Numerical Investigation of Composite Behavior and Strength of Rectangular Concrete-Filled Cold-Formed Steel Tubular Stub Columns
Abstract
:1. Introduction
2. Finite Element Modeling and Analysis
2.1. Finite Element Models
2.1.1. Element Types and Mesh Generation
2.1.2. Material Constitutive Models
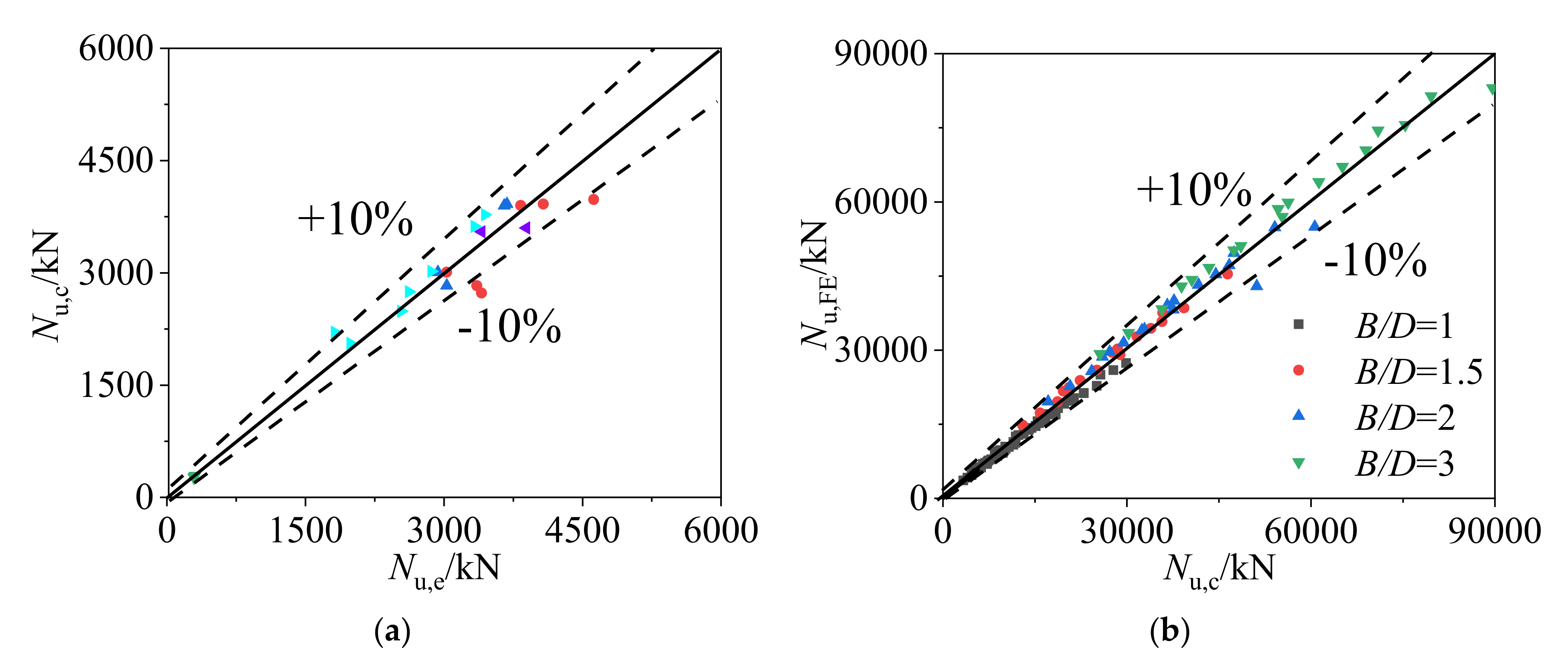
2.2. Model Validation
2.3. Parametric Study
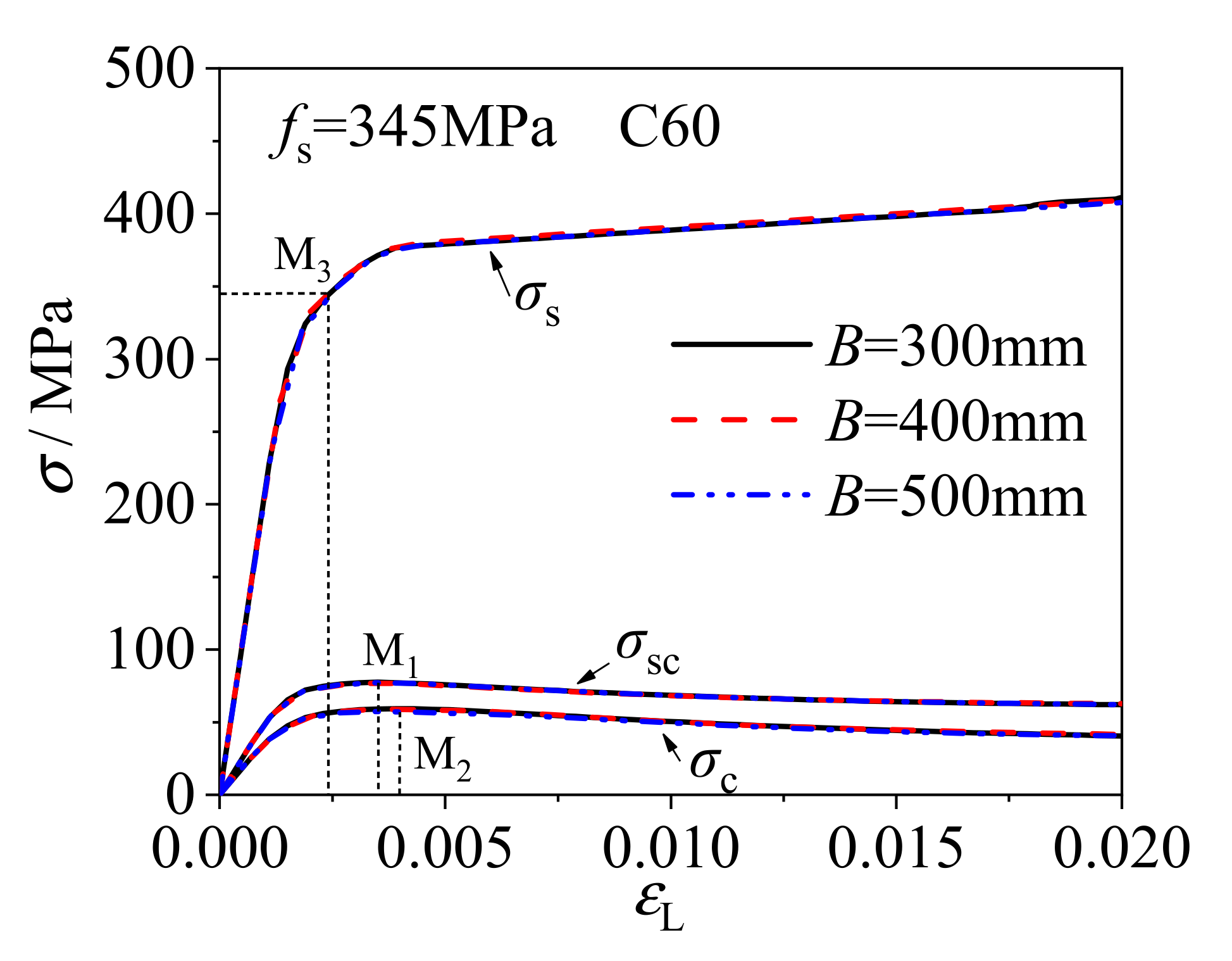
2.3.1. Constitutive Models of Cold-Formed Steel
2.3.2. Length over Width Ratio (B/D) of Rectangular Section

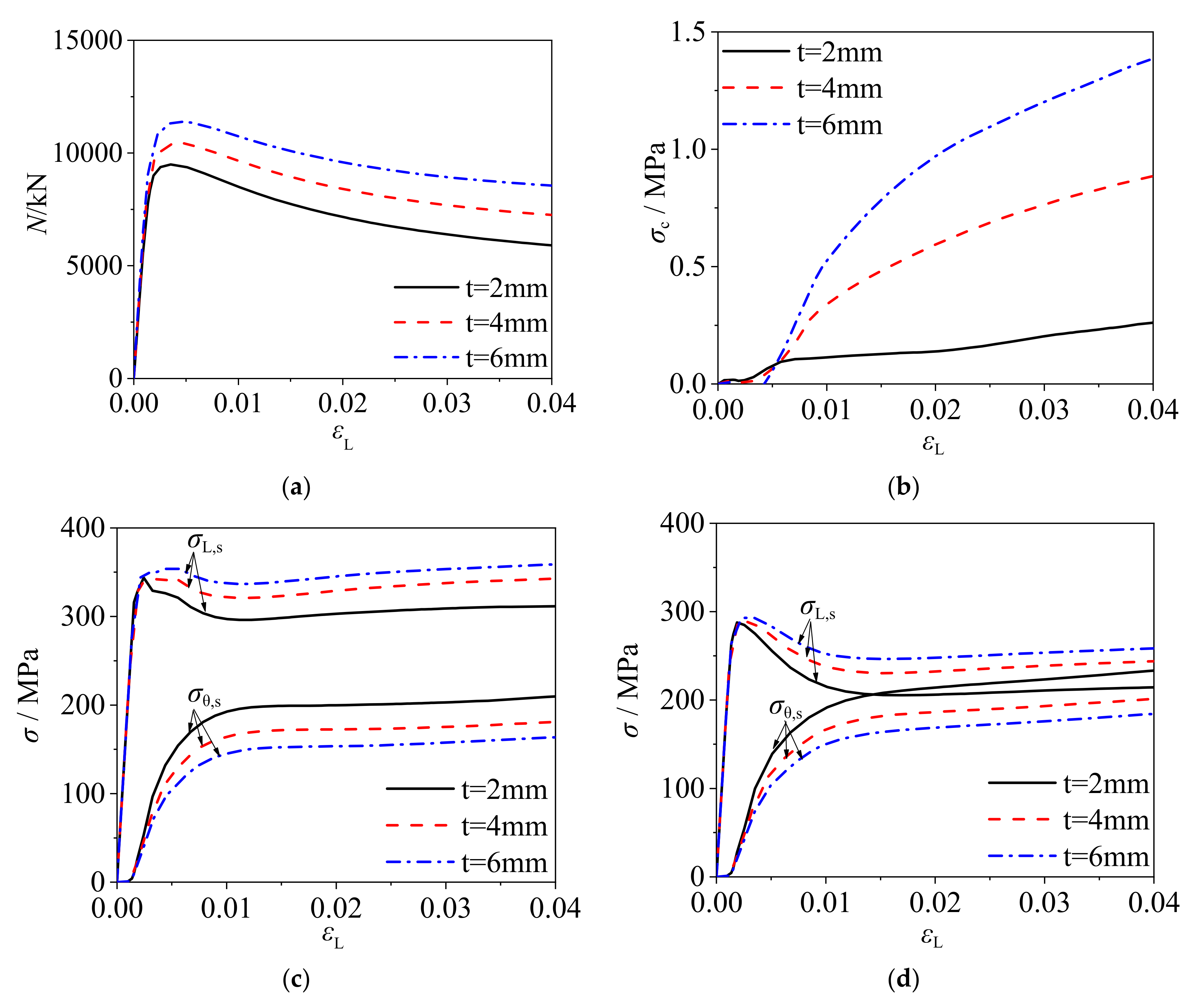
2.3.3. Wall-Thickness and Width
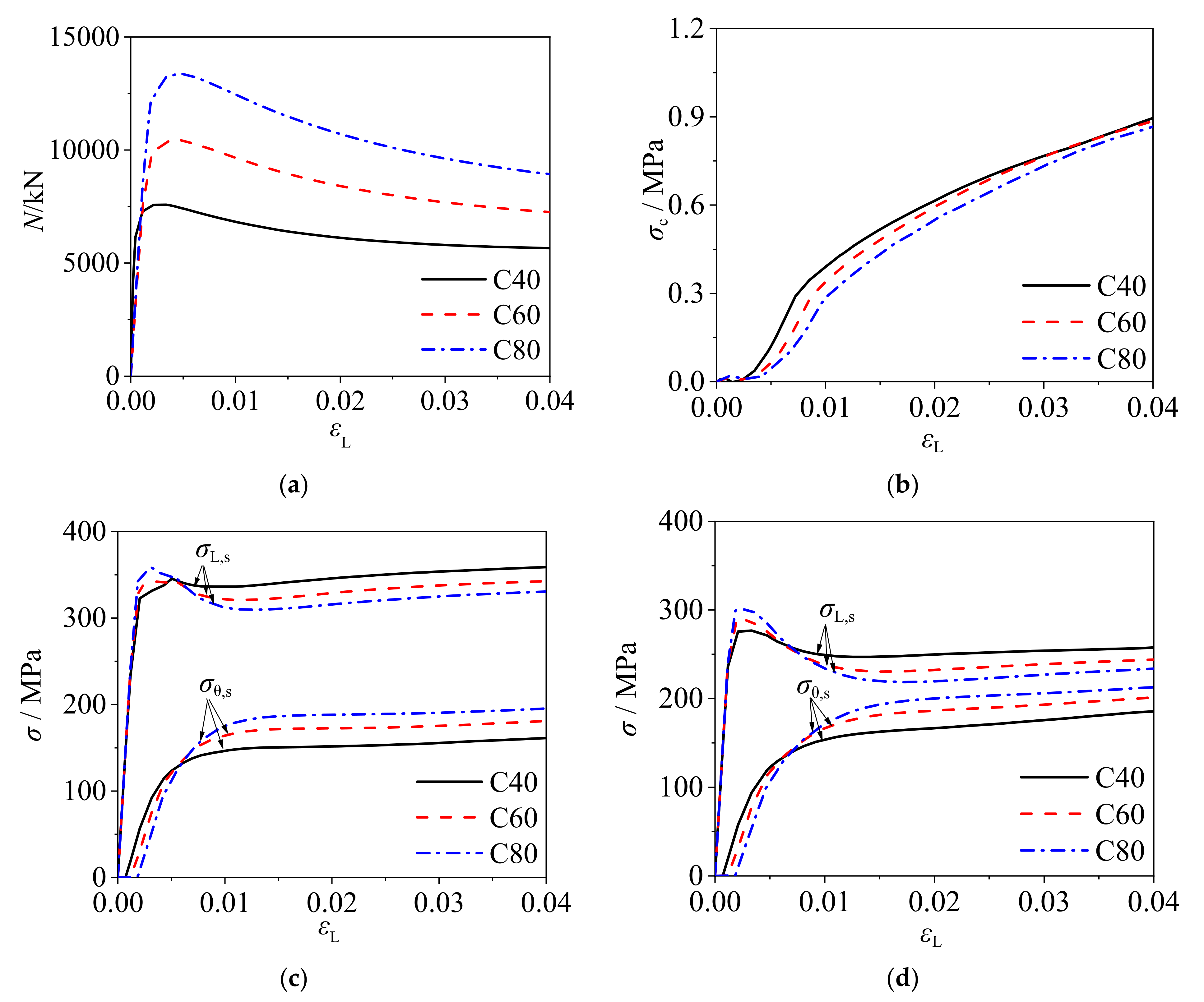
2.3.4. Concrete Strength
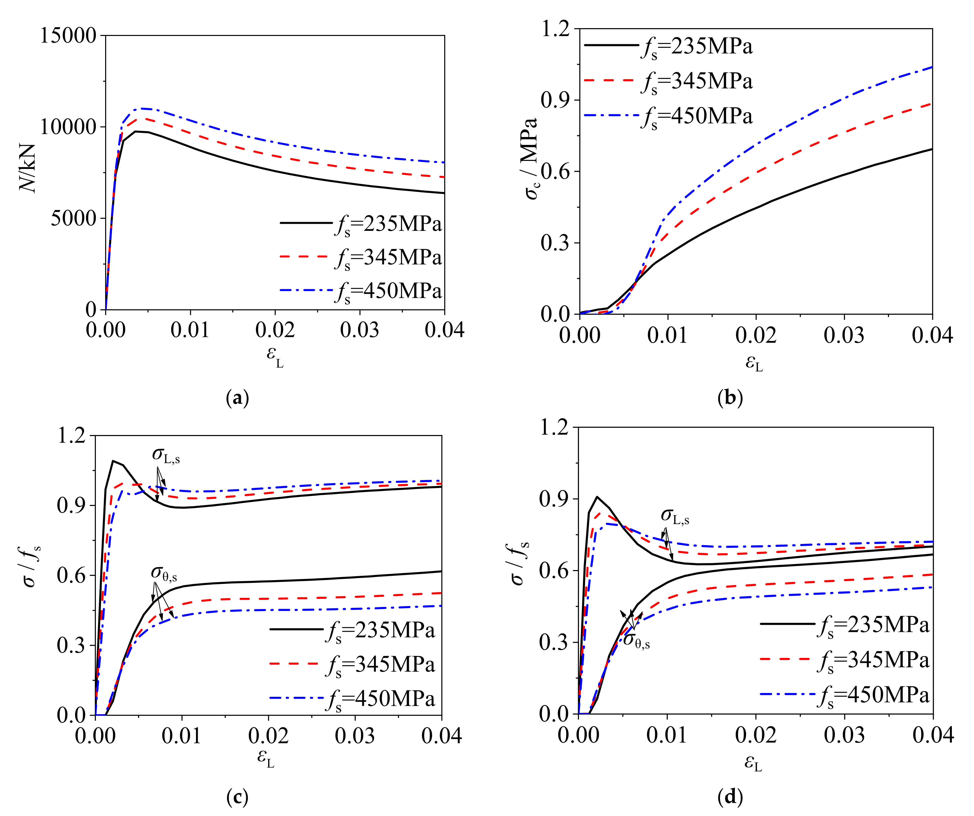
2.3.5. Yield Strength of Cold-Formed Steel
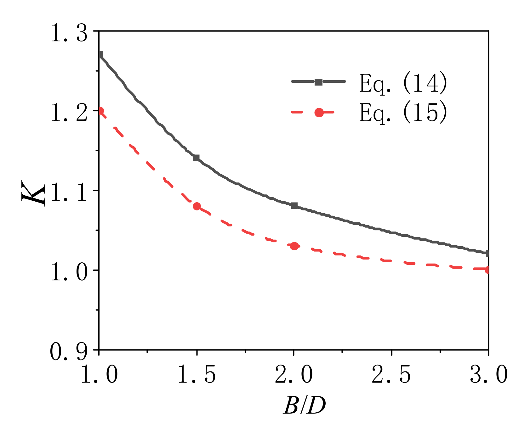
3. Practical Design Formula for Load Bearing Capacity
3.1. Model Simplification
3.2. Formulation and Validation
4. Conclusions
- When B/t is constant for square columns, changing the sectional length B has little effect on the mechanical properties of the CFCFST columns. When B is constant, the confinement effect increases but the confinement efficiency decreases with the increase of wall-thickness t. The composite behavior decreases with the increase of B/D of rectangular CFCFST columns.
- With the increase of concrete strength, the confinement effect decreases but the constraint efficiency increases. However, the results are opposite with the increase of yield strength of cold-formed steel.
