Numerical Prediction of Residual Stresses Distribution in Thin-Walled Press-Braked Stainless Steel Sections
Abstract
1. Introduction
2. Numerical Simulation of Press-Braked Operation
2.1. General Methodology
2.2. Modelling Steps
2.2.1. Geometrical Properties
2.2.2. Element Selection and Meshing
2.2.3. Material Properties
Description of Stress-Strain Behaviour
Nonlinear Strain Hardening
Material Anisotropy
Material Properties for Parametric Study
2.2.4. Assembly and Contact Definition
2.2.5. Create step and Boundary Conditions
Forming (Explicit)
Springback
3. Results Comparison
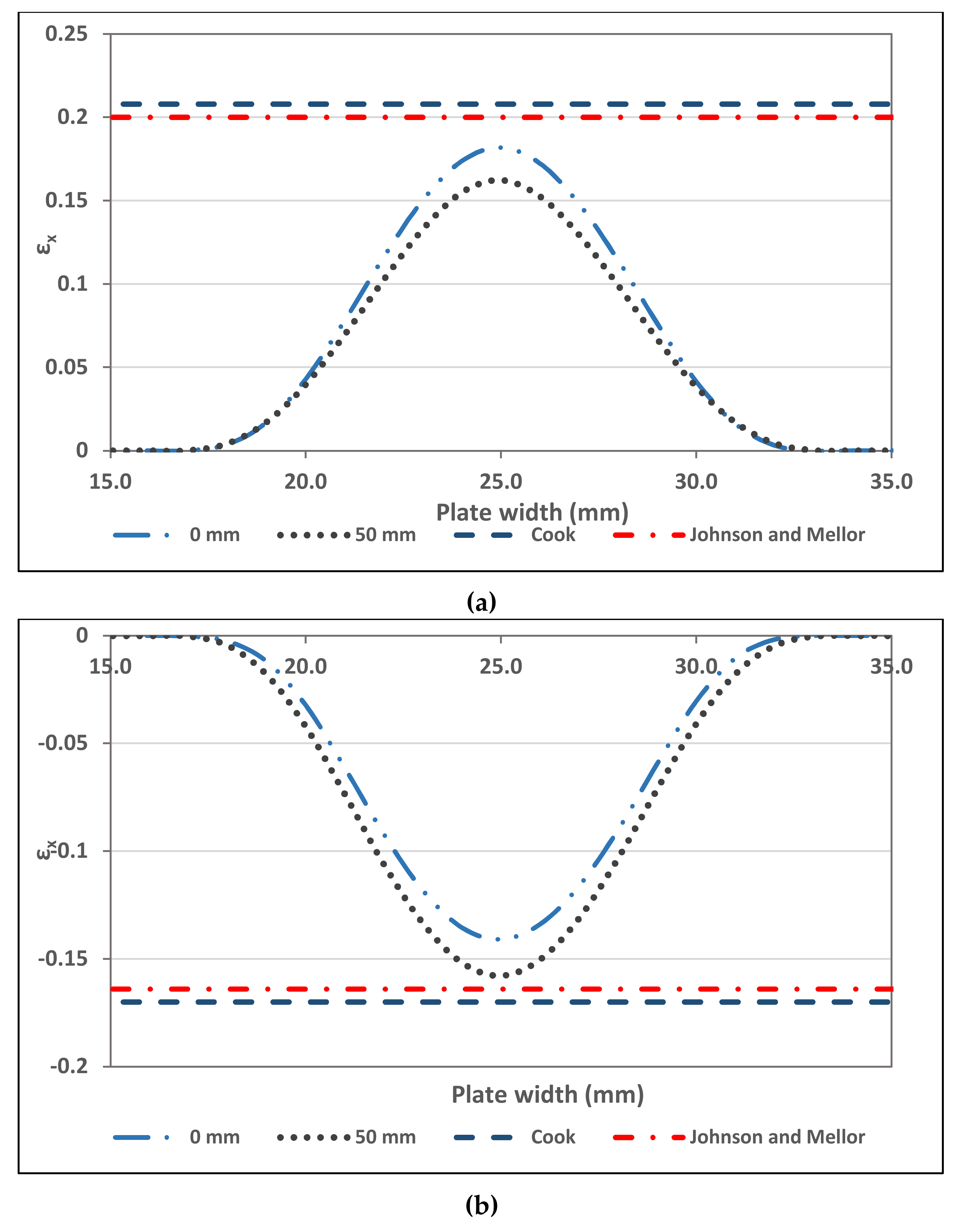
3.1. Model Verification
3.2. Residual Stress Distribution
3.2.1. Transverse Residual Stresses
3.2.2. Longitudinal Residual Stresses
3.3. Residual Stresses Through-Thickness Distribution of Coiling-Uncoiling Process
3.3.1. Transverse Through-Thickness Residual Stresses
3.3.2. Longitudinal Through-Thickness Residual Stresses
3.4. Residual Stresses through-Thickness Distribution of Press-Braking
3.4.1. Transverse Through-Thickness Residual Stresses
3.4.2. Longitudinal Through-Thickness Residual Stresses
3.5. Residual Stress through-Thickness Variation and Comparison With 2D-FE Results
- 3D-FE (anisotropy): the results obtained in this study that considered the material anisotropy effect.
- 2D-FE (anisotropy): the results extracted from [14] which considered material anisotropy effect.
- 2D-FE (isotropy): the results extracted from [17] which considered material isotropy (No anisotropy effect).
3.5.1. Transverse Stresses
3.5.2. Longitudinal Stresses
4. Parametric Study
4.1. Ferritic Stainless Steel
