A Systematic Review of Two-Phase Expansion Losses: Challenges, Optimization Opportunities, and Future Research Directions
Abstract
1. Introduction
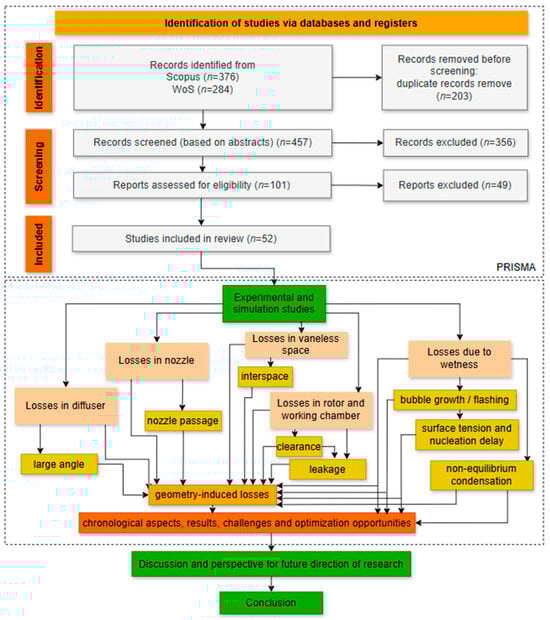
2. A Methodology of Review
3. Losses in Flow-Accelerating Components
3.1. Losses in the Nozzle
3.2. Losses in Diffuser
4. Loss Characterization in Rotor, Working Chamber, and Vaneless Space
5. Losses Due to Wetness
6. Discussion and Future Directions of the Research
7. Conclusions
- Inefficiencies in nozzles within two-phase systems involve shock waves caused by abrupt pressure changes, temperature discrepancies during phase transitions, turbulent or swirling flows, and design deficiencies such as improper angles or diameters. Addressing such issues implies an assessed strategy: optimizing nozzle design to mitigate shocks, including nanoparticles or droplets to facilitate phase transitions, and modifying operational conditions, such as temperature and pressure, to ensure flow stability. Computational modeling predicts shock dynamics and energy dissipation. Adaptive designs (adjustable nozzles) lessen turbulence and recirculation. By combining precision engineering, phase-transition control, and real-time flexibility, these strategies together reduce energy loss, enhancing the performance of systems handling two-phase flows.
- Losses in diffusers during two-phase expansion result from suboptimal geometry, including inadequate divergence angles and chamber lengths, along with dynamic instabilities that manifest as boundary layer separation, uneven phase distribution, and turbulent mixing. Such factors diminish pressure recovery, which leads to energy loss and flow issues. Mitigation involves obtaining an ideal geometric arrangement, defined by accurate divergence angles, appropriate chambers, modified blade pitch, precise flow control techniques (vortex generators), and computer modeling. Implementing these strategies can stabilize flow dynamics and provide dependable performance in challenging two-phase systems.
- Losses in the rotor, working chamber, and blade-free space of positive displacement machines operating in two-phase conditions are primarily due to mechanical friction, internal leaks, and mismatched expansion ratios caused by a constant volume ratio. Research indicates that these inefficiencies are particularly significant in screw, piston and scroll expanders, where variable two-phase flow conditions exacerbate losses associated with leakage and friction. In addition, non-equilibrium phase transition processes contribute to irreversible thermodynamic losses, especially during rapid expansion phases. To address these challenges, strategies have been proposed that include optimizing the geometry of the rotor and working chamber, using advanced seals, adaptive speed control, and implementing multi-stage expansion systems that are better suited to operating conditions. It is also important to introduce real-time monitoring systems and continue research on phase transition control, which is key to increasing the efficiency and reliability of positive displacement machines in energy recovery and renewable energy applications.
- Losses due to wetness in two-phase expansion arise from complex thermodynamic, fluid dynamic, and geometrical design, with key factors including interfacial friction, slip ratios, and nucleation dynamics. Homogeneous nucleation in supercooled vapor causes abrupt condensation shocks, which lead to significant entropy spikes and energy dissipation. Geometrical aspects like blade design, for example, and flow-path steepness affect condensation timing and intensity, while operational conditions such as low liquid fractions amplify losses, especially in cryogenic expanders. Mitigation strategies include promoting heterogeneous nucleation through impurities or droplets, optimizing the design of the expander, and adjusting inlet conditions to delay nucleation.
