The Value of Off-Grid Renewable Electricity’s Non-Market Benefits in Rural Sumba, Indonesia
Abstract
1. Introduction
2. Literature Review
3. Materials and Methods
3.1. The Case of Kalilang MHPP in Sumba, Indonesia
3.2. Data Collection
3.3. Applying the Contingent Valuation Approaches
4. Results
4.1. Perceived Benefits of Electricity Generated by the Kalilang MHPP
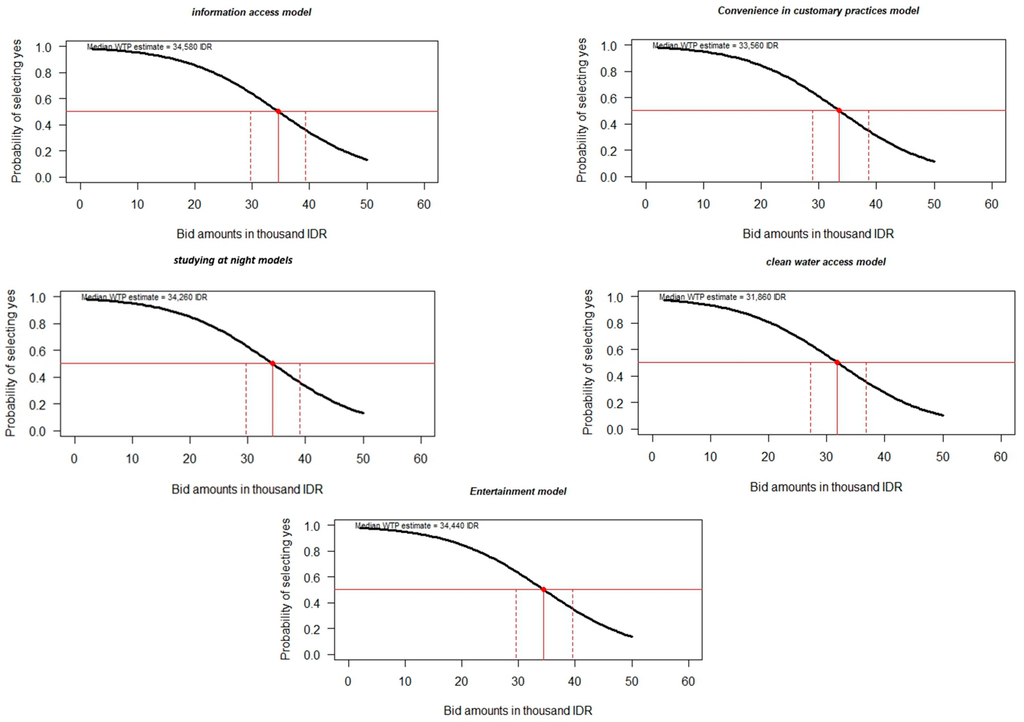
4.2. Estimated Willingness-to-Pay Values of the Identified Benefits
4.3. The Role of Household Size and Income
5. Discussion
6. Conclusions
Author Contributions
Funding
Data Availability Statement
Acknowledgments
Conflicts of Interest
Appendix A. An Example of Contingent Valuation Interview Guideline
- I.
- RESPONDENT IDENTITY
- a.
- Number of family members: ……………………………… people
- b.
- Main occupation of head of family: ………………………………
- c.
- Estimated income: ……………………………… Rupiah per day/week/month
- II.
- ELECTRICITY COSTS
- a.
- How much is the electricity cost per month? ……..………………… Rupiah per month
- b.
- Have you ever paid other than those costs? Yes/Never
- c.
- If yes, for what? …………………………………………………..
- III.
- INDIRECT BENEFITS
- a.
- Access to clean water—With the existence of electricity, clean water can be distributed to houses using pumps. Can you imagine if the electricity goes out, how you would have to put in extra effort to get water?
- a.1. If there were no electricity, would you be willing to pay 2000 Rupiah so that clean water could flow to your house?—If the answer is yes, continue to a.2., if the answer is no, continue to a.3.