4.1.1. Transverse
4.1.2. Longitudinal
4.2. Austenitic Stainless Steel
4.2.1. Transverse
4.2.2. Longitudinal
4.3. Duplex Stainless Steel
4.3.1. Transverse
4.3.2. Longitudinal
4.4. Lean Duplex Stainless Steel
4.4.1. Transverse
4.4.2. Longitudinal
4.5. Discussion
5. Conclusions
- Residual stress is not linear along the corner region; peak longitudinal stress exists in the inner and outer surface due to the coiling-uncoiling process effect.
- The coiling radius can be predicted using the 3D-FE (anisotropy) where maximum stresses exist in the inner and outer surfaces.
- In simulation with material anisotropy, the neutral axis shift in the longitudinal residual stress distribution was lower than the one which neglected it. In addition, stresses near mid-surface are also higher.
- Full finite element procedure incorporating coiling-uncoiling process shows higher longitudinal residual stress than the finite element simulation incorporating the coiling-uncoiling estimate using analytical method.
- For transverse residual stress, the material effect is negligible.
- The parametric study showed that all stainless steel types have the same stress through-thickness distribution form. Moreover, the effect of the R/t ratio is insignificant in all transverse residual stresses distribution. However, a slight change to the R/t ratio can affect the longitudinal residual stress distribution.
- Austenitic stainless steel has higher peak residual stresses (compressive and tensile) among the other stainless steels.
- Ferritic, Duplex and Lean Duplex showed many similarities in stress distribution in terms of form and normalised stress values.
