An Investigation on the Electrochemical Behavior and Antibacterial and Cytotoxic Activity of Nickel Trithiocyanurate Complexes
Abstract
1. Introduction
2. Results and Discussion
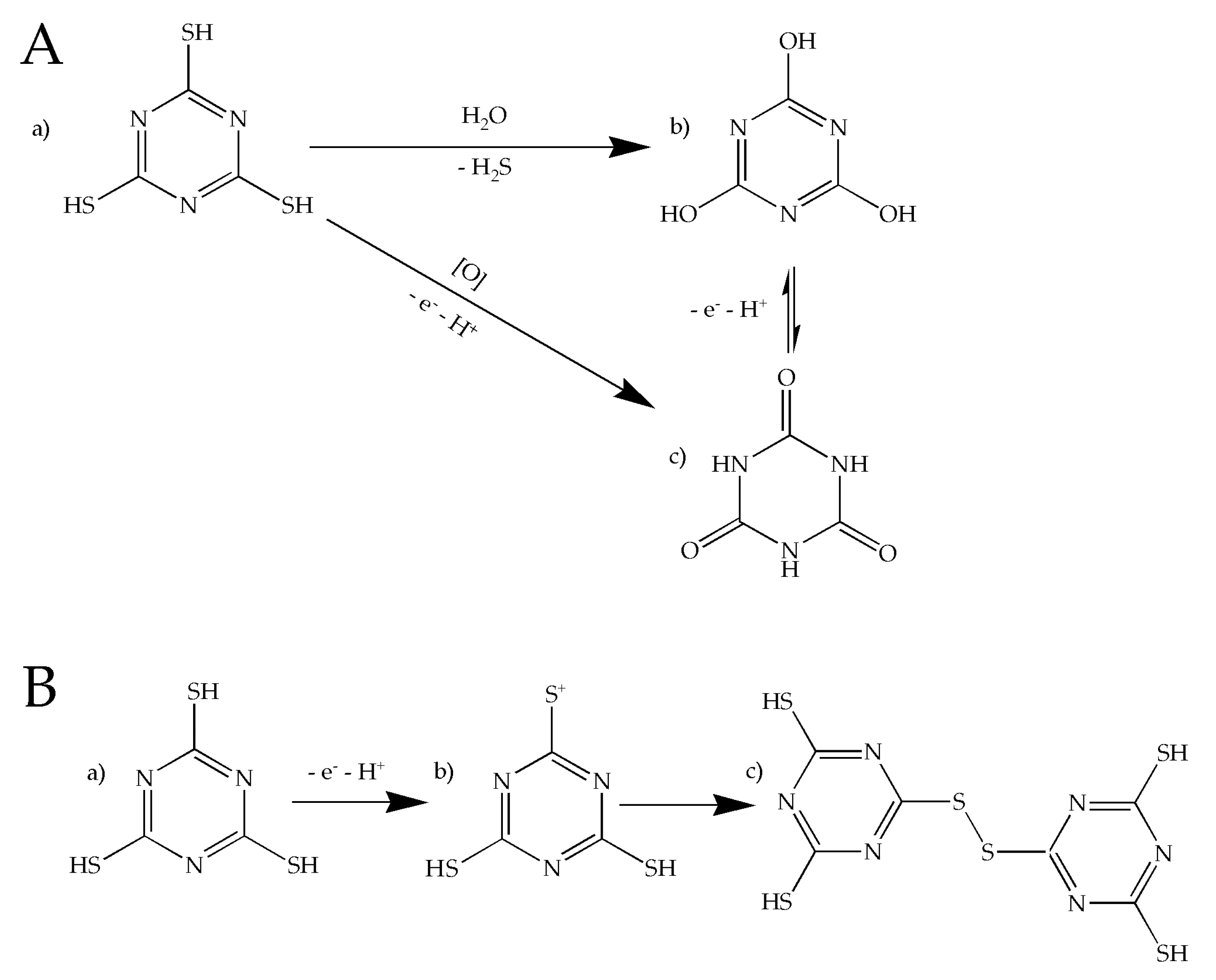
2.1. Electrochemical Study
2.2. Antibacterial Activity
2.3. Study the Cytotoxic Activity
3. Materials and Methods
4. Conclusions
Author Contributions
Funding
Acknowledgments
Conflicts of Interest
References
- Dongmei, L.; Yunbai, L.; Ping, Y.; Zhigang, C. Chemistry of copper trimercaptotriazine (TMT) compounds and removal of copper from copper-ammine species by TMT. Appl. Organomet. Chem. 2006, 20, 246–253. [Google Scholar] [CrossRef]
- Henke, K. Chemistry and stability of precipitates from aqueous solutions of 2,4,6-trimercaptotriazine, trisodium salt, nonahydrate (TMT-55) and mercury (II) chloride. Water Res. 2000, 34, 3005–3013. [Google Scholar] [CrossRef]
- Matlock, M.M.; Henke, K.R.; Atwood, D.A.; Robertson, D. Aqueous leaching properties and environmental implications of cadmium, lead and zinc trimercaptotriazine (TMT) compounds. Water Res. 2001, 35, 3649–3655. [Google Scholar] [CrossRef]
- Rosso, V.W.; Lust, D.A.; Bernot, P.J.; Grosso, J.A.; Modi, S.P.; Rusowicz, A.; Sedergran, T.C.; Simpson, J.H.; Srivastava, S.K.; Humora, M.J.; et al. Removal of Palladium from Organic Reaction Mixtures by Trimercaptotriazine. Org. Process. Res. Dev. 1997, 1, 311–314. [Google Scholar] [CrossRef]
- Wang, S.; Li, H.; Chen, X.; Yang, M.; Qi, Y. Selective adsorption of silver ions from aqueous solution using polystyrene-supported trimercaptotriazine resin. J. Environ. Sci. 2012, 24, 2166–2172. [Google Scholar] [CrossRef]
- Fu, W.; Huang, Z. One-Pot Synthesis of a Two-Dimensional Porous Fe3O4/Poly(C3N3S3) Network Nanocomposite for the Selective Removal of Pb(II) and Hg(II) from Synthetic Wastewater. ACS Sustain. Chem. Eng. 2018, 6, 14785–14794. [Google Scholar] [CrossRef]
- Gao, S.; Liu, J.; Luo, J.; Mamat, X.; Sambasivam, S.; Li, Y.; Hu, X.; Wågberg, T.; Hu, G. Selective voltammetric determination of Cd(II) by using N,S-codoped porous carbon nanofibers. Microchim. Acta 2018, 185, 282. [Google Scholar] [CrossRef] [PubMed]
- Zhu, R.; Zhang, Y.; Fang, X.; Cui, X.; Wang, J.; Yue, C.; Fang, W.; Zhao, H.; Li, Z.X.; Yue, C. In situ sulfur-doped graphitic carbon nitride nanosheets with enhanced electrogenerated chemiluminescence used for sensitive and selective sensing of l-cysteine. J. Mater. Chem. B 2019, 7, 2320–2329. [Google Scholar] [CrossRef] [PubMed]
- Cecconi, F.; Ghilardi, C.A.; Midollini, S.; Orlandini, A. Organomercury derivatives of the 2,4,6-trimercaptotriazine (H3TMT). X-ray crystal structure of (HgMe)3(TMT). J. Organomet. Chem. 2002, 645, 101–104. [Google Scholar] [CrossRef]
