Transient Electro-Thermal Coupled Modeling of Three-Phase Power MOSFET Inverter during Load Cycles
Abstract
1. Introduction
2. Three-Phase MOSFET Bridge Inverter
3. Power Loss Prediction
4. EM Electro-Thermal Analysis
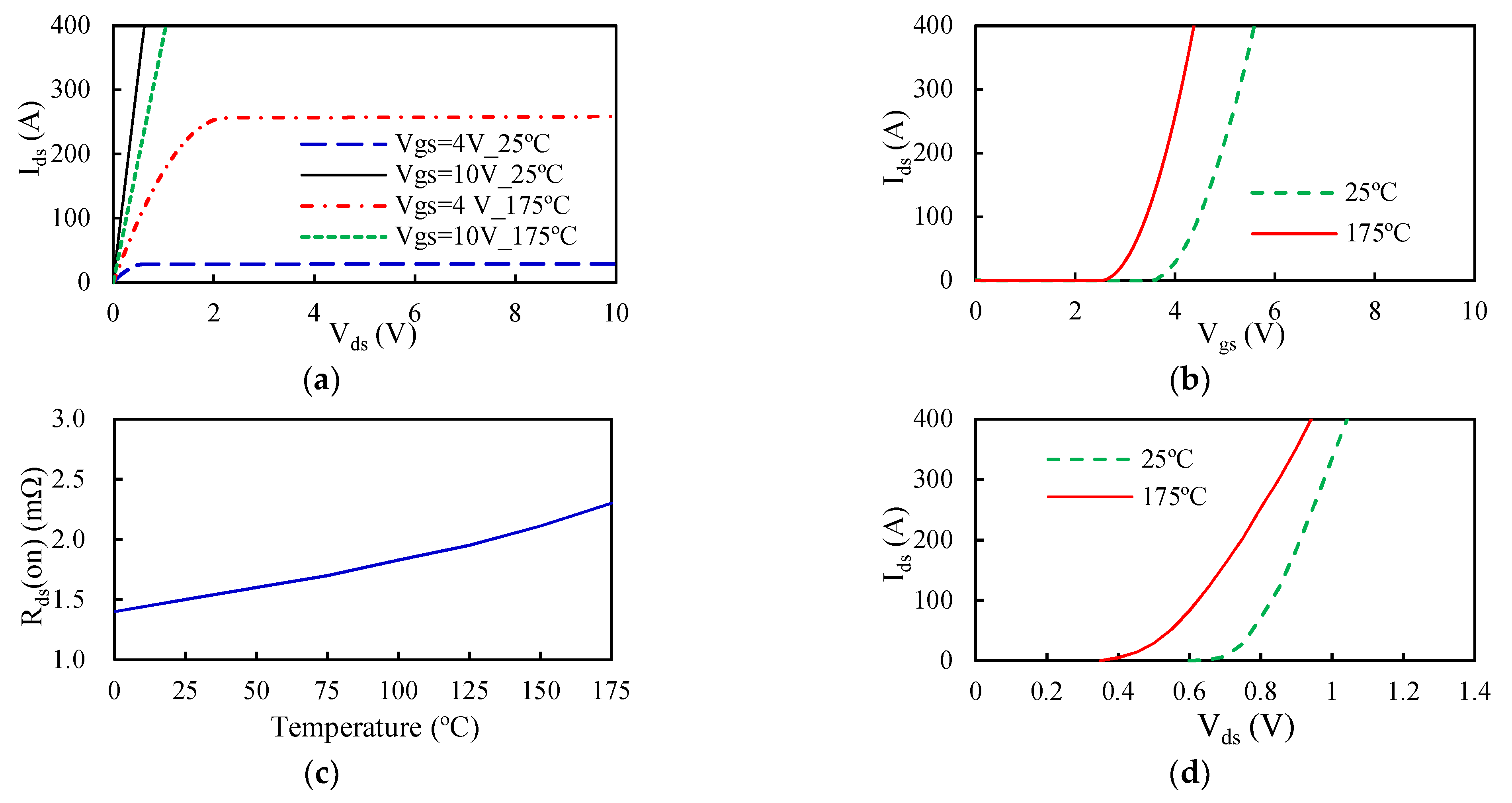
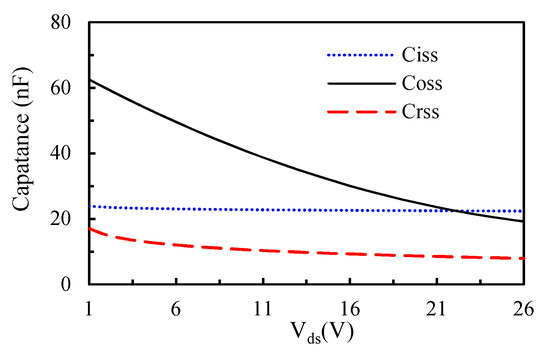
4.1. EM Modeling
4.2. CFD Modeling
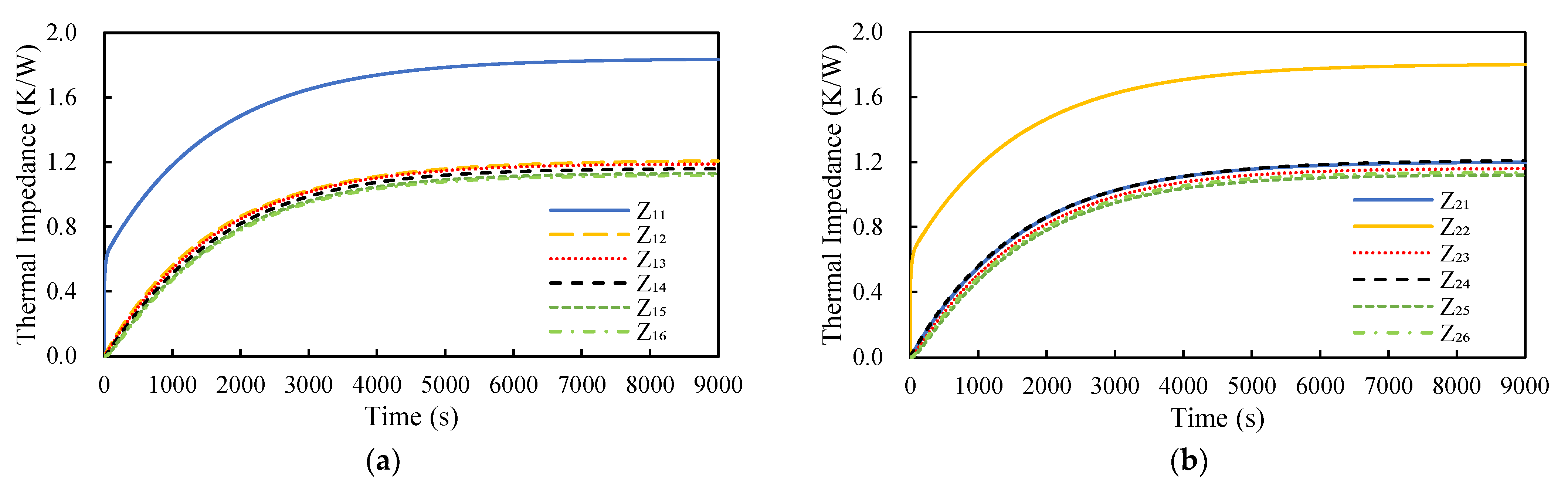
4.3. Foster Thermal Network Model
5. Electro-Thermal Coupling Analysis (ETCA)
6. Results and Discussion
6.1. Construction of Foster Thermal Network Model
6.2. ECTA Analysis of Three-Phase Inverter
7. Conclusions
Author Contributions
Funding
Institutional Review Board Statement
Informed Consent Statement
Data Availability Statement
Acknowledgments
Conflicts of Interest
References
- Qi, J.; Yang, X.; Li, X.; Tian, K.; Mao, Z.; Yang, S.; Song, W. Temperature dependence of dynamic performance characterization of 1.2-kV SiC power MOSFETS compared with Si IGBTs for wide temperature applications. IEEE Trans. Power Electron. 2019, 34, 9105–9117. [Google Scholar] [CrossRef]
- Liao, L.L.; Chiang, K.N. Material shear strength assessment of Au/20Sn interconnection for high temperature applications. J. Mech. 2019, 35, 81–91. [Google Scholar] [CrossRef]
- Zhang, M.; Li, B.; Wei, J. New Power MOSFET with Beyond-1D-Limit RSP-BV Trade-Off and Superior Reverse Recovery Characteristics. Materials 2020, 13, 2581. [Google Scholar] [CrossRef] [PubMed]
- Cheng, H.-C.; Shen, Y.-H.; Chen, W.-H. Parasitic extraction and power loss estimation of power devices. J. Mech. 2021, 37, 134–148. [Google Scholar] [CrossRef]
- Hu, B.; Gonzalez, J.O.; Ran, L.; Ren, H.; Zeng, Z.; Lai, W.; Gao, B.; Alatise, O.; Lu, H.; Bailey, C.; et al. Failure and reliability analysis of a SiC power module based on stress comparison to a Si device. IEEE Trans. Device Mater. Rel. 2017, 17, 727–737. [Google Scholar] [CrossRef]