Author Contributions
Funding
Conflicts of Interest
Notations
| Wd | Die opening |
| R | Intended-formed corner radius |
| t | Sheet thickness |
| D/t | The coil diameter/thickness ratio. |
| R/t | Corner radius-to-thickness ratios. |
| , b | Material parameters. |
| σ0D | Through-thickness initial yield stresses in diagonal direction. |
| Initial yield stresses (taken as the 0.2% proof stresses) in the longitudinal (z) direction. | |
| Initial yield stresses (taken as the 0.2% proof stresses) in the transverse (x) direction. | |
| Initial yield stresses (taken as the 0.2% proof stresses) in through-thickness(y) direction. | |
| σ0.2 | 0.2% proof of stress. |
| σ1.0 | 1.0% proof of stress. |
| σ2.0 | 2.0% proof of stress. |
| Equivalent true stress. | |
| True stress. | |
| σ0,ii | Initial yield stress measured in the i-direction. |
| σ0 | The reference yield stress. |
| σx/σ0L | Normalized Stress. |
| Nominal stress. | |
| p | Equivalent true plastic strain |
| True plastic strain. | |
| Nominal strain respectively. | |
| True strain. | |
| εx | Residual transverse strain |
| y | The distance from center line to the surface |
| τ0,ij | Initial shear yield stress measured for the i-j plane. |
| The reference yield stress. | |
| E0 | The initial young modulus. |
| E0.2 | Tangent modulus at the nominal yield stress. |
| E1, E2, E3 | Elastic moduli in local coordinate system (1-transverse, 2-through thickness and 3-longitudinal directions). |
| ν12, ν13, ν 23 | Poisson’s ratios in local coordinate system. |
| G12, G13, G23 | Shear moduli in local coordinate system. |
| LC | Longitudinal compression coupon |
| TC | Transverse compression coupon. |
| DC | Diagonal compression coupon. |
| n | Exponent for strain-hardening. |
| Strain hardening exponents the second stages. | |
| Rij | State of plastic anisotropy is defined in ABAQUS in i-j plane. |
| y/t | Normalized thickness |
References
- Weng, C.C.; Pekoz, T. Residual stresses in cold-formed steel members. J. Struct. Eng. 1990, 116, 1611–1625. [Google Scholar] [CrossRef]
- Weng, C.C.; White, R.N. Residual stresses in cold-bent thick steel plates. J. Struct. Eng. 1990, 116, 24–39. [Google Scholar] [CrossRef]
- Schafer, B.W.; Peköz, T. Computational modeling of cold-formed steel: Characterizing geometric imperfections and residual stresses. J. Constr. Steel Res. 1998, 47, 193–210. [Google Scholar] [CrossRef]
- Yuan, H.X.; Wang, Y.Q.; Shi, Y.J.; Gardner, L. Residual stress distributions in welded stainless steel sections. Thin Walled Struct. 2014, 79, 38–51. [Google Scholar] [CrossRef]
- Yuan, H.X.; Wang, Y.Q.; Shi, Y.J.; Gardner, L. Stub column tests on stainless steel built-up sections. Thin Walled Struct. 2014, 83, 103–114. [Google Scholar] [CrossRef]
- Huang, Y.; Young, B. Material properties of cold-formed lean duplex stainless steel sections. Thin Walled Struct. 2012, 54, 72–81. [Google Scholar] [CrossRef]
- Jandera, M.; Gardner, L.; Machacek, J. Residual stresses in cold-rolled stainless steel hollow sections. J. Constr. Steel Res. 2008, 64, 1255–1263. [Google Scholar] [CrossRef]
- Cruise, B.R.; Gardner, L. Residual stress analysis of structural stainless steel sections. J. Constr. Steel Res. 2008, 64, 352–366. [Google Scholar]
- Gardner, L.; Cruise, R.B. Modeling of Residual Stresses in Structural Stainless Steel Sections. J. Struct. Eng. 2009, 135, 42–53. [Google Scholar] [CrossRef]
