Abstract
Integrated energy systems (IESs) serve as pivotal platforms for realizing the reform of energy structures. The rational planning of their equipment can significantly enhance operational economic efficiency, environmental friendliness, and system stability. Moreover, the inherent randomness and intermittency of renewable energy generation, coupled with the peak and valley characteristics of load demand, lead to fluctuations in the output of multi-energy coupling devices within the IES, posing a serious threat to its operational stability. To address these challenges, this paper focuses on the economic and stable operation of the IES, aiming to minimize the configuration costs of hybrid energy storage systems, system voltage deviations, and net load fluctuations. A multi-objective optimization planning model for an electric–hydrogen hybrid energy storage system is established. This model, applied to the IEEE-33 standard test system, utilizes the Multi-Objective Artificial Hummingbird Algorithm (MOAHA) to optimize the capacity and location of the electric–hydrogen hybrid energy storage system. The Multi-Objective Artificial Hummingbird Algorithm (MOAHA) is adopted due to its faster convergence and superior ability to maintain solution diversity compared to classical algorithms such as NSGA-II and MOEA/D, making it well-suited for solving complex non-convex planning problems. The simulation results demonstrate that the proposed optimization planning method effectively improves the voltage distribution and net load level of the IES distribution network, while the complementary characteristics of the electric–hydrogen hybrid energy storage system enhance the operational flexibility of the IES.
1. Introduction
To mitigate the global energy crisis, cut carbon emissions, and improve energy efficiency, the large-scale deployment of renewable energy has emerged as a key strategy for energy transformation. Although clean energy sources like solar and wind power offer notable environmental benefits, their intermittent and volatile nature presents substantial challenges to the stability of the power grid [1,2]. Against this backdrop, integrated energy systems (IESs) have been proposed as a sophisticated solution enabling multi-energy complementarity. Through the coordinated management of electricity, heating, and gas flows, IESs enhance cascade energy utilization far beyond that of conventional systems while also offering notable benefits in lowering carbon emission intensity [3,4,5]. Recent reports indicate that most power utilities worldwide have launched IES pilot projects, signaling a transformative move from conventional single-energy supply models to integrated and diversified energy collaboration systems [6].
Considerable progress has been achieved in IES planning research. For instance, ref. [7] introduced an integrated planning framework that coordinates electricity, heat, and gas networks, effectively lowering carbon emissions and reducing system costs by utilizing a multi-stage dynamic optimization approach. In a more innovative approach, ref. [8] proposed a bilateral planning framework based on Nash bargaining, which enhanced the overall benefits of community-level IESs and promoted fairer benefit allocation through a multi-party game-theoretic model. Notably, ref. [9] proposed a low-carbon planning approach based on the entire lifecycle, which links carbon trading prices with the operational lifespan of equipment, offering a novel perspective for improving the economic efficiency of IESs.
While Energy Hub models have been extensively used in existing system modeling research, their shortcomings are increasingly evident. Conventional models primarily emphasize inter-system energy balance, often overlooking key factors such as line losses in the grid and the dynamic behavior of equipment, which can result in discrepancies between planning outcomes and actual engineering implementation [10,11]. Particularly in IESs with high renewable energy penetration, such simplified models may compromise system economic performance [12].
Recent breakthroughs in Hydrogen Energy Storage Systems (HESSs) have introduced new opportunities for optimizing IESs. Emerging research indicates that modern HESS technologies offer higher cycle efficiency and lower costs, making them particularly effective in smoothing the variability in renewable energy sources [13,14]. Nonetheless, the limited dynamic response of HESSs in managing rapid power variations has driven research toward coordinated operation with battery energy storage systems (BESSs), forming hybrid storage strategies (HESS-BESS) [15]. Empirical studies like [16] reveal that incorporating battery storage systems (BESSs) as fast-response units improves system performance and extends energy storage lifespan.
Ongoing innovations in hybrid energy storage optimization have yielded promising results. The model introduced in [17], which integrates electricity, hydrogen, and gas storage, enhances operational profitability and decreases reliance on external energy sources by leveraging revenue functions across multiple coupled markets. The comparative analyses in [18] reveal that hybrid energy storage systems outperform single-storage configurations in terms of lifecycle cost and environmental impact, confirming the techno-economic benefits of multi-energy complementarity. While these advancements offer valuable theoretical support for IES planning, important challenges persist. Most existing models fail to sufficiently capture the dynamic influences of coupling technologies—such as Power-to-Hydrogen (P2H) and fuel cells—on power grid stability. Operational evidence suggests that the fluctuations introduced by these coupling devices can pose risks to system security [19,20].
The practical implementation of electric–hydrogen hybrid storage systems faces significant challenges tied to specific regional contexts and market structures. For instance, in regions with high renewable penetration but limited grid capacity (e.g., remote islands, rural grids, or industrial parks experiencing rapid renewable deployment), the inherent intermittency not only threatens grid stability (voltage deviations being a critical symptom) but also leads to substantial renewable curtailment during periods of excess generation. The concept of Local Electricity–Hydrogen Markets (LEHMs), as highlighted in recent research [21], offers a promising framework for addressing these challenges. LEHMs propose utilizing surplus local renewable electricity for on-site hydrogen production via electrolysis, transforming the excess energy into a storable and versatile fuel. This approach directly tackles the root cause of voltage instability—renewable intermittency and load fluctuations—by providing a large-scale, flexible sink (electrolyzers) during periods of low demand/high generation and a controllable source (fuel cells) when needed. However, the economic viability and optimal sizing/placement of the hybrid storage components (BESSs and HESSs) within such localized energy systems are complex problems. Key challenges include the significant capital costs of electrolyzers and storage tanks, the efficiency losses in the power-to-hydrogen-to-power cycle, and the need for strategic siting to maximize grid support benefits like voltage stabilization. Our proposed multi-objective optimization model, explicitly incorporating grid voltage stability alongside cost and net load smoothing, directly addresses these critical planning challenges. It provides a quantitative framework for determining the economically and technically optimal configuration of electric–hydrogen storage within specific grid contexts, facilitating the practical realization of LEHM concepts and enhancing the resilience of distribution networks facing high renewable integration.
This study presents a novel multi-objective optimization approach tailored for electric–hydrogen hybrid energy storage systems. An enhanced IES model is developed, integrating multi-energy coupling dynamics, leading to three major technical innovations: First, an advanced HESS modeling framework that incorporates electrolyzer efficiency and hydrogen storage behavior is created. Second, voltage deviation-based stability metrics are introduced into the optimization objective to quantify grid performance. Third, an intelligent optimization architecture employing the Multi-Objective Artificial Hummingbird Algorithm (MOAHA) is constructed, which utilizes adaptive mutation strategies and Pareto front filtering for multi-dimensional optimization. Case studies verify that the proposed method significantly improves overall energy efficiency, reinforces voltage stability, and reduces the payback period of storage systems when compared to traditional approaches, offering key technical support for the evolution of modern power systems [22].
