Dipole Relaxation in Semiconducting Zn2−xMgxInV3O11 Materials (Where x = 0.0, 0.4, 1.0, 1.6, and 2.0)
Abstract
1. Introduction
2. Experimental and Calculation Details
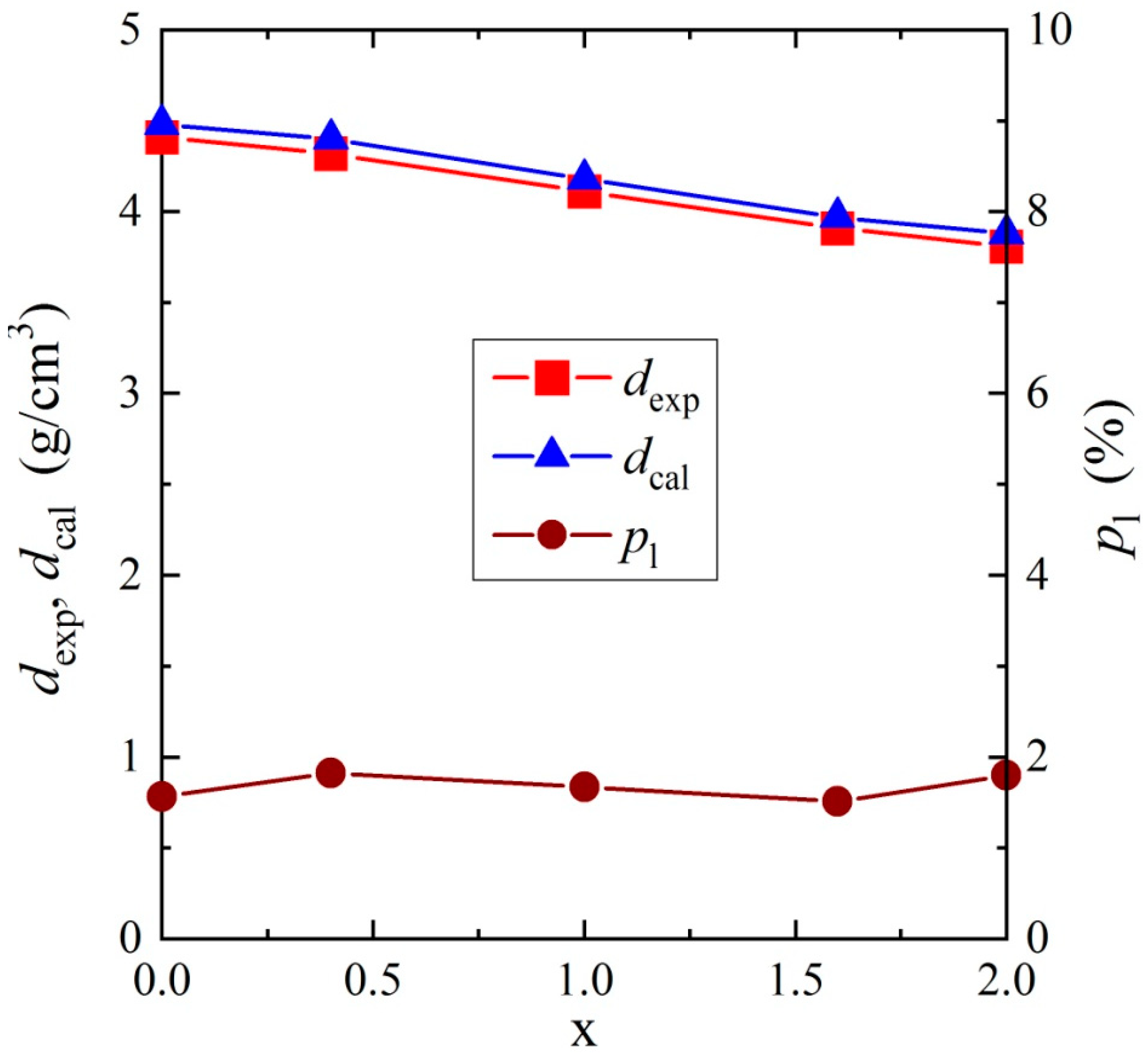
2.1. Synthesis and Phase Analysis
2.2. Electrical Measurements
2.3. Density Functional Calculations
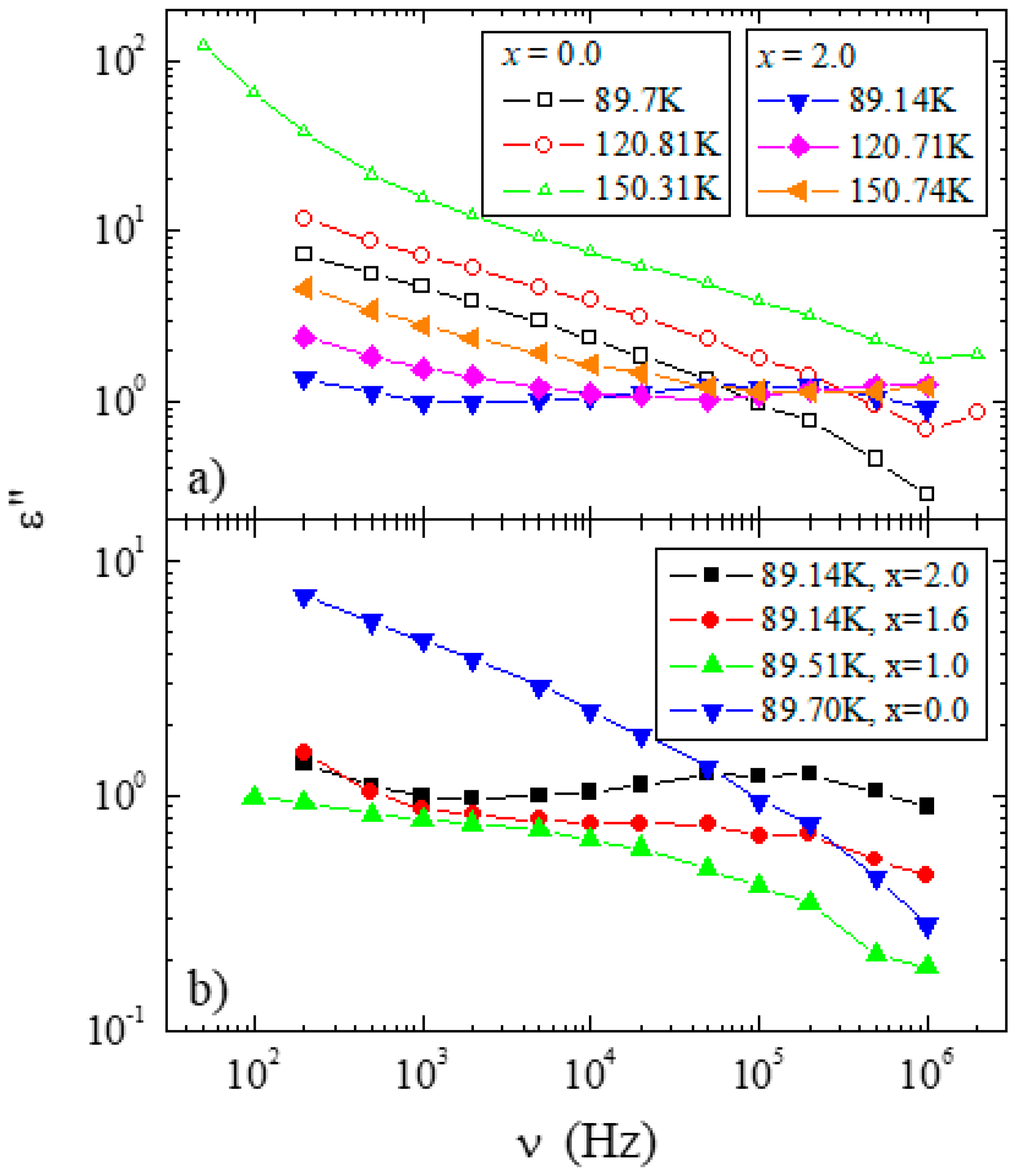
3. Results and Discussion
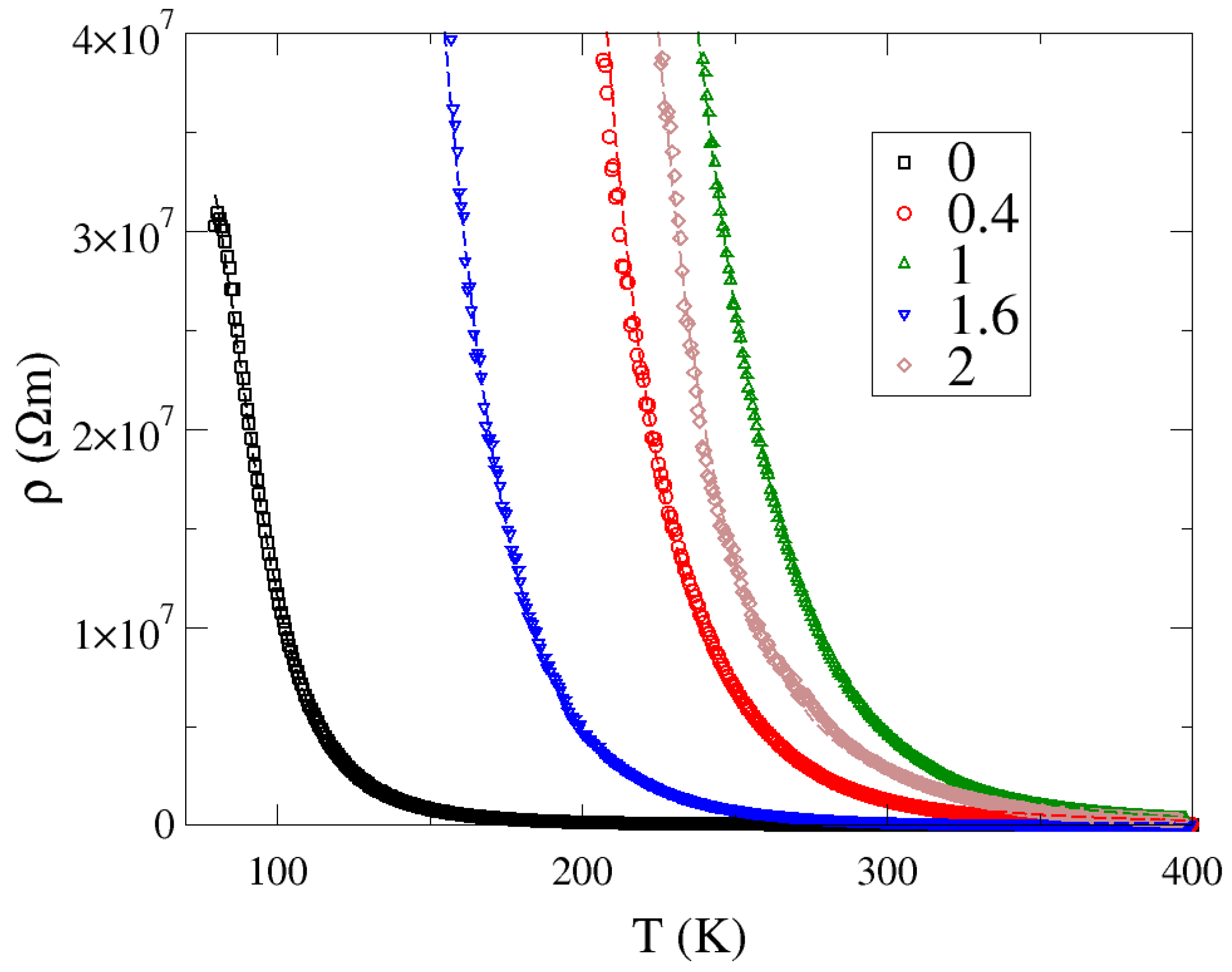
3.1. Electrical Properties and Density of States
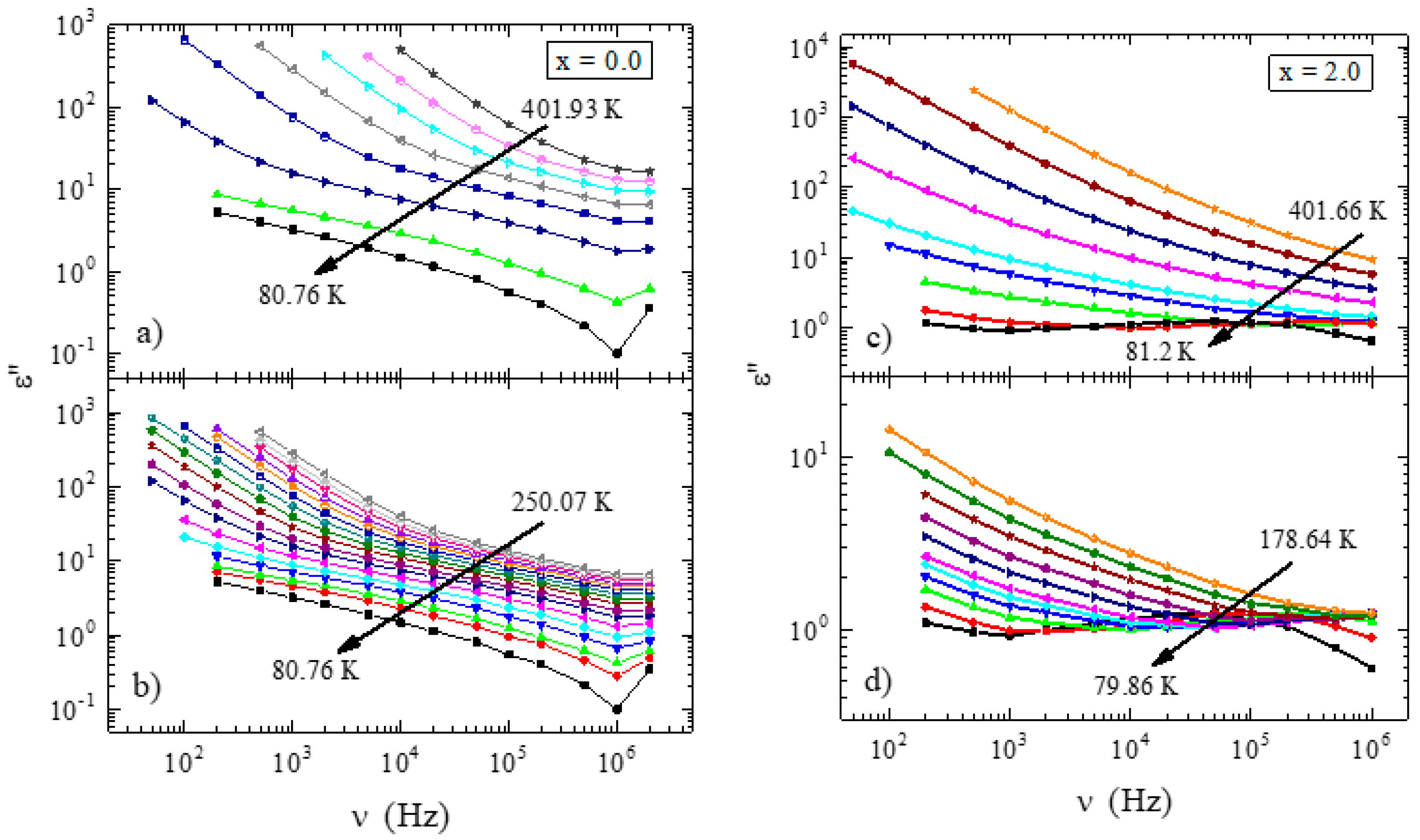
3.2. Dielectric Results
3.3. Dielectric Analysis
4. Conclusions
Author Contributions
Funding
Acknowledgments
Conflicts of Interest
Appendix A
References
- Wang, X.; Vander Griend, D.A.; Stern, C.L.; Poeppelmeier, K.R. Structure and cation distribution of new ternary vanadates FeMg2V3O11 and FeZn2V3O11. J. Alloys Compd. 2000, 298, 119–124. [Google Scholar] [CrossRef]
- Kurzawa, M.; Blonska-Tabero, A.; Rychlowska-Himmel, I.; Tabero, P. Reactivity of FeVO4 towards oxides and pyrovanadates (V) of Co and Ni. Mater. Res. Bull. 2001, 36, 1379–1390. [Google Scholar] [CrossRef]
- Kurzawa, M.; Rychlowska-Himmel, I.; Blonska-Tabero, A.; Bosacka, M.; Dabrowska, G. Synthesis and characterization of new compounds Ni2CrV3O11 and Zn2CrV3O11. Sol. State Phenom. 2003, 90–91, 347–352. [Google Scholar] [CrossRef]
- Kurzawa, M.; Rychlowska-Himmel, I.; Bosacka, M.; Dabrowska, G. A new compounds Mg2CrV3O11 and phase relations in the MgV2O6–MgCr2O4 system in the solid state. Sol. State Phenom. 2003, 90–91, 353–358. [Google Scholar] [CrossRef]