- a. Yes b. No
- a.2. If yes (in question a.1), would you be willing to pay 5000 Rupiah so that clean water could flow to your house?
- a. Yes b. No
- a.3. If no (in question a.1), would you be willing to pay 1000 Rupiah so that clean water could flow to your house?
- a. Yes b. No
- b.
- Access to information—With the existence of electricity, you become able to access news or information from outside via Mobile Phone or TV. Can you imagine if the electricity goes out, what you would feel if you could not access that information?
- b.1. If there were no electricity, would you be willing to pay 2000 Rupiah to access information or news?—If the answer is yes, continue to b.2., if the answer is no, continue to b.3.
- a. Yes b. No
- b.2. If yes (in question b.1), would you be willing to pay 5000 Rupiah to access information or news?
- a. Yes b. No
- b.3. If no (in question b.1), would you be willing to pay 1000 Rupiah to access information or news?
- a. Yes b. No
- c.
- Comfort of customary events—With the existence of electricity, customary events such as ceremonies can use lights and sound systems. Can you imagine what would happen to those events when the electricity goes out?
- c.1. If there were no electricity, would you be willing to pay 2000 Rupiah so that customary events could use electronic devices?—If the answer is yes, continue to c.2., if the answer is no, continue to c.3.
- a. Yes b. No
- c.2. If yes (in question c.1), would you be willing to pay 5000 Rupiah so that customary events could use electronic devices?
- a. Yes b. No
- c.3. If no (in question c.1), would you be willing to pay 1000 Rupiah so that customary events could use electronic devices?
- a. Yes b. No
- d.
- Entertainment—With the existence of electricity, you become able to access entertainment via Mobile Phone or TV. Can you imagine if the electricity goes out, what you would feel if you could not access that entertainment?
- d.1. If there were no electricity, would you be willing to pay 2000 Rupiah to access entertainment/social media?—If the answer is yes, continue to d.2., if the answer is no, continue to d.3.
- a. Yes b. No
- d.2. If yes (in question d.1), would you be willing to pay 5000 Rupiah to access entertainment/social media?
- a. Yes b. No
- d.3. If no (in question d.1), would you be willing to pay 1000 Rupiah to access entertainment/social media?
- a. Yes b. No
- e.
- Night activities—With the existence of electricity, you become able to be active at nighttime. Can you imagine if the electricity goes out, what you would feel if you could not be active at night?
- e.1. If there were no electricity, would you be willing to pay 2000 Rupiah so that you could be active at night?—If the answer is yes, continue to e.2., if the answer is no, continue to e.3.
- a. Yes b. No
- e.2. If yes (in question e.1), would you be willing to pay 5000 Rupiah so that you could be active at night?
- a. Yes b. No
- e.3. If no (in question e.1), would you be willing to pay 1000 Rupiah so that you could be active at night?
- a. Yes b. No
References
- Blum, N.U.; Sryantoro Wakeling, R.; Schmidt, T.S. Rural Electrification through Village Grids—Assessing the Cost Competitiveness of Isolated Renewable Energy Technologies in Indonesia. Renew. Sustain. Energy Rev. 2013, 22, 482–496. [Google Scholar] [CrossRef]
- Trotter, P.A.; Cooper, N.J.; Wilson, P.R. A Multi-Criteria, Long-Term Energy Planning Optimisation Model with Integrated on-Grid and off-Grid Electrification—The Case of Uganda. Appl. Energy 2019, 243, 288–312. [Google Scholar] [CrossRef]
- Wirawan, H.; Gultom, Y.M.L. The Effects of Renewable Energy-Based Village Grid Electrification on Poverty Reduction in Remote Areas: The Case of Indonesia. Energy Sustain. Dev. 2021, 62, 186–194. [Google Scholar] [CrossRef]
- MEMR Permen ESDM No. 38 Tahun 2016. 2016. Available online: https://peraturan.bpk.go.id/Details/143370/permen-esdm-no-38-tahun-2016 (accessed on 28 October 2025).
