Torsional and Transversal Stiffness of Orthotropic Sandwich Panels
Abstract
1. Introduction
2. Materials and Methods
2.1. Reissner–Mindlin Plate—Governing Equations
2.2. Torsion of Orthotropic Plates with Transversal Shearing
2.3. Reissner–Mindlin Composite Laminated Plate
2.4. FEM Formulation of the Laminate Plate Element
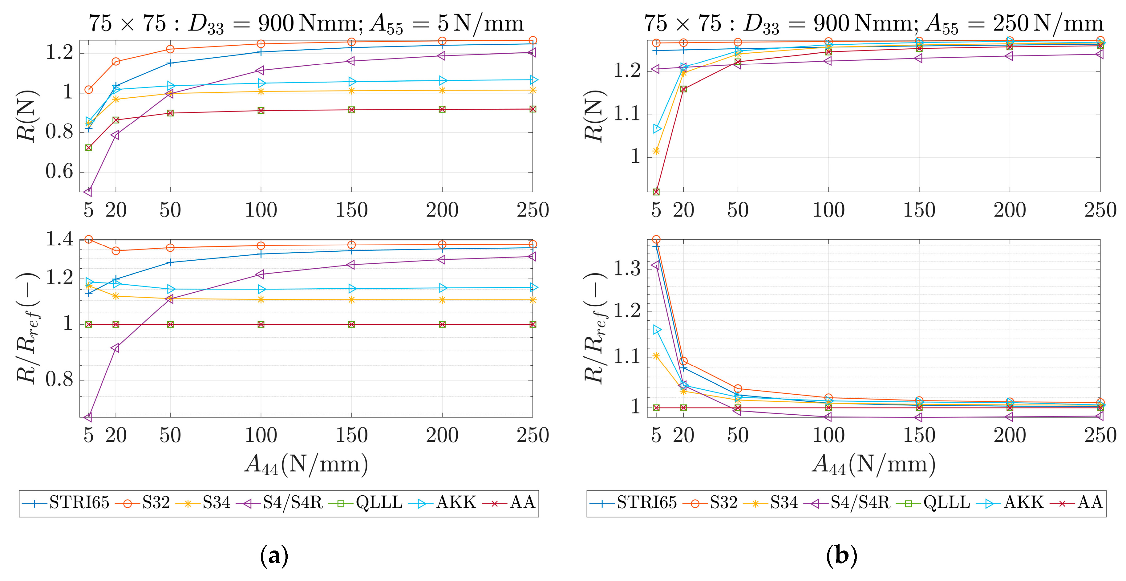
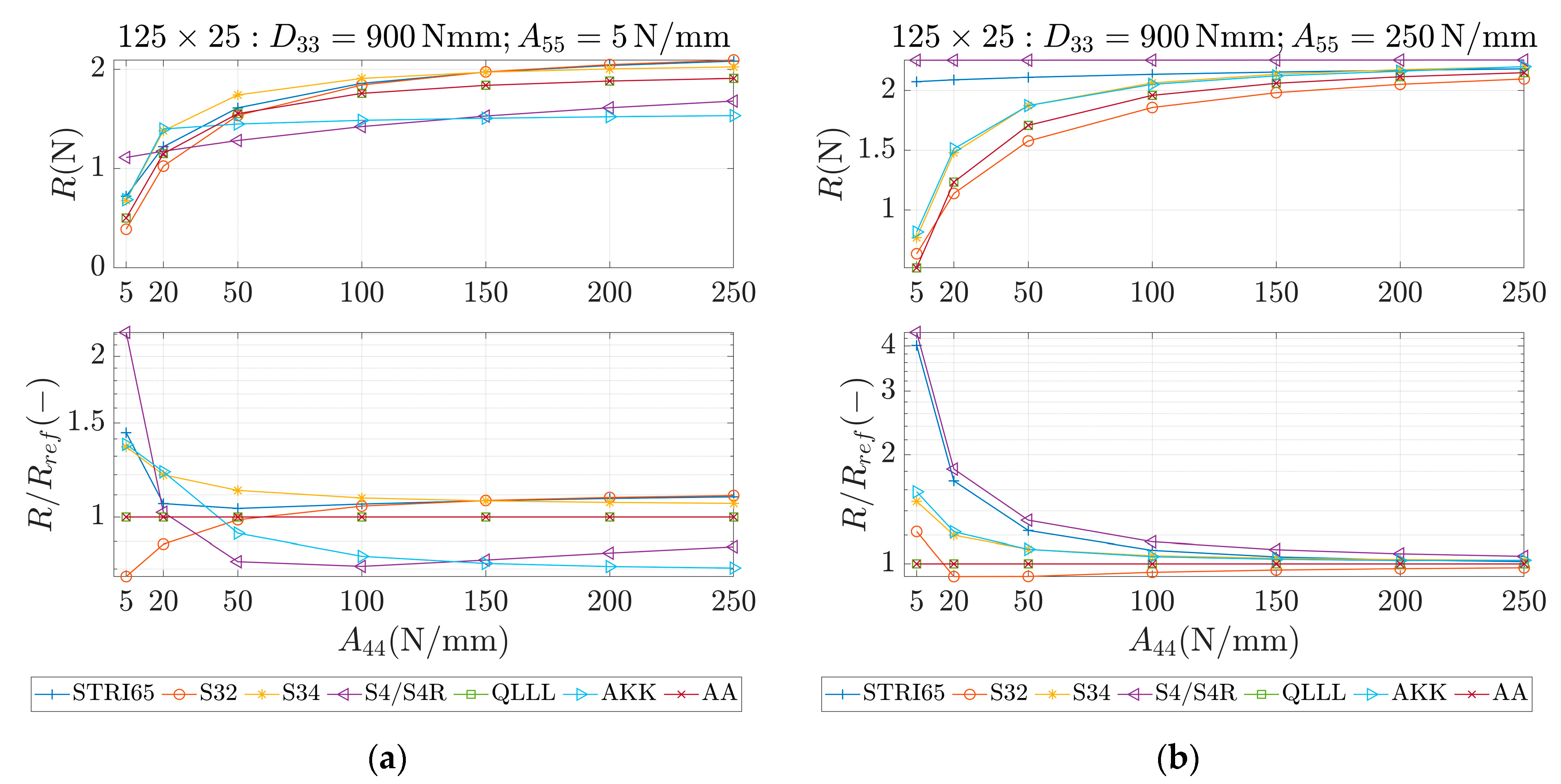
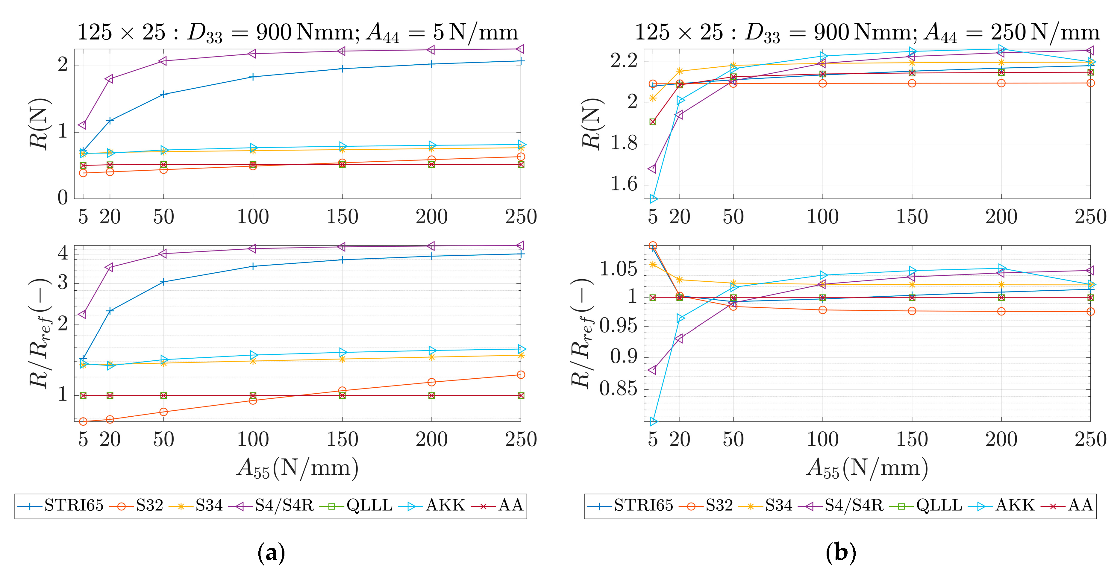
3. Results
4. Discussion
5. Conclusions
Supplementary Materials
Author Contributions
Funding
Acknowledgments
Conflicts of Interest
References
- Avilés, F.; Couoh-Solís, F.; Carlsson, L.A.; Hernández-Pérez, A. Experimental determination of torsion and shear properties of sandwich panels and laminated composites by the plate twist test. Compos. Struct. 2011, 93, 1923–1928. [Google Scholar] [CrossRef]
- Avilés, F.; Carlsson, L.A.; May-Pat, A. A shear-corrected formulation for the sandwich twist specimen. Exp. Mech. 2012, 52, 17–23. [Google Scholar]
- Garbowski, T.; Gajewski, T.; Grabski, J.K. Role of transverse shear modulus in the performance of corrugated materials. Materials 2020, 13, 3791. [Google Scholar] [CrossRef] [PubMed]
- Cohen, G.A. Transverse shear stiffness of laminated anisotropic shells. Comput. Method Appl. Mech. Eng. 1978, 13, 205–220. [Google Scholar] [CrossRef]
- Nordstrand, T.; Carlsson, L.A.; Allen, H.G. Transverse shear stiffness of structural core sandwich. Compos. Struct. 1994, 27, 317–329. [Google Scholar] [CrossRef]
- Nordstrand, T.M. Parametric study of the post-buckling strength of structural core sandwich panels. Compos. Struct. 1995, 30, 441–451. [Google Scholar] [CrossRef]
- Shi, G.; Tong, P. Equivalent transverse shear stiffness of honeycomb cores. Int. J. Solids Struct. 1995, 32, 1383–1393. [Google Scholar] [CrossRef]
- Nordstrand, T.; Carlssoon, L.A. Evaluation of transverse shear stiffness of structural core sandwich plates. Compos. Struct. 1997, 37, 145–153. [Google Scholar] [CrossRef]