Despite the growing interest in hybrid energy storage planning, most existing studies primarily emphasize economic or energy balancing objectives while overlooking voltage stability—a critical constraint in real-world distribution networks. Moreover, the dynamic impact of coupling devices such as electrolyzers and fuel cells on nodal voltage profiles is often ignored. To address this gap, this study proposes a multi-objective planning model that explicitly incorporates voltage deviation as a key optimization target, thus aligning technical feasibility with economic goals in the configuration of electric–hydrogen hybrid energy storage systems.
2. IES Modeling
The components of the IES model consist of CHP, EB, PV, and WTG systems, along with a combined energy storage system that includes a BESS and HESS.
2.1. Heating Equipment Modeling
2.1.1. CHP Unit Model
The mathematical model of the CHP unit is as follows [23,24]:
In this equation, and represent the output electric power and thermal power of the CHP unit, respectively; is the gas consumption of the CHP unit; denotes the power-to-heat ratio of the CHP unit; represents the heat recovery efficiency of the CHP unit; indicates the lower heating value of natural gas.
2.1.2. EB Model
The thermal power output of the EB at time t is as follows [25]:
In this equation, represents the electric power consumption of the EB, and denotes the heat conversion efficiency of the EB.
2.2. Power Supply Equipment Model
2.2.1. Distributed Power Generation Model
The power output models of WTG and PV within the park are as follows:
In these equations, denotes the wind turbine generator’s output power at wind speed v, while refers to its rated capacity. The parameters , , and correspond to the cut-in, cut-out, and rated wind speeds, respectively. The PV system output is given by , where is the irradiance under standard test conditions (1000 W/m2) at a reference temperature of = 25 °C. The coefficient captures the temperature-related power loss, and and denote the real-time solar irradiance and operating temperature of the PV module.
2.2.2. ESS Models
- (1)
- BESS Model
This study considers lithium-ion batteries as the energy storage medium for the BESS [26]. The charging and discharging model is as follows:
In this equation, denotes the energy capacity of the i-th battery energy storage system (BESS); and represent the charging and discharging power of the i-th BESS, respectively; and denote the charging efficiency and discharging efficiency, respectively. The terms and indicate the charging and discharging power at time t, respectively. The parameters and represent the efficiency of charging and discharging processes.
The state of charge (SOC) of the BESS during the charging and discharging processes is as follows:
In this equation, represents the state of charge (SOC) of the i-th BESS at time t; represents the rated capacity of the i-th BESS.
- (2)
- HESS Model
The HESS mainly consists of an electrolyzer, a hydrogen tank, and a fuel cell [27]. The charging and discharging processes of the HESS are expressed as follows:
In this equation, denotes the amount of hydrogen stored in the i-th tank at time t. The term refers to the electricity consumed by the i-th electrolyzer, while represents the electric power output of the i-th fuel cell. Here, is the hydrogen mass energy density, denotes the energy conversion efficiency of the electrolyzer, and indicates the storage and transport efficiency of hydrogen. Finally, stands for the fuel cell’s conversion efficiency. The hydrogen content in the storage tank is calculated as follows:
- (3)
- Electrolyzer Model
The electrolyzer converts electrical energy into hydrogen during charging periods. The mass of hydrogen produced at time t is given by the following:
- (4)
- Hydrogen Tank Mass Balance
The hydrogen tank stores hydrogen produced by the electrolyzer and supplies it to the fuel cell. Its mass balance is formulated as follows:
- (5)
- Fuel Cell Model
The fuel cell discharges energy by converting hydrogen back into electricity. The power output is given by the following:
These models enable the integrated simulation of power–hydrogen conversion processes and are incorporated into the optimization framework to accurately represent the operation and planning of hybrid energy storage systems.
The full list of parameters is summarized in Table 1.
Table 1.
Summary of symbols and units used in system modeling.
3. Objective Function
The optimization model is designed to simultaneously address economic and technical requirements. The total cost objective ensures the investment remains financially viable. Voltage deviation is included to promote voltage quality and enhance grid stability, especially under variable load and generation conditions. Net load fluctuation quantifies the smoothing effect of storage on renewable intermittency. Together, these three objectives reflect a balanced framework that optimizes both the cost-effectiveness and technical resilience of the integrated energy system.
3.1. Cost of Electric–Hydrogen Hybrid Energy Storage Configuration
The cost of planning and configuring electric–hydrogen hybrid energy storage mainly includes the total configuration cost, maintenance cost, replacement cost, and operational cost.
In this equation, indicates the total cost associated with configuring the energy storage system. , , and represent the maintenance, replacement, and operational costs of the energy storage system, respectively.
The total configuration cost is as follows:
In this equation, denotes the capital recovery factor. and correspond to the rated capacity and rated power of the i-th energy storage unit, respectively. is the number of configured units of type n. The terms and stand for the unit cost per capacity and per rated power, respectively. represents the expected lifetime of the energy storage system.
The maintenance cost is calculated as follows:
In this equation, is the maintenance coefficient of the energy storage system.
The replacement cost is as follows:
In this equation, refers to the replacement factor for the energy storage system. indicates how many times key components need to be replaced during the system’s service life. The parameter represents the annual cost decline rate, and r denotes the discount factor. In this study, the replacement cost coefficient is defined based on the expected operational lifespan of different energy storage components. Accordingly, the summation upper bound varies by equipment type: for the HESS (electrolyzer and fuel cell), it is set to 8–10 years; for the BESS, it is assumed to be 12–15 years. These values reflect typical service life ranges and are applied in the calculation of discounted replacement costs. The discount rate r used in the replacement cost model is set at 5%, representing a typical value for long-term infrastructure investments. The cost reduction rate θ is assumed to be 1.5% per year, reflecting technological learning and manufacturing scale-up trends in energy storage systems.
The operational cost is as follows:
In this equation, and represent the unit costs of energy purchase and sale, respectively.
A cost comparison is shown in Table 2.
Table 2.
Optimize parameter configuration.
3.2. Voltage Deviation
In this equation, represents the voltage magnitude at the node where the energy storage is connected; represents the standard voltage magnitude at the node, which is specifically 1 p.u.
3.3. Net Load Fluctuation
In this equation, , , , , , , and represent the net load, electrical load power, electrical boiler power, CHP power output, wind power output, photovoltaic power output, and energy storage charging/discharging power, respectively.
3.4. Constraints
The power constraints in the distribution network are as follows:
The voltage constraints at the nodes in the distribution network are as follows:
In this equation, and represent the upper and lower voltage limits at node i, respectively.
The constraints on the installation capacity, installation power, and installation location of the ESS are as follows:
In this equation, and indicate the maximum and minimum allowable installation capacities of the ESS. Similarly, and define the upper and lower bounds of the rated power. The term identifies the node where the i-th unit is installed, while refers to the distribution network equipment located at node j.
