Multi-Objective Hierarchical Optimization for Suppressing Zero-Order Radial Force Waves and Enhancing Acoustic-Vibration Performance of Permanent Magnet Synchronous Motors
Abstract
1. Introduction
2. Study of Electromagnetic Vibration Noise Under Multi-Physics Coupling
2.1. Research Approach
2.2. Basic Parameters and Topology of the Motor
3. Electromagnetic Force and Harmonic Analysis
3.1. Electromagnetic Force and Harmonic Theory Analysis
3.2. Electromagnetic Force and Harmonic Finite Element Analysis
4. Multi-Objective Optimization Analysis
4.1. Sensitivity Analysis
- Objective 1: Maximize the average torque.
- Objective 2: Minimize the cogging torque.
- Objective 3: Minimize the torque ripple.
- Objective 4: Minimize the amplitude of the zeroth-order radial electromagnetic force (REF).
- Constraint 1: Efficiency > 95%;
- Constraint 2: Back-EMF THD < 6%.
4.2. Preliminary Optimization Using Taguchi Method
4.3. Multi-Objective Genetic Algorithm
5. Modal and Vibration Noise Analysis
5.1. Modal Analysis
5.2. Vibration Analysis
5.3. Noise Analysis
6. Discussion
6.1. Average Torque
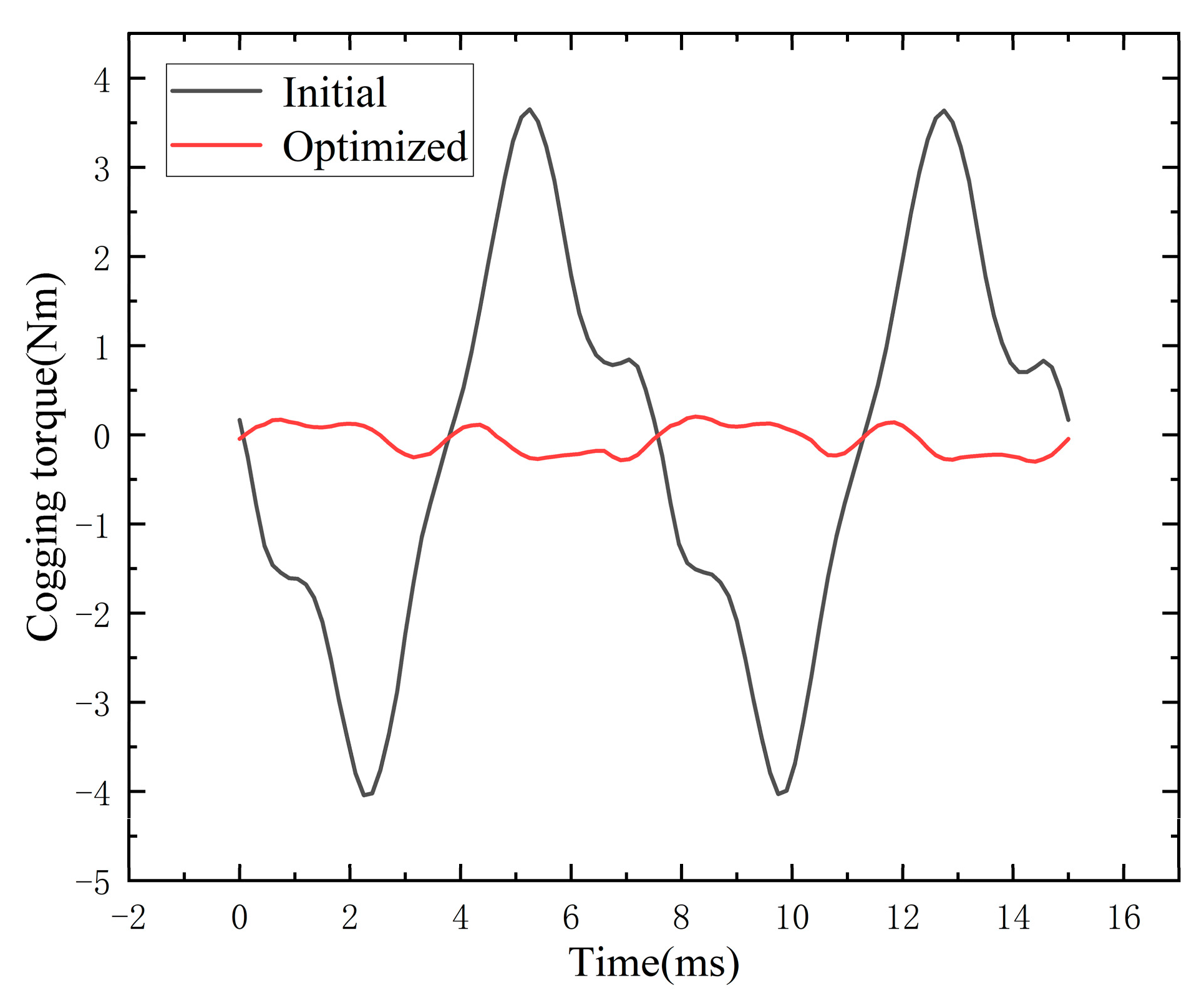
6.2. Cogging Torque
6.3. Analysis of Optimized Electromagnetic Force Waves
6.4. Efficiency Map
6.5. Rotor Stress Distribution Diagram
7. Conclusions
- (1)
- The FFT analysis indicates that the zero-order 12 electromagnetic force wave has the greatest impact on the motor’s vibration and noise. Post-optimization, the amplitude decreased from 67,247.42 to 40,957.45, a reduction of 39.09%.
- (2)
- The peak vibration acceleration is observed at the 12 (2921.6 Hz). The optimized vibration acceleration is 1.77 m/s2, a 32.96% reduction compared to the pre-optimization value of 2.65 m/s2.
- (3)
- The noise generated by the zero-order 12 electromagnetic force decreased from 75.89 dB to 66.86 dB, and the sound pressure level in all frequency bands showed varying degrees of reduction.
Author Contributions
Funding
Data Availability Statement
Conflicts of Interest
References
- Hao, Z.; Ma, Y.; Wang, P.; Luo, G.; Chen, Y. A Review of Axial-Flux Permanent-Magnet Motors: Topological Structures, Design, Optimization and Control Techniques. Machines 2022, 10, 1178. [Google Scholar] [CrossRef]
- Yang, Z.; Li, W.; Gou, Y.; Cai, T. Research on Radial Force of Permanent Magnet Synchronous Motor Based on Maxwell. J. Electr. Eng. Technol. 2020, 15, 2601–2608. [Google Scholar] [CrossRef]