- In the proposed formula, the confinement coefficient of square CFCFST stub columns in this study was 1.25, which was greater than the confinement coefficient of 1.2 for concrete-filled square hot-rolled steel tubular stub columns but smaller than the confinement coefficient of 1.4 for concrete-filled square stainless steel tubular stub columns.
Author Contributions
Funding
Institutional Review Board Statement
Informed Consent Statement
Data Availability Statement
Acknowledgments
Conflicts of Interest
References
- Aslani, F.; Uy, B.; Wang, Z.W.; Patel, V. Confinement models for high strength short square and rectangular concrete-filled steel tubular columns. Steel Compos. Struct. 2016, 22, 937–974. [Google Scholar] [CrossRef]
- Wan, C.Y.; Zha, X.X. Nonlinear analysis and design of concrete-filled dual steel tubular columns under axial loading. Steel Compos. Struct. 2016, 20, 571–597. [Google Scholar] [CrossRef]
- Yang, Y.; Zhou, J.; Wei, J.; Huang, L.; Wu, Q.; Chen, B. Experimental study on the compression of concrete filled steel tubular latticed columns with variable cross section. Steel Compos. Struct. 2016, 22, 663–675. [Google Scholar] [CrossRef]
- Wang, Z.B.; Tao, Z.; Yu, Q. Axial compressive behaviour of concrete-filled double-tube stub columns with stiffeners. Thin-Walled Struct. 2017, 120, 91–104. [Google Scholar] [CrossRef]
- Pons, D.; Espinós, A.; Albero, V.; Romero, M.L. Numerical study on axially loaded ultra-high strength concrete-filled dual steel columns. Steel Compos. Struct. 2018, 26, 705–717. [Google Scholar] [CrossRef]
- Azad, S.K.; Uy, B. Effect of concrete infill on local buckling capacity of circular tubes. J. Constr. Steel Res. 2020, 165, 105899. [Google Scholar] [CrossRef]
- Uy, B.; Tao, Z.; Han, L.H. Behaviour of short and slender concrete-filled stainless steel tubular columns. J. Constr. Steel Res. 2011, 67, 360–378. [Google Scholar] [CrossRef]
