Power Grid Clock Synchronization Optimization Based on Stackelberg Game Theory
Abstract
1. Introduction
2. Game-Theoretic Optimization Strategies for Clock Synchronization
2.1. Stackelberg Game Model for Clock Synchronization
- 1.
- User Request Stage: Users submit synchronization requests to the time synchronization server, including requirements for clock synchronization accuracy, the number of synchronization devices, and initial synchronization bandwidth needs.
- 2.
- Centralized Pricing Stage: The time synchronization server applies differentiated pricing based on users’ synchronization accuracy requirements and communicates the pricing strategy to the users.
- 3.
- Demand Feedback Stage: Users adjust their bandwidth strategies based on the server’s pricing strategy and their own synchronization needs, aiming to maximize their individual benefits. Users’ bandwidth strategies form a Nash equilibrium.
- 4.
- Pricing Adjustment Stage: The time synchronization server adjusts pricing for users based on their current bandwidth usage to maximize its own revenue and communicates the updated pricing to the users.
2.2. Theoretical Analysis of Clock Synchronization Game Models
2.2.1. Proof of the Existence of Equilibria in Game Models
2.2.2. The Lower Bounds on the Bandwidth Efficiency
- From Equation (20), the equalized bandwidth allocation for user i can be obtained as follows:
- The total bandwidth usage is
- Assuming , by using the Cauchy–Schwartz inequality, we can deduce that
- Substituting , we obtain
- The lower bound of bandwidth efficiency isWith the establishment of , the equation has always been established.
- The bandwidth efficiency of static allocation scheme is . When , our proposed method efficiency is
2.3. Iterative Solution for Equilibria in Game Models
2.3.1. Iterative Algorithm for Bandwidth Allocation
- 1.
- Set an initial point , maximum number of iterations , and covergence tolerance .
- 2.
- While the iteration process continues, the server can obtain the current iteration state . For any user i, periodically adjust the bandwidth strategy:
- 3.
- Check termination conditions: if , then the Nash equilibrium is achieved. Otherwise:
- -
- If , return to Step 2;
- -
- If , it appears that no Nash equilibrium exists.
- With the increase in user demand, we set the user demand to be less than the network capacity. If the capacity is exceeded, the allocation is proportional to the demand;
- When exists, users readjust their bandwidth according to .
| Algorithm 1 Iterative Algorithm for Bandwidth Allocation Modeling as Two-Layer Stackelberg Game. |
| Initialization: Users , pricing , synchronization bandwidth allocation . |
|
| Output: Clock synchronization policy after reallocation of bandwidth resources. |
2.3.2. The Complexity Analysis of Iterative Algorithm
- User-level policy update: Each user computes the utility gradient and the complexity is . The total complexity in the period of user policy update is .
- Pricing update: As we have derived the equilibrium solution of pricing, we need to calculate the sum which complexity is . The total complexity in the period of pricing update is .
- The strong convexity of utility functions: Since the utility function is concave, its dual problem is convex optimization. According to the theory of convex optimization, the convergence rate of gradient descent is , i.e., it takes iterations to reach -approximate accuracy.
- Update steps setting: The fixed steps , need to satisfy , where L is the Lipschitz constant equal to the gradient.
- Upper bound on the number of theoretical iterations: For -approximate equilibrium, the number of iterations satisfies , where is the strongly convex coefficient of the utility function. In the simulation, the measured convergence number (with ) is consistent with the theory.
- Total time complexity: The total time complexity of the algorithm is given as follows:
3. Simulation Results Analysis
3.1. Simulation Settings
- Network capacity Q: set as 15 to 25 in the simulation to simulate different sizes of power grids.
- User requirement is the fuzzy relationship mapping of the clock synchronization accuracy, is the number of synchronization devices required by user.
- Dynamic device access: randomly insert user requests in iterations (e.g., 300-th iteration to add new users, 600-th to exit).
3.2. Convergence Analysis
- 1.
- The server’s revenue rapidly increases. Due to the ample network resources and high synchronization demand from users, users quickly consume as much bandwidth as possible, leading to a substantial rise in the server’s revenue.
