Research on Internal Force Detection Method of Steel Bar in Elastic and Yielding Stage Based on Metal Magnetic Memory
Abstract
:1. Introduction
2. Materials and Methods
3. Results and Discussion
3.1. SMFL Signal Results in the Fixed-Point Monitoring Test
3.1.1. The Variation Law of the Tangential Component (By Signal) of the SMFL Signal
3.1.2. The Variation Law of the First Derivative of the By Signal
3.2. The Results of By Signal in the Axial Scanning Test
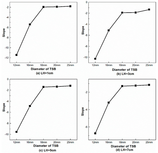
3.3. Influence of TSB Diameter on the Test Results
4. Conclusions
- (1)
- In terms of the variation of the SMFL signal with the tensile force, the tangential component of SMFL (the By signal) is initially increased with the increase of the loading displacement. When the tensile force is close to, but slightly less than, 65% of the yield tension, the extreme point appears on the By signal curve, and then the By signal enters the “platform stage” with a small range of fluctuating following. The first derivative curve of the By signal has a large numerical peak at the elastic and yielding stages, respectively.
- (2)
- This paper proposes the “force-induced magnetic fluctuation parameter” that reflects the fluctuation amplitude of the By signal along the axial direction of TSB. In the linear elastic stage, there is a linear relationship between and the internal tensile force of TSB, of which the slope is constant at the same LH, and the tensile force of TSB can be calculated by this way.
- (3)
- In the fixed-point monitoring test, the amount of tensile force corresponding to the extreme point on the By signal curve before entering the “platform stage” increases as the diameter of TSB increases, and the ratio between this tensile force and the yield tension decreases as the diameter of TSB increases. The ratio of magnitudes at peaks in the two stages on the first derivative curve of By signal decreases as the diameter of TSB increases. The slope of the linear segment in the -T diagram in the axial scanning test increases as the TSB diameter increases at the same LH.
- (4)
- The method in this paper provides significant application prospects for the internal force detection of steel bar in actual engineering, which has low cost, simple equipment, and easy operation.
Author Contributions
Funding
Conflicts of Interest
Appendix A
| TLD | 0 | 4 | 8 | 12 | 16 | 20 | 30 | 40 | 50 | 60 | 70 | |
|---|---|---|---|---|---|---|---|---|---|---|---|---|
| Parameter | ||||||||||||
| −529.5 | −530.7 | −536.2 | −502.3 | −495.3 | −454.7 | −490.5 | −482.1 | −470.9 | −457.8 | −433.9 | ||
| −1937.7 | −1870 | −1693.5 | −1379.7 | −1256.9 | −1049.7 | −999.1 | −994.1 | −994.7 | −997.3 | −997.5 | ||
| T | 0 | 2.8 | 15.6 | 39.6 | 53.7 | 56.1 | 61.5 | 63.8 | 65.3 | 65.9 | 65.2 | |
| 7.2501 | 7.1999 | 7.0538 | 6.7770 | 6.6354 | 6.3886 | 6.2317 | 6.2383 | 6.2611 | 6.2906 | 6.3343 | ||
| TLD | 0 | 4 | 8 | 12 | 16 | 20 | 30 | 40 | 50 | 60 | 70 | |