- Altenbach, H. An alternative determination of transverse shear stiffnesses for sandwich and laminated plates. Int. J. Solid Struct. 2000, 37, 3503–3520. [Google Scholar] [CrossRef]
- Garbowski, T.; Jarmuszczak, M. Homogenization of Corrugated Paperboard. Part 1. Analytical homogenization. Pol. Pap. Rev. 2014, 70, 345–349. (In Polish) [Google Scholar]
- Garbowski, T.; Jarmuszczak, M. Homogenization of Corrugated Paperboard. Part 2. Numerical homogenization. Pol. Pap. Rev. 2014, 70, 390–394. (In Polish) [Google Scholar]
- Hohe, J. A direct homogenization approach for determination of the stiffness matrix for microheterogeneous plates with application to sandwich panels. Compos. Part B 2003, 34, 615–626. [Google Scholar] [CrossRef]
- Buannic, N.; Cartraud, P.; Quesnel, T. Homogenization of corrugated core sandwich panels. Compos. Struct. 2003, 59, 299–312. [Google Scholar] [CrossRef]
- Biancolini, M.E. Evaluation of equivalent stiffness properties of corrugated board. Compos. Struct. 2005, 69, 322–328. [Google Scholar] [CrossRef]
- Abbès, B.; Guo, Y.Q. Analytic homogenization for torsion of orthotropic sandwich plates: Application. Compos. Struct. 2010, 92, 699–706. [Google Scholar] [CrossRef]
- Marek, A.; Garbowski, T. Homogenization of sandwich panels. Comput. Assist. Methods Eng. Sci. 2015, 22, 39–50. [Google Scholar]
- Reissner, E. The effect of transverse shear deformation on the bending of elastic plates. J. Appl. Mech. 1945, 12, 69–72. [Google Scholar]
- Mindlin, R.D. Influence of rotatory inertia and shear on flexural motions of isotropic, elastic plates. J. Appl. Mech. 1951, 18, 31–38. [Google Scholar]
- Carlsson, L.A.; Nordstrand, T.; Westerlind, B. On the elastic stiffnesses of corrugated sandwich. J. Sandw. Struct. Mater. 2001, 3, 253–267. [Google Scholar] [CrossRef]
- Hernández-Pérez, A.; Avilés, F.; Carlsson, L.A. First-order shear deformation analysis of the sandwich plate twist specimen. J. Sand. Struct. Mater. 2012, 14, 229–245. [Google Scholar] [CrossRef]
- Phan, N.D.; Reddy, J.N. Analysis of laminated composite plates using a higher-order shear deformation theory. Int. J. Numer. Methods Eng. 1985, 21, 2201–2219. [Google Scholar] [CrossRef]
