High Breakdown Voltage and Low Buffer Trapping in Superlattice GaN-on-Silicon Heterostructures for High Voltage Applications
Abstract
1. Introduction
2. Experimental Details
3. Result and Discussions
3.1. Vertical Leakage and Breakdown
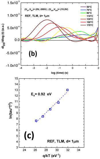
3.2. Charge Storage in the Buffer
4. Conclusions
Author Contributions
Funding
Conflicts of Interest
References
- Amano, H.; Baines, Y.; Beam, E.; Borga, M.; Bouchet, T.; Chalker, P.R.; Charles, M.; Chen, K.J.; Chowdhury, N.; Chu, R.; et al. The 2018 GaN power electronics roadmap. J. Phys. D Appl. Phys. 2018, 51, 163001. [Google Scholar] [CrossRef]
- Meneghini, M.; Meneghesso, G.; Enrico, Z. Power GaN Devices; Springer International Publishing: Cham, Switzerland, 2017; ISBN 978-3-319-43197-0. [Google Scholar]
- Dogmus, E.; Zegaoui, M.; Medjdoub, F. GaN-on-silicon high-electron-mobility transistor technology with ultra-low leakage up to 3000 V using local substrate removal and AlN ultra-wide bandgap. Appl. Phys. Express 2018, 11, 034102. [Google Scholar] [CrossRef]
- Tajalli, A.; Stockman, A.; Meneghini, M.; Mouhoubi, S.; Banerjee, A.; Gerardin, S.; Bagatin, M.; Paccagnella, A.; Zanoni, E.; Tack, M.; et al. Dynamic-ron control via proton irradiation in AlGaN/GaN transistors. In Proceedings of the 2018 IEEE 30th International Symposium on Power Semiconductor Devices and ICs (ISPSD), Chicago, IL, USA, 13–17 May 2018; IEEE: Chicago, IL, USA, 2018; pp. 92–95. [Google Scholar]
- Herbecq, N.; Roch-Jeune, I.; Rolland, N.; Visalli, D.; Derluyn, J.; Degroote, S.; Germain, M.; Medjdoub, F. 1900 V, 1.6 mΩ cm2 AlN/GaN-on-Si power devices realized by local substrate removal. Appl. Phys. Express 2014, 7, 034103. [Google Scholar] [CrossRef]
- Umeda, H.; Suzuki, A.; Anda, Y.; Ishida, M.; Ueda, T.; Tanaka, T.; Ueda, D. Blocking-voltage boosting technology for GaN transistors by widening depletion layer in Si substrates. In Proceedings of the 2010 International Electron Devices Meeting, San Francisco, CA, USA, 6–8 December 2010; IEEE: San Francisco, CA, USA, 2010; pp. 20.5.1–20.5.4. [Google Scholar]
- Uren, M.J.; Karboyan, S.; Chatterjee, I.; Pooth, A.; Moens, P.; Banerjee, A.; Kuball, M. “Leaky Dielectric” Model for the Suppression of Dynamic Ron in Carbon-Doped AlGaN/GaN HEMTs. IEEE Trans. Electron Devices 2017, 64, 2826–2834. [Google Scholar] [CrossRef]
- Li, X.; Van Hove, M.; Zhao, M.; Bakeroot, B.; You, S.; Groeseneken, G.; Decoutere, S. Investigation on Carrier Transport Through AlN Nucleation Layer From Differently doped Si Substrate. IEEE Trans. Electron Devices 2018, 65, 1721–1727. [Google Scholar] [CrossRef]
- Borga, M.; Meneghini, M.; Stoffels, S.; Li, X.; Posthuma, N.; Van Hove, M.; Decoutere, S.; Meneghesso, G.; Zanoni, E. Impact of Substrate Resistivity on the Vertical Leakage, Breakdown, and Trapping in GaN-on-Si E-Mode HEMTs. IEEE Trans. Electron Devices 2018, 65, 2765–2770. [Google Scholar] [CrossRef]
- Stoffels, S.; Zhao, M.; Venegas, R.; Kandaswamy, P.; You, S.; Novak, T.; Saripalli, Y.; Van Hove, M.; Decoutere, S. The physical mechanism of dispersion caused by AlGaN/GaN buffers on Si and optimization for low dispersion. In Proceedings of the 2015 IEEE International Electron Devices Meeting (IEDM), Washington, DC, USA, 7–9 December 2015; IEEE: Washington, DC, USA, 2015; pp. 35.4.1–35.4.4. [Google Scholar]