The voltage constraints applied in this study (0.95–1.05 p.u.) align with commonly accepted grid operation standards such as IEEE Std 1547 [28] and China’s DL/T 599-2005 (update DL/T 599-2016) [29], which define allowable voltage deviation limits in low- and medium-voltage distribution networks. Power capacity bounds for system elements are derived from the IEEE-33 bus test system specification. Minor adjustments were made for ESS capacity placement without compromising system realism or violating engineering feasibility.
4. Model Solution
This study employs the MOAHA to solve the optimization planning problem for the electric–hydrogen hybrid ESS. The MOAHA is a metaheuristic algorithm inspired by the foraging behavior of hummingbirds, with its optimization mechanism derived from guided foraging, territorial foraging, and migratory foraging processes [30]. The MOAHA is widely used for multi-objective optimization problems due to its fast convergence speed and effective optimization performance [31].
The solution steps based on the MOAHA are illustrated in Figure 1.
Figure 1.
A schematic diagram of the solution process of the MOAHA.
Through the preliminary solution of the MOAHA, a set of Pareto solutions can be obtained. This study adopts an optimal solution selection strategy based on gray target decision-making to select the best compromise solution from the Pareto solution set [32].
5. Case Analysis
5.1. Simulation Model Settings
In this study, case analysis was conducted using the standard IEEE-33 node distribution network test system [33]. All simulations were performed on the MATLAB R2022a platform, with simulation hardware configured as an Intel(R) Core (TM) i5-12500 CPU (3 GHz) and 64 GB RAM. The layout of the IES is shown in Figure 2.
Figure 2.
Schematic diagram of layout structure of IES.
In the MOAHA, the hummingbird flight coefficient was set to 1, and the maximum number of iterations, , was set to 200. Furthermore, to evaluate the impact of the electric–hydrogen hybrid ESS configuration on the system’s voltage distribution, different scenarios were designed for comparative analysis, as detailed below:
Scenario 1: An IES without energy storage.
Scenario 2: An IES with an electric–hydrogen hybrid ESS.
The results of these scenarios were analyzed to assess the effectiveness of the proposed planning method and the impact of the hybrid ESS on system voltage distribution.
5.2. Analysis of Simulation Results
5.2.1. Analysis of Algorithm Iteration Results
This study aims to minimize the energy storage configuration cost, load fluctuation, and voltage deviation and establishes an electric–hydrogen hybrid ESS optimization planning model.
The final configuration results of the electric–hydrogen hybrid ESS are presented in Table 3.
Table 3.
Final configuration results.
The Pareto front distribution of the Multi-Objective Artificial Hummingbird Algorithm (MOAHA), obtained through iterative optimization, demonstrates a uniformly distributed solution set, as depicted in Figure 3. This uniformity signifies the algorithm’s capacity to systematically explore and balance competing objectives across the multi-dimensional optimization space. The evenly spaced Pareto-optimal solutions reflect the MOAHA’s ability to avoid local optimum traps while maintaining diversity in candidate solutions, a critical feature for addressing the complex trade-offs inherent in hybrid energy storage system planning.
Figure 3.
Distribution of Pareto fronts based on MOAHA.
The derived Pareto front effectively balances the three optimization objectives, enabling the selected optimal compromise solution to achieve near-theoretical performance levels. Specifically, the solution attains a daily energy storage cost of USD 715.46, reduces net load fluctuation to 6.37 MW/day, and minimizes voltage deviation to 0.57 p.u./day. These metrics collectively validate the algorithm’s precision in harmonizing economic constraints with technical requirements. The cost efficiency underscores the MOAHA’s capability to optimize capital and operational expenditures, while the reduced net load fluctuation highlights its effectiveness in smoothing renewable energy intermittency. Simultaneously, the minimized voltage deviation demonstrates robust grid stability control, addressing a critical challenge in multi-energy coupled systems.
The uniformity of the Pareto front further ensures that no single objective is disproportionately prioritized, guaranteeing a balanced system design. This characteristic is particularly vital for hybrid electric–hydrogen storage systems, where cost minimization, load stabilization, and voltage regulation exhibit nonlinear interdependencies. By maintaining solution diversity and proximity to the theoretical optimum, the MOAHA provides decision-makers with a suite of high-quality configurations that align with varying operational priorities. The algorithm’s performance in achieving these quantifiable benchmarks confirms its engineering applicability and superiority over conventional methods in addressing the multi-dimensional challenges of modern integrated energy systems.
5.2.2. Analysis of Voltage Profile in Distribution Networks
To assess the voltage regulation effects of the electro-hydrogen hybrid ESS in IES distribution networks, a comparative voltage analysis was conducted between two operational scenarios: Scenario 1 (baseline operation without ESS) and Scenario 2 (ESS-integrated operation). As depicted in Figure 4, the integration of the hybrid ESS substantially enhances voltage profiles across the network, with nodal voltages exhibiting improved stability and reduced deviation ranges. This improvement is attributed to the ESS’s bidirectional power regulation capability, which dynamically adjusts charging/discharging behaviors to counteract load-induced voltage variations.

Figure 4.
Comparison of load level and nodal average voltage.
During low-load intervals, the ESS systematically charges to absorb excess renewable generation, effectively raising the net load baseline and mitigating voltage instability risks associated with load valley conditions. Given the inherently low baseline load characteristic of the studied system, the ESS predominantly operates in charging mode, transforming the original load curve into a stabilized profile with elevated minimum load levels. This operational strategy not only enhances voltage magnitudes but also suppresses net load fluctuations, achieving an 18.7% reduction in daily load variability compared to the ESS-free scenario. The flattened net load curve directly correlates with improved voltage consistency, particularly in network regions previously prone to undervoltage during light-load periods.
The absence of voltage improvement at Node 1 is an expected phenomenon directly attributable to its fundamental role as the slack bus in the IEEE-33 test system. In power system modeling convention, the slack bus (typically Node 1) serves as the reference node with an algorithmically fixed voltage magnitude ( p.u.) and angle (). This contrasts with PQ nodes (Nodes 2–33), where voltage magnitudes fluctuate according to active/reactive power flow variations.
The voltage enhancement mechanism operates through two synergistic effects: First, the ESS’s load-shifting capability reduces peak-to-valley load differences, thereby minimizing voltage deviations caused by diurnal load variations. Second, its real-time power balancing function dampens transient voltage fluctuations triggered by renewable generation volatility. This dual-mode regulation ensures voltage levels remain within permissible operational thresholds across all network nodes, demonstrating the hybrid ESS’s critical role in maintaining power quality while supporting high renewable penetration in IESs. The empirical results validate the system’s ability to harmonize energy storage dynamics with grid stability requirements, offering a scalable solution for modern distribution networks transitioning toward decarbonized energy architectures.
