A Novel Method for Predicting Oil and Gas Resource Potential Based on Ensemble Learning BP-Neural Network: Application to Dongpu Depression, Bohai Bay Basin, China
Abstract
1. Introduction
2. Geological Setting
3. Material
3.1. Data Sources
3.2. Data Standardization
3.3. Quantification of Contribution Characteristics of Hydrocarbon Generation Center
3.4. Quantification of Sedimentary Facies Characteristics
4. Methodology
4.1. Back Propagation Neural Network (BP)
4.2. Ensemble Learning Methods
4.2.1. BP-Adaboost Algorithm (BP-Adaboost)
4.2.2. BP-Bagging Algorithm (BP-Bagging)
4.3. Prediction Performance Evaluation Metrics
4.4. Workflow Diagram for Predicting Hydrocarbon Resource Abundance
5. Results
5.1. Data Processing
5.1.1. Quantified Data
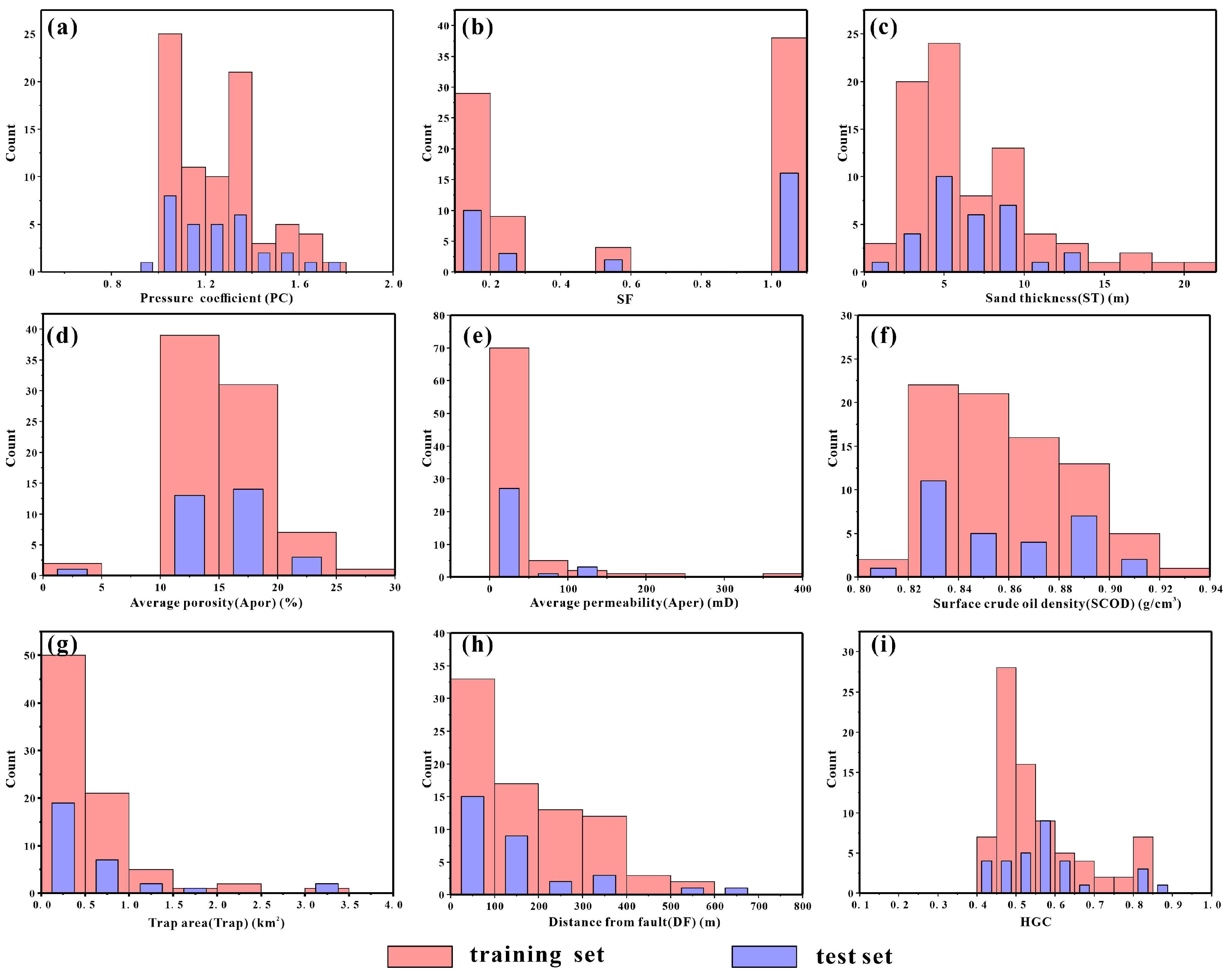
5.1.2. Data Characteristics
5.2. Model Prediction Results of Different Machine Learning Algorithms
5.2.1. BP Model
5.2.2. BP-AdaBoost Model
5.2.3. BP-Bagging Model
5.2.4. Model Reliability Analysis
5.3. Testing of Machine Learning Models
6. Discussion
6.1. Comparison with Other Prediction Models
6.2. Importance Analysis of Geological Parameters
6.3. Attentions About Improving the Accuracy of Machine Learning Models
- (1)
- Optimizing Geological Parameters and Data Quality: Our focus is on improving dataset dimensionality and quality by incorporating a broader range of geological parameters. Additionally, we apply principal component analysis (PCA) to reduce the dimensionality of geological parameters, enabling the effective representation of multi-factor, multi-parameter, and low-dimensional data. This approach aims to mitigate the impact of data features on the prediction results. Furthermore, incorporating uncertainty analysis into the dataset, particularly for parameters with high variability, would provide a more comprehensive understanding of the data’s inherent uncertainty and help improve the predictive capabilities of the model.