- Stockman, A.; Uren, M.; Tajalli, A.; Meneghini, M.; Bakeroot, B.; Moens, P. Temperature dependent substrate trapping in AlGaN/GaN power devices and the impact on dynamic ron. In Proceedings of the 2017 47th European Solid-State Device Research Conference (ESSDERC), Leuven, Belgium, 11–14 September 2017; IEEE: Leuven, Belgium, 2017; pp. 130–133. [Google Scholar]
- Marso, M.; Wolter, M.; Javorka, P.; Kordoš, P.; Lüth, H. Investigation of buffer traps in an AlGaN/GaN/Si high electron mobility transistor by backgating current deep level transient spectroscopy. Appl. Phys. Lett. 2003, 82, 633–635. [Google Scholar] [CrossRef]
- Stockman, A.; Tajalli, A.; Meneghini, M.; Uren, M.J.; Mouhoubi, S.; Gerardin, S.; Bagatin, M.; Paccagnella, A.; Meneghesso, G.; Zanoni, E.; et al. The Effect of Proton Irradiation in Suppressing Current Collapse in AlGaN/GaN High-Electron-Mobility Transistors. IEEE Trans. Electron Devices 2019, 66, 372–377. [Google Scholar] [CrossRef]
- Saito, H.; Takada, Y.; Kuraguchi, M.; Yumoto, M.; Tsuda, K. Over 550 V breakdown voltage of InAlN/GaN HEMT on Si. Phys. Status Solidi Curr. Top. Solid State Phys. 2013, 10, 824–826. [Google Scholar] [CrossRef]
- Meneghini, M.; Vanmeerbeek, P.; Silvestri, R.; Dalcanale, S.; Banerjee, A.; Bisi, D.; Zanoni, E.; Meneghesso, G.; Moens, P. Temperature-Dependent Dynamic RON in GaN-Based MIS-HEMTs: Role of Surface Traps and Buffer Leakage. IEEE Trans. Electron Devices 2015, 62, 782–787. [Google Scholar] [CrossRef]
- Meneghini, M.; Tajalli, A.; Moens, P.; Banerjee, A.; Zanoni, E.; Meneghesso, G. Trapping phenomena and degradation mechanisms in GaN-based power HEMTs. Mater. Sci. Semicond. Process. 2018, 78, 118–126. [Google Scholar] [CrossRef]
- Albahrani, S.A.; Heuken, L.; Schwantuschke, D.; Gneiting, T.; Burghartz, J.N.; Khandelwal, S. Consistent Surface-Potential-Based Modeling of Drain and Gate Currents in AlGaN/GaN HEMTs. IEEE Trans. Electron Devices 2020, 67, 455–462. [Google Scholar] [CrossRef]
- Papasouliotis, G.D.; Su, J.; Krishnan, B.; Arif, R. (Invited) Epitaxial III-Nitride Film Growth in a Single Wafer Rotating Disk MOCVD Reactor. ECS Trans. 2015, 69, 73–95. [Google Scholar] [CrossRef]
- Usami, S.; Ando, Y.; Tanaka, A.; Nagamatsu, K.; Deki, M.; Kushimoto, M.; Nitta, S.; Honda, Y.; Amano, H.; Sugawara, Y.; et al. Correlation between dislocations and leakage current of p-n diodes on a free-standing GaN substrate. Appl. Phys. Lett. 2018, 112, 182106. [Google Scholar] [CrossRef]
- Besendörfer, S.; Meissner, E.; Lesnik, A.; Friedrich, J.; Dadgar, A.; Erlbacher, T. Methodology for the investigation of threading dislocations as a source of vertical leakage in AlGaN/GaN-HEMT heterostructures for power devices. J. Appl. Phys. 2019, 125, 095704. [Google Scholar] [CrossRef]
- Hsu, J.W.P.; Manfra, M.J.; Lang, D.V.; Richter, S.; Chu, S.N.G.; Sergent, A.M.; Kleiman, R.N.; Pfeiffer, L.N.; Molnar, R.J. Inhomogeneous spatial distribution of reverse bias leakage in GaN Schottky diodes. Appl. Phys. Lett. 2001, 78, 1685–1687. [Google Scholar] [CrossRef]