- Mahon, M.F.; Molloy, K.C.; Venter, M.M.; Haiduc, I. Unsymmetrically-substituted 2,4,6-trimercaptotriazine: Supramolecular self-assembly through C S⋯H N hydrogen bonds in the crystal structures of C3N3S3H2Na·3H2O and C3N3S3H2Cu(PPh3)2. Inorg. Chim. Acta 2003, 348, 75–81. [Google Scholar] [CrossRef]
- Tzeng, B.-C.; Che, C.-M.; Peng, S.-M. Luminescent gold(i) supermolecules with trithiocyanuric acid. Crystal structure, spectroscopic and photophysical properties. Chem. Commun. 1997, 1771–1772. [Google Scholar] [CrossRef]
- Chan, C.-K.; Cheung, K.-K.; Che, C.-M. Structure and spectroscopic properties of a luminescent inorganic cyclophane from self-assembly of copper(I) and two ligand components. Chem. Commun. 1996, 227. [Google Scholar] [CrossRef]
- Kettle, S.F.A. Crystal field theory of transition metal complexes. In Physical Inorganic Chemistry; Springer Science and Business Media LLC: Berlin, Germany, 1996; pp. 121–155. [Google Scholar]
- Lawrance, G.A. Introduction to Coordination Chemistry; Wiley: Chichester, UK, 2010. [Google Scholar]
- Kopel, P.; Travnicek, Z.; Panchártková, R.; Ŝindelá[Rcirc], Z.; Marek, J. Coordination compounds of nickel with trithiocyanuric acid. J. Co-ord. Chem. 1998, 44, 205–215. [Google Scholar] [CrossRef]
- Kopel, P.; Travnicek, Z.; Kvítek, L.; Biler, M.; Pavlíček, M.; Šindelář, Z.; Marek, J. Coordination compounds of nickel with trithiocyanuric acid. Part IV. Structure of [Ni(pmdien)(ttcH)] (pmdien = N,N,N′,N′,N″-pentamethyldiethylenetriamine, ttcH3 = trithiocyanuric acid). Transit. Met. Chem. 2001, 26, 282–286. [Google Scholar] [CrossRef]
- Kopel, P.; Trávníček, Z.; Kvítek, L.; Panchártková, R.; Biler, M.; Marek, J.; Nádvorník, M. Coordination compounds of nickel with trithiocyanuric acid. Polyhedron 1999, 18, 1779–1784. [Google Scholar] [CrossRef]
- Kopel, P.; Travnicek, Z.; Panchártková, R.; Biler, M.; Marek, J. Coordination compounds of nickel with trithiocyanuric acid. Part II. Crystal and molecular structure of [Ni(taa)(ttcH)] (taa=tris-(2-aminoethyl)amine, ttcH3=trithiocyanuric acid). Transit. Met. Chem. 1999, 24, 239–243. [Google Scholar] [CrossRef]
- Kopel, P.; Travnicek, Z.; Kvítek, L.; Černošek, Z.; Wrzeszcz, G.; Marek, J. Synthesis and Characterization of Cu(II), Co(II) and Ni(II) Complexes of Trithiocyanuric Acid: The Structure of {N,N′-Bis(3-Aminopropyl)-1,3-Propanediamine}-(Trithiocyanurato)Nickel(II). J. Co-ord. Chem. 2003, 56, 1–11. [Google Scholar] [CrossRef]
- Bieńko, A.; Kopel, P.; Kizek, R.; Kruszyński, R.; Bieńko, D.; Titis, J.; Boca, R. Synthesis, crystal structure and magnetic properties of trithiocyanurate or thiodiacetate polynuclear Ni(II) and Co(II) complexes. Inorg. Chim. Acta 2014, 416, 147–156. [Google Scholar] [CrossRef]
- Dasari, S.; Tchounwou, P.B. Cisplatin in cancer therapy: Molecular mechanisms of action. Eur. J. Pharmacol. 2014, 740, 364–378. [Google Scholar] [CrossRef]