|---|---|---|---|---|---|---|---|---|---|---|---|---|
| Parameter | ||||||||||||
| −668.7 | −663 | −654 | −571.3 | −584.9 | −581.6 | −555 | −543.1 | −528.4 | −514.7 | −495.5 | ||
| −1947.9 | −1926.6 | −1754 | −1423.5 | −1334.3 | −1258.3 | −1180.5 | −1166.1 | −1163.7 | −1159.9 | −1157.1 | ||
| T | 0 | 2.8 | 15.6 | 39.6 | 53.7 | 56.1 | 61.5 | 63.8 | 65.3 | 65.9 | 65.2 | |
| 7.1540 | 7.1417 | 7.0031 | 6.7478 | 6.6193 | 6.5172 | 6.4386 | 6.4345 | 6.4541 | 6.4696 | 6.4947 | ||
| TLD | 0 | 4 | 8 | 12 | 16 | 20 | 30 | 40 | 50 | 60 | 70 | |
|---|---|---|---|---|---|---|---|---|---|---|---|---|
| Parameter | ||||||||||||
| −761.5 | −751.3 | −732.5 | −645.4 | −647.8 | −644.4 | −605.1 | −589.3 | −574 | −558.5 | −540.9 | ||
| −1990.5 | −1969.9 | −1823.1 | −1561.3 | −1499.9 | −1400.7 | −1326.5 | −1306.1 | −1299.5 | −1293.7 | −1288.7 | ||
| T | 0 | 2.8 | 15.6 | 39.6 | 53.7 | 56.1 | 61.5 | 63.8 | 65.3 | 65.9 | 65.2 | |
| 7.1140 | 7.1055 | 6.9945 | 6.8199 | 6.7477 | 6.6284 | 6.5812 | 6.5748 | 6.5869 | 6.6001 | 6.6171 | ||
| TLD | 0 | 4 | 8 | 12 | 16 | 20 | 30 | 40 | 50 | 60 | 70 | |
|---|---|---|---|---|---|---|---|---|---|---|---|---|
| Parameter | ||||||||||||
| −818.5 | −805.8 | −782.2 | −693.9 | −688.3 | −681.8 | −640.9 | −623 | −605 | −589.3 | −571.9 | ||
| −1996.3 | −1956 | −1834.9 | −1592.5 | −1508 | −1452.5 | −1382.2 | −1362.2 | −1350.5 | −1342.6 | −1338.7 | ||
| T | 0 | 2.8 | 15.6 | 39.6 | 53.7 | 56.1 | 61.5 | 63.8 | 65.3 | 65.9 | 65.2 | |
| 7.0714 | 7.0477 | 6.9591 | 6.8008 | 6.7089 | 6.6473 | 6.6084 | 6.6056 | 6.6141 | 6.6245 | 6.6422 | ||
| TLD | 0 | 4 | 8 | 12 | 16 | 20 | 30 | 40 | 50 | 60 | 70 | 80 | 90 | |
|---|---|---|---|---|---|---|---|---|---|---|---|---|---|---|
| Parameter | ||||||||||||||
| −1003.9 | −992.5 | −992.5 | −622 | −519.9 | −470.9 | −349.4 | −390.3 | −309.6 | −321.1 | −331.8 | −341.3 | −346.5 | ||
| −1949.5 | −1897.2 | −1846.3 | −1423.4 | −1252.6 | −1188.3 | −1033.2 | −1130.5 | −1063.8 | −1063.6 | −1085.9 | −1095.3 | −1100.6 | ||
| T | 0 | 20 | 49.3 | 88.2 | 127.2 | 144.2 | 143.8 | 156.7 | 172.4 | 181.1 | 185.2 | 186.7 | 186.5 | |
| 6.8518 | 6.8076 | 6.7497 | 6.6864 | 6.5967 | 6.5756 | 6.5277 | 6.6069 | 6.6257 | 6.6100 | 6.6255 | 6.6254 | 6.6255 | ||
| TLD | 0 | 4 | 8 | 12 | 16 | 20 | 30 | 40 | 50 | 60 | 70 | 80 | 90 | |
|---|---|---|---|---|---|---|---|---|---|---|---|---|---|---|
| Parameter | ||||||||||||||
| −1074.1 | −1072.2 | −975.6 | −693.7 | −602.7 | −534.9 | −455.2 | −417 | −394 | −398.1 | −401.6 | −404.8 | −405.8 | ||
| −1990.2 | −1967.3 | −1845.9 | −1515.3 | −1388.7 | −1311.5 | −1171 | −1179.5 | −1142.4 | −1138.9 | −1144 | −1122.9 | −1132.9 | ||
| T | 0 | 20 | 49.3 | 88.2 | 127.2 | 144.2 | 143.8 | 156.7 | 172.4 | 181.1 | 185.2 | 186.7 | 186.5 | |
| 6.8201 | 6.7969 | 6.7688 | 6.7113 | 6.6670 | 6.6549 | 6.5734 | 6.6366 | 6.6179 | 6.6077 | 6.6099 | 6.5766 | 6.5891 | ||
| TLD | 0 | 4 | 8 | 12 | 16 | 20 | 30 | 40 | 50 | 60 | 70 | 80 | 90 | |
|---|---|---|---|---|---|---|---|---|---|---|---|---|---|---|