- Bosacka, M. The synthesis and selected properties of new double vanadates M2InV3O11, where M = Zn, Mg. Mater. Res. Bull. 2006, 41, 2181–2186. [Google Scholar] [CrossRef]
- Bosacka, M. The synthesis and selected properties of Co2InV3O11. J. Therm. Anal. Calorim. 2007, 88, 43–46. [Google Scholar] [CrossRef]
- Trukhanov, A.V.; Kostishyn, V.G.; Panina, L.V.; Korovushkin, V.V.; Turchenko, V.A.; Thakur, P.; Thakur, A.; Yang, Y.; Vinnik, D.A.; Yakovenko, E.S.; et al. Control of electromagnetic properties in substituted M-type hexagonal ferrites. J. Alloys Compd. 2018, 754, 247–256. [Google Scholar] [CrossRef]
- Trukhanov, S.V.; Trukhanov, A.V.; Turchenko, V.A.; Trukhanov, A.V.; Trukhanova, E.L.; Tishkevich, D.I.; Ivanov, V.M.; Zubar, T.I.; Salem, M.; Kostishyn, V.G.; et al. Polarization origin and iron positions in indium doped barium hexaferrites. Ceram. Int. 2018, 44, 290–300. [Google Scholar] [CrossRef]
- Almessiere, M.A.; Trukhanov, A.V.; Slimani, Y.; You, K.Y.; Trukhanov, S.V.; Trukhanova, E.L.; Esa, F.; Sadaqat, A.; Chaudhary, K.; Zdorovets, M.; et al. Correlation Between Composition and Electrodynamics Properties in Nanocomposites Based on Hard/Soft Ferrimagnetics with Strong Exchange Coupling. Nanomaterials 2019, 9, 202. [Google Scholar] [CrossRef]
- Bosacka, M.; Filipek, E. New continuous solid solution in the Zn2InV3O11–Mg2InV3O11 system. J. Therm. Anal. Calorim. 2017, 130, 63–68. [Google Scholar] [CrossRef]