Author Contributions
Funding
Acknowledgments
Conflicts of Interest
Nomenclature
| At/Amix | Area ratio between the nozzle throat and the mixing section |
| A | Baumann factor |
| Cc | Condensation coefficient |
| Ce | Evaporation coefficient |
| ∆S | Entropy generation or entropy loss |
| d0 | Orifice diameter |
| L | Length |
| pout | Outlet pressure |
| pin | Inlet pressure |
| Tin | Inlet temperature |
| ϕm | Entrainment ratio (ratio of secondary to primary mass flow) |
| x | Vapor quality |
| y | Wetness |
| y+ | Near-wall region |
| CFD | Computational fluid dynamics |
| CNT | Classical nucleation theory |
| COP | Coefficient of performance |
| OFC | Organic flash cycle |
| ORC | Organic Rankine cycle |
| HEM | Homogeneous equilibrium model |
| NDA | Nozzle diverging angles |
| NXP | Nozzle exit position |
| MUSCL | Monotonic upstream-centered scheme for conservation laws |
| PLR | Pressure lifting ratio |
| PRISMA | Preferred Reporting Items for Systematic Reviews and Meta-Analyses |
| RANS | Reynolds-averaged Navier–Stokes |
| RNG | Re-normalization group |
| UDF | User-defined functions |
| USD | User-defined scalars |
| WoS | Web of Science |
References
- Van Heule, X.; Skiadopoulos, A.; Manolakos, D.; De Paepe, M.; Lecompte, S. Modelling of Two-Phase Expansion in a Reciprocating Expander. Appl. Therm. Eng. 2023, 218, 119224. [Google Scholar] [CrossRef]
- Francesconi, M.; Briola, S.; Antonelli, M. A Review on Two-Phase Volumetric Expanders and Their Applications. Appl. Sci. 2022, 12, 10328. [Google Scholar] [CrossRef]
- Bellos, E. A Review of Organic Rankine Cycles with Partial Evaporation and Dual-Phase Expansion. Sustain. Energy Technol. Assess. 2024, 72, 104059. [Google Scholar] [CrossRef]
- Ottaviano, S.; Poletto, C.; Ancona, M.A.; Melino, F. Experimental Investigation on Micro-ORC System Operating with Partial Evaporation and Two–Phase Expansion. Energy Convers. Manag. 2022, 274, 116415. [Google Scholar] [CrossRef]
- Fischer, J. Comparison of Trilateral Cycles and Organic Rankine Cycles. Energy 2011, 36, 6208–6219. [Google Scholar] [CrossRef]
- Wang, Q.; Wu, W.; Li, D.; Wang, J.; He, Z. Thermodynamic Analysis and Optimization of Four Organic Flash Cycle Systems for Waste Heat Recovery. Energy Convers. Manag. 2020, 221, 113171. [Google Scholar] [CrossRef]
- Badr, O.; O’Callaghan, P.W.; Hussein, M.; Probert, S.D. Multi-Vane Expanders as Prime Movers for Low-Grade Energy Organic Rankine-Cycle Engines. Appl. Energy 1984, 16, 129–146. [Google Scholar] [CrossRef]
- Imran, M.; Usman, M.; Park, B.-S.; Lee, D.-H. Volumetric Expanders for Low Grade Heat and Waste Heat Recovery Applications. Renew. Sustain. Energy Rev. 2016, 57, 1090–1109. [Google Scholar] [CrossRef]
- Elbel, S.; Hrnjak, P. Experimental Validation of a Prototype Ejector Designed to Reduce Throttling Losses Encountered in Transcritical R744 System Operation. Int. J. Refrig. 2008, 31, 411–422. [Google Scholar] [CrossRef]
- Li, Y.; Deng, J. Numerical Investigation on the Performance of Transcritical CO2 Two-Phase Ejector with a Novel Non-Equilibrium CFD Model. Energy 2022, 238, 121995. [Google Scholar] [CrossRef]
- Sun, W.; Niu, L.; Chen, S.; Sun, X.; Hou, Y. Numerical Investigation of Nitrogen Spontaneous Condensation Flow in Cryogenic Nozzles Using Varying Nucleation Theories. Cryogenics 2015, 68, 19–29. [Google Scholar] [CrossRef]