| Parameter | ||||||||||||||
| −1102.3 | −1037.1 | −1002.1 | −757.7 | −674.5 | −602.9 | −524.7 | −480 | −457.5 | −398.1 | −453.8 | −452.7 | −449.9 | ||
| −1991.1 | −1907.5 | −1829.7 | −1550.3 | −1420.7 | −1333.1 | −1295.4 | −1291.8 | −1254.6 | −1250.4 | −1244.3 | −1227.1 | −1237.3 | ||
| T | 0 | 20 | 49.3 | 88.2 | 127.2 | 144.2 | 143.8 | 156.7 | 172.4 | 181.1 | 185.2 | 186.7 | 186.5 | |
| 6.7899 | 6.7690 | 6.7185 | 6.6753 | 6.6150 | 6.5933 | 6.6473 | 6.6993 | 6.6810 | 6.7479 | 6.6727 | 6.6521 | 6.6687 | ||
| TLD | 0 | 4 | 8 | 12 | 16 | 20 | 30 | 40 | 50 | 60 | 70 | 80 | 90 | |
|---|---|---|---|---|---|---|---|---|---|---|---|---|---|---|
| Parameter | ||||||||||||||
| −1099.4 | −1082.6 | −1014 | −782.4 | −738.9 | −657.5 | −571.6 | −525.9 | −503.3 | −496.6 | −492.3 | −487.3 | −483.2 | ||
| −1997.3 | −1952.2 | −1853.9 | −1581.4 | −1496.7 | −1402.7 | −1291.6 | −1277.3 | −1253.5 | −1239.3 | −1235.8 | −1237.7 | −1232.1 | ||
| T | 0 | 20 | 49.3 | 88.2 | 127.2 | 144.2 | 143.8 | 156.7 | 172.4 | 181.1 | 185.2 | 186.7 | 186.5 | |
| AT | 6.8001 | 6.7680 | 6.7333 | 6.6834 | 6.6304 | 6.6137 | 6.5793 | 6.6219 | 6.6203 | 6.6103 | 6.6114 | 6.6206 | 6.6186 | |
| TLD | 0 | 4 | 8 | 12 | 16 | 20 | 30 | 40 | 50 | 60 | 70 | 80 | 90 | |
|---|---|---|---|---|---|---|---|---|---|---|---|---|---|---|
| Parameter | ||||||||||||||
| Bymax | −1080.3 | −975.6 | −925.1 | −635.5 | −465.4 | −404.4 | −397.2 | −279 | −283.3 | −288.9 | −290.2 | −295.4 | −298.3 | |
| Bymin | −1961.3 | −1852.7 | −1721.1 | −1376.7 | −1109.5 | −1005.9 | −815.7 | −647.3 | −640.2 | −642.3 | −630.3 | −613.2 | −618.3 | |
| T | 0 | 10.9 | 47.6 | 95 | 158.5 | 208.5 | 216.1 | 236.9 | 257 | 266.3 | 276.3 | 286.9 | 273.2 | |
| AT | 6.7811 | 6.7766 | 6.6796 | 6.6083 | 6.4679 | 6.3994 | 6.0367 | 5.9089 | 5.8775 | 5.8676 | 5.8292 | 5.7614 | 5.7683 | |
| TLD | 0 | 4 | 8 | 12 | 16 | 20 | 30 | 40 | 50 | 60 | 70 | 80 | 90 | |
|---|---|---|---|---|---|---|---|---|---|---|---|---|---|---|
| Parameter | ||||||||||||||
| Bymax | −1079.9 | −1051.5 | −988.6 | −774.3 | −587.7 | −497.1 | −476.6 | −373.5 | −370.3 | −369 | −385.7 | −382.3 | −400.8 | |
| Bymin | −1984.3 | −1949.7 | −1839.5 | −1571.2 | −1332.8 | −1185.4 | −1064.1 | −1017 | −1001.4 | −993.4 | −970.6 | −955.4 | −942.2 | |
| T | 0 | 10.9 | 47.6 | 95 | 158.5 | 208.5 | 216.1 | 236.9 | 257 | 266.3 | 276.3 | 286.9 | 273.2 | |
| AT | 6.8073 | 6.8004 | 6.7463 | 6.6807 | 6.6135 | 6.5342 | 6.3759 | 6.4669 | 6.4475 | 6.4368 | 6.3714 | 6.3511 | 6.2942 | |
| TLD | 0 | 4 | 8 | 12 | 16 | 20 | 30 | 40 | 50 | 60 | 70 | 80 | 90 | |
|---|---|---|---|---|---|---|---|---|---|---|---|---|---|---|
| Parameter | ||||||||||||||
| Bymax | −1128.5 | −1098.7 | −1054.9 | −832.5 | −655.2 | −564.3 | −536.7 | −444.8 | −436.1 | −428.5 | −451.3 | −440.2 | −436.3 | |
| Bymin | −1921.7 | −1885.4 | −1806.2 | −1544.3 | −1314.9 | −1181.2 | −1088.5 | −1026.8 | −1012.7 | −1002.1 | −960.6 | −965.6 | −960.4 | |
| T | 0 | 10.9 | 47.6 | 95 | 158.5 | 208.5 | 216.1 | 236.9 | 257 | 266.3 | 276.3 | 286.9 | 273.2 | |