- MEMR Handbook of Energy & Economic Statistics of Indonesia (Final Edition). 2021. Available online: https://www.esdm.go.id/en/publication/handbook-of-energy-economic-statistics-of-indonesia-heesi (accessed on 1 November 2025).
- BPS Statistik Potensi Desa Indonesia 2021. Available online: https://www.bps.go.id/id/publication/2022/03/24/ceab4ec9f942b1a4fdf4cd08/statistik-potensi-desa-indonesia-2021.html (accessed on 5 November 2025).
- Wibisono, H.; Lovett, J.C.; Anindito, D.B. The Contestation of Ideas behind Indonesia’s Rural Electrification Policies: The Influence of Global and National Institutional Dynamics. Dev. Policy Rev. 2023, 41, e12650. [Google Scholar] [CrossRef]
- Barnes, D.F. Electric Power for Rural Growth: How Electricity Affects Rural Life in Developing Countries; Routledge: New York, NY, USA, 2019. [Google Scholar]
- DAGI. Consulting Monitoring & Evaluation Sumba Iconic Island Program 2018; DAGI Consulting: Jakarta, Indonesia, 2018. [Google Scholar]
- Sovacool, B.K. Success and Failure in the Political Economy of Solar Electrification: Lessons from World Bank Solar Home System (SHS) Projects in Sri Lanka and Indonesia. Energy Policy 2018, 123, 482–493. [Google Scholar] [CrossRef]
- Streimikiene, D.; Baležentis, T.; Volkov, A.; Morkūnas, M.; Žičkienė, A.; Streimikis, J. Barriers and Drivers of Renewable Energy Penetration in Rural Areas. Energies 2021, 14, 6452. [Google Scholar] [CrossRef]
- Njoh, A.J.; Etta, S.; Ngyah-Etchutambe, I.B.; Enomah, L.E.D.; Tabrey, H.T.; Essia, U. Opportunities and Challenges to Rural Renewable Energy Projects in Africa: Lessons from the Esaghem Village, Cameroon Solar Electrification Project. Renew. Energy 2019, 131, 1013–1021. [Google Scholar] [CrossRef]
- Mathis, W.; Listiyorini, E. A Solar Microgrid Brought Power to a Remote Village, Then Darkness. Bloomberg.com 2022. Available online: https://www.bloomberg.com/news/features/2022-03-24/challenges-of-a-solar-microgrid-project-in-indonesia (accessed on 31 May 2025).
- Wibisono, H.; Lovett, J.; Chairani, M.S.; Suryani, S. The Ideational Impacts of Indonesia’s Renewable Energy Project Failures. Energy Sustain. Dev. 2024, 83, 101587. [Google Scholar] [CrossRef]
- Singgih, V. Investors Abandoning Renewable Energy Projects in Sumba—Tue, 3 April 2018. Available online: https://www.thejakartapost.com/news/2018/04/03/investors-abandoning-renewable-energy-projects-sumba.html (accessed on 17 May 2024).