- Alcindor, T.; Beauger, N. Oxaliplatin: A review in the era of molecularly targeted therapy. Curr. Oncol. 2011, 18, 18–25. [Google Scholar] [CrossRef]
- Mármol, I.; Quero, J.; Rodríguez-Yoldi, M.J.; Cerrada, E. Gold as a Possible Alternative to Platinum-Based Chemotherapy for Colon Cancer Treatment. Cancers 2019, 11, 780. [Google Scholar] [CrossRef] [PubMed]
- Page, S.; Wheeler, R. Ruthenium compounds as anticancer agents. Educ. Chem. 2012, 49, 26. [Google Scholar]
- Kopel, P.; Doležal, K.; Machala, L.; Langer, V. Synthesis, characterization and screening of biological activity of Zn(II), Fe(II) and Mn(II) complexes with trithiocyanuric acid. Polyhedron 2007, 26, 1583–1589. [Google Scholar] [CrossRef]
- Kopel, P.; Mrozinski, J.; Doležal, K.; Langer, V.; Boča, R.; Bieńko, A.; Pochaba, A. Ferromagnetic Properties of a Trinuclear Nickel(II) Complex with a Trithiocyanurate Bridge. Eur. J. Inorg. Chem. 2009, 2009, 5475–5482. [Google Scholar] [CrossRef]
- Kopel, P.; Wawrzak, D.; Langer, V.; Dolezelikova, K.; Chudobova, D.; Vesely, R.; Adam, V.; Kizek, R. Biological Activity and Molecular Structures of Bis(benzimidazole) and Trithiocyanurate Complexes. Mol. 2015, 20, 10360–10376. [Google Scholar] [CrossRef]
- Tesarova, B.; Charousova, M.; Dostalova, S.; Bienko, A.; Kopel, P.; Kruszyński, R.; Hynek, D.; Michalek, P.; Eckschlager, T.; Stiborová, M.; et al. Folic acid-mediated re-shuttling of ferritin receptor specificity towards a selective delivery of highly cytotoxic nickel(II) coordination compounds. Int. J. Boil. Macromol. 2019, 126, 1099–1111. [Google Scholar] [CrossRef]
- Macrae, C.; Bruno, I.J.; Chisholm, J.A.; Edgington, P.R.; McCabe, P.; Pidcock, E.; Rodriguez-Monge, L.; Taylor, R.; Van De Streek, J.; Wood, P.A. Mercury CSD 2.0–New features for the visualization and investigation of crystal structures. J. Appl. Crystallogr. 2008, 41, 466–470. [Google Scholar] [CrossRef]
- Guan-Ping, J.; Bo, Y.; Zhen-Xin, C.; Xiu-Yu, C.; Ming, Z.; Chang, Z. Electrochemical behaviors and determination of melamine in neutral and acid aqueous media. J. Solid State Electrochem. 2010, 15, 2653–2659. [Google Scholar] [CrossRef]
- Krüger, H.-J.; Peng, G.; Holm, R.H. Low-potential nickel(III,II) complexes: New systems based on tetradentate amidate-thiolate ligands and the influence of ligand structure on potentials in relation to the nickel site in [NiFe]-hydrogenases. Inorg. Chem. 1991, 30, 734–742. [Google Scholar] [CrossRef]
- Singh, J.; Hundal, G.; Gupta, R. Studies on Nickel(II) Complexes with Amide-Based Ligands: Syntheses, Structures, Electrochemistry and Oxidation Chemistry. Eur. J. Inorg. Chem. 2008, 2008, 2052–2063. [Google Scholar] [CrossRef]