- Tao, Z.; Wang, Z.B.; Han, L.H. Behavior of rectangular cold-formed steel tubular columns filled with concrete. Eng. Mech. 2006, 23, 147–155. [Google Scholar] [CrossRef]
- Zhang, D. Bearing Capacity Research on Cold-Formed Medium-Walled Square Steel Stub Columns Filled with Concrete. MA. Eng., Huazhong University of Science and Technology, Wuhan, China, 2012. (In Chinese). [Google Scholar]
- Li, D. Study on the Mechanical Properties of Concrete Filled High Strength Cold-formed Steel Tubular Columns. Master’s Thesis, Yangtze University, Jingzhou, China, 2017. (In Chinese). [Google Scholar]
- Naghipour, M.; Yousofizinsaz, G.; Shariati, M. Experimental study on axial compressive behavior of welded built-up CFT stub columns made by cold-formed sections with different welding lines. Steel Comp. Struct. 2020, 34, 347–359. [Google Scholar] [CrossRef]
- Cai, Y.C.; Su, M.N.; Chen, X.R.; Young, B. High strength steel square and rectangular tubular stub columns infilled with concrete. J. Constr. Steel Res. 2021, 179, 106536. [Google Scholar] [CrossRef]
- Zhu, A.Z.; Zhang, X.W.; Zhu, H.P.; Zhu, J.H.; Lu, Y. Experimental study of concrete filled cold-formed steel tubular stub columns. J. Constr. Steel Res. 2017, 134, 17–27. [Google Scholar] [CrossRef] [Green Version]
- Ferhoune, N. Experimental behaviour of cold-formed steel welded tube filled with concrete made of crushed crystallized slag subjected to eccentric load. Thin-Walled Struct. 2014, 80, 159–166. [Google Scholar] [CrossRef]