- Groń, T.; Blonska-Tabero, A.; Filipek, E.; Urbanowicz, P.; Sawicki, B.; Duda, H.; Stokłosa, Z. Electrical transport properties of M2FeV3O11 (M = Mg, Zn, Pb, Co, Ni) ceramics. Ceram. Int. 2017, 43, 6758–6764. [Google Scholar] [CrossRef]
- Orel, B.; Surca Vuk, A.; Opara Krasovec, U.; Drazic, G. Electrochromic and structural investigation of InVO4 and some other vanadiabased oxide films. Electrochim. Acta. 2001, 46, 2059–2068. [Google Scholar] [CrossRef]
- Cimino, N.; Artuso, F.; Decker, F.; Orel, B.; Surca Vuk, A.; Zanoni, R. XPS and IR studies of transparent InVO4 films upon Li charge–discharge reactions. Sol. State Ion. 2003, 165, 89–96. [Google Scholar] [CrossRef]
- Miyata, T.; Minami, T.; Shimokawa, K.; Kakumu, T.; Ishii, M. New materials consisting of multicomponent oxides for thin-film gas sensors. J. Electrochem. Soc. 1997, 144, 2432–2436. [Google Scholar] [CrossRef]
- Müller, C.; Müller-Buschbaum, H. Zur Kenntnis von Mg2−xZnxGaV3O11 (x = 0.3). J. Alloys Compd. 1992, 185, 163–168. [Google Scholar] [CrossRef]
- Abello, L.; Husson, E.; Repelin, Y.; Lucazeau, G. Vibrational spectra and valance force field of crystalline V2O5. Spectrochim. Acta. A 1983, 39, 641–651. [Google Scholar] [CrossRef]
- Sawicki, B.; Bosacka, M.; Filipek, E.; Groń, T.; Duda, H.; Oboz, M.; Urbanowicz, P. Effect of magnesium substitution on dielectric constant of Zn2−xMgxInV3O11 (x = 0.0, 0.4, 1.6) solid solutions. Acta. Phys. Pol. A 2018, 134, 958–961. [Google Scholar] [CrossRef]