- (2)
- Optimizing Prediction Models: Geological data in oil and gas exploration inherently carries uncertainty. Beyond enhancing prediction accuracy through ensemble learning strategies, swarm intelligence algorithms can be introduced to optimize models. This approach assists machine learning models in identifying optimal parameter configurations, thereby improving both accuracy and generalization capabilities.
- (3)
- Quantitative Analysis of Uncertainty: The model developed in this study is applicable to adjacent blocks within sag areas, where the reservoirs are expected to exhibit conventional characteristics, including porosity ranging from 10% to 20% and permeability between 1 mD and 50 mD. Notably, the range of the target parameter—oil and gas resource abundance—is of paramount importance. The dataset collected for this study shows that the distribution of oil and gas resource abundance mainly spans from 0 to 50 (×104 t/km2), with a lack of high-oil and gas resource abundance data, which limits the model’s ability to effectively predict high-oil and gas resource abundance regions. To enhance the model’s performance and address high-resource abundance areas, future research should incorporate uncertainty quantification techniques (such as Bayesian methods) to better capture the variability in these regions and optimize the predictive model accordingly. This would strengthen the machine learning model’s ability to handle high-resource abundance areas. For other regions, a new database should be established based on local geological characteristics, and the machine learning algorithms proposed in this study should be employed to reconstruct evaluation and prediction models.
7. Conclusions
Author Contributions
Funding
Data Availability Statement
Conflicts of Interest
References
- Zhao, W.Z.; Liang, K.; Wang, K. Hydrocarbon Security Strategy and Carbon Peak and Carbon Neutral Strategy: Relationship and Path. Bull. Chin. Acad. Sci. 2023, 38, 1–10. (In Chinese) [Google Scholar] [CrossRef]
- Suslick, S.B.; Schiozer, D.J. Risk analysis applied to petroleum exploration and production: An overview. J. Pet. Sci. Eng. 2004, 44, 1–9. [Google Scholar] [CrossRef]
- Sun, L.; Feng, Z.; Jiang, H.; Jiang, T. Responsibilities of petroleum prospectors: Discussions on dual logic and development trend of hydrocarbon exploration. Pet. Explor. Dev. 2021, 48, 999–1006. (In Chinese) [Google Scholar] [CrossRef]
- White, D. Oil and Gas Play Maps in Exploration and Assessment: GEOLOGIC NOTE. AAPG Bull. 1988, 72, 944–949. [Google Scholar] [CrossRef]
- Grant, S.M.; Milton, N.J.; Thompson, M. Play fairway analysis and risk mapping: An example using the Middle Jurassic Brent Group in the northern North Sea. Nor. Pet. Soc. Spec. Publ. 1996, 6, 167–181. [Google Scholar] [CrossRef]
- Huang, X.H.; Bao, S.J.; Fu, Z.H.; You, Y.; Cheng, K.F.; Xu, Y.Q.; Mo, J.H.; Zheng, Z.H.; Zhu, C.G. Discussion on economic evaluation method of oil and gas exploration. Pet. Explor. Dev. 2000, 9–13+109–110+118. (In Chinese) [Google Scholar]
- Yan, Q.; Zhou, Z.Y. Establishment on Oil Resources Abundance Statistical Model in East China Rift Basins. Pet. Geol. Exp. 2009, 31, 292–295+306. (In Chinese) [Google Scholar]
- Zhao, W.; Hu, S.; Wang, H.; Bian, C.; Wang, Z.C.; Wang, Z.Y. Large-scale accumulation and distribution of medium-low abundance hydrocarbon resources in China. Pet. Explor. Dev. 2013, 40, 1–13. (In Chinese) [Google Scholar] [CrossRef]