- Wu, B.; Qiao, M.; Wu, Y.-C. A Review of the Research Progress of Motor Vibration and Noise. Int. Trans. Electr. Energy Syst. 2022, 2022, 5897198. [Google Scholar] [CrossRef]
- Wu, Z.; Zuo, S.; Huang, Z.; Hu, X.; Chen, S.; Liu, C. Modelling, Calculation and Analysis of Electromagnetic Force and Vibroacoustic Behavior of Integer-Slot Permanent Magnet Synchronous Motor Considering Current Harmonics. J. Vib. Eng. Technol. 2022, 10, 1135–1152. [Google Scholar] [CrossRef]
- Wang, S.; Hong, J.; Sun, Y.; Cao, H. Analysis of Zeroth-Mode Slot Frequency Vibration of Integer Slot Permanent-Magnet Synchronous Motors. IEEE Trans. Ind. Electron. 2020, 67, 2954–2964. [Google Scholar] [CrossRef]
- Gu, D.; Shi, D.; Liu, Z.; Xu, Z.; Pan, B.; Geng, T.; Wen, B. Vibration and noise performance analysis and optimal design of V-rotor in permanent magnet synchronous motor: A new strategy for high efficiency and low noise. J. Vibroeng. 2025, 27, 882–898. [Google Scholar] [CrossRef]
- Chu, J.; Cheng, H.; Sun, J.; Peng, C.; Hu, Y. Multi-Objective Optimization Design of Hybrid Excitation Double Stator Permanent Magnet Synchronous Machine. IEEE Trans. Energy Convers. 2023, 38, 2364–2375. [Google Scholar] [CrossRef]
- Baek, S.-W.; Lee, S.W. Design Optimization and Experimental Verification of Permanent Magnet Synchronous Motor Used in Electric Compressors in Electric Vehicles. Appl. Sci. 2020, 10, 3235. [Google Scholar] [CrossRef]
- Song, T.; Liu, H.; Zhang, Q.; Zhang, Z. Multi-physics and multi-objective optimisation design of interior permanent magnet synchronous motor for electric vehicles. IET Electr. Power Appl. 2020, 14, 2243–2254. [Google Scholar] [CrossRef]
- Ahmadi, S.; Lubin, T.; Vahedi, A.; Taghavi, N. Sensitivity-Based Optimization of Interior Permanent Magnet Synchronous Motor for Torque Characteristic Enhancement. Energies 2021, 14, 2240. [Google Scholar] [CrossRef]
- Peng, C.; Wang, D.; Wang, B.; Li, J.; Wang, C.; Wang, X. Different Rotor Segmented Approaches for Electromagnetic Vibration and Acoustic Noise Mitigation in Permanent Magnet Drive Motor: A Comparative Study. IEEE Trans. Ind. Electron. 2024, 71, 1223–1233. [Google Scholar] [CrossRef]
- Wang, S.; Li, H. Reduction of Electromagnetic Vibration and Noise in Permanent Magnet Motor for EVs by Optimizing Design of Rotor Based on GPR-PSO Model. J. Electr. Eng. Technol. 2020, 15, 1231–1243. [Google Scholar] [CrossRef]