- Anacona, J.R.; Mago, K.; Camus, J. Antibacterial activity of transition metal complexes with a tridentate NNO amoxicillin derived Schiff base. Synthesis and characterization. Appl. Organomet. Chem. 2018, 32, e4374. [Google Scholar] [CrossRef]
- Santos, A.F.; Brotto, D.F.; Favarin, L.R.; Cabeza, N.A.; Andrade, G.R.; Batistote, M.; Cavalheiro, A.A.; Neves, A.; Rodrigues, D.C.; Dos Anjos, A. Study of the antimicrobial activity of metal complexes and their ligands through bioassays applied to plant extracts. Rev. Bras. Farm. 2014, 24, 309–315. [Google Scholar] [CrossRef]
- Kopel, P.; Cermakova, S.; Dolezal, K.; Kalinska, B.; Bienko, A.; Mrozinski, J. Synthesis and properties of a trinuclear copper(II) complex with trithiocyanurate bridge. Pol. J. Chem. 2007, 81, 327–335. [Google Scholar]
- Kopel, P.; Kameníček, J.; Petříček, V.; Kurečka, A.; Kalinska, B.; Mrozinski, J.J.P. Syntheses and study on nickel and copper complexes with 1, 3, 5-benzenetricarboxylic acid. Crystal and molecular structure of [Cu3(mdpta)3(btc)](ClO4) 3·4H2O. Polyhedron 2007, 26, 535–542. [Google Scholar] [CrossRef]
- Sercombe, L.; Veerati, T.; Moheimani, F.; Wu, S.; Sood, A.K.; Hua, S. Advances and Challenges of Liposome Assisted Drug Delivery. Front. Pharmacol. 2015, 6, 215. [Google Scholar] [CrossRef]
- Dostalova, S.; Vasickova, K.; Hynek, D.; Krizkova, S.; Richtera, L.; Vaculovicova, M.; Eckschlager, T.; Stiborová, M.; Heger, Z.; Adam, V. Apoferritin as an ubiquitous nanocarrier with excellent shelf life. Int. J. Nanomed. 2017, 12, 2265–2278. [Google Scholar] [CrossRef]




© 2020 by the authors. Licensee MDPI, Basel, Switzerland. This article is an open access article distributed under the terms and conditions of the Creative Commons Attribution (CC BY) license (http://creativecommons.org/licenses/by/4.0/).
Share and Cite
Ashrafi, A.M.; Kopel, P.; Richtera, L. An Investigation on the Electrochemical Behavior and Antibacterial and Cytotoxic Activity of Nickel Trithiocyanurate Complexes. Materials 2020, 13, 1782. https://doi.org/10.3390/ma13071782
Ashrafi AM, Kopel P, Richtera L. An Investigation on the Electrochemical Behavior and Antibacterial and Cytotoxic Activity of Nickel Trithiocyanurate Complexes. Materials. 2020; 13(7):1782. https://doi.org/10.3390/ma13071782
Chicago/Turabian StyleAshrafi, Amir M., Pavel Kopel, and Lukas Richtera. 2020. "An Investigation on the Electrochemical Behavior and Antibacterial and Cytotoxic Activity of Nickel Trithiocyanurate Complexes" Materials 13, no. 7: 1782. https://doi.org/10.3390/ma13071782
APA StyleAshrafi, A. M., Kopel, P., & Richtera, L. (2020). An Investigation on the Electrochemical Behavior and Antibacterial and Cytotoxic Activity of Nickel Trithiocyanurate Complexes. Materials, 13(7), 1782. https://doi.org/10.3390/ma13071782