- Liu, F.; Wang, Y.; Chan, T.M. Behaviour of concrete-filled cold-formed elliptical hollow sections with varying aspect ratios. Thin-Walled Struct. 2017, 110, 47–61. [Google Scholar] [CrossRef]
- Zhao, X.L.; Grzebieta, R.H.; Wong, P.; Lee, C. Concrete filled cold-formed C450 RHS columns subjected to cyclic axial loading. Adv. Steel Struct. 1999, 1, 429–436. [Google Scholar]
- Qu, X.S.; Chen, Z.H.; Sun, G.J. Axial behaviour of rectangular concrete-filled cold-formed steel tubular columns with different loading methods. Steel Compos. Struct. 2015, 18, 71–90. [Google Scholar] [CrossRef]
- Elchalakani, M.; Zhao, X.L.; Grzebieta, R. Concrete-filled steel circular tubes subjected to constant amplitude cyclic pure bending. Eng. Struct. 2004, 26, 2125–2135. [Google Scholar] [CrossRef]
- Hansapinyo, C. Responses of concrete-filled cold-formed square hollow and double-C steel stub columns under cyclic and repeated Loadings. Adv. Mater. Res. 2011, 255–260, 198–203. [Google Scholar] [CrossRef]
- Ding, F.X.; Luo, L.; Zhu, J.; Wang, L.P.; Yu, Z.W. Mechanical behavior of stirrup-confined rectangular CFT stub columns under axial compression. Thin-Walled Struct. 2018, 124, 136–150. [Google Scholar] [CrossRef]
- Ding, F.X.; Yin, Y.X.; Wang, L.P.; Yu, Y.J.; Luo, L.; Yu, Z.W. Confinement coefficient of concrete-filled square stainless steel tubular stub columns. Steel Compos. Struct. 2019, 30, 337–350. [Google Scholar] [CrossRef]
- Ding, F.X.; Wang, W.J.; Liu, X.M.; Wang, L.P.; Sun, Y. Mechanical behavior of outer square inner circular concrete filled dual steel tubular stub columns. Steel Compos. Struct. 2021, 38, 305–317. [Google Scholar] [CrossRef]