- Wu, J.; Ren, N.; Guo, Q.; Sheng, K. A Comparative Study of Silicon Carbide Merged PiN Schottky Diodes with Electrical-Thermal Coupled Considerations. Materials 2020, 13, 2669. [Google Scholar] [CrossRef] [PubMed]
- Oh, S.K.; Lundh, J.S.; Shervin, S.; Chatterjee, B.; Lee, D.K.; Choi, S.; Kwak, J.S.; Ryou, J. Thermal management and characterization of high-power wide-bandgap semiconductor electronic and photonic devices in automotive applications. ASME J. Electron. Packag. 2019, 141, 020801. [Google Scholar] [CrossRef]
- Kanata, T.; Nishiwaki, K.; Hamada, K. Development trends of power semiconductors for hybrid vehicles. In Proceedings of the International Power Electronics Conference (IPEC), Sapporo, Japan, 21–24 June 2010. [Google Scholar]
- US Department of Defense. Military Standardization Handbook, MIL-HDBK-217C, Reliability Prediction of Electronic Equipment; US Department of Defense: Arlington, VA, USA, 1980.
- Yerasimou, Y.; Pickert, V.; Ji, B.; Song, X. Liquid metal magnetohydrodynamic pump for junction temperature control of power modules. IEEE Trans. Compon. Packag. Manuf. Technol. 2018, 33, 10583–10593. [Google Scholar] [CrossRef]
- Blaabjerg, F.; Wang, H.; Vernica, I.; Liu, B.; Davari, P. Reliability of Power Electronic Systems for EV/HEV Applications. Proc. IEEE 2020, 109, 1–17. [Google Scholar] [CrossRef]
- Merienne, F.; Roudet, J.; Schanen, J.L. Switching disturbance due to source inductance for a power MOSFET: Analysis and solutions. In Proceedings of the 1996 27th Annual IEEE Power Electronics Specialists Conference, Maggiore, Italy, 1 January 1996. [Google Scholar]
- Rodríguez, M.; Rodríguez, A.; Miaja, P.F.; Lamar, D.G.; Zúniga, J.S. An insight into the switching process of power MOSFETs: An improved analytical losses model. IEEE Trans. Power Electron. 2010, 25, 1626–1640. [Google Scholar] [CrossRef]