- Rondal, J. Residual stresses in cold-rolled profiles. Constr. Build. Mater. 1987, 1, 150–164. [Google Scholar] [CrossRef]
- Quach, W.M.; Teng, J.G.; Chung, K.F. Residual stresses in steel sheets due to coiling and uncoiling: A closed-form analytical solution. Eng. Struct. 2004, 26, 1249–1259. [Google Scholar] [CrossRef]
- Quach, W.M.; Teng, J.G.; Chung, K.F. Finite element predictions of residual stresses in press-braked thin-walled steel sections. Eng. Struct. 2006, 28, 1609–1619. [Google Scholar] [CrossRef]
- Quach, W.M.; Teng, J.G.; Chung, K.F. Residual stresses in press-braked stainless steel sections, I: Coiling and uncoiling of sheets. J. Construct. Steel Res. 2009, 65, 1803–1815. [Google Scholar] [CrossRef]
- Quach, W.M.; Teng, J.G.; Chung, K.F. Residual stresses in press-braked stainless steel sections, II: Press-braking operations. J. Constr. Steel Res. 2009, 65, 1816–1826. [Google Scholar] [CrossRef]
- Moen, C.D.; Igusa, T.; Schafer, B.W. Prediction of residual stresses and strains in cold-formed steel members. Thin Walled Struct. 2008, 46, 1274–1289. [Google Scholar] [CrossRef]
- Amouzegar, H.; Schafer, B.W.; Tootkaboni, M. An incremental numerical method for calculation of residual stresses and strains in cold-formed steel members. Thin Walled Struct. 2016, 106, 61–74. [Google Scholar] [CrossRef]
- Zheng, B.; Shu, G.; Jiang, Q. Study on Residual Stress Distributions in Press-Braked Stainless Steel Sections. Int. J. Steel Struct. 2019, 19, 1483–1496. [Google Scholar] [CrossRef]
- Ablat, M.A.; Qattawi, A. Numerical simulation of sheet metal forming: A review. Int. J. Adv. Manuf. Technol. 2017, 89, 1235–1250. [Google Scholar] [CrossRef]
- Abvabi, A.; Rolfe, B.; Hodgson, P.D.; Weiss, M. The influence of residual stress on a roll forming process. Int. J. Mechanic. Sci. 2015, 101–102, 124–136. [Google Scholar] [CrossRef]
- Larrañaga, J.; Galdos, L.; Uncilla, L.; Etxaleku, A. Development and validation of a numerical model for sheet metal roll forming. Int. J. Mater. Form. 2010, 3, 151–154. [Google Scholar] [CrossRef]
- Quach, W.M.; Teng, J.G.; Chung, K.F. Effect of the manufacturing process on the behaviour of press-braked thin-walled steel columns. Eng. Struct. 2010, 32, 3501–3515. [Google Scholar] [CrossRef]
- Abambres, M.; Quach, W.-M. Residual stresses in steel members: A review of available analytical expressions. Int. J. Struct. Integr. 2016, 7, 70–94. [Google Scholar] [CrossRef]
- Gerbo, E.J.; Thrall, A.P.; Smith, B.J.; Zoli, T.P. Full-field measurement of residual strains in cold bent steel plates. J. Construct. Steel Res. 2016, 127, 187–203. [Google Scholar] [CrossRef]
- Mutafi, A.; Yidris, N.; Loughlan, J.; Zahari, R.; Ishak, M.R. Investigation into the distribution of residual stresses in pressed-braked thin-walled steel lipped channel sections using the 3D-FEM technique. Thin Walled Struct. 2019, 135, 437–445. [Google Scholar] [CrossRef]
- Mutafi, A.; Yidris, N.; Ishak, M.R.; Zahari, R. An investigation on longitudinal residual strains distribution of thin-walled press-braked cold formed steel sections using 3D FEM technique. Heliyon 2018, 4, e00937. [Google Scholar] [CrossRef]
- Becque, J.; Rasmussen, K.J.R. Experimental Investigation of the Interaction of Local and Overall Buckling of Stainless Steel I-Columns. J. Struct. Eng. 2009, 135, 1340–1348. [Google Scholar] [CrossRef]
- ABAQUS 6.13-4. Dassault Systèmes Simulia Corp.: Providence, RI, USA, 2013.