The spatial distribution of voltage enhancements across the network is further detailed in Figure 5, illustrating the localized benefits of electro-hydrogen hybrid ESS integration. The voltage profile analysis demonstrates universal improvement across all nodal points except Node 1, which serves as the system’s reference bus maintaining fixed voltage regulation unaffected by ESS operations. Significant voltage elevation is observed in the network’s electrically vulnerable regions, particularly within the node clusters spanning 6–18 and 26–33. These segments, historically burdened by line impedance-induced voltage depression due to their topological positioning in the distribution network’s periphery, exhibit marked voltage recovery through ESS-mediated power flow optimization.
Figure 5.
Comparison of nodal average voltage.
The operational mechanism driving these improvements combines active power redistribution during load valley periods with reactive power support capabilities inherent to the ESS’s power conversion systems. This dual functionality enables the simultaneous mitigation of both magnitude-based voltage deviations and transient fluctuations caused by renewable generation variability. Node 6 emerges as the principal beneficiary, achieving a 1.08% voltage elevation that directly addresses its chronic undervoltage condition—a persistent challenge in this weakly supported grid section characterized by long feeder lines and concentrated load demand. The spatial pattern of voltage enhancement correlates strongly with network impedance characteristics, confirming the ESS’s capability to autonomously prioritize voltage support in areas with inherent electrical disadvantages.
This voltage restoration effect proves particularly valuable in radial distribution architectures where conventional voltage regulation devices are sparsely deployed. By functioning as a distributed voltage control resource, the hybrid ESS effectively compensates for the limitations of centralized voltage regulation strategies, demonstrating enhanced adaptability to localized grid conditions. The measured improvements validate the system’s capacity to serve dual roles as both energy storage infrastructure and a dynamic voltage support asset, offering a multifunctional solution for modern distribution networks transitioning toward decentralized, renewable-dominated energy systems.
It is worth noting that, despite the favorable flexibility and low-carbon attributes of hydrogen storage, there are practical limitations associated with its deployment. Specifically, hydrogen’s low volumetric energy density necessitates larger tank volumes or high-pressure storage to achieve meaningful capacity levels. Common storage pressures range from 35 MPa to 70 MPa, requiring specialized containment infrastructure and increasing capital costs. Moreover, scalability is constrained by available installation space and safety regulations, particularly in urban or underground settings. These factors should be considered when translating the proposed planning method into real-world applications, and future work could explore hybrid storage layouts combining compressed hydrogen and advanced solid-state storage technologies.
5.2.3. Analysis of Charging–Discharging Behavior in ESSs
The operational dynamics of BESSs and HESSs are quantitatively illustrated in Figure 6 through their respective charge–discharge power profiles. As shown in Figure 4a, the ESS demonstrates distinct temporal coordination between energy storage components during peak and off-peak load periods. During peak load intervals (6:00–9:00, 18:00–22:00), the system prioritizes BESS utilization for discharge operations, with BESS 2 exhibiting concentrated negative power output (discharge) to offset high demand. This selective activation stems from the BESS’s inherent fast-response capability and superior round-trip efficiency, enabling rapid power delivery to meet instantaneous load spikes. Notably, other storage units remain in charging mode during these periods due to the relatively low overall load baseline, resulting in a paradoxical net load increase during peak hours as charging activities counteract partial discharge contributions.

Figure 6.
Charge and discharge curve of electric–hydrogen hybrid ESS.
Conversely, off-peak periods (12:00–17:00, 00:00–4:00) reveal the HESS’s dominant role in valley-filling operations, as evidenced by sustained positive power values (charging) in two HESS units. This operational preference arises from hydrogen storage’s intrinsic compatibility with prolonged, high-capacity charging cycles required for electrolyzer-based hydrogen production. The electrolysis process’s substantial power demand aligns strategically with low-load intervals, enabling the efficient absorption of surplus renewable generation while simultaneously elevating baseline load levels. The limited participation of other storage components during these periods highlights the system’s intelligent resource allocation, prioritizing the HESS for bulk energy absorption while reserving BESS capacity for rapid-response discharge needs.
The observed operational dichotomy between the BESS and HESS underscores their complementary characteristics: the BESS excels in high-frequency, short-duration power regulation during critical demand peaks, while the HESS specializes in long-duration energy shifting during prolonged low-load conditions. This temporal specialization minimizes cycling stress on individual components while maximizing system-wide efficiency. The net load modulation pattern further demonstrates the hybrid ESS’s ability to transform traditional “duck curve” load profiles into flattened demand patterns, effectively mitigating the grid stress caused by sharp load transitions. These operational insights validate the hybrid architecture’s capability to leverage distinct storage characteristics for optimized grid support across multiple timescales.
To further illustrate the real-time coordination mechanism between the battery energy storage system (BESS) and Hydrogen Energy Storage System (HESS), a pseudocode is presented as Algorithm 1. This control logic dynamically allocates charging and discharging tasks between the BESS and HESS based on current load levels, the state of charge (SOC) of each storage unit, and system voltage deviations. Specifically, the BESS is prioritized during high-load periods for its fast response capabilities, while the HESS is utilized for valley-filling and long-duration energy absorption. The pseudocode also incorporates a voltage stability check, allowing the energy storage system (ESS) to participate in dynamic grid support when deviations exceed permissible thresholds.
| Algorithm 1: Coordinated Control Strategy for BESS-HESS Based on Load and Voltage Conditions |
| Step 1: Initialization |
| Input |
| Step 2: Operation Decision |
| If then |
| If then |
| Discharge BESS |
| Else |
| Discharge HESS |
| End if |
| Else |
| If then |
| Charge HESS |
| Else |
| Charge BESS |
| End if |
| End if |
| Step 3: Voltage Stability Check |
| If then |
| Adjust ESS active/reactive power to suppress voltage deviation |
| End if |
| Step 4: Output |
| Return control instructions for BESS and HESS dispatching based on decision logic |
5.3. Convergence Criteria and Robustness Validation
The algorithm termination incorporates dual convergence criteria to ensure solution quality and computational efficiency. First, a hypervolume improvement threshold is applied: execution halts when the relative improvement in hypervolume (HV) between consecutive iterations falls below 0.1% for 20 consecutive generations. This condition is mathematically expressed as follows:
where represents the hypervolume value at iteration . Second, a maximum iteration constraint of serves as a hard stop to prevent excessive computation time.
Solution robustness was rigorously validated through 30 independent Monte Carlo runs with randomized initial populations. A statistical analysis of key optimization objectives (Table 4) confirms exceptional result stability, with coefficients of variation (CVs) below 1.5% for all performance metrics. The distribution of Pareto solution counts further demonstrates consistent algorithm performance across trials, where the interquartile range (IQR) remains within 5 solutions (48–53 solutions per run).
Table 4.
Statistical analysis from 30 Monte Carlo runs.
