Experimental Study on Temperature Effects on NiTi Shape Memory Alloys under Fatigue Loading
Abstract
1. Introduction
2. Test Materials
3. Test Methods
4. Test Results
4.1. Fatigue Life
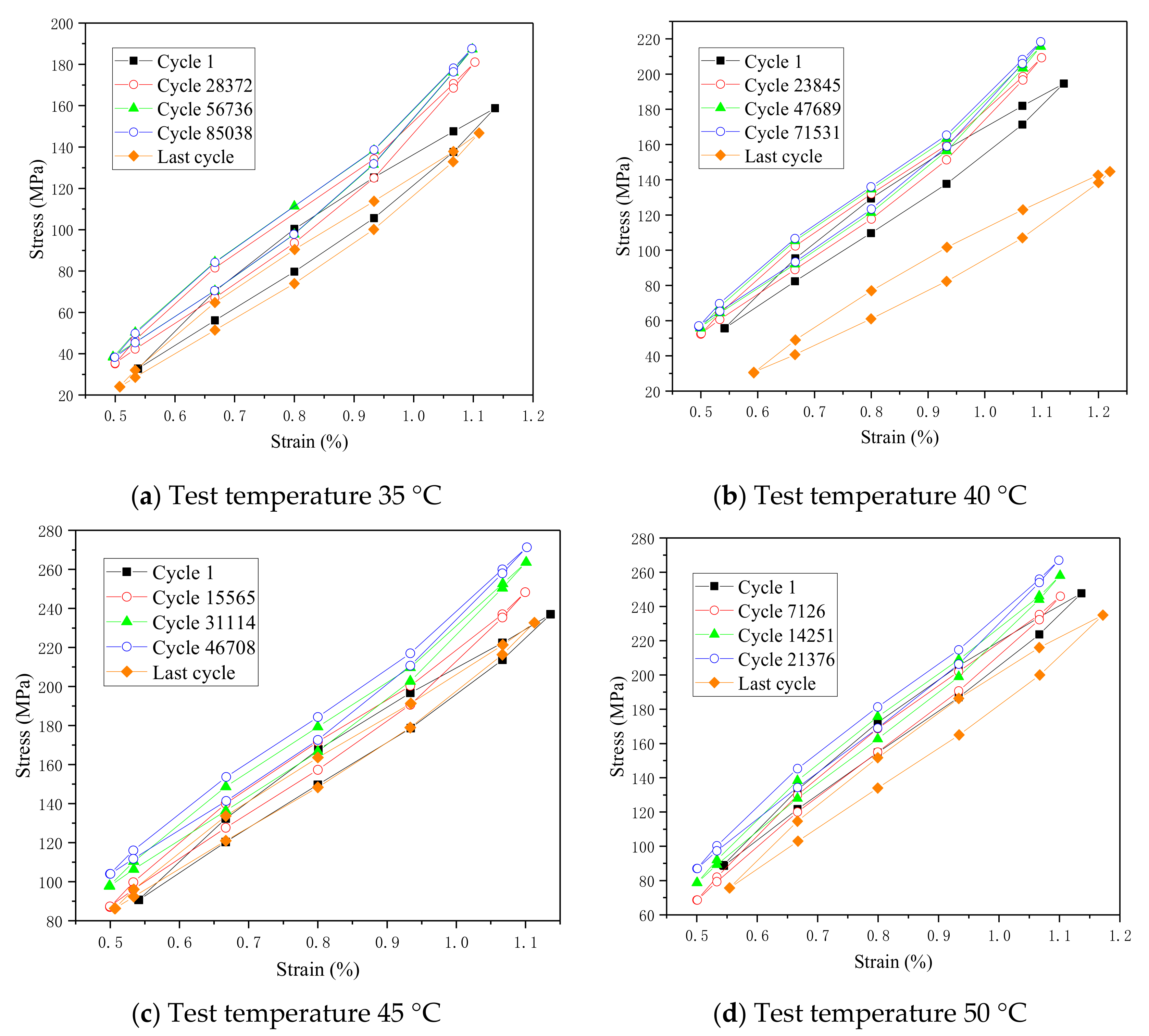
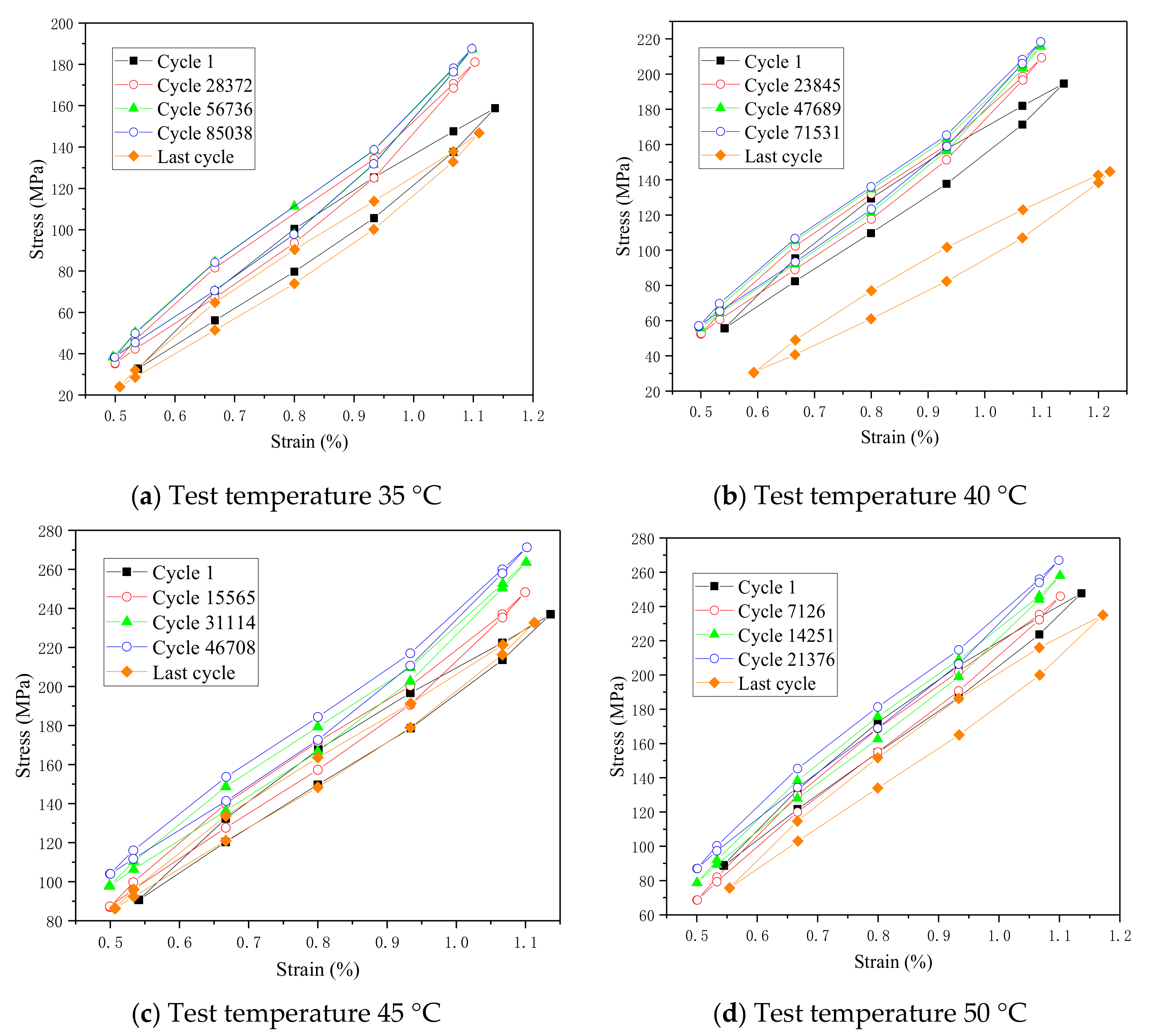
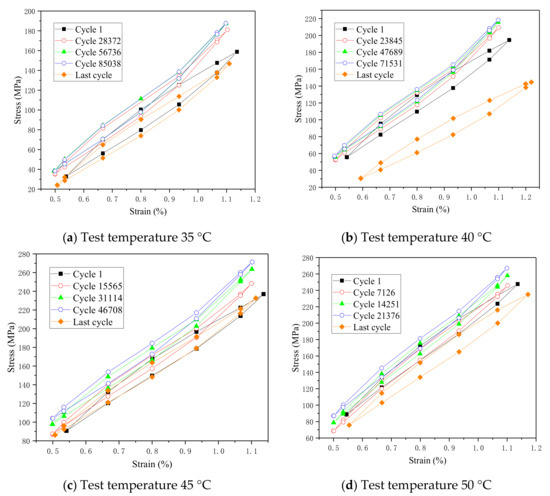
4.2. Hysteresis Curves
4.3. Stress Amplitude
4.4. Effective Modulus
4.5. Energy Dissipation
5. SEM Analysis
6. Conclusions
- The fatigue life of SMA is sensitive to temperature and strain amplitude. When the temperature or strain amplitude increases, the fatigue life is obviously decreased.