- Finn, M.J.; Galbraith, P.C.; Wu, L.; Hallquist, J.O.; Lum, L.; Lin, T.L. Use of a coupled explicit—implicit solver for calculating spring-back in automotive body panels. J. Mater. Process. Technol. 1995, 50, 395–409. [Google Scholar] [CrossRef]
- Han, X.; Hua, L. 3D FE modeling of cold rotary forging of a ring workpiece. J. Mater. Process. Technol. 2009, 209, 5353–5362. [Google Scholar] [CrossRef]
- Mutafi, A.; Yidris, N.; Ishak, M.R.; Zahari, R. 3D FEM to Predict Residual Stresses of Press-Braked Thin-Walled Steel Sections. In Proceedings of the GCEC 2017: 1st Global Civil Engineering Conference, Kuala Lumpur, Malaysia, 25–28 July 2017. [Google Scholar]
- Weisz-Patrault, D.; Ehrlacher, A. Imposed curvature of an elastic-plastic strip: Application to simulation of coils. Mech. Ind. 2017, 18, 218. [Google Scholar] [CrossRef][Green Version]
- Quach, W.M. Residual stresses in cold-formed steel sections and their effect oncolumn behaviour. Ph.D. Thesis, Department of Civil and Structural Engineering, The Hong Kong Polytechnic University, Hong Kong, China, 2005. [Google Scholar]
- Chung, W.; Kim, B.; Lee, S.; Ryu, H.; Joun, M. Finite element simulation of plate or sheet metal forming processes using tetrahedral MINI-elements. J. Mech. Sci. Technol. 2014, 28, 237–243. [Google Scholar] [CrossRef]
- Rasmussen, K.J.R.; Burns, T.; Bezkorovainy, P.; Bambach, M.R. Numerical modelling of stainless steel plates in compression. J. Constr. Steel Res. 2003, 59, 1345–1362. [Google Scholar] [CrossRef]
- Quach, W.M.; Teng, J.G.; Chung, K.F. New full-range stress-strain model for stainless steels. In Proceedings of the 3rd International Conference on Steel and Composite Structures, Manchester, UK, 30 July–1 August 2007. [Google Scholar]
- Quach, W.M.; Teng, J.G.; Chung, K.F. Three-stage full-range stress-strain model for stainless steels. J. Struct. Eng. 2008, 134, 1518–1527. [Google Scholar] [CrossRef]
- Cold-Formed Stainless Steel Structures, AS/NZS 4673:2001; Standards Australia: Sydney, Australia; Standards New Zealand: Wellington, New Zealand, 2001.
- EU. CEN, EN 1993-1-4. Eurocode 3: Design of steel structures. Part 1.4: General rules–Supplementary Rules for Stainless Steel; EU: Brussels, Belgium, 2006. [Google Scholar]
- Chakrabarty, J. Applied Plasticity; Springer: New York, NY, USA, 2000. [Google Scholar]
- Hill, R. The Mathematical Theory of Plasticity; Oxford University Press: Oxford, UK, 1950. [Google Scholar]
- Li, H.-T.; Young, B. Cold-formed ferritic stainless steel tubular structural members subjected to concentrated bearing loads. Eng. Struct. 2017, 145, 392–405. [Google Scholar] [CrossRef]
- Cashell, K.A.; Baddoo, N.R. Ferritic stainless steels in structural applications. Thin Walled Struct. 2014, 83, 169–181. [Google Scholar] [CrossRef]
- Yousefi, A.M.; Lim, J.B.P.; Clifton, G.C. Web crippling strength of perforated cold-formed ferritic stainless steel unlipped channels with restrained flanges under one-flange loadings. Thin Walled Struct. 2019, 137, 94–105. [Google Scholar] [CrossRef]
- Quach, W.M.; Qiu, P. Strength and ductility of corner materials in cold-formed stainless steel sections. Thin Walled Struct. 2014, 83, 28–42. [Google Scholar] [CrossRef]