- Xing, Z.; Wang, X.; Zhao, W. Optimization of Stator Slot Parameters for Electromagnetic Vibration Reduction of Permanent Magnet Synchronous Motors. IEEE Trans. Transp. Electrif. 2022, 8, 4337–4347. [Google Scholar] [CrossRef]
- Ge, H.; Qiu, X.; Guo, B.; Yang, J.; Bai, C.; Jin, Z. Optimized Rotor Shape for Reducing Torque Ripple and Electromagnetic Noise. IEEE Trans. Magn. 2022, 58, 8102905. [Google Scholar] [CrossRef]
- Zhu, Z.; Wang, A.; Tang, M. Research on Electromagnetic Vibration and Noise Suppression of PMaSynRM with Slotted Stator and Rotor. Prog. Electromagn. Res. C 2024, 143, 35–43. [Google Scholar] [CrossRef]
- Li, G.; Sun, H.; Hu, W.; Li, Y.; Bai, Y.; Guo, Y. Multi-Objective Optimization Design of the External Rotor Permanent Magnet-Assisted Synchronous Reluctance Motor Based on the Composite Algorithm. Electronics 2023, 12, 4004. [Google Scholar] [CrossRef]
- Cen, Y.; Shen, H.; Wang, X.; Wu, Y.; Du, J. Multi-Objective Optimization Analysis of Electromagnetic Performance of Permanent Magnet Synchronous Motors Based on the PSO Algorithm. Energies 2024, 17, 4637. [Google Scholar] [CrossRef]
- Yan, B.; Yang, Y.; Wang, X. Design of a Large Capacity Line-Start Permanent Magnet Synchronous Motor Equipped With Hybrid Salient Rotor. IEEE Trans. Ind. Electron. 2021, 68, 6662–6671. [Google Scholar] [CrossRef]
- Yu, Y.; Zhao, P.; Hao, Y.; Zeng, D.; Hu, Y.; Zhang, B.; Yang, H. Multi Objective Optimization of Permanent Magnet Synchronous Motor Based on Taguchi Method and PSO Algorithm. Energies 2022, 16, 267. [Google Scholar] [CrossRef]
- Dong, J.; Yin, H.; Li, G.; Wang, X.; Luo, M. The Multiphysics Analysis and Suppression Method for the Electromagnetic Noise of Permanent-Magnet Motors Used in Electric Vehicle. World Electr. Veh. J. 2025, 16, 136. [Google Scholar] [CrossRef]
- Zhao, K.; Luo, J. Performance Comparison and Analysis of Different Rotor Structures of Vehicle Permanent Magnet Synchronous Flat Wire Motor. Machines 2022, 10, 212. [Google Scholar] [CrossRef]
- Kim, C.; Yun, G.; Lee, S.; Choo, Y.; Lukman, G.F.; Lee, C. Analysis of Vibration and Noise in a Permanent Magnet Synchronous Motor Based on Temperature-Dependent Characteristics of Permanent Magnet. Energies 2023, 16, 6452. [Google Scholar] [CrossRef]