- Asghar, N.; Amjad, M.A.; Rehman, H.u.; Munir, M.; Alhajj, R. Achieving Sustainable Development Resilience: Poverty Reduction through Affordable Access to Electricity in Developing Economies. J. Clean. Prod. 2022, 376, 134040. [Google Scholar] [CrossRef]
- Handayani, P.W.; Nasrudin, R.; Rezki, J.F. Reliable Electricity Access, Micro and Small Enterprises, and Poverty Reduction in Indonesia. Bull. Indones. Econ. Stud. 2024, 60, 35–66. [Google Scholar] [CrossRef]
- Wassie, Y.T.; Adaramola, M.S. Socio-Economic and Environmental Impacts of Rural Electrification with Solar Photovoltaic Systems: Evidence from Southern Ethiopia. Energy Sustain. Dev. 2021, 60, 52–66. [Google Scholar] [CrossRef]
- Haning, D.J.; Manna, E.M.; Firman, G. Pre-Feasibility Study: Microgrid Solar Solution for Indigenous Village (Kampung Adat) Ubu Oleta in Sumba Island, Indonesia. In Proceedings of the 2021 IEEE International Power and Renewable Energy Conference (IPRECON), Kollam, India, 24–26 September 2021; pp. 1–6. [Google Scholar]
- Filho, G.L.T.; dos Santos, I.F.S.; Barros, R.M. Cost Estimate of Small Hydroelectric Power Plants Based on the Aspect Factor. Renew. Sustain. Energy Rev. 2017, 77, 229–238. [Google Scholar] [CrossRef]
- Kanagawa, M.; Nakata, T. Assessment of Access to Electricity and the Socio-Economic Impacts in Rural Areas of Developing Countries. Energy Policy 2008, 36, 2016–2029. [Google Scholar] [CrossRef]
- Ortega, N.; Curto, A.; Dimitrova, A.; Nunes, J.; Rasella, D.; Sacoor, C.; Tonne, C. Health and Environmental Impacts of Replacing Kerosene-Based Lighting with Renewable Electricity in East Africa. Energy Sustain. Dev. 2021, 63, 16–23. [Google Scholar] [CrossRef]
- Alam, M.S.; Miah, M.D.; Hammoudeh, S.; Tiwari, A.K. The Nexus between Access to Electricity and Labour Productivity in Developing Countries. Energy Policy 2018, 122, 715–726. [Google Scholar] [CrossRef]
- Chomać-Pierzecka, E.; Błaszczak, B.; Godawa, S.; Kęsy, I.; Chomać-Pierzecka, E.; Błaszczak, B.; Godawa, S.; Kęsy, I. Human Safety in Light of the Economic, Social and Environmental Aspects of Sustainable Development—Determination of the Awareness of the Young Generation in Poland. Sustainability 2025, 17, 6190. [Google Scholar] [CrossRef]
- IRENA. Off-Grid Renewable Energy Solutions; IRENA: Abu Dhabi, United Arab Emirates, 2018. [Google Scholar]
- Ortega-Arriaga, P.; Babacan, O.; Nelson, J.; Gambhir, A. Grid versus Off-Grid Electricity Access Options: A Review on the Economic and Environmental Impacts. Renew. Sustain. Energy Rev. 2021, 143, 110864. [Google Scholar] [CrossRef]
- Lei, X.; Zhong, J.; Chen, Y.; Shao, Z.; Jian, L. Grid Integration of Electric Vehicles within Electricity and Carbon Markets: A Comprehensive Overview. eTransportation 2025, 25, 100435. [Google Scholar] [CrossRef]
- World Bank. BEYOND CONNECTIONS: Energy Access Redefined; The International Bank for Reconstruction and Development: Washington, DC, USA, 2015. [Google Scholar]
- Bhattarai, P.R.; Thompson, S. Optimizing an Off-Grid Electrical System in Brochet, Manitoba, Canada. Renew. Sustain. Energy Rev. 2016, 53, 709–719. [Google Scholar] [CrossRef]
- Veldhuis, A.J.; Reinders, A.H.M.E. Reviewing the Potential and Cost-Effectiveness of off-Grid PV Systems in Indonesia on a Provincial Level. Renew. Sustain. Energy Rev. 2015, 52, 757–769. [Google Scholar] [CrossRef]
- Qoaider, L.; Steinbrecht, D. Photovoltaic Systems: A Cost Competitive Option to Supply Energy to off-Grid Agricultural Communities in Arid Regions. Appl. Energy 2010, 87, 427–435. [Google Scholar] [CrossRef]