- Dovesi, R.; Erba, A.; Orlando, R.; Zicovich-Wilson, C.M.; Civalleri, B.; Maschio, L.; Rerat, M.; Casassa, S.; Baima, J.; Salustro, S.; et al. Quantum-mechanical condensed matter simulations with CRYSTAL. WIREs Comput. Mol. Sci. 2018, 8, 1360. [Google Scholar] [CrossRef]
- Rothballer, J.; Bachhuber, F.; Rommel, S.M.; Söhnel, T.; Weihrich, R. Origin and effect of In–Sn ordering in InSnCo3S2: A neutron diffraction and DFT study. RSC Adv. 2014, 4, 42183–42189. [Google Scholar] [CrossRef]
- Vilela Oliveira, D.; Peintinger, M.F.; Laun, J.; Bredow, T. BSSE-correction scheme for consistent gaussian basis sets of double- and triple-zeta valence with polarization quality for solid-state calculations. J. Comput. Chem. 2019, 40, 2364–2376. [Google Scholar] [CrossRef] [PubMed]
- Perdew, J.P.; Chewary, J.A.; Vosko, S.H.; Jackson, K.A.; Pederson, M.R.; Singh, D.J.; Fiolhais, C. Atoms, molecules, solids, and surfaces: Applications of the generalized gradient approximation for exchange and correlation. Phys. Rev. B 1992, 46, 6671–6687. [Google Scholar] [CrossRef] [PubMed]
- Sawicki, B.; Groń, T.; Tomaszewicz, E.; Duda, H.; Górny, K. Some optical and transport properties of a new subclass of ceramic tungstates and molybdates. Ceram. Int. 2015, 41, 13080–13089. [Google Scholar]
- Wiesmann, H.; Gurwitch, M.; Lutz, H.; Ghosh, A.K.; Schwarz, B.; Strongin, M.; Allen, P.B.; Halley, J.W. Simple Model for Characterizing the Electrical Resistivity in A−15 Superconductors. Phys. Rev. Lett. 1977, 38, 782–785. [Google Scholar] [CrossRef]
