jia, Q. The heterogeneous energy landscape expression of KWW relaxation. Sci. Rep. 2016, 6, 20506. [Google Scholar] [CrossRef] [PubMed] [Green Version]
- Lee, J.M.; Cho, I.T.; Lee, J.H.; Kwon, H.I. Bias-stress-induced stretched-exponential time dependence of threshold voltage shift in InGaZnO thin film transistors. Appl. Phys. Lett. 2008, 93, 093504. [Google Scholar] [CrossRef]
- Phillips, J.C. Stretched-exponential carrier relaxation in semiconductors. Phys. Rev. B 1995, 52, R8637–R8639. [Google Scholar] [CrossRef] [PubMed]
- Sturman, B.; Podivilov, E.; Gorkunov, M. Origin of Stretched Exponential Relaxation for Hopping-Transport Models. Phys. Rev. Lett. 2003, 91, 176602. [Google Scholar] [CrossRef] [PubMed]
- Li, C.; Duan, L.; Li, H.; Qiu, Y. Universal Trap Effect in Carrier Transport of Dis-ordered Organic Semiconductors: Transition from Shallow Trapping to Deep Trapping. J. Phys. Chem. C 2014, 114, 10651–10660. [Google Scholar] [CrossRef]
- Bässler, H. Charge transport in disordered organic photoconductors. A Monte Carlo simulation study. Phys. Status Solidi B 1993, 175, 15–56. [Google Scholar] [CrossRef]
- Verlaak, S.; Arkhipov, V.; Heremans, P. Modeling of transport in polycrystalline organic semiconductor films. Appl. Phys. Lett. 2003, 82, 745–747. [Google Scholar] [CrossRef]
- Marshall, J.M. A trap-limited model for dispersive transport in semiconductors. Philos. Mag. 1977, 36, 959–975. [Google Scholar] [CrossRef]
- Lorrmann, J.; Ruf, M.; Vocke, D.; Dyakonov, V.; Deibel, C. Distribution of charge carrier transport properties in organic semiconductors with Gaussian disorder. J. Appl. Phys. 2014, 115, 183702. [Google Scholar] [CrossRef] [Green Version]
- Scher, H.; Wu, C.H. Random walk theory of a trap-controlled hopping transport process. Proc. Natl. Acad. Sci. USA 1981, 78, 22–26. [Google Scholar] [CrossRef] [PubMed] [Green Version]
- Donsker, M.D.; Varadhan, S.R.S. On the number of distinct sites visited by a random walk. Commun. Pure Appl. Math. 1979, 32, 721–747. [Google Scholar] [CrossRef]
- Dost, R.; Das, A.; Grell, M. Time-of-flight mobility measurements in organic field-effect transistors. J. Appl. Phys. 2008, 104, 084519. [Google Scholar] [CrossRef]
- Weis, M.; Lin, J.; Taguchi, D.; Manaka, T.; Iwamoto, M. Analysis of transient cur-rents in organic field effect transistor: The time-of-flight method. J. Phys. Chem. C. 2009, 113, 18459–18461. [Google Scholar] [CrossRef]
- Li, H.; Brédas, J.L. Quasi-One-Dimensional Charge Transport Can Lead to Non-linear Current Characteristics in Organic Field-Effect Transistors. J. Phys. Chem. Lett. 2018, 9, 6550–6555. [Google Scholar] [CrossRef]
- Weis, M. Gradual channel approximation models for organic field-effect transistors: The space-charge field effect. J. Appl. Phys. 2012, 111, 054506. [Google Scholar] [CrossRef]



| Parameter | Value | |
|---|---|---|
| Dark | Illuminated | |
| Effective mobility (×10−3 cm2·V−1·s−1) | 1.06 ± 0.01 | 1.50 ± 0.01 |
| Threshold voltage (V) | 9.3 ± 0.1 | 25.8 ± 0.1 |
| Subthreshold swing (V/dec) | 8.6 ± 0.1 | 10.7 ± 0.1 |
| On/Off ratio | 104 | 103 |
| Parameter | Value |
|---|---|
| Responsivity R (mA·W−1) | 30 |
| Photosensitivity P | 104 |
| Noise equivalent power NEP (nW·Hz−1/2) | 12 |
| Detectivity D* (Jones) | 9 × 1010 |
Publisher’s Note: MDPI stays neutral with regard to jurisdictional claims in published maps and institutional affiliations. |
© 2021 by the authors. Licensee MDPI, Basel, Switzerland. This article is an open access article distributed under the terms and conditions of the Creative Commons Attribution (CC BY) license (https://creativecommons.org/licenses/by/4.0/).
Share and Cite
Vincze, T.; Micjan, M.; Nevrela, J.; Donoval, M.; Weis, M. Photoresponse Dimensionality of Organic Field-Effect Transistor. Materials 2021, 14, 7465. https://doi.org/10.3390/ma14237465
Vincze T, Micjan M, Nevrela J, Donoval M, Weis M. Photoresponse Dimensionality of Organic Field-Effect Transistor. Materials. 2021; 14(23):7465. https://doi.org/10.3390/ma14237465
Chicago/Turabian StyleVincze, Tomas, Michal Micjan, Juraj Nevrela, Martin Donoval, and Martin Weis. 2021. "Photoresponse Dimensionality of Organic Field-Effect Transistor" Materials 14, no. 23: 7465. https://doi.org/10.3390/ma14237465
APA StyleVincze, T., Micjan, M., Nevrela, J., Donoval, M., & Weis, M. (2021). Photoresponse Dimensionality of Organic Field-Effect Transistor. Materials, 14(23), 7465. https://doi.org/10.3390/ma14237465