- IRENA. Renewable Power Generation Cost in 2021; International Renewable Energy Agency: Abu Dhabi, United Arab Emirates, 2022; ISBN 978-92-9260-452-3. [Google Scholar]
- Numata, M.; Sugiyama, M.; Mogi, G. Barrier Analysis for the Deployment of Renewable-Based Mini-Grids in Myanmar Using the Analytic Hierarchy Process (AHP). Energies 2020, 13, 1400. [Google Scholar] [CrossRef]
- García, V.G.; Bartolomé, M.M. Rural Electrification Systems Based on Renewable Energy: The Social Dimensions of an Innovative Technology. Technol. Soc. 2010, 32, 303–311. [Google Scholar] [CrossRef]
- Ouedraogo, N.S. Opportunities, Barriers and Issues with Renewable Energy Development in Africa: A Comprehensible Review. Curr. Sustain. Renew. Energy Rep. 2019, 6, 52–60. [Google Scholar] [CrossRef]
- Wibisono, H.; Lovett, J.C.; Suryani, S. Expectations and Perceptions of Rural Electrification: A Comparison of the Providers’ and Beneficiaries’ Cognitive Maps in Rural Sumba, Indonesia. World Dev. Sustain. 2023, 3, 100102. [Google Scholar] [CrossRef]
- Fathoni, H.S.; Setyowati, A.B.; Prest, J. Is Community Renewable Energy Always Just? Examining Energy Injustices and Inequalities in Rural Indonesia. Energy Res. Soc. Sci. 2021, 71, 101825. [Google Scholar] [CrossRef]
- van Gevelt, T.; Zaman, T.; George, F.; Bennett, M.M.; Fam, S.D.; Kim, J.E. End-User Perceptions of Success and Failure: Narratives from a Natural Laboratory of Rural Electrification Projects in Malaysian Borneo. Energy Sustain. Dev. 2020, 59, 189–198. [Google Scholar] [CrossRef]
- Feron, S. Sustainability of Off-Grid Photovoltaic Systems for Rural Electrification in Developing Countries: A Review. Sustainability 2016, 8, 1326. [Google Scholar] [CrossRef]
- Sarker, S.A.; Wang, S.; Adnan, K.M.M.; Anser, M.K.; Ayoub, Z.; Ho, T.H.; Tama, R.A.Z.; Trunina, A.; Hoque, M.M. Economic Viability and Socio-Environmental Impacts of Solar Home Systems for Off-Grid Rural Electrification in Bangladesh. Energies 2020, 13, 679. [Google Scholar] [CrossRef]
- Nduka, E. How to Get Rural Households out of Energy Poverty in Nigeria: A Contingent Valuation. Energy Policy 2021, 149, 112072. [Google Scholar] [CrossRef]
- Dumga, K.T.; Goswami, K. Willingness to Pay for Cooking with Electricity among Rural Households: The Case of Southern Ethiopia. Heliyon 2025, 11, e41343. [Google Scholar] [CrossRef]
- Chishimba, S.K.; Muchapondwa, E. Credit Constraints and Willingness to Pay for Electricity among Non-Connected Households in Zambia. Energy Sustain. Dev. 2025, 85, 101601. [Google Scholar] [CrossRef]
- Siyaranamual, M.; Amalia, M.; Yusuf, A.; Alisjahbana, A. Consumers’ Willingness to Pay for Electricity Service Attributes: A Discrete Choice Experiment in Urban Indonesia. Energy Rep. 2020, 6, 562–571. [Google Scholar] [CrossRef]
- Wen, C.; Lovett, J.C.; Rianawati, E.; Arsanti, T.R.; Suryani, S.; Pandarangga, A.; Sagala, S. Household Willingness to Pay for Improving Electricity Services in Sumba Island, Indonesia: A Choice Experiment under a Multi-Tier Framework. Energy Res. Soc. Sci. 2022, 88, 102503. [Google Scholar] [CrossRef]
- Zuch, M. Rural Electrification in Sub-Saharan Africa: A Willingness to Pay Analysis of Electricity Access in Kenya. Energy Policy 2025, 206, 114720. [Google Scholar] [CrossRef]
- IBEKA. n.d. PLTMH. Available online: https://ibeka.or.id/mhp-project/ (accessed on 5 November 2025).
