Influence of M-EMS on Fluid Flow and Initial Solidification in Slab Continuous Casting
Abstract
:1. Introduction
2. Mathematical Modeling
2.1. Assumption
- (1)
- The influence of flow field on the electromagnetic field is ignored due to the small magnetic Reynolds number [22], and the electromagnetic field is assumed to be quasi-static.
- (2)
- The influence of Joule heat generated by currents is ignored in simulation of heat transfer and solidification due to its low frequency.
- (3)
- The liquid steel and the liquid slag behave as incompressible Newtonian fluids.
- (4)
- The effects of mold oscillation and mold curvature are not taken into account [23].
2.2. Governing Equation
2.2.1. Electromagnetic Model
2.2.2. Fluid Flow and Solidification Model
2.3. Geometry Model and Boundary Conditions
2.3.1. Geometry Model
2.3.2. Boundary Conditions for Electromagnetic Simulation
2.3.3. Boundary Conditions for Fluid Field Simulation
- (1)
- The inlet velocity of the SEN was calculated based on the mass conservation, and turbulent kinetic energy and the energy dissipation rate are estimated by the semi-empirical equations [26]. The casting temperature is set as 1827 K.
- (2)
- The outlet boundary at the bottom of the calculation domain is a fully developed outflow condition.
- (3)
- The mold wall is treated with the no-slip boundary condition and the heat flux on the wide and narrow faces is a function of distance toward the mold bottom, as shown in Equation (11), which is similar to the form proposed by Savage [27]. The convective heat transfer boundary condition is imposed on the extended region of the continuous caster, and the average heat transfer coefficient for wide and narrow faces is 320 W/(m2·K) and 360 W/(m2·K), respectively.where q is the heat flux density, φ represents constants for wide and narrow faces calculated according to the imported and exported temperature difference and the cooling water flow rate in the mold, which is 0.288 and 0.292, respectively, and L is the distance from the meniscus, m.
- (4)
- The top surface is treated as a free-slipped boundary condition and considering the heat insulation of mold flux, adiabatic condition is applied to it.
2.4. Numerical Solution Procedure
3. Results and Discussion
3.1. Validation of Electromagnetic Field and Flow Field
3.2. Effect of EMS Current on Fluid Flow in the Mold
3.3. Effect of EMS Current on Initial Solidification
3.4. Effect of Casting Speeds on Fluid Flow in the Mold
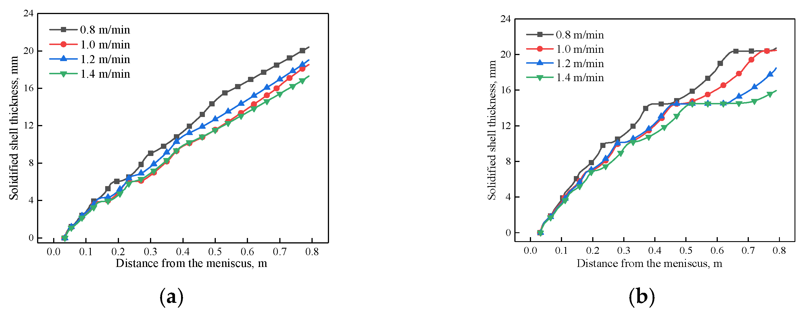
3.5. Effect of Casting Speed on Solidification
4. Application Effects
5. Conclusions
- (1)
- When EMS is applied, a horizonal recirculating flow has been generated, accelerated and decelerated regions exist in the mold. With the increase of EMS current, the difference of velocity near free surfaces decreases; large EMS current may generate plug flow near the mold wall.
- (2)
- EMS can obviously improve the uniformity of the solidified shell, with the increase of EMS current, the uniform index at the mold narrow face increases while at the mold wide face it first increases and then decreases.
- (3)
- Under the same EMS current, with the increase of casting speed, the difference of velocity near the free surface increases, the uniform index at the mold narrow face changes little, while at the mold wide face it first decreases and then increases.
- (4)
- EMS can weaken the level fluctuation and reduce the number density of inclusion for a suitable EMS current through industry test.