- Elmalich, D.; Rabinovitch, O. Twist in soft-core sandwich plates. J. Sandw. Struct. Mater. 2014, 16, 577–613. [Google Scholar] [CrossRef]
- Garbowski, T.; Gajewski, T.; Grabski, J.K. The role of buckling in the estimation of compressive strength of corrugated cardboard boxes. Materials 2020, 13, 4578. [Google Scholar] [CrossRef]
- McKee, R.C.; Gander, J.W.; Wachuta, J.R. Compression strength formula for corrugated boxes. Paperboard Packag. 1963, 48, 149–159. [Google Scholar]
- Reissner, E. On torsion and transverse flexure of orthotropic elastic plates. J. Appl. Mech. 1980, 47, 855–860. [Google Scholar] [CrossRef]
- Popil, R.E.; Coffin, D.W.; Habeger, C.C. Transverse shear measurement for corrugated board and its significance. Appita J. 2008, 61, 307–312. [Google Scholar]
- Bathe, K.J.; Dvorkin, E.N. A four node plate bending element based on Mindlin-Reissner plate theory and mixed interpolation. Int. J. Numer. Methods Eng. 1985, 21, 367–383. [Google Scholar] [CrossRef]
- Dvorkin, E.N.; Bathe, K.J. A continuum mechanics based four node shell element for general non-linear analysis. Eng. Comput. 1984, 1, 77–88. [Google Scholar] [CrossRef]
- MacNeal, R.H. A simple quadrilateral shell element. Comput. Struct. 1978, 8, 175–183. [Google Scholar] [CrossRef]
- MacNeal, R.H. Finite Elements: Their Design and Performance; Marcel Dekker: New York, NY, USA, 1994. [Google Scholar]
- Hughes, T.J.R.; Taylor, R.L.; Tezduyar, T.E. Finite elements based upon Mindlin plate theory with particular reference to the four node bilinear isoparametric element. J. Appl. Mech. 1981, 46, 587–596. [Google Scholar] [CrossRef]
- Donea, J.; Lamain, L.G. A modified representation of transverse shear in C0 quadrilateral plate elements. Comput. Methods Appl. Mech. Eng. 1987, 63, 183–207. [Google Scholar] [CrossRef]
- Onate, E.; Taylor, R.L.; Zienkiewicz, O.C. Consistent formulation of shear constrained Reissner-Mindlin plate elements. In Discretization Methods in Structural Mechanics; Kuhn, C., Mang, H., Eds.; Springer: Berlin/Heidelberg, Germany, 1990; pp. 169–180. [Google Scholar]