- 2.
- The game has not yet reached equilibrium. With the current pricing, users continue to adjust their bandwidth strategies incrementally to optimize their own utility. Consequently, the server gradually adjusts its pricing, resulting in a slow decrease in the server’s revenue.
- 3.
- Both user and server revenues stabilize, reaching an equilibrium state. Users with high synchronization accuracy requirements occupy more bandwidth. Once the system achieves equilibrium, and provided there are no new users or changes in user demand, the system will maintain this stable synchronization state.
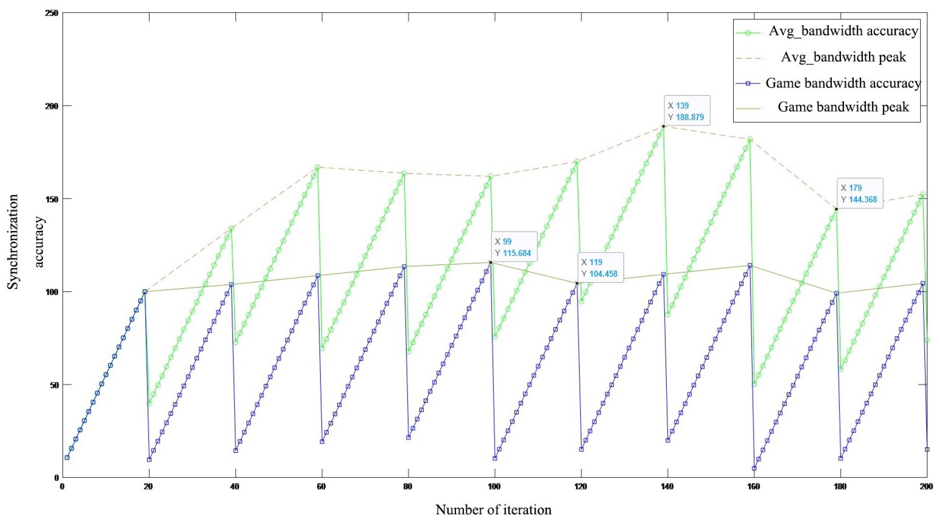
3.3. Synchronization Accuracy Simulation
4. Virtual Simulation Platform
- Mininet simulates the grid communication network topology and generates dynamic traffic.
- Ryu controller implements SDN logic and dynamically adjusts queue priority via OpenFlow protocol to support synchronized packet low-latency transmission.
- MATLAB and Mininet interact via Socket API: MATLAB calculates the bandwidth allocation policy, Mininet enforces the policy and returns end-to-end delay data.
- Link bandwidth: 100 Mbps, propagation delay 1 ms (backbone link)/5 ms (edge link).
5. Conclusions
Author Contributions
Funding
Data Availability Statement
Conflicts of Interest
References
- Zahraoui, Y.; Korõtko, T.; Rosin, A.; Zidane, T.E.K.; Mekhilef, S. A Real-Time Simulation for P2P Energy Trading Using a Distributed Algorithm. IEEE Access 2024, 12, 44135–44146. [Google Scholar] [CrossRef]
- Fang, X.; Misra, S.; Xue, G.; Yang, D. Smart Grid — The New and Improved Power Grid: A Survey. IEEE Commun. Surv. Tutorials 2012, 14, 944–980. [Google Scholar] [CrossRef]
- Zhang, P.; Li, Z.; Guo, G.; Liu, K.; Hou, D. High-Precision Time Transfer Based on Power Line Communication. In Proceedings of the 2023 Joint Conference of the European Frequency and Time Forum and IEEE International Frequency Control Symposium (EFTF/IFCS), Toyama, Japan, 15–19 May 2023; pp. 1–2. [Google Scholar]
- Liu, Y.; Sun, B.; Wu, Y.; Zhang, Y.; Yang, J.; Wang, W.; Thotakura, N.L.; Liu, Q.; Liu, Y. Time Synchronization Techniques in the Modern Smart Grid: A Comprehensive Survey. Energies 2025, 18, 1163. [Google Scholar] [CrossRef]
- Chen, P.; Yang, Z. Understanding PTP Performance in Today’s Wi-Fi Networks. IEEE/ACM Trans. Netw. 2023, 31, 3037–3050. [Google Scholar] [CrossRef]
- Sun, Y.; Yan, J.; Wang, Z.; Sun, Z. OpenSync: Enabling Software-Defined Clock Synchronization in Deterministic Ethernet. Electronics 2025, 14, 1145. [Google Scholar] [CrossRef]
- Puttnies, H.; Danielis, P.; Sharif, A.R.; Timmermann, D. Estimators for Time Synchronization—Survey, Analysis, and Outlook. IoT 2020, 1, 398–435. [Google Scholar] [CrossRef]
- Exel, R. Mitigation of Asymmetric Link Delays in IEEE 1588 Clock Synchronization Systems. IEEE Commun. Lett. 2014, 18, 507–510. [Google Scholar] [CrossRef]