- Zhang, W.; Liu, C.L.; Wu, X.Z.; Zheng, M.; Guo, Q.L.; Zhang, D.Y.; Chen, X.M.; Li, B. Statistical Characteristics and Prediction Models for Oil and Gas Resources Abundance in Different Types of Chinese Basins. Geol. Explor. 2019, 55, 1518–1527. (In Chinese) [Google Scholar]
- Bédir, M.; El Asmi, A.M. New insights into Upper Cretaceous hydrocarbon traps of platform-basin flanks in the Sahel Eastern Tunisian petroleum province: Inferred optimal hydrocarbon reserves accumulations. J. Pet. Sci. Eng. 2022, 220, 111232. [Google Scholar] [CrossRef]
- Akram, R.K.; Naqshabandi, S.F.; Sherwani, G. Integration of petrophysical and geochemical approaches for lower Miocene Euphrates and Jeribe Formations in selected wells in Tawke Oil Field, Northwestern Iraq, Zagros-fold belt. J. Afr. Earth Sci. 2023, 205, 105000. [Google Scholar] [CrossRef]
- Lee, P.J.; Wang, P.C. Prediction of oil or gas pool sizes when discovery record is available. Math. Geosci. 1985, 17, 95–113. [Google Scholar] [CrossRef]
- Liu, C.Z. Main Advances and Development Trends in Mathematicalgeology. Geol. Rev. 1996, 4, 364–368. (In Chinese) [Google Scholar] [CrossRef]
- Otis, R.M.; Schneiderm, N. A Process for Evaluating Exploration Prospects. AAPG Bull. 1997, 81, 1087–1109. [Google Scholar] [CrossRef]
- Zhou, Z.Y.; Bai, S.S.; He, H. Comparison of Genetic and Statistical Methods for Petroleum Resource Assessment. Pet. Geol. Exp. 2005, 67–73. (In Chinese) [Google Scholar]
- Komlosi, Z.; Komlosi, J. Application of the Monte Carlo Simulation in Calculating HC-Reserves. In Proceedings of the EUROPEC/EAGE Conference and Exhibition, Amsterdam, The Netherlands, 8–11 June 2009. [Google Scholar] [CrossRef]
- Thander, B.; Sircar, A. Hydrocarbon Resource Estimation: Application of Monte Carlo Simulation. IJLTEMAS 2014, III, 30–47. [Google Scholar]
- Livshits, V.R.; Kontorovich, A.E. Distribution of Hydrocarbon Resources by Fields of Different Sizes and by the Number of Pools in Each Field. Russ. Geol. Geophys. 2022, 63, 1313–1319. [Google Scholar] [CrossRef]
- Kuang, L.; Liu, H.; Ren, Y.; Luo, K.; Shi, M.; Su, J.; Li, X. Application and development trend of artificial intelligence in petroleum exploration and development. Pet. Explor. Dev. 2021, 48, 1–14. (In Chinese) [Google Scholar] [CrossRef]
- Mutawa, A.M.; Hassouneh, A. Multimodal Real-Time Patient Emotion Recognition System Using Facial Expressions and Brain Eeg Signals Based on Machine Learning and Log-Sync Methods. SSRN Electron. J. 2024, 91, 105942. [Google Scholar] [CrossRef]
- Olisah, C.C.; Trewhella, B.; Li, B.; Smith, M.L.; Winstone, B.; Whitfield, E.C.; Fern’andez, F.F.; Duncalfe, H. Convolutional Neural Network Ensemble Learning for Hyperspectral Imaging-based Blackberry Fruit Ripeness Detection in Uncontrolled Farm Environment. Eng. Appl. Artif. Intell. 2024, 132, 107945. [Google Scholar] [CrossRef]
- Kuppenheimer, G.; Shelly, S.; Strauss, J. Can Machine Learning Identify Sector-Level Financial Ratios that Predict Sector Returns? Financ. Res. Lett. 2023, 57, 104241. [Google Scholar] [CrossRef]
- Guo, Q.; Ren, H.; Yu, J.; Wang, J.; Liu, J.; Chen, N. A method of predicting oil and gas resource spatial distribution based on Bayesian network and its application. J. Pet. Sci. Eng. 2021, 208, 109267. [Google Scholar] [CrossRef]
- Alolayan, O.S.; Raymond, S.J.; Montgomery, J.B.; Williams, J.R. Towards better shale gas production forecasting using transfer learning. Upstream Oil Gas Technol. 2022, 9, 100072. [Google Scholar] [CrossRef]