- Lu, D.R.; Wang, W.J.; Ding, F.X.; Liu, X.M.; Fang, C.J. The impact of stirrups on the composite action of concrete-filled steel tubular stub columns under axial loading. Structures 2021, 30, 768–802. [Google Scholar] [CrossRef]
- Ding, F.X.; Wang, W.J.; Lu, D.R.; Liu, X.M. Study on the behavior of concrete-filled square double-skin steel tubular stub columns under axial loading. Structures 2020, 23, 665–676. [Google Scholar] [CrossRef]
- Wei, Y.; Zhang, Y.R.; Chai, J.L.; Wu, G.; Dong, Z.Q. Experimental investigation of rectangular concrete-filled fiber reinforced polymer (FRP)-steel composite tube columns for various corner radii. Compos. Struct. 2020, 244, 112311. [Google Scholar] [CrossRef]
- Ouyang, Y.; Kwan, A.K.H. Finite element analysis of square concrete-filled steel tube (CFST) columns under axial compressive load. Eng. Struct. 2018, 156, 443–459. [Google Scholar] [CrossRef]
- GB/T 6728-2002: Cold Formed Steel Hollow Sections for General Structure-Dimensions, Shapes, Weight and Permissible Deviation; Standards Press of China: Beijing, China, 2002. (In Chinese)
- Ding, F.X.; Ying, X.Y.; Zhou, L.C.; Yu, Z.W. Unified calculation method and its application in determining the uniaxial mechanical properties of concrete. Front. Archit. Civ. Eng. China 2011, 5, 381–393. [Google Scholar] [CrossRef]
- Abdel-Rahman, N.; Sivakumaran, K.S. Material properties models for analysis of cold-formed steel members. J. Struct. Eng. 1997, 123, 1135–1143. [Google Scholar] [CrossRef]
- Ananthi, G.; Roy, K.; Lim, J.B.P. Experimental and numerical investigations on axial strength of back-to-back built-up cold-formed steel angle columns. Steel Compos. Struct. 2019, 31, 601–615. [Google Scholar] [CrossRef]