- Jones, T.; Arnold, D.; Tuffner, F.; Cummings, R.; Lee, K. Recent Advances in Precision Clock Synchronization Protocols for Power Grid Control Systems. Energies 2021, 14, 5303. [Google Scholar] [CrossRef]
- Puttnies, H.; Danielis, P.; Timmermann, D. PTP-LP: Using Linear Programming to Increase the Delay Robustness of IEEE 1588 PTP. In Proceedings of the 2018 IEEE Global Communications Conference (GLOBECOM), Abu Dhabi, United Arab Emirates, 9–13 December 2018; pp. 1–7. [Google Scholar]
- Hadžić, I.; Morgan, D.R. On Packet Selection Criteria for Clock Recovery. In Proceedings of the Control and Communication 2009 International Symposium on Precision Clock Synchronization for Measurement, Brescia, Italy, 12–16 October 2009; pp. 1–6. [Google Scholar]
- Ha, Y.; Pak, E.; Park, J.; Kim, T.; Yoon, J.W. Clock Offset Estimation for Systems With Asymmetric Packet Delays. IEEE/ACM Trans. Netw. 2023, 31, 1838–1853. [Google Scholar] [CrossRef]
- Wang, H.; Ma, W.; Liu, X. Robust Clock Skew and Offset Estimation for PTP Synchronization with Unknown Delay Distributions. In Proceedings of the GLOBECOM 2023—2023 IEEE Global Communications Conference, Kuala Lumpur, Malaysia, 4–8 December 2023; pp. 5110–5115. [Google Scholar]
- Okafor, K.C.; Okafor, W.O.; Longe, O.M.; Ayogu, I.I.; Anoh, K.; Adebisi, B. Scalable Container-Based Time Synchronization for Smart Grid Data Center Networks. Technologies 2025, 13, 105. [Google Scholar] [CrossRef]
- Freire, I.; Sousa, I.; Klautau, A.; Almeida, I.; Lu, C.; Berg, M. Analysis and Evaluation of End-to-End PTP Synchronization for Ethernet-Based Fronthaul. In Proceedings of the 2016 IEEE Global Communications Conference (GLOBECOM), Washington, DC, USA, 4–8 December 2016; pp. 1–6. [Google Scholar]
- Idrees, Z.; Granados, J.; Sun, Y.; Latif, S.; Gong, L.; Zou, Z.; Zheng, L. IEEE 1588 for Clock Synchronization in Industrial IoT and Related Applications: A Review on Contributing Technologies, Protocols and Enhancement Methodologies. IEEE Access 2020, 8, 155660–155678. [Google Scholar] [CrossRef]
- Xu, Y.; Dong, T.; Yin, J.; Zhang, Z.; Liu, Z.; Jiang, H.; Wu, J. A Fast Time Synchronization Method for Large Scale LEO Satellite Networks Based on A Bionic Algorithm. Photonics 2024, 11, 475. [Google Scholar] [CrossRef]
- Macii, D.; Rinaldi, S. Time Synchronization for Smart Grids Applications: Requirements and Uncertainty Issues. IEEE Instrum. Meas. Mag. 2022, 25, 11–18. [Google Scholar] [CrossRef]
- Meng, Y.; He, J.; Li, S.; Chen, Y.; Liao, W.; Wang, P. Big Data-Driven Clock Synchronization Detection Approach in Smart Grid Using Fuzzy Neural Network. In Proceedings of the 2024 9th IEEE International Conference on Smart Cloud (SmartCloud), New York City, NY, USA, 10–12 May 2024; pp. 54–59. [Google Scholar]