- Deng, W.; Zuo, S. Electromagnetic Vibration and Noise of the Permanent-Magnet Synchronous Motors for Electric Vehicles: An Overview. IEEE Trans. Transp. Electrif. 2019, 5, 59–70. [Google Scholar] [CrossRef]
- Ahn, J.-M.; Baek, M.-K.; Park, S.-H.; Lim, D.-K. Optimal Design of IPMSM for EV Using Subdivided Kriging Multi-Objective Optimization. Processes 2021, 9, 1490. [Google Scholar] [CrossRef]
- Li, Z.; Yuan, C.; Chen, S.; Wang, Y.; Lian, Z.; Qiu, H.; Wu, X. The Effect of Magnetic Slot Wedges on the Vibration of High-Voltage Line-Starting Permanent Magnet Synchronous Motor. J. Electr. Eng. Technol. 2025, 20, 4077–4085. [Google Scholar] [CrossRef]
- Li, D.; Xie, Y.; Cai, W.; Zhang, F.; Sun, Y. An Analytical Prediction Method for Zero-Order Vibration and Noise of Permanent Magnet Synchronous Motor. IEEE Trans. Appl. Supercond. 2024, 34, 5209206. [Google Scholar] [CrossRef]
- Li, X.; He, W.; Zhao, R.; Feng, A.; Liu, Y.; Lu, Y. Modal analysis of the stator system of a permanent magnet synchronous motor with integer slot multi-pole pair for electric vehicles. IET Electr. Power Appl. 2021, 16, 1–14. [Google Scholar] [CrossRef]
- Liu, C.; Zhang, H.; Wang, S.; Wang, Y.; Lei, G.; Zhu, J. Multiphysical Design and Optimization of High-Speed Permanent Magnet Synchronous Motor with Sinusoidal Segmented Permanent Magnet Structure. J. Electr. Eng. Technol. 2023, 19, 1459–1473. [Google Scholar] [CrossRef]
- Wang, D.; Yang, W.; Yang, J.; Jiang, K.; Fu, Y. Research on Electromagnetic Vibration Characteristics of a Permanent Magnet Synchronous Motor Based on Multi-Physical Field Coupling. Energies 2023, 16, 3916. [Google Scholar] [CrossRef]
























| Parameter | Value | Parameter | Value |
|---|---|---|---|
| Rated speed | 3652 rpm | Rated power | 64 kW |
| Stator outer diameter | 190 mm | Stator inner diameter | 133 mm |
| Rotor inner diameter | 80 mm | Axial Length | 240 mm |
| PM material | N38UH | Stator core material | B30AVH1500 |
| 1 | 3 | 5 | 7 | 9 | 11 | 13 | |
|---|---|---|---|---|---|---|---|
| 1 | 0/0 8/2 | 8/2 | |||||
| −5 | 8/4 | 0/6 | 8/8 | ||||
| 7 | 8/4 | 0/6 | 8/8 | ||||
| −11 | 8/10 | 0/12 | 8/14 | ||||
| 13 | 8/10 | 0/12 |
| Parameters | deltaX/mm | deltaY/mm | Bs0_stator/mm |
|---|---|---|---|
| Level1 | 0.25 | 0.5 | 0.25 |
| Level2 | 0.75 | 1 | 0.5 |
| Level3 | 1.25 | 1.5 | 0.75 |