- Saliba, N.; Gardner, L. Experimental study of the shear response of lean duplex stainless steel plate girders. Eng. Struct. 2013, 46, 375–391. [Google Scholar] [CrossRef]
- Yousefi, A.M.; Lim, J.B.P.; Clifton, G.C. Web Crippling Behavior of Unlipped Cold-Formed Ferritic Stainless Steel Channels Subject to One-Flange Loadings. J. Struct. Eng. 2018, 144, 04018105. [Google Scholar] [CrossRef]
- Jung, D.W. Study of Dynamic Explicit Analysis in Sheet Metal Forming Processes Using Faster Punch Velocity and Mass Scaling Scheme. J. Mater. Eng. Perform. 1998, 7, 479–490. [Google Scholar] [CrossRef]
- Cook, N.H. Manufacturing Analysis; Addison-Wesley Co: Reading, MA, USA, 1966. [Google Scholar]
- Johnson, W.; Mellor, P.B. Engineering Plasticity; Van Nostrand Reinhold: New York, NY, USA, 1980. [Google Scholar]





















| Specimen | E0 GPa | σ0.01 MPa | σ0.2 MPa | e (=σ0.2/E0) | n |
|---|---|---|---|---|---|
| LC | 181.650 | 275 | 527 | 0.00290 | 4.6 |
| TC | 210.000 | 380 | 617 | 0.00294 | 6.2 |
| DC | 205.000 | 460 | 610 | 0.00298 | 10.6 |
| Type of Stainless Steel | e (=σ0.2/E0) | |||||
|---|---|---|---|---|---|---|
| Ferritic [43] | 197.0 | 280.0 | LT | 454.0 | 0.0014 | - |
| Austenitic [44] | 180.0 | 287.1 | LT | 596.5 | 0.0033 | 5.34 |
| Duplex [5] | 191.9 | 553.0 | LC | - | 0.0029 | 7.0 |
| Lean Duplex [45] | 191.0 | 486 | LT | 752 | 0.0025 | 12 |
| Type of Stainless Steel | E1 | E2 | E3 | ||||||||
|---|---|---|---|---|---|---|---|---|---|---|---|
| Ferritic [43] | 199 | 199 | 197 | 289.7 | 167.3 | 295 | 295 | 280 | 167.3 | 170.3 | 167.3 |
| Austenitic [44] | 205.0 | 205.0 | 180.0 | 273.0 | 157.6 | 260.7 | 272.9 | 287.1 | 157.6 | 157.6 | 157.6 |
| Duplex [5] | 226.9 | 226.9 | 191.9 | 609.4 | 351.8 | 666.1 | 625.6 | 553 | 351.8 | 361.2 | 351.8 |
| Lean Duplex [45] | 208 | 208 | 191 | 520.1 | 300.1 | 540 | 540 | 486 | 300.3 | 311.8 | 300.3 |
Publisher’s Note: MDPI stays neutral with regard to jurisdictional claims in published maps and institutional affiliations. |
© 2020 by the authors. Licensee MDPI, Basel, Switzerland. This article is an open access article distributed under the terms and conditions of the Creative Commons Attribution (CC BY) license (http://creativecommons.org/licenses/by/4.0/).
Share and Cite
Mutafi, A.; Yidris, N.; Koloor, S.S.R.; Petrů, M. Numerical Prediction of Residual Stresses Distribution in Thin-Walled Press-Braked Stainless Steel Sections. Materials 2020, 13, 5378. https://doi.org/10.3390/ma13235378
Mutafi A, Yidris N, Koloor SSR, Petrů M. Numerical Prediction of Residual Stresses Distribution in Thin-Walled Press-Braked Stainless Steel Sections. Materials. 2020; 13(23):5378. https://doi.org/10.3390/ma13235378
Chicago/Turabian StyleMutafi, Ayad, Noorfaizal Yidris, Seyed Saeid Rahimian Koloor, and Michal Petrů. 2020. "Numerical Prediction of Residual Stresses Distribution in Thin-Walled Press-Braked Stainless Steel Sections" Materials 13, no. 23: 5378. https://doi.org/10.3390/ma13235378
APA StyleMutafi, A., Yidris, N., Koloor, S. S. R., & Petrů, M. (2020). Numerical Prediction of Residual Stresses Distribution in Thin-Walled Press-Braked Stainless Steel Sections. Materials, 13(23), 5378. https://doi.org/10.3390/ma13235378