- Both the stress amplitude and the effective modulus show a gradual increase during the fatigue test. Moreover, the stress amplitude and effective modulus are proportional to the temperature. The higher the temperature, the higher the stress amplitude and the effective modulus.
- Although the loss modulus generally shows a decreasing trend, it maintains a certain level (~60% of the initial value) in the middle and later stages. This indicates that SMA has stable vibration damping performance in whole working life. The temperature also has a remarkable effect on the loss modulus: with the increase of temperature, the loss modulus declines.
- The fracture of SMA conforms to the characteristics of metal fracture. The high temperature accelerates the initiation and expansion of the crack, which results in the shorter fatigue life of the SMA.
Author Contributions
Funding
Conflicts of Interest
References
- Bogue, R. Smart materials: A review of recent developments. Assem. Autom. 2012, 32, 3–7. [Google Scholar] [CrossRef]
- Costanza, G.; Tata, M.E.; Libertini, R. Effect of Temperature on the Mechanical Behaviour of Ni-Ti Shape Memory Sheets. In TMS 2016 145th Annual Meeting & Exhibition; Springer Cham: Berlin, Germany, 2016; pp. 433–439. [Google Scholar]
- Costanza, G.; Paoloni, S.; Tata, M.E. IR Thermography and Resistivity Investigations on Ni-Ti Shape Memory Alloy. Key Eng. Mater. 2014, 605, 23–26. [Google Scholar] [CrossRef]
- Buehler, W.J.; Gilfrich, J.V.; Wiley, R.C. Effect of low-temperature phase changes on the mechanical properties of alloys near composition TiNi. J. Appl. Phys. 1963, 34, 1475–1477. [Google Scholar] [CrossRef]
- Jani, J.M.; Leary, M.; Subic, A.; Gibson, M.A. A review of shape memory alloy research, applications and opportunities. Mater. Des. (1980–2015) 2014, 56, 1078–1113. [Google Scholar] [CrossRef]
- Otsuka, K.; Kakeshita, T. Science and technology of shape-memory alloys: New developments. MRS Bull. 2002, 27, 91–100. [Google Scholar] [CrossRef]
- Otsuka, K.; Ren, X. Physical metallurgy of Ti–Ni-based shape memory alloys. Prog. Mater. Sci. 2005, 50, 511–678. [Google Scholar] [CrossRef]
- Cladera, A.; Weber, B.; Leinenbach, C.; Czaderski, C.; Shahverdi, M.; Motavalli, M. Iron-based shape memory alloys for civil engineering structures: An overview. Constr. Build. Mater. 2014, 63, 281–293. [Google Scholar] [CrossRef]
- Janke, L.; Czaderski, C.; Motavalli, M.; Ruth, J. Applications of shape memory alloys in civil engineering structures—Overview, limits and new ideas. Mater. Struct. 2005, 38, 578–592. [Google Scholar]
- Song, G.; Ma, N.; Li, H.N. Applications of shape memory alloys in civil structures. Eng. Struct. 2006, 28, 1266–1274. [Google Scholar] [CrossRef]
- Torra, V.; Isalgue, A.; Carreras, G.; Lovey, F.C.; Soul, H.; Temault, P.; Dieng, L. Experimental Study of Damping in Civil Engineering Structures Using Smart Materials (NiTi- SMA). Application to Stayed Cables for Bridges. Int. Rev. Mech. Eng. 2010, 4, 601–611. [Google Scholar]
- Wang, B.; Zhu, S. Seismic behavior of self-centering reinforced concrete wall enabled by superelastic shape memory alloy bars. Bull. Earthq. Eng. 2018, 16, 479–502. [Google Scholar] [CrossRef]