| AT | 6.6761 | 6.6678 | 6.6218 | 6.5678 | 6.4918 | 6.4247 | 6.3132 | 6.3665 | 6.3571 | 6.3519 | 6.2330 | 6.2642 | 6.2617 | |
| TLD | 0 | 4 | 8 | 12 | 16 | 20 | 30 | 40 | 50 | 60 | 70 | 80 | 90 | |
|---|---|---|---|---|---|---|---|---|---|---|---|---|---|---|
| Parameter | ||||||||||||||
| Bymax | −1152.7 | −1101.5 | −1079.3 | −872.3 | −701.5 | −611.9 | −577.5 | −495.5 | −481.9 | −472.9 | −470.2 | −471.3 | −485.6 | |
| Bymin | −1974.8 | −1914.8 | −1856.5 | −1614.7 | −1387.9 | −1258.7 | −1171.8 | −1108.5 | −1090.9 | −1083.2 | −1053.2 | −1052 | −1050.8 | |
| T | 0 | 10.9 | 47.6 | 95 | 158.5 | 208.5 | 216.1 | 236.9 | 257 | 266.3 | 276.3 | 286.9 | 273.2 | |
| AT | 6.7119 | 6.7011 | 6.6557 | 6.6099 | 6.5315 | 6.4720 | 6.3874 | 6.4184 | 6.4118 | 6.4140 | 6.3682 | 6.3642 | 6.3372 | |
References
- Wu, T. Detection Method and Characteristics of Working Stress of Structural Members of Steel Materials. Technol. Process 2018, 2, 74. [Google Scholar]
- Shi, X.M.; Zhu, J.S. Study on characteristics of local stress concentration of corroded reinforcing bars in concrete. In Proceedings of the 20th National Bridge Conference, Wuhan, China, 15–17 May 2012. [Google Scholar]
- Hu, C.N. Small Blind Hole Relaxation Method for Determination of Residual Stresses in Welded Steel Structures. China Civ. Eng. J. 1982, 15, 27–37. [Google Scholar]
- Rabung, M.; Altpeter, I.; Boller, C.; Dobmann, G.; Herrmann, H.G. Non-destructive evaluation of the micro residual stresses of IIIrd order by using the micro magnetic methods. NDT E Int. 2014, 63, 7–10. [Google Scholar] [CrossRef]
- Xu, C.G.; Song, W.T.; Pan, Q.X.; Li, X.; Jin, X.; Liu, H.Y. Residual stress nondestructive testing method using ultrasonic. Nondestr. Test. 2014, 36, 25–31. [Google Scholar]
- Fu, B.; Xiang, H.; Yuan, T.L. Research on working stress test of reinforced concrete bridges. Hunan Commun. Sci. Technol. 2007, 33, 68–71. [Google Scholar]
- Wu, D.Y.; Yang, S.B.; An, X.Z. Experimental Study on Measurement of Working Stress of Steel Structure. Coal Mine Des. 2000, 6, 27–28. [Google Scholar]
- Yeih, W.; Huang, R. Detection of the corrosion damage in reinforced concrete members by ultrasonic testing. Cem. Concr. Res. 1998, 28, 1071–1083. [Google Scholar] [CrossRef]
- Clough, A.R.; Edwards, R.S. Characterization of hidden defects using the near-field ultrasonic enhancement of Lamb waves. Ultrasonics 2015, 59, 64–71. [Google Scholar] [CrossRef]
- Kuroda, M.; Yamanaka, S.; Isobe, Y. Detection of plastic deformation and estimation of maximum value of residual stress in low carbon steel by X-ray stress analysis using statistical techniques. NDT E Int. 2003, 36, 497–502. [Google Scholar] [CrossRef]
- Uchimoto, T.; Takagi, T.; Konoplyuk, S.; Abe, T.; Huang, H.; Kurosawa, M. Eddy current evaluation of cast irons for material characterization. J. Magn. Magn. Mater. 2003, 258, 493–496. [Google Scholar] [CrossRef]