- Wang, H. Investigation of power semiconductor devices for high frequency high density power converters. Ph.D. Thesis, Virginia Polytechnic Institute and State University, Blacksburg, VA, USA, 2007. [Google Scholar]
- Kibushi, K.; Hatakeyama, T.; Nakagawa, S.; Ishizuka, M. Analysis of heat generation from a power Si MOSFET. Trans. Jpn. Inst. Electron. Packag. 2013, 6, 51–56. [Google Scholar] [CrossRef][Green Version]
- Kibushi, R.; Hatakeyama, T.; Nakagawa, S.; Ishizuka, M. Calculation of temperature distribution of power Si MOSFET with electro-thermal analysis: The effect of boundary condition. Trans. Jpn. Inst. Electron. Packag. 2014, 7, 52–57. [Google Scholar] [CrossRef]
- Cheng, H.-C.; Wu, C.-H.; Lin, S.-Y. Thermal and electrical characterization of power MOSFET module using coupled field analysis. J. Mech. 2019, 35, 641–655. [Google Scholar] [CrossRef]
- Ibrahim, T.; Allard, B.; Morel, H.; MRad, S. VHDL-AMS model of IGBT for electro-thermal simulation. In Proceedings of the 2007 European Conference on Power Electronics and Applications, Aalborg, Denmark, 2–5 September 2007. [Google Scholar]
- Wang, B. Research on electro-thermal model simulation of IGBT switching transient. IOP Conf. Ser. Earth Environ. Sci. 2021, 702, 012037. [Google Scholar] [CrossRef]
- Touzelbaev, M.N.; Miler, J.; Yang, Y.; Refai-Ahmed, G.; Goodson, K.E. High-efficiency transient temperature calculations for applications in dynamic thermal management of electronic devices. ASME J. Electron. Packag. 2013, 135, 031001. [Google Scholar] [CrossRef]
- Du, M.; Guo, Q.; Wang, H.; Ouyang, Z.; Wei, K. An Improved Cauer Model of IGBT Module: Inclusive Void Fraction in Solder Layer. IEEE Trans. Compon. Packag. Manuf. Technol. 2020, 10, 1401–1410. [Google Scholar] [CrossRef]
- Alavi, O.; Abdollah, M.; Viki, A.H. Assessment of thermal network models for estimating IGBT junction temperature of a buck converter. In Proceedings of the 8th Power Electronics, Drive Systems & Technologies Conference (PEDSTC), Mashhad, Iran, 14–16 February 2017. [Google Scholar]