- Wang, M.; Hui, G.; Pang, Y.; Wang, S.; Chen, S. Optimization of machine learning approaches for shale gas production forecast. Geoenergy Sci. Eng. 2023, 226, 211719. [Google Scholar] [CrossRef]
- Ren, H.J.; Guo, Q.L.; Cao, Z.; Ren, H.B. Risk prediction for petroleum exploration based on Bayesian network classifier. Geoenergy Sci. Eng. 2023, 228, 211924. [Google Scholar] [CrossRef]
- Hou, M.; Xiao, Y.; Lei, Z.; Yang, Z.; Lou, Y.; Liu, Y. Machine learning algorithms for lithofacies classification of the gulong shale from the Songliao Basin, China. Energies 2023, 16, 2581. [Google Scholar] [CrossRef]
- Sun, J.; Dang, W.; Wang, F.; Nie, H.; Wei, X.; Li, P.; Zhang, S.; Feng, Y.; Li, F. Prediction of TOC content in organic-rich shale using machine learning algorithms: Comparative study of random forest, support vector machine, and XGBoost. Energies 2023, 16, 4159. [Google Scholar] [CrossRef]
- Wang, H.; Guo, Z.; Kong, X.; Zhang, X.; Wang, P.; Shan, Y. Application of Machine Learning for Shale Oil and Gas “Sweet Spots” Prediction. Energies 2024, 17, 2191. [Google Scholar] [CrossRef]
- Wang, E.; Fu, Y.; Guo, T.; Li, M. A new approach for predicting oil mobilities and unveiling their controlling factors in a lacustrine shale system: Insights from interpretable machine learning model. Fuel 2025, 379, 132958. [Google Scholar] [CrossRef]
- Fan, Z.; Liu, X.; Wang, Z.; Liu, P.; Wang, Y. A novel ensemble machine learning model for oil production prediction with two-stage data preprocessing. Processes 2024, 12, 587. [Google Scholar] [CrossRef]
- Jiao, S.; Li, W.; Li, Z.; Gai, J.; Zou, L.; Su, Y. Hybrid physics-machine learning models for predicting rate of penetration in the Halahatang oil field, Tarim Basin. Sci. Rep. 2024, 14, 5957. [Google Scholar] [CrossRef]
- Delavar, M.R.; Ramezanzadeh, A. Machine learning classification approaches to optimize ROP and TOB using drilling and geomechanical parameters in a carbonate reservoir. J. Pet. Explor. Prod. Technol. 2024, 14, 1–26. [Google Scholar] [CrossRef]
- Kumar, J.; Mukherjee, B.; Sain, K. Porosity prediction using ensemble machine learning approaches: A case study from Upper Assam basin. J. Earth Syst. Sci. 2024, 133, 99. [Google Scholar] [CrossRef]
- Meng, J.; Zhou, Y.J.; Ye, T.R.; Xiao, Y.T.; Lu, Y.Q.; Zheng, A.W.; Liang, B. Hybrid data-driven framework for shale gas production performance analysis via game theory, machine learning, and optimization approaches. Pet. Sci. 2023, 20, 277–294. [Google Scholar] [CrossRef]
- Latrach, A.; Malki, M.L.; Morales, M.; Mehana, M.; Rabiei, M. A critical review of physics-informed machine learning applications in subsurface energy systems. Geoenergy Sci. Eng. 2024, 239, 212938. [Google Scholar] [CrossRef]
- Chi, P.; Sun, J.; Zhang, R.; Luo, X.; Yan, W. Reconstruction of large-scale anisotropic 3D digital rocks from 2D shale images using generative adversarial network. Mar. Pet. Geol. 2024, 170, 107065. [Google Scholar] [CrossRef]
- Niu, W.; Sun, Y.; Yang, X.; Lu, J.; Zhao, S.; Yu, R.; Liang, P.; Zhang, J. Toward Production Forecasting for Shale Gas Wells Using Transfer Learning. Energy Fuels 2023, 37, 5130–5142. [Google Scholar] [CrossRef]
- Yu, H.B.; Cheng, X.J.; Qi, J.F.; Tan, Y.M.; Xu, T.W. Effects of Paleogene faulting on the subsag evolution and hydrocarbon generation in Dongpu Sag. Pet. Geol. Recovery Effic. 2018, 25, 24–31. (In Chinese) [Google Scholar] [CrossRef]
- Jiang, Y.L.; Fang, L.; Liu, J.D.; Hu, H.J.; Xu, T.W. Hydrocarbon charge history of the Paleogene reservoir in the northern Dongpu Depression, Bohai Bay Basin, China. Pet. Sci. 2016, 13, 625–641. [Google Scholar] [CrossRef]