- Smith, I.K. Review of the Development of Two-Phase Screw Expanders. In Proceedings of the IMECHE Conference Transactions, Brighton, UK, 13–15 September 1999; Mechanical Engineering Publications: New York, NY, USA, 1999; Volume 6, pp. 95–104. [Google Scholar]
- Daniarta, S.; Kolasiński, P. A Preliminary Study of Two-Phase Volumetric Expanders and Their Application in ORC Systems. In Proceedings of the 6th International Seminar on ORC Power Systems, Munich, Germany, 11–13 October 2021; Wieland, C., Karellas, S., Quoilin, S., Schifflechner, C., Dawo, F., Spliethoff, H., Eds.; Technical University of Munich: Munich, Germany, 2021. [Google Scholar]
- Page, M.J.; McKenzie, J.E.; Bossuyt, P.M.; Boutron, I.; Hoffmann, T.C.; Mulrow, C.D.; Shamseer, L.; Tetzlaff, J.M.; Akl, E.A.; Brennan, S.E.; et al. The PRISMA 2020 Statement: An Updated Guideline for Reporting Systematic Reviews. BMJ 2021, 372, n71. [Google Scholar] [CrossRef] [PubMed]
- Van Eck, N.; Waltman, L. Software Survey: VOSviewer, a Computer Program for Bibliometric Mapping. Scientometrics 2009, 84, 523–538. [Google Scholar] [CrossRef] [PubMed]
- Kermani, M.J.; Gerber, A.G. A General Formula for the Evaluation of Thermodynamic and Aerodynamic Losses in Nucleating Steam Flow. Int. J. Heat Mass Transf. 2003, 46, 3265–3278. [Google Scholar] [CrossRef]
- Bakhtar, F.; White, A.J.; Mashmoushy, H. Theoretical Treatments of Two-Dimensional Two-Phase Flows of Steam and Comparison with Cascade Measurements. Proc. Inst. Mech. Eng. Part C 2005, 219, 1335–1355. [Google Scholar] [CrossRef]
- Bakhtar, F.; Zamri, M.Y. On the Performance of a Cascade of Improved Turbine Nozzle Blades in Nucleating Steam—Part 3: Theoretical Analysis. Proc. Inst. Mech. Eng. Part C 2011, 225, 1649–1671. [Google Scholar] [CrossRef]
- Mahpeykar, M.R.; Lakzian, E.; Amirirad, E. Reduction of Thermodynamic Losses in a Supersonic Nucleating Steam Nozzle by Spraying Water Droplets. Sci. Iran. 2009, 16, 253–262. [Google Scholar]
- Mahpeykar, M.R.; Amirirad, E.; Lakzian, E. The Effects of Water Injections in Wet Steam Flow in Different Regions of a Mini Laval Nozzle. In Proceedings of the International Conference on Nanochannels, Microchannels, and Minichannels, Darmstadt, Germany, 23–25 June 2008; pp. 355–361. [Google Scholar]
- Takeuchi, H.; Nishijima, H.; Ikemoto, T. World’s First High Efficiency Refrigeration Cycle with Two-Phase Ejector: “EJECTOR CYCLE”; Denso Corporation: Kariya, Japan, 2004. [Google Scholar]
- Bulinski, Z.; Smolka, J.; Fic, A.; Banasiak, K.; Nowak, A.J. A Comparison of Heterogenous and Homogenous Models of Two-Phase Transonic Compressible CO2 Flow through a Heat Pump Ejector. IOP Conf. Ser. Mater. Sci. Eng. 2010, 10, 12019. [Google Scholar] [CrossRef]
- Lawrence, N.; Elbel, S. Experimental and Analytical Investigation of Two-Phase Ejector Air-Conditioning Cycles Using Low-Pressure Refrigerants R134a and R1234yf; SAE Technical Paper 2013-01-1495; SAE International: Warrendale, PA, USA, 2013. [Google Scholar] [CrossRef]
- Liu, Y.; Yu, J. Performance Analysis of an Advanced Ejector-Expansion Autocascade Refrigeration Cycle. Energy 2018, 165, 859–867. [Google Scholar] [CrossRef]
- Yazdani, M.; Alahyari, A.A.; Radcliff, T.D. Numerical Modeling and Validation of Supersonic Two-Phase Flow of CO2 in Converging-Diverging Nozzles. J. Fluids Eng. 2013, 136, 014503. [Google Scholar] [CrossRef]