- Reichl, J.; Lai, J.-S.; Hefner, A.; McNutt, T.; Berning, D. Inverter dynamic electro-thermal modeling and simulation with experimental verification. In Proceedings of the 2005 IEEE 36th Power Electronics Specialists Conference, Dresden, Germany, 12 June 2005; pp. 2208–2215. [Google Scholar]
- Bouzida, A.; Abdelli, R.; Ouadah, M. Calculation of IGBT power losses and junction temperature in inverter drive. In Proceedings of the 8th International Conference on Modelling, Identification and Control (ICMIC-2016), Algiers, Algeria, 15–17 November 2016; pp. 768–773. [Google Scholar]
- Shahjalali, M.; Lu, H.; Bailey, C. Electro-thermal modelling of multichip power modules for high power converter application. In Proceedings of the 2017 18th International Conference on Electronic Packaging Technology (ICEPT), Harbin, China, 16–19 August 2017. [Google Scholar]
- Li, X.; Li, D.; Qi, F.; Packwood, M.; Luo, H.; Wang, Y.; Dai, X.; Luo, H.; Liu, G. EM-electrothermal analysis of semiconductor power modules. IEEE Trans. Compon. Packag. Manuf. Technol. 2019, 9, 1495–1503. [Google Scholar] [CrossRef]
- Li, X.; Li, D.; Qi, F.; Packwood, M.; Luo, H.; Liu, G.; Wang, Y.; Dai, X. Advanced electro-thermal analysis of IGBT modules in a power converter system. In Proceedings of the 2019 20th International Conference on Thermal, Mechanical and Multi-Physics Simulation and Experiments in Microelectronics and Microsystems (EuroSimE), Hanover, Germany, 24–27 March 2019. [Google Scholar]
- Reichl, J.; Ortiz-Rodrίguez, J.M.; Hefner, A.; Lai, J.-S. 3-D thermal component model for electrothermal analysis of multichip power modules with experimental validation. IEEE Trans. Power Electron. 2015, 30, 3300–3308. [Google Scholar] [CrossRef]