- Zhang, K.X.; Qi, J.F.; Zhao, Y.B.; Chen, S.P. Structure and Evolution of Cenozoic in Dongpu Sag. Xinjiang Pet. Geol. 2007, 714–717. (In Chinese) [Google Scholar]
- Xu, H.; Wang, X.W.; Yan, D.P.; Qiu, L. Subsidence transition during the post-rift stage of the Dongpu Sag, Bohai Bay Basin, NE China: A new geodynamic model. J. Asian Earth Sci. 2018, 158, 186–199. [Google Scholar] [CrossRef]
- Zhu, C.; Jiang, F.; Zhang, P.; Hu, T.; Liu, Y.; Xu, T.; Zhang, Y.; Deng, Q.; Zhou, Y.; Xiong, H. Identification of effective source rocks in different sedimentary environments and evaluation of hydrocarbon resources potential: A case study of paleogene source rocks in the Dongpu Depression, Bohai Bay Basin. J. Pet. Sci. Eng. 2021, 201, 108477. [Google Scholar] [CrossRef]
- Liu, Q.; He, L.; Yi, Z.; Zhang, L. Anomalous Post-Rift Subsidence in the Bohai Bay Basin, Eastern China: Contributions From Mantle Process and Fault Activity. Tectonics 2022, 41, e2021TC006748. [Google Scholar] [CrossRef]
- Tan, Y.M.; Chen, X.J.; Chen, S.P.; He, F. Complex fault-block groups in Dongpu Sag and their exploration potential. Oil Gas Geol. 2011, 32, 584–592. (In Chinese) [Google Scholar] [CrossRef]
- Shang, M.H. Relationship between structural-depositional evolution and oil-gas accumulation in Dongpu sag. Pet. Geol. Recovery Effic. 2014, 1, 50–53+57+114. (In Chinese) [Google Scholar] [CrossRef]
- Jiang, Y.L.; Sun, S.M.; Xin, F.L.; Tan, Y.M.; Liu, J.D. Heterogeneity of hydrocarbon distribution and its main controlling factors in oil-rich depression. J. China Univ. Pet. (Ed. Nat. Sci.) 2019, 43, 34–43. (In Chinese) [Google Scholar]
- Wang, K.; Pang, X.; Zhang, H.; Hu, T.; Xu, T.; Zheng, T.; Zhang, X. Organic geochemical and petrophysical characteristics of saline lacustrine shale in the Dongpu Depression, Bohai Bay Basin, China: Implications for Es3 hydrocarbon exploration. J. Pet. Sci. Eng. 2020, 184, 106546. [Google Scholar] [CrossRef]
- Leng, Y.Y.; Qian, M.H.; Lu, K.; Xu, E.S.; Zhou, Y.S.; Bao, Y.J.; Li, Z.M.; Jiang, Q.G. Enrichment types and hydrocarbon composition characteristics of shale oil in the northern part of Dongpu Sag, Bohai Bay Basin: A case study of the third member of Paleogene Shahejie Formation of well Wen 410. Pet. Geol. Exp. 2022, 44, 1028–1036. (In Chinese) [Google Scholar]
- Huang, J.J.; Ji, Y.L.; Wang, G.W.; Chen, F.L.; Han, F.M. Sequence characteristics and genesis of the Eogene salt-bearing formation in Dongpu depression. Oil Gas Geol. 2007, 28, 479–484. (In Chinese) [Google Scholar] [CrossRef]
- Tang, L.; Song, Y.; Pang, X.; Jiang, Z.; Guo, Y.; Zhang, H.; Pan, Z.; Jiang, H. Effects of paleo sedimentary environment in saline lacustrine basin on organic matter accumulation and preservation: A case study from the Dongpu Depression, Bohai Bay Basin, China. J. Pet. Sci. Eng. 2020, 185, 106669. [Google Scholar] [CrossRef]
- Ji, Y.L.; Feng, J.H.; Wang, S.L.; Tan, Y.M.; Zhang, H.A.; Wang, D.R. Origin of Salt and Gypsum Rock in the Third Member of Shahe Jie Formation of Lower Tertiary in Dongpu Depression. Acta Sedimentol. Sin. 2005, 225–231. (In Chinese) [Google Scholar]
- Hu, T.; Pang, X.Q.; Jiang, F.J.; Wang, Q.F.; Xu, T.W.; Wu, G.Y.; Cai, Z.; Yu, J.W. Factors Controlling Differential Enrichment of Organic Matter in Saline Lacustrine Rift Basin: A case study of third member Shahejie Fm in Dongpu Depression. Acta Sedimentol. Sin. 2021, 39, 140–152. (In Chinese) [Google Scholar] [CrossRef]