- Onate, E.; Zienkiewicz, O.C.; Suarez, B.; Taylor, R.L. A general methodology for deriving shear constrained Reissner-Mindlin plate elements. Int. J. Numer. Meth. Eng. 1992, 33, 345–367. [Google Scholar] [CrossRef]
- Zienkiewicz, O.C.; Taylor, R.L. The Finite Element Method for Solid and Structural Mechanics, 6th ed.; Butterworth-Heinemann: Oxford, UK, 2005; p. 736. [Google Scholar]
- Zienkiewicz, O.C.; Lefebvre, D. Three field mixed approximation and the plate bending problem. Comm. Appl. Numer. Meth. 1987, 3, 301–309. [Google Scholar] [CrossRef]
- Zienkiewcz, O.C.; Qu, S.; Taylor, R.L.; Nakazawa, S. The Patch test for mixed formulations. Int. J. Numer. Meth. Eng. 1986, 23, 1873–1883. [Google Scholar] [CrossRef]
- FEMat Systems. Available online: http://www.fematsystems.pl/en/systems/bse/ (accessed on 26 September 2020).












Publisher’s Note: MDPI stays neutral with regard to jurisdictional claims in published maps and institutional affiliations. |
© 2020 by the authors. Licensee MDPI, Basel, Switzerland. This article is an open access article distributed under the terms and conditions of the Creative Commons Attribution (CC BY) license (http://creativecommons.org/licenses/by/4.0/).
Share and Cite
Garbowski, T.; Gajewski, T.; Grabski, J.K. Torsional and Transversal Stiffness of Orthotropic Sandwich Panels. Materials 2020, 13, 5016. https://doi.org/10.3390/ma13215016
Garbowski T, Gajewski T, Grabski JK. Torsional and Transversal Stiffness of Orthotropic Sandwich Panels. Materials. 2020; 13(21):5016. https://doi.org/10.3390/ma13215016
Chicago/Turabian StyleGarbowski, Tomasz, Tomasz Gajewski, and Jakub Krzysztof Grabski. 2020. "Torsional and Transversal Stiffness of Orthotropic Sandwich Panels" Materials 13, no. 21: 5016. https://doi.org/10.3390/ma13215016
APA StyleGarbowski, T., Gajewski, T., & Grabski, J. K. (2020). Torsional and Transversal Stiffness of Orthotropic Sandwich Panels. Materials, 13(21), 5016. https://doi.org/10.3390/ma13215016