- Zhu, J.; Elbel, S. A New Control Mechanism for Two-Phase Ejector in Vapor Compression Cycles for Automotive Applications Using Adjustable Motive Nozzle Inlet Swirl. SAE Int. J. Passeng. Cars-Mech. Syst. 2016, 9, 44–51. [Google Scholar] [CrossRef]
- Bilir Sag, N.; Ersoy, H.K. Experimental Investigation on Motive Nozzle Throat Diameter for an Ejector Expansion Refrigeration System. Energy Convers. Manag. 2016, 124, 1–12. [Google Scholar] [CrossRef]
- Jeon, Y.; Kim, S.; Kim, D.; Chung, H.J.; Kim, Y. Performance Characteristics of an R600a Household Refrigeration Cycle with a Modified Two-Phase Ejector for Various Ejector Geometries and Operating Conditions. Appl. Energy 2017, 205, 1059–1067. [Google Scholar] [CrossRef]
- Baek, S.; Ko, S.; Song, S.; Ryu, S. Numerical Study of High-Speed Two-Phase Ejector Performance with R134a Refrigerant. Int. J. Heat Mass Transf. 2018, 126, 1071–1082. [Google Scholar] [CrossRef]
- Wen, C.; Gong, L.; Ding, H.; Yang, Y. Steam Ejector Performance Considering Phase Transition for Multi-Effect Distillation with Thermal Vapour Compression (MED-TVC) Desalination System. Appl. Energy 2020, 279, 115831. [Google Scholar] [CrossRef]
- Atmaca, A.U.; Erek, A.; Ekren, O. One-Dimensional Analysis of the Convergent-Divergent Motive Nozzle for the Two-Phase Ejector: Effect of the Operating and Design Parameters. Appl. Therm. Eng. 2020, 181, 115866. [Google Scholar] [CrossRef]
- Zheng, L.; Wang, L.; Deng, J. An Investigation on the Irreversibility in the CO2 Two-Phase Ejector Based on the One-Dimensional Distribution Model. Int. J. Therm. Sci. 2022, 182, 107839. [Google Scholar] [CrossRef]
- Oberti, R.; Metsue, A.; Fang, Y.; Poncet, S. Numerical Simulations and Local Entropy Generation in a Two-Phase Transcritical Carbon Dioxide Ranque-Hilsch Vortex Tube. Int. J. Heat Mass Transf. 2024, 226, 125461. [Google Scholar] [CrossRef]
- Hosseini, S.A.; Aghdasi, M.R.; Lakzian, E.; Kim, H.D. Multi-Objective Optimization of the Effects of Superheat Degree and Blade Pitch on the Wet Steam Parameters. Int. J. Heat Mass Transf. 2023, 213, 124337. [Google Scholar] [CrossRef]
- Zhang, G.; Yang, Y.; Zhang, X.; Zhang, Z.; Chen, J.; Jin, Z.; Dykas, S. Nanoparticles-Induced Heterogeneous Condensation and Geometry Optimizations to Enhance Liquefaction Efficiency and Mitigate Exergy Loss in a Novel Hydrogen Liquefaction Two-Phase Expander. Energy 2024, 313, 134006. [Google Scholar] [CrossRef]
- Ding, H.; Dong, Y.; Yang, Y.; Wen, C. Performance and Energy Utilization Analysis of Transcritical CO2 Two-Phase Ejector Considering Non-Equilibrium Phase Changes. Appl. Energy 2024, 372, 123810. [Google Scholar] [CrossRef]
- Chandran, R.J.; Arumugam, S.K.; Sadasivan, S.; Kanna, P.R.; Chen, F. Two-Phase Simulation of Transcritical CO2 flow in Nozzle and Ejector Using the Homogeneous Equilibrium Model. J. Therm. Anal. Calorim. 2024, 149, 5367–5380. [Google Scholar] [CrossRef]
- Lemmon, E.W.; Bell, I.H.; Huber, M.L.; McLinden, M.O. NIST Standard Reference Database 23: Reference Fluid Thermodynamic and Transport Properties-REFPROP, Version 10.0; National Institute of Standards and Technology: Gaithersburg, MD, USA; Standard Reference Data Program: Gaithersburg, MD, USA, 2018; pp. 45–46. [Google Scholar]