- Hao, C.; Ding, H.S. Characteristics and adaptability of magnetic detection method for residual stress detection. Phys. Exam. Test. 2017, 36, 25–29. [Google Scholar]
- Huang, H.H.; Yao, J.Y.; Li, Z.W.; Liu, Z.F. Residual Magnetic Field Variation Induced by Applied Magnetic Field and Cyclic Tensile Stress. NDT E Int. 2014, 63, 38–42. [Google Scholar] [CrossRef]
- Hornreich, R.M.; Spain, R.J.; Rubinstein, H. Magnetostrictive phenomena in metallic materials and some of their device applications. IEEE Trans. Magn. 1971, 7, 29–48. [Google Scholar] [CrossRef]
- Bulte, D.; Langman, R. Origins of the magnetomechanical effect. J. Magn. Magn. Mater. 2002, 251, 229–243. [Google Scholar] [CrossRef]
- Langman, R.; Mutton, P. Estimation of residual stresses in railway wheels by means of stress-induced magnetic anisotropy. NDT E Int. 1993, 26, 195–205. [Google Scholar] [CrossRef]
- Sakamoto, H.; Okada, M.; Homma, M. Theoretical analysis of Barkhausen noise in carbon steels. IEEE Trans. Magn. 2011, 47, 2087–2092. [Google Scholar] [CrossRef]
- Jiles, D.C. Theory of the magnetomechanical effect. J. Phys. D Appl. Phys. 1995, 28, 1537–1546. [Google Scholar] [CrossRef]
- Doubov, A.A. Diagnostics of equipment and constructions strength with usage of magnetic memory. Insp. Diagn. 2001, 6, 19–29. [Google Scholar]
- Wang, P.; Zhu, S.; Tian, G.Y.; Wang, H.; Wang, X. Stress measurement using magnetic Barkhausen noise and metal magnetic memory testing. In Proceedings of the 17th World Conference on Nondestructive Testing, Shanghai, China, 25–28 October 2008. [Google Scholar]
- Piotrowski, L.; Chmielewski, M.; Augustyniak, B. On the correlation between magnetoacoustic emission and magnetostriction dependence on the applied magnetic field. J. Magn. Magn. Mater. 2016, 410, 34–40. [Google Scholar] [CrossRef]
- Yang, L.; Liu, B.; Chen, L.; Gao, S. The quantitative interpretation by measurement using the magnetic memory method (MMM)-based on density functional theory. NDT E Int. 2013, 55, 15–20. [Google Scholar] [CrossRef]
- Sun, Y.R. Research on the Corroded Pipeline Based on Metal Magnetic Memory Testing. Master’s Thesis, Harbin Institute of Technology, Harbin, China, July 2012. [Google Scholar]
- Guo, P.J.; Chen, X.D.; Guan, W.; Cheng, H.; Jiang, H. Effect of Tensile Stress on the Variation of Magnetic Field of Low-alloy Steel. J. Magn. Magn. Mater. 2011, 323, 2474–2477. [Google Scholar]
- Ren, S.K.; Ren, X.Z. Studies on Laws of Stress-magnetization Based on Magnetic Memory Testing Technique. J. Magn. Magn. Mater. 2018, 449, 165–171. [Google Scholar] [CrossRef]
- Zhou, J.T.; Qiu, J.L.; Zhou, Y.X.; Zhou, Y.; Xia, R.C. Experimental Study on Residual Bending Strength of Corroded Reinforced Concrete Beam Based on Micro-magnetic Sensor. Sensors 2018, 8, 2635. [Google Scholar] [CrossRef]
- Dong, L.H.; Xu, B.S.; Dong, S.Y.; Chen, Q.Z.; Wang, D. Variation of Stress-induced Magnetic Signals During Tensile Testing of Ferromagnetic Steels. NDT E Int. 2008, 41, 184–189. [Google Scholar]