- Goraus, J.; Ślebarski, A.; Fijałkowski, M. Electronic and thermal properties of non-magnetic CeRhGa. J. Alloys Compd. 2011, 509, 3735–3739. [Google Scholar] [CrossRef]
- Goraus, J.; Kubacki, J.; Czerniewski, J.; Fijałkowski, M. Cisplatin-A new wide bandgap semiconductor. J. Alloys Compd. 2020, 817, 153270–153276. [Google Scholar] [CrossRef]
- Ślebarski, A.; Goraus, J. Electronic structure and thermodynamic properties of Fe2VGa. Phys. Rev. B 2009, 80, 235121–235130. [Google Scholar] [CrossRef]
- Von Hippel, A. Dielectrics and Waves; Artech House: London, UK, 1995; p. 228. [Google Scholar]
- Jonscher, A.K. Dielectric Relaxation in Solids; Chelsea Dielectric Press: London, UK, 1983; p. 310. [Google Scholar]
- Groń, T.; Filipek, E.; Pacześna, A.; Urbanowicz, P.; Sawicki, B.; Duda, H. Electrical Properties of Sr2InV3O11. Acta Phys. Pol. A 2016, 130, 1239–1241. [Google Scholar] [CrossRef]
- Groń, T.; Filipek, E.; Piz, M.; Duda, H. Conductance in Nb6VSb3O25—A new ceramic compound. Mater. Res. Bull. 2014, 51, 105–108. [Google Scholar] [CrossRef]
- Groń, T.; Filipek, E.; Piz, M.; Kukuła, Z.; Pawlus, S. Electric relaxation in Nb6VSb3O25–ceramics. Acta Phys. Pol. A 2016, 129, 355–358. [Google Scholar] [CrossRef]
- Simmons, J.G. Poole-Frenkel effect and Schottky effect in metal-insulator-metal systems. Phys. Rev. 1967, 155, 657–660. [Google Scholar] [CrossRef]