- Chen, H.-C.; Tsai, T.-Y.; Huang, C.-K. Comparisons of six-step square-wave PWMs in ultra-low-power SOC integration. In Proceedings of the International Symposium on Industrial Electronics (ISlE), IEEE, Seoul, Korea, 5–8 July 2009. [Google Scholar]
- Chou, P.-C.; Cheng, S.; Chen, S.-H. Evaluation of thermal performance of all-GaN power module in parallel operation. Appl. Therm. Eng. 2014, 70, 593–599. [Google Scholar] [CrossRef]
- Graovac, D.; Pürschel, M.; Kiep, A. MOSFET power losses calculation using the data-sheet parameters. Infineon Appl. Note 2006, 1, 1–23. [Google Scholar]
- Inan, U.S. Engineering Electromagnetics; Pearson Education: Bangalore, India, 1998. [Google Scholar]











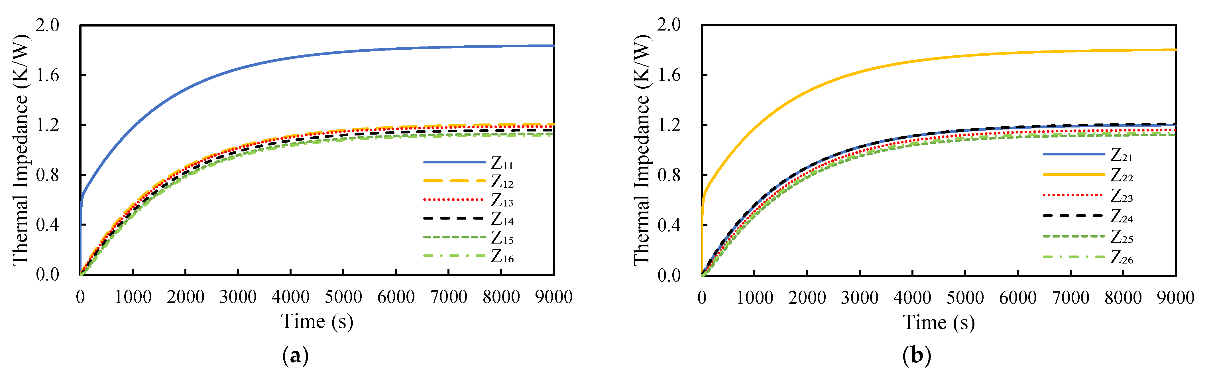
| Z11 | Z12 | Z13 | Z14 | Z15 | Z16 | |
| Ri | 1.82 | 1.211 | 1.199 | 1.173 | 1.147 | 1.137 |
| i | 1151 | 1605 | 1629 | 1678 | 1730 | 1749 |
| Z21 | Z22 | Z23 | Z24 | Z25 | Z26 | |
| Ri | 1.207 | 1.791 | 1.175 | 1.213 | 1.139 | 1.153 |
| i | 1600 | 1253 | 1677 | 1604 | 1745 | 1707 |
| PT(W) | Method | S1 | S2 | S3 | S4 | S5 | S6 |
|---|---|---|---|---|---|---|---|
| 99.9 | Foster | 149.8 | 154.7 | 150.1 | 155.3 | 149.1 | 154.1 |
| CFD | 149.8 | 154.2 | 150.0 | 154.9 | 149.6 | 155.0 | |
| 103.8 | Foster | 148.6 | 156.1 | 150.6 | 158.2 | 151.2 | 153.5 |
| CFD | 153.2 | 159.6 | 154.6 | 161.7 | 155.9 | 158.4 |
| — | S1 | S3 | S5 | S2 | S4 | S6 | Total |
|---|---|---|---|---|---|---|---|
| Step 1 | 30.62 | 0.00 | 0.00 | 51.56 | 17.73 | 0.00 | 99.92 |
| Step 2 | 30.62 | 0.00 | 0.00 | 51.56 | 0.00 | 17.73 | 99.92 |
| Step 3 | 0.00 | 30.62 | 0.00 | 0.00 | 51.56 | 17.73 | 99.92 |
| Step 4 | 0.00 | 30.62 | 0.00 | 17.73 | 51.56 | 0.00 | 99.92 |
| Step 5 | 0.00 | 0.00 | 30.62 | 17.73 | 0.00 | 51.56 | 99.92 |
| Step 6 | 0.00 | 0.00 | 30.62 | 0.00 | 17.73 | 51.56 | 99.92 |
| Average (W) | 10.21 | 10.21 | 10.21 | 23.10 | 23.10 | 23.10 | — |