- Serror, M.H.; Soliman, E.G.; Hassan, A.F. Numerical study on the rotation capacity of CFRP strengthened cold formed steel beams. Steel Compos. Struct. 2017, 23, 385–397. [Google Scholar] [CrossRef]
- Rasmussen, K.J.R. Full-range stress–strain curves for stainless steel alloys. J. Constr. Steel Res. 2003, 59, 47–61. [Google Scholar] [CrossRef]
- Ding, F.X.; Yu, Z.W.; Bai, Y.; Gong, Y.Z. Elasto plastic analysis of circular concrete-filled steel tube stub columns. J. Constr. Steel Res. 2011, 67, 1567–1577. [Google Scholar] [CrossRef]














| Ref. | Specimens | B × D × t (mm) | L (mm) | Es (MPa) | fcu (MPa) | fs (MPa) | Nu,e (kN) | Nu,FE (kN) | Nu,c (kN) | Nu,e/Nu,FE | Nu,e/Nu,c |
|---|---|---|---|---|---|---|---|---|---|---|---|
| [8] | CFT-SC | 150 × 100 × 3.2 | 450 | 209,000 | 53.6 | 380 | 1208 | 1224 | 1172 | 0.99 | 1.02 |
| [10] | CRST1 | 200 × 150 × 3.4 | 600 | 206,000 | 39 | 446 | 2059 | 1988 | 1987 | 1.04 | 1.00 |
| CRST2 | 200 × 150 × 5.1 | 600 | 202,000 | 39 | 450 | 2487 | 2622 | 2536 | 0.95 | 0.93 | |
| CRST3 | 200 × 150 × 5.6 | 600 | 200,000 | 39 | 410 | 2748 | 2849 | 2619 | 0.96 | 1.04 | |
| CRST4 | 200 × 150 × 4.9 | 600 | 206,000 | 39 | 409 | 2207 | 2253 | 1817 | 0.98 | 1.22 | |
| CRST5 | 200 × 200 × 6.1 | 600 | 192,000 | 26.3 | 406 | 3621 | 3525 | 3330 | 1.03 | 1.09 | |
| CRST6 | 200 × 200 × 5.8 | 600 | 200,000 | 26.3 | 440 | 3777 | 3739 | 3443 | 1.01 | 1.10 | |
| CRST7 | 200 × 200 × 4.8 | 600 | 202,000 | 26.3 | 407 | 3020 | 3655 | 2862 | 0.83 | 1.06 | |
| [9] | Ca6-1 | 200 × 200 × 6 | 600 | 206,000 | 20.0 | 393 | 3010 | 3130 | 2934 | 0.96 | 1.03 |
| Ca6-2 | 200 × 200 × 6 | 600 | 206,000 | 20.0 | 393 | 2830 | 3130 | 3029 | 0.90 | 0.93 | |