- (5)
- A rational EMS current range exists to obtain optimal steel quality. In the current study, when the casting speed is 1.2 m/min, the rational EMS current is 500–600 A.
Author Contributions
Funding
Institutional Review Board Statement
Informed Consent Statement
Data Availability Statement
Acknowledgments
Conflicts of Interest
References
- Thomas, B.G. Review on Modeling and Simulation of Continuous Casting. Steel Res. Int. 2018, 89. [Google Scholar] [CrossRef]
- Cho, S.-M.; Thomas, B.G. Electromagnetic Forces in Continuous Casting of Steel Slabs. Metals 2019, 9, 471. [Google Scholar] [CrossRef] [Green Version]
- Jin, K.; Thomas, B.G.; Ruan, X. Modeling and Measurements of Multiphase Flow and Bubble Entrapment in Steel Continuous Casting. Metall. Mater. Trans. B 2016, 47, 548–565. [Google Scholar] [CrossRef]
- Li, Z.; Zhang, L.; Ma, D.; Wang, E. Numerical Simulation on Flow Characteristic of Molten Steel in the Mold with Freestanding Adjustable Combination Electromagnetic Brake. Met. Mater. Trans. A 2020, 51, 2609–2627. [Google Scholar] [CrossRef]
- Zhang, L.-S.; Zhang, X.-F.; Wang, B.; Liu, Q.; Hu, Z.-G. Numerical Analysis of the Influences of Operational Parameters on the Braking Effect of EMBr in a CSP Funnel-Type Mold. Met. Mater. Trans. A 2014, 45, 295–306. [Google Scholar] [CrossRef]
- Dubke, M.; Tacke, K.-H.; Spitzer, K.-H.; Schwerdtfeger, K. Flow fields in electromagnetic stirring of rectangular strands with linear inductors: Part II. Computation of flow fields in billets, blooms, and slabs of steel. Met. Mater. Trans. A 1988, 19, 595–602. [Google Scholar] [CrossRef]
- Yamada, T.; Satoh, S.; Fujisaki, K.; Shouji, S.; Takahiro, Y. Consideration of heat transfer and solidification in 3-D MHD calculation. IEEE Trans. Magn. 2000, 36, 1300–1304. [Google Scholar] [CrossRef]
- Okazawa, K.; Toh, T.; Fukuda, J.; Kawase, T.; Toki, M. Fluid Flow in a Continuous Casting Mold Driven by Linear Induction Motors. ISIJ Int. 2001, 41, 851–858. [Google Scholar] [CrossRef]
- Li, B.; Lu, H.; Zhong, Y.; Ren, Z.; Lei, A.Z. Influence of EMS on Asymmetric Flow with Different SEN Clogging Rates in a Slab Continuous Casting Mold. Metals 2019, 9, 1288. [Google Scholar] [CrossRef] [Green Version]
- Wang, B.; Yang, Z.G.; Zhang, X.F.; Wang, Y.T.; Nie, C.P.; Liu, Q.; Dong, H.B. Analysis of the effects of electromagnetic stirring on solidification structure of bearing steel. Metalurgija 2015, 54, 327–330. [Google Scholar]
- Yang, Z.-G.; Wang, B.; Zhang, X.-F.; Wang, Y.-T.; Dong, H.; Liu, Q. Effect of Electromagnetic Stirring on Molten Steel Flow and Solidification in Bloom Mold. J. Iron Steel Res. Int. 2014, 21, 1095–1103. [Google Scholar] [CrossRef]
- Yang, Z.G.; Wang, B.; Zhang, X.F.; Wang, Y.T.; Dong, H.B.; Liu, Q. Effects of electromagnetic stirring on the flow field and level fluctuation in bloom molds. J. Univ. Sci. Technol. Beijing 2014, 36, 1354–1360. [Google Scholar]
- Fang, Q.; Ni, H.; Wang, B.; Zhang, H.; Ye, F. Effects of EMS Induced Flow on Solidification and Solute Transport in Bloom Mold. Metals 2017, 7, 72. [Google Scholar] [CrossRef] [Green Version]