| Groups | deltaX/mm | deltaY/mm | Bs0_stator/mm |
|---|---|---|---|
| 1 | 1 | 1 | 1 |
| 2 | 1 | 2 | 2 |
| 3 | 1 | 3 | 3 |
| 4 | 2 | 1 | 2 |
| 5 | 2 | 2 | 3 |
| 6 | 2 | 3 | 1 |
| 7 | 3 | 1 | 3 |
| 8 | 3 | 2 | 1 |
| 9 | 3 | 3 | 2 |
| Number of Experiments | Delta X | Deltay | Bs0_Stator | Average Torque/Nm | Torque Ripple/% | Cogging Torque/Nm | (0, 12) Amplitude |
|---|---|---|---|---|---|---|---|
| 1 | 0.25 | 0.5 | 0.25 | 166.84 | 10.47 | 0.54 | 41,566.73 |
| 2 | 0.25 | 1 | 0.5 | 166.86 | 11.04 | 0.28 | 40,747.14 |
| 3 | 0.25 | 1.5 | 0.75 | 166.66 | 11.13 | 0.31 | 42,439.44 |
| 4 | 0.75 | 0.5 | 0.5 | 164.33 | 13.44 | 2.93 | 44,491.1 |
| 5 | 0.75 | 1 | 0.75 | 162.03 | 15.21 | 3.09 | 42,713.33 |
| 6 | 0.75 | 1.5 | 0.25 | 159.98 | 16.35 | 4.23 | 44,012.56 |
| 7 | 1.25 | 0.5 | 0.75 | 160.25 | 16.71 | 5.59 | 45,123.78 |
| 8 | 1.25 | 1 | 0.25 | 154.51 | 20.28 | 8.54 | 43,128.6 |
| 9 | 1.25 | 1.5 | 0.5 | 149.74 | 22.98 | 9.65 | 45,436.11 |
| Optimization Variables | Level | Average Torque/Nm | Torque Ripple/% | Cogging Torque Amplitude/Nm | (0, 12) Amplitude |
|---|---|---|---|---|---|
| deltaX | 1 | 166.79 | 10.88 | 0.38 | 41,584.44 |
| 2 | 162.11 | 15.00 | 3.42 | 43,739.00 | |
| 3 | 154.83 | 19.99 | 7.93 | 44,562.83 | |
| deltaY | 1 | 163.81 | 13.54 | 3.02 | 43,727.20 |
| 2 | 161.13 | 15.51 | 3.97 | 42,196.36 | |
| 3 | 158.79 | 16.82 | 4.73 | 43,962.70 | |
| Bs0_stator | 1 | 160.44 | 15.70 | 4.44 | 42,902.63 |
| 2 | 160.31 | 15.82 | 4.29 | 43,558.12 | |
| 3 | 162.98 | 14.35 | 3.00 | 43,425.52 |
| Variable | Average Torque/Nm | Torque Ripple/% | Cogging Torque Amplitude/Nm | (0, 12) Amplitude | ||||
|---|---|---|---|---|---|---|---|---|
| Variance Value | Proportion/% | Variance Value | Proportion/% | Variance Value | Proportion/% | Variance Value | Proportion/% | |
| deltaX | 24.19 | 80.92 | 13.87 | 85.98 | 9.62 | 91.38 | 1,576,850.78 | 69.46 |
| deltaY | 4.20 | 14.03 | 1.82 | 11.26 | 0.49 | 4.65 | 613,214.70 | 27.01 |
| Bs0_stator | 1.51 | 5.05 | 0.44 | 2.75 | 0.42 | 3.97 | 80,072.89 | 3.53 |
| Total | 29.90 | 100.00 | 16.14 | 100.00 | 10.53 | 100.00 | 2,270,138.37 | 100.00 |
| Variable | Initial | Range |
|---|---|---|
| deltaX | 0.25 | [0.1–0.5] |
| deltaY | 1 | [0.9–1.1] |
| Hs2_Stator | 15.5414 | [15–16] |
| Bs0_Stator | 0.5 | [0.375–0.625] |
| Bs1_Stator | 3.6 | [3.5–3.7] |
| Bs2_Stator | 3.6 | [3–4] |
