You are currently viewing a new version of our website. To view the old version click .
Energies
  • This is an early access version, the complete PDF, HTML, and XML versions will be available soon.
  • Article
  • Open Access

15 November 2025

Design and Investigation of a Low-Cogging-Torque and High-Torque-Density Double-Sided Permanent Magnet Motor

,
,
and
1
School of Electrical and Information Engineering, Jiangsu University, Zhenjiang 212013, China
2
School of Physics and Electronic Engineering, Jiangsu University, Zhenjiang 212013, China
3
State Grid Jiangsu Electrical Power Company, Suqian 223800, China
*
Author to whom correspondence should be addressed.
Energies2025, 18(22), 5995;https://doi.org/10.3390/en18225995 
(registering DOI)
This article belongs to the Section F: Electrical Engineering

Abstract

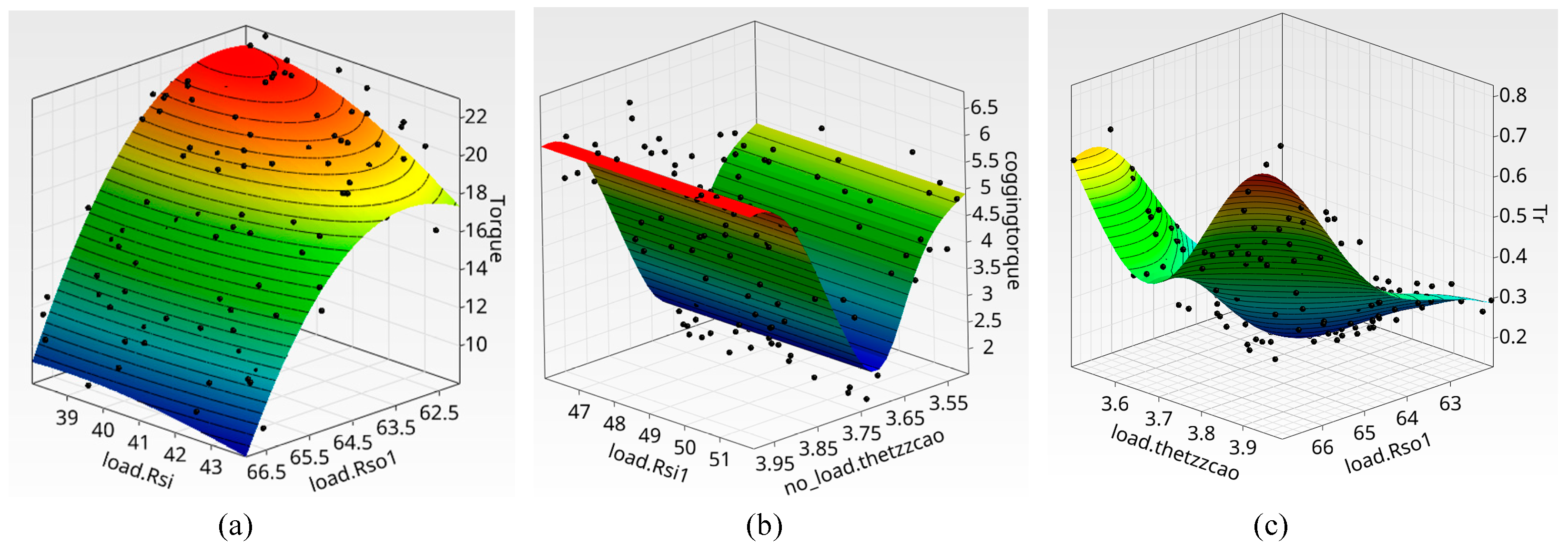
In this paper, a high-torque and low-cogging-torque double-sided permanent magnet (DS-PMFM) motor is proposed. The research focuses on adopting structure of stator split-tooth and unequal-width rotor poles, enabling the motor to have high output torque, low torque ripple, and low cogging torque. It is found that the DS-PMFM motor causes a non-negligible deterioration of cogging torque and torque ripple while increasing the output torque compared with the single-sided permanent magnet (SS-PMFM) motor. Based on this, in order to achieve the comprehensive performance improvement of a high torque density, low cogging torque, and low torque ripple for the motor, research is carried out from three perspectives: pole-slot ratio, stator modulation pole split-tooth shape design, and unequal-width rotor poles design. Ultimately, the final topology is obtained through optimization. Through comparative analysis, it was shown that the torque performance of the proposed DS-PMFM motor has been effectively improved, providing effective guidance for the design of this type of motor.

Article Metrics

Citations

Article Access Statistics

Multiple requests from the same IP address are counted as one view.