- Li, C.; Wang, J.; Su, W.; Chen, H.; Wang, W.; Zhuang, D. Investigation of electrical properties of SnO2·Co2O3·Sb2O3 varistor system. Phys. B 2001, 307, 1–8. [Google Scholar] [CrossRef]
- Groń, T.; Filipek, E.; Piz, M.; Duda, H.; Mydlarz, T. I–V characteristics in Nb2VSbO10–ceramics. Mater. Res. Bull. 2013, 48, 2712–2714. [Google Scholar] [CrossRef]
- Groń, T.; Tomaszewicz, E.; Kukuła, Z.; Pawlus, S.; Sawicki, B. Dielectric permittivity of some novel copper/cobalt and rare-earth metal tungstates. Mater. Sci. Eng. B 2014, 184, 14–17. [Google Scholar] [CrossRef]
- Kukuła, Z.; Tomaszewicz, E.; Mazur, S.; Groń, T.; Duda, H.; Pawlus, S.; Kaczmarek, S.M.; Fuks, H.; Mydlarz, T. Dielectric and magnetic permittivities of three new ceramic tungstates MPr2W2O10 (M = Cd, Co, Mn). Philos. Mag. 2012, 92, 4167–4181. [Google Scholar] [CrossRef]
- Wübbenhorst, M.; van Turnhout, J. Analysis of complex dielectric spectra. I. One dimensional derivative techniques and three-dimensional modeling. J. Non-Cryst. Solids 2002, 305, 40–49. [Google Scholar] [CrossRef]
- Kalmykov, Y.P.; Coffey, W.T.; Crothers, D.S.F.; Titov, S.V. Microscopic Models for Dielectric Relaxation in Disordered Systems. Phys. Rev. E 2004, 70, 041103. [Google Scholar]
- Kukuła, Z.; Maciejkowicz, M.; Tomaszewicz, E.; Pawlus, S.; Oboz, M.; Groń, T.; Guzik, M. Electric relaxation of superparamagnetic Gd-doped lead molybdato-tungstates. Ceram. Int. 2019, 45, 4437–4447. [Google Scholar] [CrossRef]












| x | ρ0 (Ωm) | ρp (107 Ωm) | Δ (eV) |
|---|---|---|---|
| 0 | 2146.7 | 3.95 | 0.154 |