- Ibrahim, A.R. Factors Influencing Commercialization Phase of Social Innovation and Entrepreneurship; Delft University of Technology: Delft, The Netherlands, 2020. [Google Scholar]
- Ropo, R. Hadirnya PLTMH Kalilang, Warga Empat Desa di Kahaungu Eti Terang Benderang. Pos-kupang.com 2020. Available online: https://kupang.tribunnews.com/2020/02/04/hadirnya-pltmh-kalilang-warga-empat-desa-di-kahaungu-eti-terang-benderang (accessed on 5 November 2025).
- Creswell, J.W. Research Design: Qualitative, Quantitative, and Mixed Methods Approaches; Sage: Thousand Oaks, CA, USA, 2009; ISBN 978-1-4129-6556-9. [Google Scholar]
- Kalof, L.; Dan, A.; Dietz, T. Essentials of Social Research; McGraw-Hill Education: New York, NY, USA, 2008; ISBN 978-0-335-23679-4. [Google Scholar]
- Aspers, P.; Corte, U. What Is Qualitative in Qualitative Research. Qual. Sociol. 2019, 42, 139–160. [Google Scholar] [CrossRef]
- Atinkut, H.B.; Yan, T.; Arega, Y.; Raza, M.H. Farmers’ Willingness-to-Pay for Eco-Friendly Agricultural Waste Management in Ethiopia: A Contingent Valuation. J. Clean. Prod. 2020, 261, 121211. [Google Scholar] [CrossRef]
- Chu, X.; Zhan, J.; Wang, C.; Hameeda, S.; Wang, X. Households’ Willingness to Accept Improved Ecosystem Services and Influencing Factors: Application of Contingent Valuation Method in Bashang Plateau, Hebei Province, China. J. Environ. Manag. 2020, 255, 109925. [Google Scholar] [CrossRef] [PubMed]
- Ghanbarpour, M.R.; Saravi, M.M.; Salimi, S. Floodplain Inundation Analysis Combined with Contingent Valuation: Implications for Sustainable Flood Risk Management. Water Resour. Manag. 2014, 28, 2491–2505. [Google Scholar] [CrossRef]
- Huang, G.; Xue, D.; Wang, B. Integrating Theories on Informal Economies: An Examination of Causes of Urban Informal Economies in China. Sustainability 2020, 12, 2738. [Google Scholar] [CrossRef]
- Guo, X.; Liu, H.; Mao, X.; Jin, J.; Chen, D.; Cheng, S. Willingness to Pay for Renewable Electricity: A Contingent Valuation Study in Beijing, China. Energy Policy 2014, 68, 340–347. [Google Scholar] [CrossRef]
- Stigka, E.K.; Paravantis, J.A.; Mihalakakou, G.K. Social Acceptance of Renewable Energy Sources: A Review of Contingent Valuation Applications. Renew. Sustain. Energy Rev. 2014, 32, 100–106. [Google Scholar] [CrossRef]
- Hanemann, M.; Loomis, J.; Kanninen, B. Statistical Efficiency of Double-Bounded Dichotomous Choice Contingent Valuation. Am. J. Agric. Econ. 1991, 73, 1255–1263. [Google Scholar] [CrossRef]
- Bateman, I.J.; Burgess, D.; Hutchinson, W.G.; Matthews, D.I. Learning Design Contingent Valuation (LDCV): NOAA Guidelines, Preference Learning and Coherent Arbitrariness. J. Environ. Econ. Manag. 2008, 55, 127–141. [Google Scholar] [CrossRef]
- Arrow, K.; Solow, R.; Portney, P.; Leamer, E.; Radner, R.; Schumar, H. Report of the NOAA Panel on Contingent Valuation; National Oceanic & Atmospheric Administration: Washington, DC, USA, 1995.
- Veronesi, M.; Alberini, A.; Cooper, J.C. Implications of Bid Design and Willingness-To-Pay Distribution for Starting Point Bias in Double-Bounded Dichotomous Choice Contingent Valuation Surveys. Environ. Resour. Econ. 2011, 49, 199–215. [Google Scholar] [CrossRef]
- Chang, J.S. Estimation of Option and Non-Use Values for Intercity Passenger Rail Services. J. Transp. Geogr. 2010, 18, 259–265. [Google Scholar] [CrossRef]
- Nakatani, T.; Aizaki, H. DCchoice: Analyzing Dichotomous Choice Contingent Valuation Data 2015, 0.2.0. Available online: https://cran.r-project.org/web/packages/DCchoice/DCchoice.pdf (accessed on 28 October 2025).