- Liao, B.; Wang, Y.; Xue, J.; Zhou, Z.; Zhang, S.; Chen, X. Dynamic Clustering-Based Time Synchronization for PLC-TWACS Integrated Multimodal Power IoT in Smart Park. IEEE Syst. J. 2024, 18, 1296–1307. [Google Scholar] [CrossRef]
- Shah, S.; Koley, S.; Malandra, F. Experimental End-To-End Delay Analysis of LTE Cat-M With High-Rate Synchrophasor Communications. IEEE Internet Things J. 2023, 10, 19839–19848. [Google Scholar] [CrossRef]
- Liu, R.; Li, L.; Shen, F.; Han, X.; Zhang, M. Research on Synchronization Channel Design on 230 MHz for Smart Grid. In Proceedings of the 2024 IEEE 7th Advanced Information Technology, Electronic and Automation Control Conference (IAEAC), Chongqing, China, 15–17 March 2024; Volume 7, pp. 1044–1048. [Google Scholar]
- Rosen, J.B. Existence and Uniqueness of Equilibrium Points for Concave N-Person Games. Econometrica 1965, 33, 520. [Google Scholar] [CrossRef]











| Parameter | Symbol | Initial Values |
|---|---|---|
| Pricing adjustment strategy step | 0.01 | |
| Bandwidth demand adjustment step | 0.01 | |
| Initial pricing | (0.01, …, 0.01) | |
| Initial bandwidth allocation | (0, …, 0) | |
| Maximum number of iterations | K | 600 |
| Convergence tolerance | 0.001 |
| Parameter | Symbol |
|---|---|
| Operating system | Ubuntu 16.04 LTS |
| Compilation language | Python 2.7 & 3.5 |
| SDN framework | Ryu 4.23 |
| Dynamic network analysis library | NetworkX 2.1 |
| Network simulation platform | Mininet2.3.0 |
Disclaimer/Publisher’s Note: The statements, opinions and data contained in all publications are solely those of the individual author(s) and contributor(s) and not of MDPI and/or the editor(s). MDPI and/or the editor(s) disclaim responsibility for any injury to people or property resulting from any ideas, methods, instructions or products referred to in the content. |
© 2025 by the authors. Licensee MDPI, Basel, Switzerland. This article is an open access article distributed under the terms and conditions of the Creative Commons Attribution (CC BY) license (https://creativecommons.org/licenses/by/4.0/).
Share and Cite
Li, J.; Zhao, Y.; Zhang, Y.; Xia, Z.; Chen, C.; Guan, Q. Power Grid Clock Synchronization Optimization Based on Stackelberg Game Theory. Energies 2025, 18, 2216. https://doi.org/10.3390/en18092216
Li J, Zhao Y, Zhang Y, Xia Z, Chen C, Guan Q. Power Grid Clock Synchronization Optimization Based on Stackelberg Game Theory. Energies. 2025; 18(9):2216. https://doi.org/10.3390/en18092216
Chicago/Turabian StyleLi, Jiahao, Yitao Zhao, Yiming Zhang, Zhiyu Xia, Chuanxu Chen, and Quansheng Guan. 2025. "Power Grid Clock Synchronization Optimization Based on Stackelberg Game Theory" Energies 18, no. 9: 2216. https://doi.org/10.3390/en18092216
APA StyleLi, J., Zhao, Y., Zhang, Y., Xia, Z., Chen, C., & Guan, Q. (2025). Power Grid Clock Synchronization Optimization Based on Stackelberg Game Theory. Energies, 18(9), 2216. https://doi.org/10.3390/en18092216