- Zhou, H.; Qi, S.; Yao, G.; Zhou, L.; Sun, L.; Xing, F. Damping and frequency of a model cable attached with a pre-tensioned shape memory alloy wire: Experiment and analysis. Struct. Control Health Monit. 2018, 25, e2106. [Google Scholar] [CrossRef]
- Qian, H.; Li, H.; Song, G. Superelastic behavior of shape memory alloy wires for seismic engineering application: Theory and experiment. In Proceedings of the SPIE—The International Society for Optical Engineering, Harbin, China, 1 November 2007; Volume 6423, p. 64230O.14. [Google Scholar]
- Schijve, J. Fatigue of Structures and Materials; Springer Science & Business Media: Dordrecht, The Netherlands, 2010. [Google Scholar]
- Moumni, Z.; Van, H.A.; Riberty, P. Fatigue analysis of shape memory alloys: Energy approach. Smart Mater. Struct. 2005, 14, S287. [Google Scholar] [CrossRef]
- Kang, G.; Kan, Q.; Yu, C.; Song, D.; Liu, Y. Whole-life transformation ratchetting and fatigue of super-elastic NiTi Alloy under uniaxial stress-controlled cyclic loading. Mater. Sci. Eng. A 2012, 535, 228–234. [Google Scholar] [CrossRef]
- Casciati, S.; Marzi, A. Fatigue tests on SMA bars in span control. Eng. Struct. 2011, 33, 1232–1239. [Google Scholar] [CrossRef]
- Maletta, C.; Sgambitterra, E.; Furgiuele, F.; Casati, R.; Tuissi, A. Fatigue properties of a pseudoelastic NiTi alloy: Strain ratcheting and hysteresis under cyclic tensile loading. Int. J. Fatigue 2014, 66, 78–85. [Google Scholar] [CrossRef]
- Bin, W.; Songye, Z. Cyclic tension–compression behavior of superelastic shape memory alloy bars with buckling-restrained devices. Constr. Build. Mater. 2018, 186, 103–113. [Google Scholar]
- Saikrishna, C.N.; Ramaiah, K.V.; Paul, D.; Bhaumik, S.K. Enhancement in fatigue life of NiTi shape memory alloy thermal actuator wire. Acta Mater. 2016, 102, 385–396. [Google Scholar] [CrossRef]
- Mahtabi, M.J.; Shamsaei, N.; Rutherford, B. Mean strain effects on the fatigue behavior of superelastic nitinol alloys: An experimental investigation. Procedia Eng. 2015, 133, 646–654. [Google Scholar] [CrossRef]
- Miyazaki, S.; Mizukoshi, K.; Ueki, T.; Sakuma, T.; Liu, Y. Fatigue life of Ti-50 at.% Ni and Ti-40Ni-10Cu (at.%) shape memory alloy wires. Mater. Sci. Eng. A 1999, 273-275, 658–663. [Google Scholar] [CrossRef]
- Casciati, S.; Marzi, A. Experimental studies on the fatigue life of shape memory alloy bars. Smart Struct. Syst. 2010, 6, 73–85. [Google Scholar] [CrossRef]
- Tobushi, H.; Nakahara, T.; Shimeno, Y.; Hashimoto, T. Low-cycle fatigue of TiNi shape memory alloy and formulation of fatigue life. J. Eng. Mater. Technol. 2000, 122, 186–191. [Google Scholar] [CrossRef]
- Kim, Y. Fatigue properties of the Ti-Ni base shape memory alloy wire. Mater. Trans. 2002, 43, 1703–1706. [Google Scholar] [CrossRef]
- Torra, V.; Isalgue, A.; Auguet, C.; Carreras, G.; Lovey, F.C.; Terriault, P. Damping in civil engineering using SMA Part 2–particular properties of NiTi for damping of stayed cables in bridges. Can. Metall. Q. 2013, 52, 81–89. [Google Scholar] [CrossRef]
- Islam, A.B.M.R.; Karadoğan, E. Sensitivity and Uncertainty Analysis of One-Dimensional Tanaka and Liang-Rogers Shape Memory Alloy Constitutive Models. Materials 2019, 12, 1687. [Google Scholar] [CrossRef]
- Honarmandi, P.; Solomou, A.; Arróyave, R.; Lagoudas, D. Uncertainty quantification of the parameters and predictions of a phenomenological constitutive model for thermally induced phase transformation in Ni-Ti shape memory alloys. Model. Simul. Mater. Sci. Eng. 2019, 27, 034001. [Google Scholar] [CrossRef]