- Aizaki, H.; Nakatani, T.; Sato, K.; Fogarty, J. R Package DCchoice for Dichotomous Choice Contingent Valuation: A Contribution to Open Scientific Software and Its Impact. Jpn. J. Stat. Data Sci. 2022, 5, 871–884. [Google Scholar] [CrossRef]
- JRI Research. Socio-Economic-Gender Baseline Survey; JRI Research: Sumba, Indonesia, 2012; pp. 1–123. [Google Scholar]
- Go, Y.L.; Kurniasa, M.; Potapova-Crighton, O.A.; Himayati, L.; Kumar, J. Treading Water in a Savannah: The Reality of Water Scarcity in East Sumba. 2020. Available online: https://rdiglobal.org/publications/view/3856/treading-water-in-a-savannah-the-reality-of-water-scarcity-in-east-sumba (accessed on 5 November 2025).
- Fingleton-Smith, E. Blinded by the Light: The Need to Nuance Our Expectations of How Modern Energy Will Increase Productivity for the Poor in Kenya. Energy Res. Soc. Sci. 2020, 70, 101731. [Google Scholar] [CrossRef]
- Pelz, S.; Aklin, M.; Urpelainen, J. Electrification and Productive Use among Micro- and Small-Enterprises in Rural North India. Energy Policy 2021, 156, 112401. [Google Scholar] [CrossRef]
- Ngowi, J.M.; Bångens, L.; Ahlgren, E.O. Benefits and Challenges to Productive Use of Off-Grid Rural Electrification: The Case of Mini-Hydropower in Bulongwa-Tanzania. Energy Sustain. Dev. 2019, 53, 97–103. [Google Scholar] [CrossRef]
- Riva, F.; Ahlborg, H.; Hartvigsson, E.; Pachauri, S.; Colombo, E. Electricity Access and Rural Development: Review of Complex Socio-Economic Dynamics and Causal Diagrams for More Appropriate Energy Modelling. Energy Sustain. Dev. 2018, 43, 203–223. [Google Scholar] [CrossRef]
- World Bank. The Welfare Impact of Rural Electrification: A Reassessment of the Costs and Benefits; The World Bank: Washington, DC, USA, 2008; ISBN 978-0-8213-7367-5. [Google Scholar]
- Winther, T. The Impact of Electricity: Development, Desires and Dilemmas, 1st ed.; Berghahn Books: Brooklyn, NY, USA, 2008. [Google Scholar]
- Haan, A.d.; Maxwell, S. Poverty and Social Exclusion in North and South. IDS Bull. 2017, 48, 1–9. [Google Scholar] [CrossRef]
- Popay, J. Understanding and Tackling Social Exclusion. J. Res. Nurs. 2010, 15, 295–297. [Google Scholar] [CrossRef]
- Sievert, M.; Steinbuks, J. Willingness to Pay for Electricity Access in Extreme Poverty: Evidence from Sub-Saharan Africa. World Dev. 2020, 128, 104859. [Google Scholar] [CrossRef]
- Wibisono, H.; Suryani, S.; Safina, S. Entrepreneurial Tendency of Indonesia Remote Rural Communities: Are the Existence of Community-Based Mini-Grids Matters? J. Socioecon. 2024, 7, 205–217. [Google Scholar] [CrossRef]



| Benefits | Supporting Statements |
|---|---|
| Clean water access | In Sumba, rural areas are highly dependent on electricity for access to clean water. Water sources are located down the valley, so it needs to be pumped with the electricity pump—interview with IBEKA |
| Information access | Now we can use handphones to study, search for information, play games, communicate with relatives, and use social media. Women also use it for looking for recipes.—interview with MHPP operator |
| Convenience in customary practices | The quality of our customary events is improving by applying technology. Now we can use speakers so that everyone can hear the messages. Before the electricity came, we used to shout during the event.—interview with village authority |