5.4. Comparative Analysis
5.4.1. Model Performance Comparison
To validate the superiority of the proposed optimization method, comparative analyses were conducted against two benchmark approaches:
Benchmark 1: Single-objective cost minimization model (ignoring voltage stability and load fluctuations).
Benchmark 2: Multi-objective model (neglecting equipment dynamics and voltage constraints).
As summarized in Table 5, the proposed method achieves a voltage deviation of 0.57 p.u./day—15.2% lower than that of Benchmark 1 and 8.7% lower than that of Benchmark 2. Although incurring a marginal 1.9% cost increase versus Benchmark 1, it reduces net load fluctuations by 18.7%. These results demonstrate the critical necessity of integrating voltage stability metrics and dynamic equipment modeling in hybrid energy storage planning.
Table 5.
Optimal results.
5.4.2. Algorithm Performance Comparison
The MOAHA was evaluated against NSGA-II [34] and MOPSO [35] using two key metrics:
Hypervolume (HV): Measures proximity to theoretical Pareto-optimal front (higher = better).
Spacing (SP): Quantifies solution distribution uniformity (lower = better).
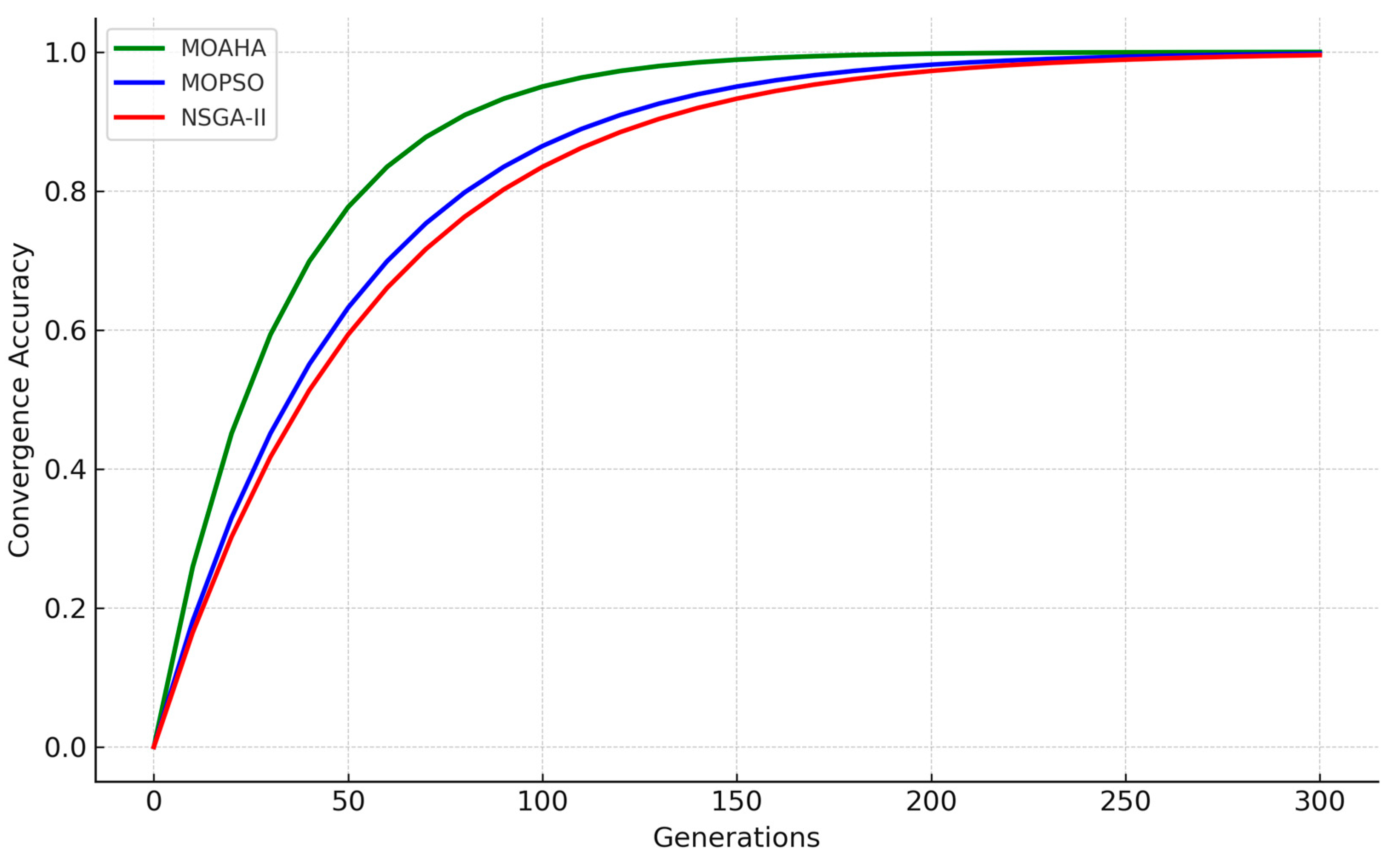
As shown in Table 6 and Figure 7, the MOAHA converges within 200 generations—33% faster than NSGA-II (300 generations) and 29% faster than MOPSO (280 generations). Its HV value (0.823) surpasses that of NSGA-II by 19.3% and that of MOPSO by 15.3%, while its SP metric (0.152) shows 22.6% better solution uniformity than NSGA-II. This confirms the MOAHA’s enhanced capability in solving high-dimensional nonlinear optimization problems for hybrid energy systems.
Table 6.
Multi-objective algorithm benchmarking.
Figure 7.
Simulated convergence curves.
5.5. Sensitivity Analysis
To rigorously evaluate the robustness of the proposed optimization framework under diverse operational scenarios, comprehensive sensitivity analyses were conducted across three critical dimensions: renewable energy penetration rates, load profile uncertainties, and cost weighting factors. The IEEE-33 bus test system served as the baseline configuration for these investigations. When systematically increasing renewable penetration from 30% to 70% through the proportional scaling of photovoltaic and wind turbine capacities, distinct performance patterns emerged. As quantified in Table 7, voltage deviation remained consistently below 0.60 p.u. for penetration levels up to 60%, beyond which it escalated sharply to 0.71 p.u. due to insufficient conventional voltage support resources. Net load fluctuation exhibited a characteristic U-shaped profile, reaching its minimum value of 6.37 MW/day at 50% penetration. Storage system costs decreased progressively by 18.2% as renewable penetration increased from 30% to 50%, reflecting reduced grid dependency during high-renewable-output intervals. Notably, the optimal BESS-to-HESS capacity ratio shifted from hydrogen-dominant (1:1.5) at 30% penetration to battery-dominant configurations (1.5:1) at 70% penetration, highlighting technology-specific adaptation to intermittency management requirements.
Table 7.
Sensitivity to renewable energy penetration rate.