- Zhang, Y.; You, Y.; Moumni, Z.; Anlas, G.; Zhu, J.; Zhang, W. Experimental and theoretical investigation of the frequency effect on low cycle fatigue of shape memory alloys. Int. J. Plast. 2017, 90, 1–30. [Google Scholar] [CrossRef]












| Elements | Ni | C | O | Fe | Co | Cr |
|---|---|---|---|---|---|---|
| Contents (w/%) | 55.980 | 0.042 | 0.038 | <0.010 | <0.005 | <0.005 |
| Elements | Cu | Nb | N | H | Ti | - |
| Contents (w/%) | <0.005 | <0.005 | <0.003 | <0.001 | Balance | - |
| Cases | T (°C) | εmin (%) | εmax (%) | Δε (%) |
|---|---|---|---|---|
| A1 | 35 | 0.5 | 0.9 | 0.4 |
| A2 | 0.5 | 1.0 | 0.5 | |
| A3 | 0.5 | 1.1 | 0.6 | |
| A4 | 0.5 | 1.2 | 0.7 | |
| A5 | 0.5 | 1.3 | 0.8 | |
| A6 | 0.5 | 1.5 | 1.0 | |
| A7 | 0.5 | 1.7 | 1.2 | |
| A8 | 0.5 | 2.1 | 1.6 | |
| A9 | 0.5 | 2.5 | 2.0 | |
| B1 | 40 | 0.5 | 0.9 | 0.4 |
| B2 | 0.5 | 1.0 | 0.5 | |
| B3 | 0.5 | 1.1 | 0.6 | |
| B4 | 0.5 | 1.2 | 0.7 | |
| B5 | 0.5 | 1.3 | 0.8 | |
| B6 | 0.5 | 1.5 | 1.0 | |
| B7 | 0.5 | 1.7 | 1.2 | |
| B8 | 0.5 | 2.1 | 1.6 | |
| B9 | 0.5 | 2.5 | 2.0 | |
| C1 | 45 | 0.5 | 0.9 | 0.4 |
| C2 | 0.5 | 1.0 | 0.5 | |
| C3 | 0.5 | 1.1 | 0.6 | |
| C4 | 0.5 | 1.2 | 0.7 | |
| C5 | 0.5 | 1.3 | 0.8 | |
| C6 | 0.5 | 1.5 | 1.0 | |
| C7 | 0.5 | 1.7 | 1.2 | |
| C8 | 0.5 | 2.1 | 1.6 | |
| C9 | 0.5 | 2.5 | 2.0 | |
| D1 | 50 | 0.5 | 0.9 | 0.4 |
| D2 | 0.5 | 1.0 | 0.5 | |
| D3 | 0.5 | 1.1 | 0.6 | |
| D4 | 0.5 | 1.2 | 0.7 | |
| D5 | 0.5 | 1.3 | 0.8 | |
| D6 | 0.5 | 1.5 | 1.0 | |
| D7 | 0.5 | 1.7 | 1.2 | |
| D8 | 0.5 | 2.1 | 1.6 | |
| D9 | 0.5 | 2.5 | 2.0 |
| Strain Amplitudes | 0.4% | 0.5% | 0.6% | 0.7% | 0.8% | 1.0% | 1.2% | 1.6% | 2.0% | |
|---|---|---|---|---|---|---|---|---|---|---|
| Temperature | ||||||||||
| 35 °C | >2 × 106 | 208,411 | 113,607 | 66,718 | 58,198 | 21,082 | 17,302 | 8517 | 3031 | |
| 40 °C | >2 × 106 | 125,602 | 95,376 | 47,512 | 30,101 | 18,191 | 12,334 | 3901 | 4339 | |
| 45 °C | >2 × 106 | 98,145 | 62,256 | 41,908 | 19,787 | 16,758 | 11,524 | 4155 | 2806 | |
| 50 °C | 126,356 | 64,904 | 28,501 | 22,878 | 16,586 | 11,999 | 8041 | 1969 | 2320 | |
© 2020 by the authors. Licensee MDPI, Basel, Switzerland. This article is an open access article distributed under the terms and conditions of the Creative Commons Attribution (CC BY) license (http://creativecommons.org/licenses/by/4.0/).
Share and Cite
Lin, C.; Wang, Z.; Yang, X.; Zhou, H. Experimental Study on Temperature Effects on NiTi Shape Memory Alloys under Fatigue Loading. Materials 2020, 13, 573. https://doi.org/10.3390/ma13030573
Lin C, Wang Z, Yang X, Zhou H. Experimental Study on Temperature Effects on NiTi Shape Memory Alloys under Fatigue Loading. Materials. 2020; 13(3):573. https://doi.org/10.3390/ma13030573
Chicago/Turabian StyleLin, Caikui, Zeqiang Wang, Xin Yang, and Haijun Zhou. 2020. "Experimental Study on Temperature Effects on NiTi Shape Memory Alloys under Fatigue Loading" Materials 13, no. 3: 573. https://doi.org/10.3390/ma13030573
APA StyleLin, C., Wang, Z., Yang, X., & Zhou, H. (2020). Experimental Study on Temperature Effects on NiTi Shape Memory Alloys under Fatigue Loading. Materials, 13(3), 573. https://doi.org/10.3390/ma13030573