| Entertainment | Usually, men use the television to watch news and football matches, while women usually watch dramas. Kids also use the television for watching cartoons, singing, and doll—Interview with a female activist. |
| Able to study at night | In the past, we used to study using kerosene lamps, so it often made our eyes tear up due to the air pollution. But with the availability of electricity, it greatly helps children to study—interview with village authority. |
| Variables | Number | Percentage (n = 105) |
|---|---|---|
| Livelihood | ||
| Farmer | 100 | 95.24 |
| Builder | 3 | 2.86 |
| Priest | 1 | 0.95 |
| Village authority | 1 | 0.95 |
| Size of household | ||
| 1–3 | 21 | 20.00 |
| 4–6 | 49 | 46.67 |
| ≥7 | 35 | 33.33 |
| Household income | ||
| 0–600,000 | 47 | 44.76 |
| 600,001–1,200,000 | 51 | 48.57 |
| >1,200,000 | 7 | 6.67 |
| Installed power | ||
| 0.5 Ampere | 67 | 63.81 |
| 2 Ampere | 26 | 24.76 |
| 4 Ampere | 12 | 11.43 |
| Benefits | Income | Household Size | Bid Value | |
|---|---|---|---|---|
| Clean water access | Coef. | 0.002 | −0.035 | −0.122 |
| p value | 0.007 ** | 0.745 | <2.2 × 10−16 *** | |
| Information access | Coef. | 0.001 | −0.098 | −0.123 |
| p value | 0.046 * | 0.414 | <2.2 × 10−16 *** | |
| Convenience in customary practices | Coef. | 0.001 | 0.061 | −0.125 |
| p value | 0.213 | 0.613 | <2.2 × 10−16 *** | |
| Entertainment | Coef. | 0.001 | 0.099 | −0.123 |
| p value | 0.145 | 0.429 | <2.2 × 10−16 *** | |
| Able to study at night | Coef. | 0.002 | −0.111 | −0.127 |
| p value | 0.014 * | 0.927 | <2.2 × 10−16 *** |
Disclaimer/Publisher’s Note: The statements, opinions and data contained in all publications are solely those of the individual author(s) and contributor(s) and not of MDPI and/or the editor(s). MDPI and/or the editor(s) disclaim responsibility for any injury to people or property resulting from any ideas, methods, instructions or products referred to in the content. |
© 2025 by the authors. Licensee MDPI, Basel, Switzerland. This article is an open access article distributed under the terms and conditions of the Creative Commons Attribution (CC BY) license.
Share and Cite
Wibisono, H.; Lovett, J.C.; Wen, C.; Suryani, S.; Tumus, M.G.R.A. The Value of Off-Grid Renewable Electricity’s Non-Market Benefits in Rural Sumba, Indonesia. Energies 2026, 19, 142. https://doi.org/10.3390/en19010142
Wibisono H, Lovett JC, Wen C, Suryani S, Tumus MGRA. The Value of Off-Grid Renewable Electricity’s Non-Market Benefits in Rural Sumba, Indonesia. Energies. 2026; 19(1):142. https://doi.org/10.3390/en19010142
Chicago/Turabian StyleWibisono, Hafidz, Jon C. Lovett, Cheng Wen, Siti Suryani, and Muhammad Galang Ramadhan Al Tumus. 2026. "The Value of Off-Grid Renewable Electricity’s Non-Market Benefits in Rural Sumba, Indonesia" Energies 19, no. 1: 142. https://doi.org/10.3390/en19010142
APA StyleWibisono, H., Lovett, J. C., Wen, C., Suryani, S., & Tumus, M. G. R. A. (2026). The Value of Off-Grid Renewable Electricity’s Non-Market Benefits in Rural Sumba, Indonesia. Energies, 19(1), 142. https://doi.org/10.3390/en19010142

