Advanced Control Strategies for Enhancing the Performance of Phase-Shifted Full-Bridge Series Resonant DC–DC Converters in Photovoltaic Micro-Inverters
Abstract
1. Introduction
2. Phase-Shift Full-Bridge Series Resonant Converter
2.1. Converter Topology
2.2. Normal Operation Mode
2.2.1. SRC Mode
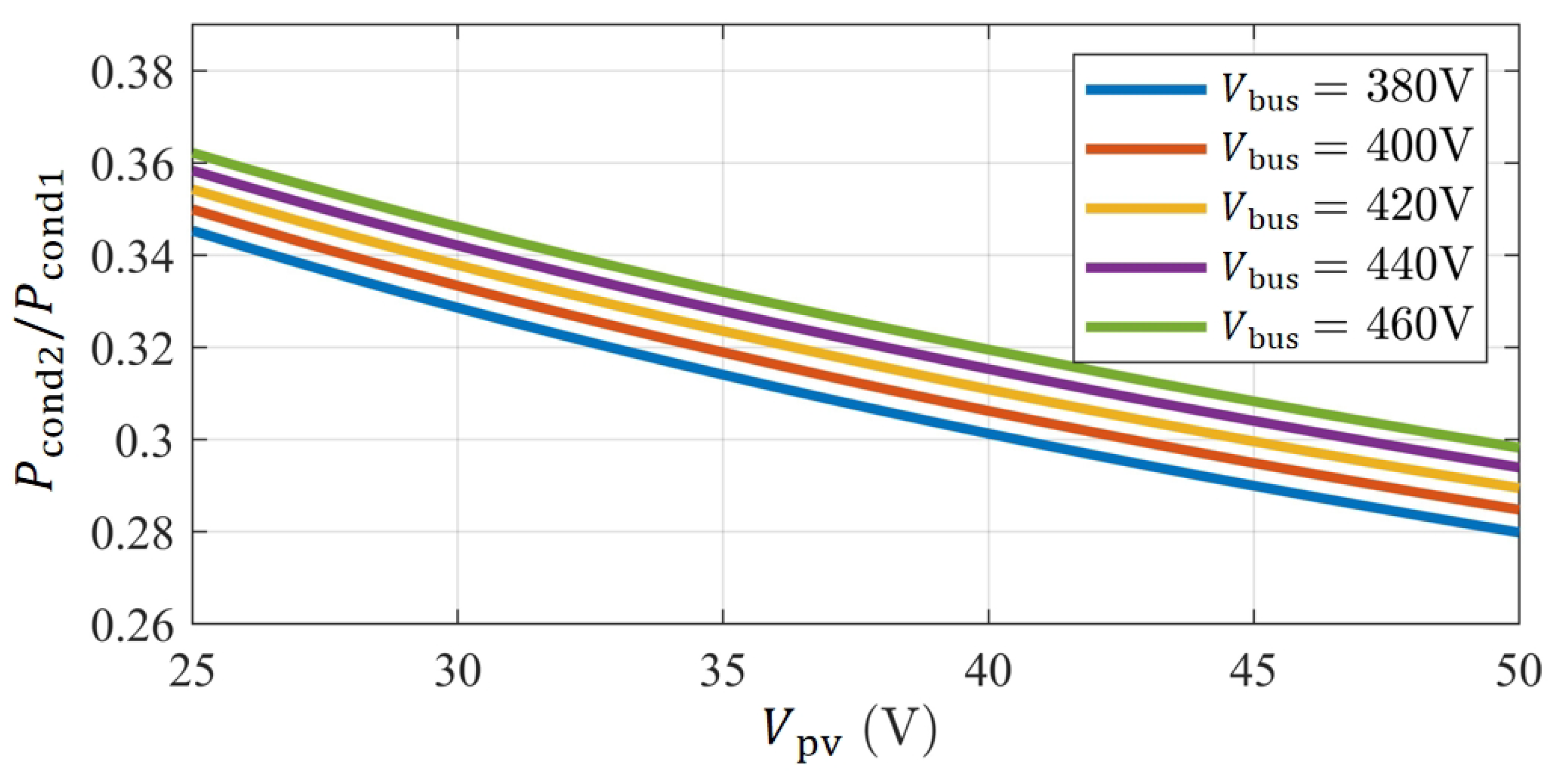
2.2.2. PSFB Mode
2.3. Output Gain
3. Light Load Performance Optimization
3.1. Typical Waveform and Output Characteristics
3.1.1. Mode with No Phase Shift
3.1.2. Mode with Phase Shift
3.2. Impact of the Phase Shift
4. Full Load Range Control Strategy
5. Experimental Results and Analysis
6. Conclusions
Author Contributions
Funding
Data Availability Statement
Conflicts of Interest
References
- Leuenberger, D.; Biela, J. PV-Module-Integrated AC Inverters (AC Modules) with Subpanel MPP Tracking. IEEE Trans. Power Electron. 2017, 32, 6105–6118. [Google Scholar] [CrossRef]
- Kjaer, S.B.; Pedersen, J.K.; Blaabjerg, F. A review of single-phase grid-connected inverters for photovoltaic modules. IEEE Trans. Ind. Appl. 2005, 41, 1292–1306. [Google Scholar] [CrossRef]
- Nayanasiri, D.R.; Vilathgamuwa, D.M.; Maskell, D.L. Half-Wave Cycloconverter-Based Photovoltaic Microinverter Topology with Phase-Shift Power Modulation. IEEE Trans. Power Electron. 2013, 28, 2700–2710. [Google Scholar] [CrossRef]
- Krishnaswami, H. Photovoltaic microinverter using single-stage isolated high-frequency link series resonant topology. In Proceedings of the 2011 IEEE Energy Conversion Congress and Exposition, Phoenix, AZ, USA, 17–22 September 2011; pp. 495–500. [Google Scholar]
- Kwon, O.; Kim, K.-S.; Kwon, B.-H. Highly Efficient Single-Stage DAB Microinverter Using a Novel Modulation Strategy to Minimize Reactive Power. IEEE J. Emerg. Sel. Top. Power Electron. 2022, 10, 544–552. [Google Scholar] [CrossRef]
- Yuan, J.; Blaabjerg, F.; Yang, Y.; Sangwongwanich, A.; Shen, Y. An Overview of Photovoltaic Microinverters: Topology, Efficiency, and Reliability. In Proceedings of the 2019 IEEE 13th International Conference on Compatibility, Power Electronics and Power Engineering (CPE-POWERENG), Sonderborg, Denmark, 23–25 April 2019; pp. 1–6. [Google Scholar]
- Qin, G.; Guo, Z.; Hao, C.; Zhang, Y.; Ma, H. Extended Range Efficiency Optimization Control of the Flyback based Micro Inverter. In Proceedings of the 2023 IEEE International Conference on Energy Internet (ICEI), Shenyang, China, 20–22 October 2023. [Google Scholar]