- Sun, N.; Chen, T.; Gao, J.; Zhong, J.; Huo, Z.; Qu, J. Lithofacies and reservoir characteristics of saline lacustrine fine-grained sedimentary rocks in the northern Dongpu Sag, Bohai Bay Basin: Implications for shale oil exploration. J. Asian Earth Sci. 2023, 252, 105686. [Google Scholar] [CrossRef]
- Yang, S.; Yan, X.B.; Cai, L.X.; Liu, Z.P.; Hang, X.X. Parameter definition in resource calculation of a trap: A fault block example. Pet. Geol. Exp. 2015, 37, 530–534. (In Chinese) [Google Scholar] [CrossRef]
- Yang, S.; Yan, X.B.; Liu, Z.P.; Cai, L.X.; Ma, X.J. Resource calculation methods for multilayer traps: Case study of two-layer traps. Pet. Geol. Exp. 2016, 38, 698–702. (In Chinese) [Google Scholar] [CrossRef]
- Li, S.; Ji, H.; Wan, Z.; Pang, X.; Zhang, H.; Xu, T.; Zhou, Y. Geochemical characteristics and factors controlling the deep lithologic reservoirs in Puwei Sag, Dongpu Depression—A Case Study of Well PS20. J. Pet. Sci. Eng. 2021, 203, 108669. [Google Scholar] [CrossRef]
- Tan, Y.M.; Li, H.L.; Zhang, Y.X.; Xu, T.W.; Zhou, Y.S.; Gong, R.C. Analysis to high quality source rock characteristics and residual resource potential in Dongpu Sag in Paleogene. Fault-Block Oil Gas Field 2020, 27, 551–555+572. (In Chinese) [Google Scholar]
- Li, H.; Wang, B.H.; Lu, J.L.; Lu, K.; Wang, M.; Zhou, Y.; Zhao, L.J. Geological characteristics and exploration prospects of Paleogene continental shale oil accumulation in Dongpu Sag, Bohai Bay Basin. J. China Univ. Pet. (Ed. Nat. Sci.) 2021, 45, 33–41. (In Chinese) [Google Scholar]
- Guo, W.; Zhang, X.; Sun, Y.; Li, Q.; Liu, Z. Migration mechanism of pyrolysis oil during oil shale in situ pyrolysis exploitation. Energy 2023, 285, 128769. [Google Scholar] [CrossRef]
- Luor, D.C. A comparative assessment of data standardization on support vector machine for classification problems. Intell. Data Anal. 2015, 19, 529–546. [Google Scholar] [CrossRef]
- Hu, C.Y. Research on the Appliance Extent of “Source Control Theory” by Semi Quantitative Statistics Characteristics of Oil and Gas Migration Distance. Nat. Gas Ind. 2005, 25, 1–3. (In Chinese) [Google Scholar] [CrossRef]
- Xia, Q.L.; Pang, X.Q.; Jiang, F.J.; Ma, X.Z. Control of source rock on hydrocarbon accumulation and prediction of favorable plays in the Bozhong Depression of the Bohai Sea waters. Oil Gas Geol. 2009, 30, 398–404+411. (In Chinese) [Google Scholar]
- Pang, X.Q.; Yu, Q.H.; Guan, X.Y.; Li, S.M.; Jiang, F.J. Evolution and Movement of Source Kitchens and Their Control of Oil and Gas in the Tarim Cratonic Basin, China. Energy Explor. Exploit. 2012, 30, 239–272. [Google Scholar] [CrossRef]
- Pang, X.Q.; Huo, Z.P.; Fan, B.J.; Dong, Y.X.; Jiang, T. Control of source rocks on hydrocarbon accumulation and assessment of gas pools in the Nanpu Sag, Bohai Bay Basin. Nat. Gas Ind. 2014, 34, 28–36. (In Chinese) [Google Scholar]
- Rumelhart, D.E.; Hinton, G.E.; Williams, R.J. Learning representations by back-propagating errors. Nature 1986, 323, 533–536. [Google Scholar] [CrossRef]
- Song, S.; Xiong, X.; Wu, X.; Xue, Z. Modeling the SOFC by BP neural network algorithm. Int. J. Hydrogen Energy 2021, 46, 20065–20077. [Google Scholar] [CrossRef]
- Tian, J.; Liu, Y.; Zheng, W.; Yin, L. Smog prediction based on the deep belief—BP neural network model (DBN-BP). Urban Clim. 2022, 41, 101078. [Google Scholar] [CrossRef]
- Ma, X.Y.; Ma, X.J.; Wang, Z.; Song, S.; Sheng, Y. Investigation of changing SARA and fatigue properties of asphalt bitumen under ageing and analysis of their relation based upon the BP neural network. Constr. Build. Mater. 2023, 394, 132163. [Google Scholar] [CrossRef]
