Secondary Resonance Energy Harvesting with Quadratic Nonlinearity
Abstract
1. Introduction
2. Governing Equations
2.1. The Equation of Absolute Motion
2.2. The Equation of Relative Motion
2.3. Natural Frequencies and Modal Functions
2.4. The Application of Galerkin Method
3. Combination Resonances
3.1. The Multiscale Analyses
3.2. The Stability Analyses
3.3. Numerical Simulations When ω = ω2 + ω1
3.4. Numerical Simulations When ω = ω2 − ω1
4. Subharmonic Resonances
4.1. The First Subharmonic Resonance
4.2. Numerical Simulations When ω = 2ω1
4.3. The Second Subharmonic Resonance
4.4. Numerical Simulations When ω = 2ω2
5. Discussions
5.1. The Experimental Explanation
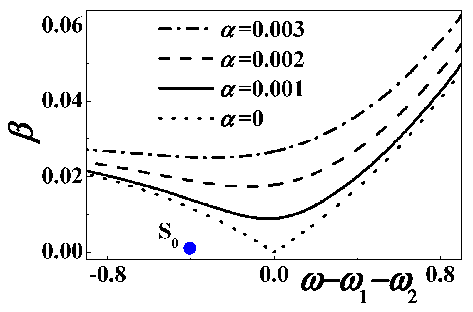
5.2. The Effects of Material Damping
5.3. The Effects of Excitation Amplitude
5.4. The Effects of Maximal Voltage
6. Conclusions
- When the excitation frequency approaches the sum of two natural frequencies, the combination resonance of the summed type exists. The stability boundary is provided approximately but analytically and sensitive to the viscoelastic damping. In the stable region, the one-order approximation of steady-state response is formulated. In the unstable region, the quasiperiodic motion may occur. The unstable response is readily found with small damping and a large enough excitation amplitude.
- When the excitation frequency approaches the difference between two natural frequencies, the differential harmonic oscillation does not exist. Their long-term response is simply harmonic and their frequency output is the same as the excitation frequency. To some extent, viscoelastic damping has no effect on the steady-state response. This outcome is drawn in the absence of internal resonance.
- When the excitation frequency approaches twice the natural frequency, the subharmonic resonance exists. The stability boundaries are provided for the first two vibration modes. Increasing damping decreases the unstable region, where there might be a period-doubling motion, or a theoretically growing response without bound. On the contrary, simply-harmonic voltage output is produced off the subharmonic resonances. The steady-state response in the stable region is explicitly expressed and numerically verified.
Author Contributions
Funding
Acknowledgments
Conflicts of Interest
References
- Cao, D.X.; Gao, Y.H.; Hu, W.H. Modeling and power performance improvement of a piezoelectric energy harvester for low-frequency vibration environments. Acta Mech. Sin. 2019, 35, 894–911. [Google Scholar] [CrossRef]
- Zhou, W.J.; Wang, B.; Lim, C.W.; Yang, Z.B. A distributed-parameter electromechanical coupling model for a segmented arc-shaped piezoelectric energy harvester. Mech. Syst. Signal Process. 2021, 146, 107005. [Google Scholar] [CrossRef]
- Challa, V.R.; Prasad, M.G.; Fisher, F.T. Towards an autonomous self-tuning vibration energy harvesting device for wireless sensor network applications. Smart Mater. Struct. 2011, 20, 025004. [Google Scholar] [CrossRef]
- Leadenham, S.; Erturk, A. Nonlinear M-shaped broadband piezoelectric energy harvester for very low base accelerations: Primary and secondary resonances. Smart Mater. Struct. 2015, 24, 055021. [Google Scholar] [CrossRef]
- Yildirim, T.; Ghayesh, M.H.; Li, W.; Alici, G. A review on performance enhancement techniques for ambient vibration energy harvesters. Renew. Sustain. Energy Rev. 2017, 71, 435–449. [Google Scholar] [CrossRef]
- Rui, X.; Li, Y.; Liu, Y.; Zheng, X.; Zeng, Z. Experimental study and parameter optimization of a magnetic coupled piezoelectric energy harvester. Appl. Sci. 2018, 8, 2609. [Google Scholar] [CrossRef]