- Ren, B.; Chen, D.-F.; Wang, H.-D.; Long, M.-J.; Han, Z.-W. Numerical simulation of fluid flow and solidification in bloom continuous casting mould with electromagnetic stirring. Ironmak. Steelmak. 2015, 42, 401–408. [Google Scholar] [CrossRef]
- Wang, X.; Zheng, S.-G.; Liu, Z.-H.; Zhu, M.-Y. Numerical Simulation on Multiple Physical Fields Behaviors in Billet Continuous Casting with Different Stirrer Positions. Steel Res. Int. 2019, 91, 1900415. [Google Scholar] [CrossRef]
- Maurya, A.; Jha, P.K. Influence of electromagnetic stirrer position on fluid flow and solidification in continuous casting mold. Appl. Math. Model. 2017, 48, 736–748. [Google Scholar] [CrossRef]
- Maurya, A.; Jha, P.K. Numerical investigation of in-mold electromagnetic stirring process for fluid flow and solidification. COMPEL-Int. J. Comput. Math. Electr. Electron. Eng. 2017, 36, 1106–1119. [Google Scholar] [CrossRef]
- Maurya, A.; Jha, P. Two-phase analysis of interface level fluctuation in continuous casting mold with electromagnetic stirring. Int. J. Numer. Methods Heat Fluid Flow 2018, 28, 2036–2051. [Google Scholar] [CrossRef]
- FFujisaki, K.; Ueyama, T. Magnetohydrodynamic calculation for free surfaces. J. Appl. Phys. 1998, 83, 6356–6358. [Google Scholar] [CrossRef]
- Fujisaki, K.; Ueyama, T.; Toh, T.; Uehara, M.; Kobayashi, S. Magnetohydrodynamic calculation for electromagnetic stirring of molten metal. IEEE Trans. Magn. 1998, 34, 2120–2122. [Google Scholar] [CrossRef]
- Li, B.; Lu, H.; Zhong, Y.; Ren, Z.; Lei, Z. Numerical Simulation for the Influence of EMS Position on Fluid Flow and Inclusion Removal in a Slab Continuous Casting Mold. ISIJ Int. 2020, 60, 1204–1212. [Google Scholar] [CrossRef]
- Moffatt, H.K. Electromagnetic stirring. Phys. Fluids A Fluid Dyn. 1991, 3, 1336–1343. [Google Scholar] [CrossRef]
- Zhang, W.; Luo, S.; Chen, Y.; Wang, W.; Zhu, M. Numerical Simulation of Fluid Flow, Heat Transfer, Species Transfer, and Solidification in Billet Continuous Casting Mold with M-EMS. Metals 2019, 9, 66. [Google Scholar] [CrossRef] [Green Version]
- Chen, W.; Ren, Y.; Zhang, L. Large Eddy Simulation on the Fluid Flow, Solidification and Entrapment of Inclusions in the Steel along the Full Continuous Casting Slab Strand. JOM 2018, 70, 2968–2979. [Google Scholar] [CrossRef]
- Liu, G.; Liu, Q.; Ji, C.; Chen, B.; Li, H.; Liu, K. Application of a Novel Chamfered Mold to Suppress Corner Transverse Cracking of Micro-Alloyed Steel Slabs. Metals 2020, 10, 1289. [Google Scholar] [CrossRef]
- Li, B.; Okane, T.; Umeda, T. Modeling of biased flow phenomena associated with the effects of static magnetic-field application and argon gas injection in slab continuous casting of steel. Metall. Mater. Trans. B 2001, 32, 1053–1066. [Google Scholar] [CrossRef]
- Vives, C.; Ricou, R. Experimental study of continuous electromagnetic casting of aluminum alloys. Metall. Mater. Trans. B 1985, 16, 377–384. [Google Scholar] [CrossRef]
- Qiu, S.; Liu, H.; Gan, Y. Numerical Simulation of Solidification Process of Slab Casting Based on Continuum Model. J. Iron Steel Res. 2003, 15, 16–20. [Google Scholar]