- Liu, Y.; Zhao, C.; Liang, H.; Lu, H.; Cui, N.; Bao, K. A rotor fault diagnosis method based on BP-Adaboost weighted by non-fuzzy solution coefficients. Measurement 2022, 196, 111280. [Google Scholar] [CrossRef]
- Yan, W.; Yang, D.; Zhang, Y.; Li, B. Twin-array capacitance sensor for multi-parameter measurement of gas-solid particle flow based on BP- Adaboost. Flow Meas. Instrum. 2023, 94, 102445. [Google Scholar] [CrossRef]
- Kotsiantis, S.B.; Kanellopoulos, D.; Zaharakis, I.D. Bagged Averaging of Regression Models. In IFIP International Federation for Information Processing; Springer: Boston, MA, USA, 2006; Volume 204. [Google Scholar] [CrossRef]
- Khwaja, A.S.; Naeem, M.; Anpalagan, A.; Venetsanopoulos, A.; Venkatesh, B. Improved short-term load forecasting using bagged neural networks. Electr. Power Syst. Res. 2015, 125, 109–115. [Google Scholar] [CrossRef]
- Ha, K.; Cho, S.; MacLachlan, D. Response models based on bagging neural networks. J. Interact. Mark. 2005, 19, 17–30. [Google Scholar] [CrossRef]
- Li, H.W.; Liu, J.N.; Yang, Y.; Lu, G.L.; Qiao, B.X. Coupling flow channel optimization and Bagging neural network to achieve performance prediction for proton exchange membrane fuel cells with varying imitated water-drop block channel. Int. J. Hydrogen Energy 2022, 47, 39987–40007. [Google Scholar] [CrossRef]
- Wan, T.; Tan, Y.M.; Su, H.; Wang, X.W.; Ni, J.F.; Liu, H.M.; Wan, J. Palaeogeomorphology of Middle Es3 Formation in Pucheng area of Dongpu depression and its relationship with sedimentary facies. Geol. China 2014, 41, 206–214. (In Chinese) [Google Scholar] [CrossRef]
- Li, X.; Zhang, J.; Xie, J.; Li, C.; Dai, Y.; Li, W.; Zhang, Y.; Li, S. Sedimentary and sequence-stratigraphic characteristics of the lower second submember, Shahejie formation, M1 block, Wenmingzhai oilfield, Dongpu depression, China. Arab. J. Geosci. 2015, 8, 5397–5406. [Google Scholar] [CrossRef]
- Breiman, L. Random Forests. Mach. Learn. 2001, 45, 5–32. [Google Scholar] [CrossRef]
- Kori, G.S.; Kakkasageri, M.S. Classification and Regression Tree (CART) based resource allocation scheme for Wireless Sensor Networks. Comput. Commun. 2023, 197, 242–254. [Google Scholar] [CrossRef]
- Subhashini, R.; Amudha, V. Evaluation of High Reliability in 5G Network using Novel SVM Comparison with LSVM To Improve Accuracy. In Proceedings of the 2023 Eighth International Conference on Science Technology Engineering and Mathematics (ICONSTEM), Chennai, India, 6–7 April 2023. [Google Scholar] [CrossRef]
- Mi, L.; Zhang, Z.; Pang, X.; Liu, J.; Zhang, B.; Zhao, Q.; Feng, X. Main controlling factors of hydrocarbon accumulation in Baiyun Sag at northern continental margin of South China Sea. Pet. Explor. Dev. 2018, 45, 963–973. (In Chinese) [Google Scholar] [CrossRef]
- Wang, F.; Chen, D.; Wang, Q.; Shi, X.; Xie, G.; Wang, Z.; Li, J.; Liao, W. Evolution characteristics of transtensional faults and their impacts on hydrocarbon migration and accumulation: A case study from the Huimin Depression, Bohai Bay Basin, eastern China. Mar. Pet. Geol. 2020, 120, 104507. [Google Scholar] [CrossRef]
- Perkins, J.R.; Fraser, A.J.; Muxworthy, A.R.; Neumaier, M.; Schenk, O. Basin and petroleum systems modelling to characterise multi-source hydrocarbon generation: A case study on the inner Moray Firth, UK North Sea. Mar. Pet. Geol. 2023, 151, 106180. [Google Scholar] [CrossRef]