| 0.4 | 241.5 | 8.46 | 0.444 |
| 1.0 | 210.4 | 1.07 | 0.517 |
| 1.6 | 696.7 | 9.97 | 0.306 |
| 2.0 | 638.8 | 10912 | 0.428 |
© 2020 by the authors. Licensee MDPI, Basel, Switzerland. This article is an open access article distributed under the terms and conditions of the Creative Commons Attribution (CC BY) license (http://creativecommons.org/licenses/by/4.0/).
Share and Cite
Groń, T.; Bosacka, M.; Filipek, E.; Pawlus, S.; Nowok, A.; Sawicki, B.; Duda, H.; Goraus, J. Dipole Relaxation in Semiconducting Zn2−xMgxInV3O11 Materials (Where x = 0.0, 0.4, 1.0, 1.6, and 2.0). Materials 2020, 13, 2425. https://doi.org/10.3390/ma13112425
Groń T, Bosacka M, Filipek E, Pawlus S, Nowok A, Sawicki B, Duda H, Goraus J. Dipole Relaxation in Semiconducting Zn2−xMgxInV3O11 Materials (Where x = 0.0, 0.4, 1.0, 1.6, and 2.0). Materials. 2020; 13(11):2425. https://doi.org/10.3390/ma13112425
Chicago/Turabian StyleGroń, Tadeusz, Monika Bosacka, Elżbieta Filipek, Sebastian Pawlus, Andrzej Nowok, Bogdan Sawicki, Henryk Duda, and Jerzy Goraus. 2020. "Dipole Relaxation in Semiconducting Zn2−xMgxInV3O11 Materials (Where x = 0.0, 0.4, 1.0, 1.6, and 2.0)" Materials 13, no. 11: 2425. https://doi.org/10.3390/ma13112425
APA StyleGroń, T., Bosacka, M., Filipek, E., Pawlus, S., Nowok, A., Sawicki, B., Duda, H., & Goraus, J. (2020). Dipole Relaxation in Semiconducting Zn2−xMgxInV3O11 Materials (Where x = 0.0, 0.4, 1.0, 1.6, and 2.0). Materials, 13(11), 2425. https://doi.org/10.3390/ma13112425