- Lu, H.; Li, B.; Li, J.; Zhong, Y.; Ren, Z.; Lei, Z. Numerical Simulation of In-mold Electromagnetic Stirring on Slide Gate Caused Bias Flow and Solidification in Slab Continuous Casting. ISIJ Int. 2021, 61, 1860–1871. [Google Scholar] [CrossRef]
- Li, B.; Lu, H.; Shen, Z.; Sun, X.; Zhong, Y.; Ren, Z.; Lei, Z. Physical Modeling of Asymmetrical Flow in Slab Continuous Casting Mold due to Submerged Entry Nozzle Clogging with the Effect of Electromagnetic Stirring. ISIJ Int. 2019, 59, 2264–2271. [Google Scholar] [CrossRef] [Green Version]
- Yin, Y.; Zhang, J.; Wang, B.; Dong, Q. Effect of in-mould electromagnetic stirring on the flow, initial solidification and level fluctuation in a slab mould: A numerical simulation study. Ironmak. Steelmak. 2018, 1–10. [Google Scholar] [CrossRef]















| Parameters | Value | Parameters | Value |
|---|---|---|---|
| Section size of mold (mm2) | 1600 × 230 | Casting speed (m/min) | 0.8, 1.0, 1.2, 1.4 |
| Size of SEN port (mm2) | 80 × 60 | Coil number of each stirrer | 36 |
| Outer diameter of SEN (mm) | 120 | Turn number of each coil | 20 |
| Inner diameter of SEN (mm) | 80 | Stirrer center from meniscus (mm) | 75 |
| Inclination angle (°) | 15 | EMS frequency (Hz) | 4 |
| Submergence entry depth (mm) | 170 | EMS current (A) | 400, 500, 600, 700 |
| Molten steel Parameters | Value |
|---|---|
| Density (kg/m3) Specific heat (J/(kg·K)) Thermal conductivity (W/(m·K)) | 7000 720 31 |
| Viscosity (Pa·s) | 0.0065 |
| Latent heat (J/kg) | 275,000 |
| Solidus temperature (K) Liquidus temperature (K) | 1802 1812 |
| EMS Current (A) | Uniform Index | |
|---|---|---|
| Wide Face | Narrow Face | |
| 0 | 0.948 | 0.828 |
| 400 | 0.961 | 0.971 |
| 500 | 0.965 | 0.97 |
| 600 | 0.923 | 0.972 |
| 700 | 0.9 | 0.973 |
| Casting Speed (m/min) | Uniform Index | |
|---|---|---|
| Wide Face | Narrow Face | |
| 0.8 | 0.944 | 0.956 |
| 1.0 | 0.895 | 0.973 |
| 1.2 | 0.923 | 0.972 |
| 1.4 | 0.919 | 0.982 |
Publisher’s Note: MDPI stays neutral with regard to jurisdictional claims in published maps and institutional affiliations. |
© 2021 by the authors. Licensee MDPI, Basel, Switzerland. This article is an open access article distributed under the terms and conditions of the Creative Commons Attribution (CC BY) license (https://creativecommons.org/licenses/by/4.0/).
Share and Cite
Liu, G.; Lu, H.; Li, B.; Ji, C.; Zhang, J.; Liu, Q.; Lei, Z. Influence of M-EMS on Fluid Flow and Initial Solidification in Slab Continuous Casting. Materials 2021, 14, 3681. https://doi.org/10.3390/ma14133681
Liu G, Lu H, Li B, Ji C, Zhang J, Liu Q, Lei Z. Influence of M-EMS on Fluid Flow and Initial Solidification in Slab Continuous Casting. Materials. 2021; 14(13):3681. https://doi.org/10.3390/ma14133681
Chicago/Turabian StyleLiu, Guoliang, Haibiao Lu, Bin Li, Chenxi Ji, Jiangshan Zhang, Qing Liu, and Zuosheng Lei. 2021. "Influence of M-EMS on Fluid Flow and Initial Solidification in Slab Continuous Casting" Materials 14, no. 13: 3681. https://doi.org/10.3390/ma14133681
APA StyleLiu, G., Lu, H., Li, B., Ji, C., Zhang, J., Liu, Q., & Lei, Z. (2021). Influence of M-EMS on Fluid Flow and Initial Solidification in Slab Continuous Casting. Materials, 14(13), 3681. https://doi.org/10.3390/ma14133681