- Li, W. Characteristics and exploration prospects of low-maturity oil reserves in the Bohai Bay Basin: A case study on the southern sag of the Liaoxi Depression. Unconv. Resour. 2022, 2, 116–123. [Google Scholar] [CrossRef]
- Marghani, M.M.A.; Zairi, M.; Radwan, A.E. Facies analysis, diagenesis, and petrophysical controls on the reservoir quality of the low porosity fluvial sandstone of the Nubian formation, east Sirt Basin, Libya: Insights into the role of fractures in fluid migration, fluid flow, and enhancing the permeability of low porous reservoirs. Mar. Pet. Geol. 2023, 147, 105986. [Google Scholar] [CrossRef]
- Li, C.; Zhang, L.; Luo, X.; Lei, Y.; Yu, L.; Cheng, M.; Wang, Y.; Wang, Z. Overpressure generation by disequilibrium compaction or hydrocarbon generation in the Paleocene Shahejie Formation in the Chezhen Depression: Insights from logging responses and basin modeling. Mar. Pet. Geol. 2021, 133, 105258. [Google Scholar] [CrossRef]



















| R2 | MAE | RMSE | |
|---|---|---|---|
| BP model | 0.64 | 10.98 | 25.81 |
| BP-AdaBoost model | 0.77 | 10.18 | 20.86 |
| BP-Bagging model | 0.73 | 8.19 | 24.14 |
| Model | Train | Validation | ||||
|---|---|---|---|---|---|---|
| R2 | MAE | RMSE | R2 | MAE | RMSE | |
| BP-AdaBoost | 0.99 | 0.92 | 1.63 | 0.88 | 6.22 | 11.63 |
| RF | 0.82 | 5.84 | 10.52 | 0.63 | 8.54 | 18.26 |
| CART | 0.86 | 4.34 | 7.88 | 0.53 | 10.67 | 21.48 |
| LSVM | 0.77 | 7.48 | 11.39 | 0.68 | 9.48 | 12.39 |
| LR | 0.80 | 6.28 | 9.37 | 0.72 | 10.74 | 14.73 |
Disclaimer/Publisher’s Note: The statements, opinions and data contained in all publications are solely those of the individual author(s) and contributor(s) and not of MDPI and/or the editor(s). MDPI and/or the editor(s) disclaim responsibility for any injury to people or property resulting from any ideas, methods, instructions or products referred to in the content. |
© 2025 by the authors. Licensee MDPI, Basel, Switzerland. This article is an open access article distributed under the terms and conditions of the Creative Commons Attribution (CC BY) license (https://creativecommons.org/licenses/by/4.0/).
Share and Cite
Yang, Z.; Chen, D.; Wang, Q.; Li, S.; Wang, F.; Chen, S.; Zhang, W.; Yao, D.; Wang, Y.; Wang, H. A Novel Method for Predicting Oil and Gas Resource Potential Based on Ensemble Learning BP-Neural Network: Application to Dongpu Depression, Bohai Bay Basin, China. Energies 2025, 18, 5562. https://doi.org/10.3390/en18215562
Yang Z, Chen D, Wang Q, Li S, Wang F, Chen S, Zhang W, Yao D, Wang Y, Wang H. A Novel Method for Predicting Oil and Gas Resource Potential Based on Ensemble Learning BP-Neural Network: Application to Dongpu Depression, Bohai Bay Basin, China. Energies. 2025; 18(21):5562. https://doi.org/10.3390/en18215562
Chicago/Turabian StyleYang, Zijie, Dongxia Chen, Qiaochu Wang, Sha Li, Fuwei Wang, Shumin Chen, Wanrong Zhang, Dongsheng Yao, Yuchao Wang, and Han Wang. 2025. "A Novel Method for Predicting Oil and Gas Resource Potential Based on Ensemble Learning BP-Neural Network: Application to Dongpu Depression, Bohai Bay Basin, China" Energies 18, no. 21: 5562. https://doi.org/10.3390/en18215562
APA StyleYang, Z., Chen, D., Wang, Q., Li, S., Wang, F., Chen, S., Zhang, W., Yao, D., Wang, Y., & Wang, H. (2025). A Novel Method for Predicting Oil and Gas Resource Potential Based on Ensemble Learning BP-Neural Network: Application to Dongpu Depression, Bohai Bay Basin, China. Energies, 18(21), 5562. https://doi.org/10.3390/en18215562