- Sha, D.; Zhang, D.; Zhang, J. A Single-Stage Dual-Active-Bridge AC–DC Converter Employing Mode Transition Based on Real-Time Calculation. IEEE Trans. Power Electron. 2021, 36, 10081–10088. [Google Scholar] [CrossRef]
- Yang, Q.; Yang, J.; Li, R. Analysis of Grid Current Distortion and Waveform Improvement Methods of Dual-Active-Bridge Microinverter. IEEE Trans. Power Electron. 2023, 38, 4345–4359. [Google Scholar] [CrossRef]
- Lee, W.-J.; Kim, C.-E.; Moon, G.-W.; Han, S.-K. A New Phase-Shifted Full-Bridge Converter with Voltage-Doubler-Type Rectifier for High-Efficiency PDP Sustaining Power Module. IEEE Trans. Ind. Electron. 2008, 55, 2450–2458. [Google Scholar]
- Jung, J.-H.; Kim, H.-S.; Ryu, M.-H.; Baek, J.-W. Design Methodology of Bidirectional CLLC Resonant Converter for High-Frequency Isolation of DC Distribution Systems. IEEE Trans. Power Electron. 2013, 28, 1741–1755. [Google Scholar] [CrossRef]
- Musavi, F.; Craciun, M.; Gautam, D.S.; Eberle, W.; Dunford, W.G. An LLC Resonant DC–DC Converter for Wide Output Voltage Range Battery Charging Applications. IEEE Trans. Power Electron. 2013, 28, 5437–5445. [Google Scholar] [CrossRef]
- Gudimetla, B.; Katiraei, F.; Agüero, J.R.; Enslin, J.H.R.; Alatrash, H. Integration of micro-scale photovoltaic distributed generation on power distribution systems: Dynamic analyses. In Proceedings of the PES TD 2012, Orlando, FL, USA, 7–10 May 2012; pp. 1–7. [Google Scholar]
- Lee, H.-S.; Yun, J.-J. Quasi-Resonant Voltage Doubler with Snubber Capacitor for Boost Half-Bridge DC–DC Converter in Photovoltaic Micro-Inverter. IEEE Trans. Power Electron. 2019, 34, 8377–8388. [Google Scholar] [CrossRef]
- Lee, S.-H.; Park, C.-Y.; Kwon, J.-M.; Kwon, B.-H. Hybrid-Type Full-Bridge DC/DC Converter with High Efficiency. IEEE Trans. Power Electron. 2015, 30, 4156–4164. [Google Scholar] [CrossRef]
- Lo, Y.-K.; Lin, C.-Y.; Hsieh, M.-T.; Lin, C.-Y. Phase-Shifted Full-Bridge Series-Resonant DC-DC Converters for Wide Load Variations. IEEE Trans. Ind. Electron. 2011, 58, 2572–2575. [Google Scholar] [CrossRef]
- Li, G.; Xia, J.; Wang, K.; Deng, Y.; He, X.; Wang, Y. Hybrid Modulation of Parallel-Series LLC Resonant Converter and Phase Shift Full-Bridge Converter for a Dual-Output DC–DC Converter. IEEE J. Emerg. Sel. Top. Power Electron. 2019, 7, 833–842. [Google Scholar] [CrossRef]
- Yadav, G.N.B.; Narasamma, N.L. An Active Soft Switched Phase-Shifted Full-Bridge DC–DC Converter: Analysis, Modeling, Design, and Implementation. IEEE Trans. Power Electron. 2014, 29, 4538–4550. [Google Scholar] [CrossRef]