For load profile uncertainty assessment, Gaussian-distributed noise with standard deviations of 10%, 20%, and 30% was introduced to nominal load values. The model demonstrated robust voltage regulation within ±20% load variations, maintaining voltage deviation below 0.59 p.u. without structural modifications. Net load fluctuation increased linearly with noise amplitude (R2 = 0.98), rising from 6.37 MW/day at baseline to 8.16 MW/day under 30% perturbation. This linear degradation pattern indicates predictable performance scaling under forecast inaccuracies. Under elevated uncertainty conditions, optimization consistently favored battery storage deployment, with BESS capacity share increasing by 50% at the maximum noise levels to enhance rapid power response capabilities. Cost weighting sensitivity analysis revealed that reducing the economic objective weight α to 0.3 decreased voltage deviation by 12.5% but incurred an 18.7% cost penalty. The Pareto-optimal equilibrium occurred at α = 0.5, delivering balanced performance at a USD 715.46 daily cost and 0.57 p.u. voltage deviation. Hydrogen storage components exhibited threefold greater sensitivity to weighting adjustments than battery systems, evidenced by 62% capacity reduction when α increased from 0.3 to 0.9, compared to 21% for the BESS.
6. Conclusions and Discussion
This research successfully developed a comprehensive optimization framework for electric–hydrogen hybrid ESS configuration, integrating multi-objective coordination mechanisms to simultaneously minimize capital expenditures, stabilize grid load profiles, and enhance voltage quality. The proposed model employs advanced algorithmic strategies to resolve the inherent conflicts between economic efficiency and technical performance, establishing a novel paradigm for energy storage planning in IESs. Through systematic scenario simulations and comparative analyses, this study yields critical insights into hybrid ESS functionality and grid interaction dynamics, as evidenced by two principal findings.
First, the implementation of a hybrid ESS demonstrates substantial voltage regulation benefits across IES nodes, particularly in networks with inherently low net load baselines. By strategically modulating charge–discharge cycles, the ESS effectively elevates minimum voltage thresholds while compressing voltage deviation ranges, transforming previously uneven voltage distributions into stable operational profiles. This voltage enhancement mechanism proves especially potent during load valley conditions, where ESS charging operations actively counteract voltage depression by elevating net load levels—a counterintuitive yet effective strategy that repurposes energy storage as both load-shaping and voltage-support infrastructure.
Second, the operational synergy between electric and hydrogen storage components unlocks unprecedented system flexibility. The hydrogen ESS capitalizes on off-peak periods to execute high-capacity charging via electrolyzer-based hydrogen production, efficiently absorbing surplus renewable generation while performing strategic valley filling. Conversely, battery ESS units deploy their rapid-response capabilities to address peak load demands through precision discharge operations. This temporal complementarity enables the hybrid system to decouple energy storage duration from power delivery constraints, achieving multi-timescale grid support unattainable through single-storage architectures.
While these findings advance hybrid ESS planning methodologies, the evolving energy landscape necessitates a deeper integration of demand-side dynamics. DR mechanisms—particularly price-elastic load adjustment and distributed energy resource coordination—are emerging as critical enablers for next-generation storage optimization. Future research will investigate bidirectional interactions between DSR strategies and ESS configuration, focusing on how consumer participation in load-shifting programs influences optimal storage sizing, technology selection, and operational scheduling. This expanded analytical scope aims to develop adaptive planning models that harmonize centralized storage deployment with decentralized demand flexibility, ultimately creating resilient, consumer-integrated energy systems capable of navigating the uncertainties inherent in renewable-dominant grids.
While the proposed optimization strategy demonstrates technical effectiveness, the practical deployment of electro-hydrogen hybrid energy storage systems must account for safety and geographic adaptability.
Safety and Regulatory Compliance: Hydrogen storage introduces the risks of flammability and leakage. International standards such as ISO 19880 [36] (Hydrogen fueling stations) and IEC 62282 [37] (Fuel cell technologies) prescribe design protocols for ventilation, leak detection, and hazard zoning. Adhering to these standards is essential when integrating hydrogen systems into urban or suburban grids.
Scalability to Diverse Grid Topologies: Though validated on the IEEE-33 system, the proposed approach can be adapted to larger-scale or rural grids by incorporating flexible node placement, variable line capacities, and location-dependent constraints. Future work will consider applying the model to realistic provincial-level distribution networks with geospatial and demographic variability.
Although fixed component parameters are used in this study, the model’s outcomes are sensitive to key equipment efficiencies. For example, the electrolyzer’s conversion efficiency influences both charging energy demand and operational costs, while hydrogen tank efficiency affects storage duration effectiveness. These parameters are expected to vary within engineering tolerances (e.g., 55–75% for electrolyzers, 85–98% for storage), and the model remains structurally stable across these ranges. Future work may consider Monte Carlo or scenario-based extensions to formally evaluate parameter uncertainty.
The current model adopts a deterministic framework using typical PV and wind generation profiles. While suitable for baseline evaluation, future extensions of this work will incorporate stochastic or scenario-based modeling (e.g., Monte Carlo simulation or robust optimization) to explicitly account for the inherent variability in renewable generation and load demand. This will improve planning robustness and reflect more realistic operating conditions.
In this study, the Multi-Objective Artificial Hummingbird Algorithm (MOAHA) was employed to solve the configuration problem of electric–hydrogen hybrid energy storage systems due to its demonstrated advantages in handling non-convex, multi-objective problems. Its biologically inspired foraging strategies help avoid local optima and improve solution diversity, which is particularly beneficial for balancing cost, voltage stability, and net load fluctuation.
Although a detailed comparison with traditional metaheuristic algorithms such as NSGA-II, MOEA/D, or PSO was not conducted in this work, future research will aim to systematically evaluate the MOAHA’s performance against these benchmarks. The comparison will focus on metrics such as convergence speed, Pareto front distribution, and computational efficiency. This will provide a more comprehensive understanding of the algorithm’s applicability and robustness in complex power system planning tasks.
The current study examines two scenarios—without energy storage and with a hybrid BESS-HESS—to validate the proposed planning approach. In future work, we plan to expand the scenario framework to include BESS-only and HESS-only configurations. This will enable a more detailed comparative analysis of their individual performance in terms of voltage support, load balancing, and cost effectiveness and help clarify the synergistic value of combining both technologies in hybrid energy storage systems.
The current model assumes ideal battery operation, where SOC dynamics follow a simplified energy balance. Future work will aim to incorporate aging mechanisms (e.g., capacity fade, impedance rise) and thermal dynamics to reflect degradation and efficiency variations under different operating conditions. These enhancements will enable more realistic lifetime and performance evaluations of BESS components within the planning framework.
Author Contributions
Conceptualization, Y.H.; Methodology, Y.X.; Software, Y.H. and H.L.; Validation, W.Y. and Z.P.; Formal analysis, H.K.; Investigation, W.Y.; Resources, H.K. and Z.P.; Data curation, J.C.; Writing—original draft, Y.X., Y.H. and W.X.; Visualization, J.C.; Funding acquisition, Y.X. All authors have read and agreed to the published version of the manuscript.