- Zhang, H.; Liao, L.; Zhao, R.; Zhou, J.; Yang, M.; Xia, R.; Loh, K.J. The Non-Destructive Test of Steel Corrosion in Reinforced Concrete Bridges Using a Micro-Magnetic Sensor. Sensors 2016, 16, 1439. [Google Scholar] [CrossRef]
- Liao, L.; Zhao, R.; Zhou, J.; Yang, M.; Zhang, H. A new judging criterion for corrosion testing of reinforced concrete based on self-magnetic flux leakage. Int. J. Appl. Electromagn. Mech. 2017, 54, 1–8. [Google Scholar]
- Liu, Q.Y.; Luo, X.; Zhu, H.Y.; Han, Y.W.; Liu, J.X. Modification of plastic deformation model of ferromagnetic material based on Jiles-Atherton theory. Acta. Phys. Sin. 2017, 66, 1–9. [Google Scholar]
- Shi, P.P. Analytical solution of magnetic dipole model for defect leakage magnetic field. Nondestruct. Test. 2015, 37, 1–7. [Google Scholar]
- Huang, H.; Han, G.; Qian, Z.; Liu, Z. Characterizing the magnetic memory signals on the surface of plasma transferred arc cladding coating under fatigue loads. J. Magn. Magn. Mater. 2017, 443, 281–286. [Google Scholar] [CrossRef]
- Wang, Z.; Yao, K.; Deng, B.; Ding, K. Quantitative study of metal magnetic memory signal versus local stress concentration. NDT E Int. 2010, 43, 513–518. [Google Scholar] [CrossRef]
- Kolokolnikov, S.; Dubov, A.; Steklov, O. Assessment of welded joints stress–strain state inhomogeneity before and after post weld heat treatment based on the metal magnetic memory method. Weld. World 2016, 60, 665–672. [Google Scholar] [CrossRef]
- Leng, J.C.; Xu, M.Q.; Xing, H.Y. Research progress of metal magnetic memory testing technique in ferromagnetic components. J. Mater. Eng. 2010, 11, 88–93. [Google Scholar]













| Type of Steel | Chemical Composition | ||||
|---|---|---|---|---|---|
| C | Si | Mn | P | S | |
| HRB400 | 0.2 | 0.4 | 1.3 | 0.03 | 0.02 |
© 2019 by the authors. Licensee MDPI, Basel, Switzerland. This article is an open access article distributed under the terms and conditions of the Creative Commons Attribution (CC BY) license (http://creativecommons.org/licenses/by/4.0/).
Share and Cite
Pang, C.; Zhou, J.; Zhao, R.; Ma, H.; Zhou, Y. Research on Internal Force Detection Method of Steel Bar in Elastic and Yielding Stage Based on Metal Magnetic Memory. Materials 2019, 12, 1167. https://doi.org/10.3390/ma12071167
Pang C, Zhou J, Zhao R, Ma H, Zhou Y. Research on Internal Force Detection Method of Steel Bar in Elastic and Yielding Stage Based on Metal Magnetic Memory. Materials. 2019; 12(7):1167. https://doi.org/10.3390/ma12071167
Chicago/Turabian StylePang, Caoyuan, Jianting Zhou, Ruiqiang Zhao, Hu Ma, and Yi Zhou. 2019. "Research on Internal Force Detection Method of Steel Bar in Elastic and Yielding Stage Based on Metal Magnetic Memory" Materials 12, no. 7: 1167. https://doi.org/10.3390/ma12071167
APA StylePang, C., Zhou, J., Zhao, R., Ma, H., & Zhou, Y. (2019). Research on Internal Force Detection Method of Steel Bar in Elastic and Yielding Stage Based on Metal Magnetic Memory. Materials, 12(7), 1167. https://doi.org/10.3390/ma12071167