- Shahabi, A.; Lemmon, A.N. Modeling of ZVS Transitions for Efficiency Optimization of the Phase-Shifted Full-Bridge Topology. IEEE J. Emerg. Sel. Top. Power Electron. 2020, 8, 529–544. [Google Scholar] [CrossRef]
- Weng, Z.; Cheng, Y.; Cheng, Y.; Weng, Z.; Ge, G.; Fang, J. Steady State Analysis and Simulation of Phase-shifting Full Bridge Series Resonant Converter. In Proceedings of the 2024 7th Asia Conference on Energy and Electrical Engineering (ACEEE), Chengdu, China, 20–22 July 2024; pp. 57–61. [Google Scholar]
- Di Capua, G.; Shirsavar, S.A.; Hallworth, M.A.; Femia, N. An Enhanced Model for Small-Signal Analysis of the Phase-Shifted Full-Bridge Converter. IEEE Trans. Power Electron. 2015, 30, 1567–1576. [Google Scholar] [CrossRef]
- Wang, S.-S.; Shi, Z.-H.; Ruan, J.-H. Small-Signal Modeling of Phase-Shift Full-Bridge Converter with Peak Current Mode Control. In Proceedings of the 2020 IEEE International Conference on Applied Superconductivity and Electromagnetic Devices (ASEMD), Tianjin, China, 16–18 October 2020; pp. 1–2. [Google Scholar]
- Mendoza-Varela, I.A.; Alvarez-Diazcomas, A.; Rodriguez-Resendiz, J.; Martinez-Prado, M.A. Modeling and Control of a Phase-Shifted Full-Bridge Converter for a LiFePO4 Battery Charger. Electronics 2021, 10, 2568. [Google Scholar] [CrossRef]
- Wei, R.; Hou, N.; Ding, L.; Li, W.; Li, Y.R. A Fast Dynamic Response Control Method for the Hybrid SRC-PSFB Converter with Partial Power Processing Property. In Proceedings of the 2023 IEEE Energy Conversion Congress and Exposition (ECCE), Nashville, TN, USA, 29 October–2 November 2023; pp. 3279–3283. [Google Scholar]
- Kim, S.; Kim, B.; Kwon, B.-H.; Kim, M. An Active Voltage-Doubler Rectifier Based Hybrid Resonant DC/DC Converter for Wide-Input-Range Thermoelectric Power Generation. IEEE Trans. Power Electron. 2018, 33, 9470–9481. [Google Scholar] [CrossRef]
- Liao, C.-Y.; Lin, W.-S.; Chen, Y.-M.; Chou, C.-Y. A PV Micro-inverter with PV Current Decoupling Strategy. IEEE Trans. Power Electron. 2017, 32, 6544–6557. [Google Scholar] [CrossRef]
- Le, N.T.; Benjapolakul, W. Comparative Electrical Energy Yield Performance of Micro-Inverter PV Systems Using a Machine Learning Approach Based on a Mixed-Effect Model of Real Datasets. IEEE Access 2019, 7, 175126–175134. [Google Scholar] [CrossRef]