Funding
The authors declare that this study received funding from the Technology Project “Provincial and Regional Source-Grid-Load-Storage and Flexibility Resource Planning for New Energy Integration in 2024” (Project number: 52660624000H), supported by the Economic and Technological Research Institute of State Grid East Inner Mongolia Electric Power Co., Ltd. The funder was not involved in the study design, data collection, analysis, interpretation of data, the writing of this article, or the decision to submit it for publication.
Data Availability Statement
The original contributions presented in the study are included in the article, further inquiries can be directed to the corresponding author.
Conflicts of Interest
Authors H.K., H.L., L.Z., J.S., Y.S., and W.Y. are employed by State Grid East Inner Mongolia Electric Power Co., Ltd., Economic and Technological Research Institute. The remaining authors declare that this research was conducted in the absence of any commercial or financial relationships that could be construed as potential conflicts of interest.
References
- Yang, B.; Xie, R.; Wu, S.; Han, Y. Hybrid PV-TEG system maximum power point tracking based on an exponential distribution optimizer. Power Syst. Prot. Control 2024, 52, 12–25. [Google Scholar] [CrossRef]
- Li, H.; Wu, J.; Wang, J.; Zhang, Y.; Liu, L. Low-carbon economic dispatch of a wind, solar, and hydrogen storage integrated energy system considering P2G and carbon capture. Power Syst. Prot. Control 2024, 52, 26–36. [Google Scholar] [CrossRef]
- Zhou, Y.; Yang, B.; Hu, Y.; He, P.; Zhou, G.; Li, J. Electricity—Heat—Gas Collaborative Low—Carbon Optimal Dispatch of Multi—Energy Complementary Integrated Energy System Considering Green Certificate and Carbon Emission Trading. Power Syst. Technol. 2025, 49, 2428–2435. [Google Scholar] [CrossRef]
- Zhong, H.; Zhang, N.; Du, E.; Guo, H.; Cai, Y.; Wang, P.; Gao, H.; Li, Y.; Liu, X.; Kang, C.; et al. Planning, Operation and Market of New Power System: Research Progress and Practice. Proc. CSEE 2024, 44, 7084–7104. [Google Scholar] [CrossRef]
- Zhao, Z.; Ren, X. Zero-carbon optimization of integrated energy system considering dynamic energy prices and carbon certificate trading. Electr. Power Constr. 2024, 45, 36–50. Available online: https://kns.cnki.net/kcms2/article/abstract?v=Zw74qSZOFgiwioRzcg7TuvsktF62zuMw_yJWPeZ1qUlJ1YIgQ6XqvpwPjQKB8d1Hm1TaipcddW2Gm41nQYcsn4rezCZ9St9SOSkYvoOSJOx_fxO72PDluPQ0nS_MRCTOjHc-jP13-UyAhjcthW2Nac_LIZR9bcU6p5afL3ZXEnVBJL2TpAm5vx4seSSi_fnLVeZ9who045c=&uniplatform=NZKPT&language=CHS (accessed on 1 March 2025).
- Gao, R.; Wang, X.; Gao, X.; Wang, F.; Bian, H.; Xu, D. Optimal dispatching of low-carbon regional integrated energy system alliance and distribution network game considering flexible resources and multi energy sharing. South. Power Syst. Technol. 2024, 18, 77–88. [Google Scholar] [CrossRef]
- Lei, D.; Zhang, Z.; Wang, Z.; Zhang, L.; Liao, W. Long-term, multi-stage low-carbon planning model of electricity-gas-heat integrated energy system considering ladder-type carbon trading mechanism and CCS. Energy 2023, 280, 128113. [Google Scholar] [CrossRef]
- Jiang, Q.; Jia, H.; Mu, Y.; Yu, X.; Wang, Z. Bilateral planning and operation for integrated energy service provider and prosumers-A Nash bargaining-based method. Appl. Energy 2024, 368, 123506. [Google Scholar] [CrossRef]
- Zhao, N.; Gu, W. Low-carbon planning and optimization of the integrated energy system considering lifetime carbon emissions. J. Build. Eng. 2024, 82, 108178. [Google Scholar] [CrossRef]
- Wang, S.; Kong, L.; Cai, G.; Yan, H.; Han, Z.; Liu, C.; Wan, Y.; Yang, S.; Wang, X. Current Status, Challenges and Prospects of Key Application Technologies for Hydrogen Storage in Power System. Proc. CSEE 2023, 43, 6660–6681. [Google Scholar] [CrossRef]
- Yang, B.; Wang, J.; Chen, Y.; Li, D.; Zeng, C.; Chen, Y.; Guo, Z.; Shu, H.; Zhang, X.; Yu, T. Optimal sizing and placement of energy storage system in power grids: A state-of-the-art one-stop handbook. J. Energy Storage 2020, 32, 101814. [Google Scholar] [CrossRef]
- Lu, M.; Li, X.; Li, F.; Xiong, W.; Li, X. Two-stage Stochastic Programming of Seasonal Hydrogen Energy Storage and Mixed Hydrogen-fueled Gas Turbine System. Proc. CSEE 2023, 43, 6978–6992. [Google Scholar] [CrossRef]
- Hu, Z.; Jiang, W.; Zhang, L.; Yang, X.; Zou, Y.; Wang, K. Optimal allocation of hydrogen storage capacity based on improved cat swarm optimization. Electr. Power 2023, 56, 33–42. Available online: https://kns.cnki.net/kcms2/article/abstract?v=Zw74qSZOFgj4YjMadvSSd8lhSmvvIvCLf86fJnnOzKP_KfJIp8jG-fBeHI8YhWGHnlOo_RAL9sNgrRSbrVG3Rc49HMwrBZaoeRYJEoiut5fLnJ2-1LqoJPxaEevPUJopkA0DQBiuaWZ0cn-hLEtJXUssqHHfli1LA8sBhfai-jZ233epjzcSFpPJymv_Ft5SMJa455IUPBs=&uniplatform=NZKPT&language=CHS (accessed on 1 March 2025).