| Ri (Ω) | 0.00102 | 0.00102 | 0.00102 | 0.00231 | 0.00231 | 0.00231 | — |
| — | S1 | S3 | S5 | S2 | S4 | S6 | Total |
|---|---|---|---|---|---|---|---|
| Step 1 | 36.90 | 0.00 | 0.00 | 41.31 | 30.17 | 0.00 | 108.38 |
| Step 2 | 36.90 | 0.00 | 0.00 | 41.31 | 0.00 | 30.17 | 108.38 |
| Step 3 | 0.00 | 36.90 | 0.00 | 0.00 | 41.31 | 30.17 | 108.38 |
| Step 4 | 0.00 | 36.90 | 0.00 | 30.17 | 41.31 | 0.00 | 108.38 |
| Step 5 | 0.00 | 0.00 | 36.90 | 30.17 | 0.00 | 41.31 | 108.38 |
| Step 6 | 0.00 | 0.00 | 36.90 | 0.00 | 30.17 | 41.31 | 108.38 |
| Average (W) | 12.3 | 12.3 | 12.3 | 23.8 | 23.8 | 23.8 | — |
| Ri (Ω) | 0.00123 | 0.00123 | 0.00123 | 0.00238 | 0.00238 | 0.00238 | — |
Publisher’s Note: MDPI stays neutral with regard to jurisdictional claims in published maps and institutional affiliations. |
© 2021 by the authors. Licensee MDPI, Basel, Switzerland. This article is an open access article distributed under the terms and conditions of the Creative Commons Attribution (CC BY) license (https://creativecommons.org/licenses/by/4.0/).
Share and Cite
Cheng, H.-C.; Lin, S.-Y.; Liu, Y.-C. Transient Electro-Thermal Coupled Modeling of Three-Phase Power MOSFET Inverter during Load Cycles. Materials 2021, 14, 5427. https://doi.org/10.3390/ma14185427
Cheng H-C, Lin S-Y, Liu Y-C. Transient Electro-Thermal Coupled Modeling of Three-Phase Power MOSFET Inverter during Load Cycles. Materials. 2021; 14(18):5427. https://doi.org/10.3390/ma14185427
Chicago/Turabian StyleCheng, Hsien-Chie, Siang-Yu Lin, and Yan-Cheng Liu. 2021. "Transient Electro-Thermal Coupled Modeling of Three-Phase Power MOSFET Inverter during Load Cycles" Materials 14, no. 18: 5427. https://doi.org/10.3390/ma14185427
APA StyleCheng, H.-C., Lin, S.-Y., & Liu, Y.-C. (2021). Transient Electro-Thermal Coupled Modeling of Three-Phase Power MOSFET Inverter during Load Cycles. Materials, 14(18), 5427. https://doi.org/10.3390/ma14185427