- Knetzger, M.; Meissner, E.; Derluyn, J.; Germain, M.; Friedrich, J. Correlation of carbon doping variations with the vertical breakdown of GaN-on-Si for power electronics. Microelectron. Reliab. 2016, 66, 16–21. [Google Scholar] [CrossRef]
- Bisi, D.; Meneghini, M.; Marino, F.A.; Marcon, D.; Stoffels, S.; Van Hove, M.; Decoutere, S.; Meneghesso, G.; Zanoni, E. Kinetics of Buffer-Related RON-Increase in GaN-on-Silicon MIS-HEMTs. IEEE Electron Device Lett. 2014, 35, 1004–1006. [Google Scholar] [CrossRef]
- Uren, M.J.; Cäsar, M.; Gajda, M.A.; Kuball, M. Buffer transport mechanisms in intentionally carbon doped GaN heterojunction field effect transistors. Appl. Phys. Lett. 2014, 104, 263505. [Google Scholar] [CrossRef]
- Lyons, J.L.; Janotti, A.; Van de Walle, C.G. Effects of carbon on the electrical and optical properties of InN, GaN, and AlN. Phys. Rev. B 2014, 89, 035204. [Google Scholar] [CrossRef]
- Wickenden, A.E.; Koleske, D.D.; Henry, R.L.; Twigg, M.E.; Fatemi, M. Resistivity control in unintentionally doped GaN films grown by MOCVD. J. Cryst. Growth 2004, 260, 54–62. [Google Scholar] [CrossRef]
- Yacoub, H.; Zweipfennig, T.; Lükens, G.; Behmenburg, H.; Fahle, D.; Eickelkamp, M.; Heuken, M.; Kalisch, H.; Vescan, A. Effect of carbon doping level on static and dynamic properties of AlGaN/GaN heterostructures grown on silicon. IEEE Trans. Electron Devices 2018, 65, 3191–3198. [Google Scholar] [CrossRef]












© 2020 by the authors. Licensee MDPI, Basel, Switzerland. This article is an open access article distributed under the terms and conditions of the Creative Commons Attribution (CC BY) license (http://creativecommons.org/licenses/by/4.0/).
Share and Cite
Tajalli, A.; Meneghini, M.; Besendörfer, S.; Kabouche, R.; Abid, I.; Püsche, R.; Derluyn, J.; Degroote, S.; Germain, M.; Meissner, E.; et al. High Breakdown Voltage and Low Buffer Trapping in Superlattice GaN-on-Silicon Heterostructures for High Voltage Applications. Materials 2020, 13, 4271. https://doi.org/10.3390/ma13194271
Tajalli A, Meneghini M, Besendörfer S, Kabouche R, Abid I, Püsche R, Derluyn J, Degroote S, Germain M, Meissner E, et al. High Breakdown Voltage and Low Buffer Trapping in Superlattice GaN-on-Silicon Heterostructures for High Voltage Applications. Materials. 2020; 13(19):4271. https://doi.org/10.3390/ma13194271
Chicago/Turabian StyleTajalli, Alaleh, Matteo Meneghini, Sven Besendörfer, Riad Kabouche, Idriss Abid, Roland Püsche, Joff Derluyn, Stefan Degroote, Marianne Germain, Elke Meissner, and et al. 2020. "High Breakdown Voltage and Low Buffer Trapping in Superlattice GaN-on-Silicon Heterostructures for High Voltage Applications" Materials 13, no. 19: 4271. https://doi.org/10.3390/ma13194271
APA StyleTajalli, A., Meneghini, M., Besendörfer, S., Kabouche, R., Abid, I., Püsche, R., Derluyn, J., Degroote, S., Germain, M., Meissner, E., Zanoni, E., Medjdoub, F., & Meneghesso, G. (2020). High Breakdown Voltage and Low Buffer Trapping in Superlattice GaN-on-Silicon Heterostructures for High Voltage Applications. Materials, 13(19), 4271. https://doi.org/10.3390/ma13194271
 
        