| rotorout | 65.7 | [63–66] |
| Variable | Initial | Optimized | Variable | Initial | Optimized |
|---|---|---|---|---|---|
| Average torque Cogging torque Torque ripple REF amplitude Efficiency Back-EMF THD | 165.065 3.847 17.675 67,247.42 95.74% 1.4% | 166.932 0.253 11.098 40,957.45 95.71% 2.6% | deltaX deltaY Bs0_Stator Bs1_Stator Bs2_Stator Hs2_Stator rotorout | 0.25 1 0.5 3.6 3.6 15.54 65.7 | 0.261 0.971 0.57 3.64 3.33 15.08 63.948 |
| Structural Parts | Density (kg/m3) | Elastic Modulus (pa) | Shear Modulus (pa) | Poisson’s Ratio |
|---|---|---|---|---|
| Stator core | 7410 | 0.3 |
Disclaimer/Publisher’s Note: The statements, opinions and data contained in all publications are solely those of the individual author(s) and contributor(s) and not of MDPI and/or the editor(s). MDPI and/or the editor(s) disclaim responsibility for any injury to people or property resulting from any ideas, methods, instructions or products referred to in the content. |
© 2026 by the authors. Licensee MDPI, Basel, Switzerland. This article is an open access article distributed under the terms and conditions of the Creative Commons Attribution (CC BY) license.
Share and Cite
Xu, T.; Zhang, Y.; Zheng, W.; Zhang, C.; Wu, H. Multi-Objective Hierarchical Optimization for Suppressing Zero-Order Radial Force Waves and Enhancing Acoustic-Vibration Performance of Permanent Magnet Synchronous Motors. Energies 2026, 19, 475. https://doi.org/10.3390/en19020475
Xu T, Zhang Y, Zheng W, Zhang C, Wu H. Multi-Objective Hierarchical Optimization for Suppressing Zero-Order Radial Force Waves and Enhancing Acoustic-Vibration Performance of Permanent Magnet Synchronous Motors. Energies. 2026; 19(2):475. https://doi.org/10.3390/en19020475
Chicago/Turabian StyleXu, Tianze, Yanhui Zhang, Weiguang Zheng, Chengtao Zhang, and Huawei Wu. 2026. "Multi-Objective Hierarchical Optimization for Suppressing Zero-Order Radial Force Waves and Enhancing Acoustic-Vibration Performance of Permanent Magnet Synchronous Motors" Energies 19, no. 2: 475. https://doi.org/10.3390/en19020475
APA StyleXu, T., Zhang, Y., Zheng, W., Zhang, C., & Wu, H. (2026). Multi-Objective Hierarchical Optimization for Suppressing Zero-Order Radial Force Waves and Enhancing Acoustic-Vibration Performance of Permanent Magnet Synchronous Motors. Energies, 19(2), 475. https://doi.org/10.3390/en19020475