- Challa, V.R.; Prasad, M.G.; Shi, Y.; Fisher, F.T. A vibration energy harvesting device with bidirectional resonance frequency tunability. Smart Mater. Struct. 2008, 17, 015035. [Google Scholar] [CrossRef]
- Tran, N.; Ghayesh, M.H.; Arjomandi, M. Ambient vibration energy harvesters: A review on nonlinear techniques for performance enhancement. Int. J. Eng. Sci. 2018, 127, 162–185. [Google Scholar] [CrossRef]
- Daqaq, M.F.; Masana, R.; Erturk, A.; Quinn, D.D. On the role of nonlinearities in vibratory energy harvesting: A critical review and discussion. ASME Appl. Mech. Rev. 2014, 66, 040801. [Google Scholar] [CrossRef]
- Lu, Z.Q.; Ding, H.; Chen, L.Q. Resonance response interaction without internal resonance in vibratory energy harvesting. Mech. Syst. Signal Process. 2019, 121, 767–776. [Google Scholar] [CrossRef]
- Lin, J.-T.; Lee, B.; Alphenaar, B. The magnetic coupling of a piezoelectric cantilever for enhanced energy harvesting efficiency. Smart Mater. Struct. 2010, 19, 045012. [Google Scholar] [CrossRef]
- Wang, G.; Liao, W.; Zhao, Z.; Tan, J.; Cui, S.; Wu, H.; Wang, W. Nonlinear magnetic force and dynamic characteristics of a tri-stable piezoelectric energy harvester. Nonlinear Dyn. 2019, 97, 2371–2397. [Google Scholar] [CrossRef]
- Rubes, O.; Brablc, M.; Hadas, Z. Nonlinear vibration energy harvester: Design and oscillating stability analyses. Mech. Syst. Signal Process. 2019, 125, 170–184. [Google Scholar] [CrossRef]
- Fan, K.; Tan, Q.; Liu, H.; Zhang, Y.; Cai, M. Improved energy harvesting from low-frequency small vibrations through a monostable piezoelectric energy harvester. Mech. Syst. Signal Process. 2019, 117, 594–608. [Google Scholar] [CrossRef]
- Zhang, T.; Li, H.G.; Bi, Y. Hysteresis characteristics influence on the super-harmonic vibration of a bi-stable piezoelectric energy harvester. J. Low Freq. Noise Vib. Act. Control 2018, 37, 1003–1014. [Google Scholar] [CrossRef]
- Masana, R.; Daqaq, M.F. Energy harvesting in the super-harmonic frequency region of a twin-well oscillator. J. Appl. Phys. 2012, 111, 044501. [Google Scholar] [CrossRef]
- Lin, J.-T.; Walsh, K.; Alphenaar, B. Enhanced stochastic, subharmonic, and ultraharmonic energy harvesting. J. Intell. Mater. Syst. Struct. 2013, 24, 1324–1331. [Google Scholar] [CrossRef]
- Chen, L.Q.; Jiang, W.A. Internal resonance energy harvesting. ASME J. Appl. Mech. 2015, 82, 031004. [Google Scholar] [CrossRef]
- Xiong, L.Y.; Tang, L.; Mace, B.R. Internal resonance with commensurability induced by an auxiliary oscillator for broadband energy harvesting. Appl. Phys. Lett. 2016, 108, 203901. [Google Scholar] [CrossRef]
- Yamamoto, T. Response curves at the critical speeds of sub-harmonic and “summed and differential harmonic” oscillations. Bull. JSME 1960, 3, 397–403. [Google Scholar] [CrossRef]
- Cottone, F.; Vocca, H.; Gammaitoni, L. Nonlinear energy harvesting. Phys. Rev. Lett. 2009, 102, 080601. [Google Scholar] [CrossRef] [PubMed]
- Wichenheiser, A.M.; Garcia, E. Broadband vibration-based energy harvesting improvement through frequency up-conversion by magnetic excitation. Smart Mater. Struct. 2010, 19, 065020. [Google Scholar] [CrossRef]
- Erturk, A.; Inman, D.J. A distributed parameter electromechanical model for cantilevered piezoelectric energy harvesters. J. Vib. Acoust. 2008, 130, 041002. [Google Scholar] [CrossRef]