| Ca10-1 | 200 × 200 × 10 | 600 | 206,000 | 20.0 | 331 | 3920 | 4060 | 3682 | 0.97 | 1.06 | |
| Ca10-2 | 200 × 200 × 10 | 600 | 206,000 | 20.0 | 331 | 3900 | 4060 | 3653 | 0.96 | 1.07 | |
| [13] | Pa-6-1 | 197 × 197 × 6.4 | 600 | 206,000 | 20.5 | 461 | 2730 | 3066 | 3407 | 0.89 | 0.80 |
| Pa-6-2 | 198.5 × 198.5 × 6.1 | 600 | 206,000 | 20.5 | 406 | 3010 | 3066 | 3030 | 0.98 | 0.99 | |
| Pa-6-3 | 200.5 × 200.5 × 6.3 | 600 | 206,000 | 20.5 | 445 | 2830 | 3066 | 3355 | 0.92 | 0.84 | |
| Pa-10-1 | 201.0 × 201.0 × 10.3 | 600 | 206,000 | 20.5 | 424 | 3980 | 4150 | 4621 | 0.96 | 0.86 | |
| Pa-10-2 | 201.0 × 201.0 × 10.0 | 600 | 206,000 | 20.5 | 372 | 3920 | 4150 | 4075 | 0.94 | 0.96 | |
| Pa-10-3 | 199.5 × 199.5 × 10.1 | 600 | 206,000 | 20.5 | 348 | 3900 | 4150 | 3830 | 0.94 | 1.02 | |
| [14] | P1C | 100 × 70 × 2.1 | 200 | 206,000 | 20 | 270 | 290 | 316 | 304 | 0.92 | 0.94 |
| P2C | 100 × 70 × 2 | 300 | 206,000 | 20 | 270 | 270 | 312 | 294 | 0.87 | 0.91 | |
| P3C | 99 × 70 × 2 | 400 | 206,000 | 20 | 270 | 265 | 260 | 293 | 1.02 | 0.89 | |
| [17] | ZYB-9 | 300 × 200 × 5.73 | 1000 | 216,400 | 31 | 336 | 3550 | 3000 | 3407 | 1.18 | 1.03 |
| ZYB-7 | 300 × 200 × 5.73 | 800 | 216,400 | 41 | 336 | 3600 | 3350 | 3891 | 1.07 | 0.92 | |
| Mean | 0.97 | 0.99 | |||||||||
| Cov | 0.07 | 0.09 |
| B/D | b1/b | b2/b | d1/d | d2/d |
|---|---|---|---|---|
| 1 | 7/20 | 7/20 | 7/20 | 7/20 |
| 1.5 | 2/3 | 1/8 | 1/3 | 1/6 |
| 2 | 1/2 | 1/6 | 4/9 | 1/4 |
| 3 | 2/5 | 1/5 | 1/2 | 1/3 |
| B/D | σL,s1/fs | σL,s2/fs | σθ,s1/fs | σθ,s2/fs | Ac1/Ac | Ac2/Ac | K |
|---|---|---|---|---|---|---|---|
| 1 | 0.89 | 0.28 | 0.22 | 0.77 | 1.25 | ||
| 1.5 | 0.91 | 0.92 | 0.25 | 0.26 | 0.47 | 0.53 | 1.14 |