- Xiao, B.; Han, K.; Zhang, X. Robust IGDT planning for stand-alone microgrid with hydrogen energy storage. Electr. Power Constr. 2024, 45, 77–88. [Google Scholar]
- Li, J.; Yang, B.; Huang, J.; Guo, Z.; Wang, J.; Zhang, R.; Hu, Y.; Shu, H.; Chen, Y.; Yan, Y. Optimal planning of Electricity–Hydrogen hybrid energy storage system considering demand response in active distribution network. Energy 2023, 273, 127142. [Google Scholar] [CrossRef]
- Hu, Y.; Yang, B.; Wu, P.; Wang, X.; Li, J.; Huang, Y.; Su, R.; He, G.; Yang, J.; Su, S. Optimal planning of electric-heating integrated energy system in low-carbon park with energy storage system. J. Energy Storage 2024, 99, 113327. [Google Scholar] [CrossRef]
- Jiang, Z.; Hao, F.; Yuan, Z. Optimal operation of an electro-hydrogen hybrid energy storage system considering SOC optimization setting. Power Syst. Prot. Control. 2024, 52, 65–76. [Google Scholar]
- Zhang, L.; Shi, Z.; Zhou, W.; Ma, J.; Li, K.; Yang, D.; Wan, J. Capacity optimization configuration of battery, thermal and hydrogen hybrid energy storage system considering battery life. Power Syst. Technol. 2025, 49, 1–15. [Google Scholar] [CrossRef]
- Zheng, W.; Zhao, Q.; Wang, X.; Wang, S.; Zhang, H. Optimization configuration method for hybrid energy storage capacity of electricity-hydrogen-gas for new power system under the green certificate carbon trading mechanism. Distrib. Util. 2024, 41, 24–31+41. [Google Scholar] [CrossRef]
- Jiang, W.; Chen, Z.; Yan, H. Optimal allocation of household energy storage capacity based on improved artificial bee colony algorithm. Electr. Meas. Instrum. 2023, 60, 24–29. [Google Scholar] [CrossRef]
- Mochi, P.; Espegren, K.A.; Korpås, M. Short communication: Local electricity-hydrogen market. Int. J. Hydrogen Energy 2025, 116, 17–22. [Google Scholar] [CrossRef]
- Zhao, P.; Li, Z.; Gao, H.; Yang, C. Review on collaborative scheduling optimization of electricity-gas-heat integrated energy system. Shandong Electr. Power 2024, 51, 1–11. [Google Scholar] [CrossRef]
- Liu, P.; Wu, J.; Wang, H.; Zhang, Q. Calculation of energy flow in integrated energy systems with hydrogen injection and compression factors. Power Syst. Prot. Control 2024, 52, 118–128. [Google Scholar] [CrossRef]
- Yang, C.; Dong, X.; Wang, G.; Lv, D.; Gu, R.; Lei, Y. Low-carbon economic dispatch of integrated energy system with CCS-P2G-CHP. Energy Rep. 2024, 12, 42–51. [Google Scholar] [CrossRef]
- Guan, A.; Zhou, S.; Gu, W.; Chen, J.; Lv, H.; Fang, Y.; Xv, J. Enhancing stability of electric-steam integrated energy systems by integrating steam accumulator. Appl. Energy 2024, 364, 123049. [Google Scholar] [CrossRef]
- Marocco, P.; Ferrero, D.; Lanzini, A.; Santarelli, M. Optimal design of stand-alone solutions based on RES+ hydrogen storage feeding off-grid communities. Energy Convers. Manag. 2021, 238, 114147. [Google Scholar] [CrossRef]
- Ye, S.; Wang, J.; Yin, Z.; Kang, J.; Ma, Z. Optimization of a solar-driven community integrated energy system based on dynamic hybrid hydrogen-electric energy storage strategy. J. Energy Storage 2024, 101, 113917. [Google Scholar] [CrossRef]
- IEEE Std 1547-2018; IEEE Standard for Interconnection and Interoperability of Distributed Energy Resources with Associated Electric Power Systems Interfaces. Revision of IEEE Std 1547-2003. IEEE: Piscataway, NJ, USA, 2018; pp. 1–138. [CrossRef]
- DL/T 599-2016; Technical Guide for Enhancement of Medium and Low Voltage Distribution Networks. China Electric Power Press: Beijing, China, 2016.
- Zhao, W.; Zhang, Z.; Mirjalili, S.; Wang, L.; Khodadadi, N.; Mirjalili, S.M. An effective multi-objective artificial hummingbird algorithm with dynamic elimination-based crowding distance for solving engineering design problems. Comput. Methods Appl. Mech. Eng. 2022, 398, 115223. [Google Scholar] [CrossRef]
- Lu, Z.; Li, Z.; Guo, X.; Yang, B. Optimal configuration of electricity-hydrogen hybrid energy storage system based on multi-objective artificial hummingbird algorithm. Electr. Power 2023, 56, 33–42. Available online: https://kns.cnki.net/kcms2/article/abstract?v=Zw74qSZOFgimhY4OrPjyaYMLYNVi2LzvWgUwWDwPfXkdrjHhN1lfNUPb1N1GeuQ-e9g4juyGARg8ve-Z7lrHEg_E2La667-v_6Vu2TqoQ8mI_fnU0Nv8HOcvcD1x2mlPkpvUGFq3nRMyWRYzO8NxotQZckUXnqxMtZw7_euE2xSzLSrXuFddBMZuN6bBmlShnYH4UdnjU9w=&uniplatform=NZKPT&language=CHS (accessed on 1 March 2025).
- Deng, S.; Liu, W.; Liu, C.; Liu, Q.; Li, S.; Liu, Z. Decision method of distribution network energy storage planning considering double uncertainty and comprehensive efficiency. Energy Storage Sci. Technol. 2022, 11, 164–175. [Google Scholar] [CrossRef]
- Dolatabadi, S.H.; Ghorbanian, M.; Siano, P.; Hatziargyriou, N.D. An Enhanced IEEE 33 Bus Benchmark Test System for Distribution System Studies. IEEE Trans. Power Syst. 2021, 36, 2565–2572. [Google Scholar] [CrossRef]
- Deb, K.; Pratap, A.; Agarwal, S.; Meyarivan, T. A fast and elitist multiobjective genetic algorithm: NSGA-II. IEEE Trans. Evol. Comput. 2002, 6, 182–197. [Google Scholar] [CrossRef]
- Coello, C.C.; Lechuga, M.S. MOPSO: A proposal for multiple objective particle swarm optimization. In Proceedings of the 2002 Congress on Evolutionary Computation. CEC’02 (Cat. No. 02TH8600), Honolulu, HI, USA, 12–17 May 2002; Volume 2, pp. 1051–1056. [Google Scholar]
- ISO 19880-1:2020; Gaseous Hydrogen—Fuelling Stations Part 1: General Requirements. Available online: https://www.iso.org/standard/71940.html (accessed on 1 March 2025).
- IEC 62282-2-100; Fuel Cell Technologies-Part 2-100: Fuel Cell Modules–Safety. Available online: https://webstore.iec.ch/en/publication/59780 (accessed on 1 March 2025).
Disclaimer/Publisher’s Note: The statements, opinions and data contained in all publications are solely those of the individual author(s) and contributor(s) and not of MDPI and/or the editor(s). MDPI and/or the editor(s) disclaim responsibility for any injury to people or property resulting from any ideas, methods, instructions or products referred to in the content. |
© 2025 by the authors. Licensee MDPI, Basel, Switzerland. This article is an open access article distributed under the terms and conditions of the Creative Commons Attribution (CC BY) license (https://creativecommons.org/licenses/by/4.0/).