- Abdelkefi, A.; Barsallo, N. Nonlinear analysis and power improvement of broadband low-frequency piezomagnetoelastic energy harvesters. Nonlinear Dyn. 2016, 83, 41–56. [Google Scholar] [CrossRef]
- Kim, P.; Yoon, Y.J.; Seok, J. Nonlinear dynamic analyses on a magnetopiezoelastic energy harvester with reversible hysteresis. Nonlinear Dyn. 2016, 83, 1823–1854. [Google Scholar] [CrossRef]
- Abdelmoula, H.; Zimmerman, S.; Abdelkefi, A. Accurate modeling, comparative analysis, and performance enhancement of broadband piezoelectric energy harvesters with single and dual magnetic forces. Int. J. Nonlinear Mech. 2017, 95, 355–363. [Google Scholar] [CrossRef]
- Zhang, G.C.; Chen, L.Q.; Ding, H. Forced vibration of tip-massed cantilever with nonlinear magnetic interactions. Int. J. Appl. Mech. 2014, 6, 1450015. [Google Scholar] [CrossRef]
- Zhang, G.C.; Chen, L.Q.; Li, C.P.; Ding, H. Primary resonance of coupled cantilevers subjected to magnetic interaction. Meccanica 2017, 52, 807–823. [Google Scholar] [CrossRef]
- Nguyen, D.D.; Nguyen, P. The dynamic response and vibration of functionally graded carbon nanotube-reinforced composite (FG-CNTRC) truncated conical shells resting on elastic foundations. Materials 2017, 10, 1194. [Google Scholar] [CrossRef]
- Sedighi, H.M.; Shirazi, K.H. A new approach to analytical solution of cantilever beam vibration with nonlinear boundary condition. J. Comput. Nonlinear Dyn. 2012, 7, 034502. [Google Scholar] [CrossRef]
- Zhang, B.; Ding, H.; Chen, L.Q. Subharmonic and combination resonance of rotating pre-deformed blades subjected to high gas pressure. Acta Mech. Solida Sin. 2020. [Google Scholar] [CrossRef]
- Wu, W.H.; Kuo, K.C.; Lin, Y.H.; Tsai, Y.C. Non-contact magnetic cantilever-type piezoelectric energyharvester for rotational mechanism. Microelectron. Eng. 2018, 191, 16–19. [Google Scholar] [CrossRef]
- Physical and Piezoelectric Properties of APC Materials. Available online: https://www.americanpiezo.com (accessed on 3 July 2020).












| Symbols | Descriptions | Values | Units |
|---|---|---|---|
| ρ | Residual flux density | 1.1 | T |
| μ | Permeability of air | 1.256 × 10−6 | H·m−1 |
| H | Length of the cylindrical magnet | 2 | mm |
| R | Radius of the cylindrical magnet | 4 | mm |
| L | Length of the cantilever | 480 | mm |
| mb | Mass of the cantilever | 25.6 | g |
| E | Young’s modulus | 3.81 × 1010 | Pa |
| I | Moment of inertia | 0.36 | mm4 |
| APC Materials | Mechanical Quality Factors | Dielectric Dissipation Factors |
|---|---|---|
| 840 | 500 | 0.6% |
| 841 | 1400 | 0.4% |
| 842 | 600 | 0.45% |
| 844 | 1500 | 0.4% |
| 850/851 | 80 | <2% |
| 854 | 70 | <2% |
| 855 | 65 | <2.5% |
| 860 | 50 | <2% |
| 880/881 | 1000 | 0.4% |
© 2020 by the authors. Licensee MDPI, Basel, Switzerland. This article is an open access article distributed under the terms and conditions of the Creative Commons Attribution (CC BY) license (http://creativecommons.org/licenses/by/4.0/).
Share and Cite
Zhang, G.; Zhang, B. Secondary Resonance Energy Harvesting with Quadratic Nonlinearity. Materials 2020, 13, 3389. https://doi.org/10.3390/ma13153389
Zhang G, Zhang B. Secondary Resonance Energy Harvesting with Quadratic Nonlinearity. Materials. 2020; 13(15):3389. https://doi.org/10.3390/ma13153389
Chicago/Turabian StyleZhang, Guoce, and Bo Zhang. 2020. "Secondary Resonance Energy Harvesting with Quadratic Nonlinearity" Materials 13, no. 15: 3389. https://doi.org/10.3390/ma13153389
APA StyleZhang, G., & Zhang, B. (2020). Secondary Resonance Energy Harvesting with Quadratic Nonlinearity. Materials, 13(15), 3389. https://doi.org/10.3390/ma13153389