| 2 | 0.92 | 0.92 | 0.23 | 0.23 | 0.59 | 0.41 | 1.08 |
| 3 | 0.92 | 0.93 | 0.20 | 0.21 | 0.73 | 0.27 | 1.02 |
Publisher’s Note: MDPI stays neutral with regard to jurisdictional claims in published maps and institutional affiliations. |
© 2021 by the authors. Licensee MDPI, Basel, Switzerland. This article is an open access article distributed under the terms and conditions of the Creative Commons Attribution (CC BY) license (https://creativecommons.org/licenses/by/4.0/).
Share and Cite
Wang, L.; An, Y.; Ding, F.; Kuang, Y.; Ma, Q.; Tan, S.; Zhang, W.; Zhao, P.; Ren, E. Numerical Investigation of Composite Behavior and Strength of Rectangular Concrete-Filled Cold-Formed Steel Tubular Stub Columns. Materials 2021, 14, 6221. https://doi.org/10.3390/ma14206221
Wang L, An Y, Ding F, Kuang Y, Ma Q, Tan S, Zhang W, Zhao P, Ren E. Numerical Investigation of Composite Behavior and Strength of Rectangular Concrete-Filled Cold-Formed Steel Tubular Stub Columns. Materials. 2021; 14(20):6221. https://doi.org/10.3390/ma14206221
Chicago/Turabian StyleWang, Liping, Yanan An, Faxing Ding, Yachuan Kuang, Qing Ma, Sui Tan, Weizhen Zhang, Pengzhou Zhao, and Enhui Ren. 2021. "Numerical Investigation of Composite Behavior and Strength of Rectangular Concrete-Filled Cold-Formed Steel Tubular Stub Columns" Materials 14, no. 20: 6221. https://doi.org/10.3390/ma14206221
APA StyleWang, L., An, Y., Ding, F., Kuang, Y., Ma, Q., Tan, S., Zhang, W., Zhao, P., & Ren, E. (2021). Numerical Investigation of Composite Behavior and Strength of Rectangular Concrete-Filled Cold-Formed Steel Tubular Stub Columns. Materials, 14(20), 6221. https://doi.org/10.3390/ma14206221