- Yang, D.; Chen, C.; Duan, S.; Cai, J.; Xiao, L. A Variable Duty Cycle Soft Startup Strategy for LLC Series Resonant Converter Based on Optimal Current-Limiting Curve. IEEE Trans. Power Electron. 2016, 31, 7996–8006. [Google Scholar] [CrossRef]
- Zhao, X.; Chen, C.-W.; Lai, J.-S. A High-Efficiency Active-Boost-Rectifier-Based Converter with a Novel Double-Pulse Duty Cycle Modulation for PV to DC Microgrid Applications. IEEE Trans. Power Electron. 2019, 34, 7462–7473. [Google Scholar] [CrossRef]















| Parameters | Symbols | Value |
|---|---|---|
| Power Rating | 400 W | |
| PV Voltage range | 25–50 V | |
| Output (DC Bus) Voltage | 400 V | |
| Transformer Turn Ratios | 25:3 | |
| Leakage Inductance | 210 uH | |
| Resonant Capacitance | , | 15 nF |
| LC Network Resonant Frequency | 63.4 kHz | |
| Switching Frequency Range | 65–250 kHz | |
| Phase shift angle Range | 0–0.8 |
Disclaimer/Publisher’s Note: The statements, opinions and data contained in all publications are solely those of the individual author(s) and contributor(s) and not of MDPI and/or the editor(s). MDPI and/or the editor(s) disclaim responsibility for any injury to people or property resulting from any ideas, methods, instructions or products referred to in the content. |
© 2025 by the authors. Licensee MDPI, Basel, Switzerland. This article is an open access article distributed under the terms and conditions of the Creative Commons Attribution (CC BY) license (https://creativecommons.org/licenses/by/4.0/).
Share and Cite
Qin, G.; Ma, H.; Lei, J.; Hao, C. Advanced Control Strategies for Enhancing the Performance of Phase-Shifted Full-Bridge Series Resonant DC–DC Converters in Photovoltaic Micro-Inverters. Energies 2025, 18, 387. https://doi.org/10.3390/en18020387
Qin G, Ma H, Lei J, Hao C. Advanced Control Strategies for Enhancing the Performance of Phase-Shifted Full-Bridge Series Resonant DC–DC Converters in Photovoltaic Micro-Inverters. Energies. 2025; 18(2):387. https://doi.org/10.3390/en18020387
Chicago/Turabian StyleQin, Geng, Hui Ma, Jianhua Lei, and Chuantong Hao. 2025. "Advanced Control Strategies for Enhancing the Performance of Phase-Shifted Full-Bridge Series Resonant DC–DC Converters in Photovoltaic Micro-Inverters" Energies 18, no. 2: 387. https://doi.org/10.3390/en18020387
APA StyleQin, G., Ma, H., Lei, J., & Hao, C. (2025). Advanced Control Strategies for Enhancing the Performance of Phase-Shifted Full-Bridge Series Resonant DC–DC Converters in Photovoltaic Micro-Inverters. Energies, 18(2), 387. https://doi.org/10.3390/en18020387