- Kumar, A.; Parisi, S.; Agromayor, R.; Walther, J.H.; Haglind, F. Numerical Analysis of a Two-Phase Turbine: A Comparative Study Between Barotropic and Mixture Models. J. Eng. Gas Turbines Power 2024, 147, 051013. [Google Scholar] [CrossRef]
- Taniguchi, H.; Kudo, K.; Giedt, W.H.; Park, I.; Kumazawa, S. Analytical and Experimental Investigation of Two-Phase Flow Screw Expanders for Power Generation. J. Eng. Gas Turbines Power 1988, 110, 628–635. [Google Scholar] [CrossRef]
- Mahmoud, A.M.; Sherif, S.A.; Lear, W.E. Frictional and Internal Leakage Losses in Rotary-Vane Two-Phase Refrigerating Expanders. J. Energy Resour. Technol. 2010, 132, 021007. [Google Scholar] [CrossRef]
- Iodice, P.; Langella, G.; Amoresano, A. Energy Performance and Numerical Optimization of a Screw Expander–Based Solar Thermal Electricity System in a Wide Range of Fluctuating Operating Conditions. Int. J. Energy Res. 2020, 44, 1858–1874. [Google Scholar] [CrossRef]
- Wang, Q.; Huang, H.; Xu, L.; Yang, X.; He, Z.; Wu, W. Analysis of the Thermodynamic Disequilibrium Loss of the Two-Phase Expansion Process and Its Influence on the Performance of a Reciprocating Expander. IOP Conf. Ser. Mater. Sci. Eng. 2019, 604, 12041. [Google Scholar] [CrossRef]
- Weitzer, M.; Müller, D.; Karl, J. Two-Phase Expansion Processes in Heat Pump—ORC Systems (Carnot Batteries) with Volumetric Machines for Enhanced off-Design Efficiency. Renew. Energy 2022, 199, 720–732. [Google Scholar] [CrossRef]
- Kanno, H.; Shikazono, N. Experimental Study on Two-Phase Adiabatic Expansion in a Reciprocating Expander with Intake and Exhaust Processes. Int. J. Heat Mass Transf. 2016, 102, 1004–1011. [Google Scholar] [CrossRef]
- Tian, Y.; Xing, Z.; He, Z.; Wu, H. Modeling and Performance Analysis of Twin-Screw Steam Expander Under Fluctuating Operating Conditions in Steam Pipeline Pressure Energy Recovery Applications. Energy 2017, 141, 692–701. [Google Scholar] [CrossRef]
- Carlos Mendoza, L.; Lemofouet, S.; Schiffmann, J. Two-Phase and Oil-Free Co-Rotating Scroll Compressor/Expander. Appl. Therm. Eng. 2019, 148, 173–187. [Google Scholar] [CrossRef]
- Aghagoli, A.; Sorin, M. CFD Modelling and Exergy Analysis of a Heat Pump Cycle with Tesla Turbine Using CO2 as a Working Fluid. Appl. Therm. Eng. 2020, 178, 115587. [Google Scholar] [CrossRef]
- Jeon, Y.; Lee, D.; Cho, H. Optimization of Motive Nozzle Position in a Modified Two-Phase Ejector Expansion Household Refrigeration Cycle Using an Artificial Neural Network. Energy Rep. 2022, 8, 1114–1123. [Google Scholar] [CrossRef]
- Ma, Y.; Zhou, Y.; Zhu, Z. The Investigation of Two-Phase Expansion Performance with Indicator Diagram in a Twin-Screw Expander. Processes 2023, 11, 1862. [Google Scholar] [CrossRef]
- Anisimova, M.P.; Stekol’shchikov, E.V. Energy Losses in a Two-Phase Flow Due to Mechanical Interaction of the Phases. J. Eng. Phys. 1968, 15, 810–815. [Google Scholar] [CrossRef]
- Motamed-Amini, A.; Owen, I. The Expansion of Wet Steam through a Compressible Confined Vortex in a Fluidic Vortex Diode. Int. J. Multiph. Flow 1987, 13, 845–856. [Google Scholar] [CrossRef]
- Bohn, D.E.; Sürken, N.; Kreitmeier, F. Nucleation Phenomena in a Multi-Stage Low Pressure Steam Turbine. Proc. Inst. Mech. Eng. Part A 2003, 217, 453–460. [Google Scholar] [CrossRef]
- Bakhtar, F.; Henson, R.J.K.; Mashmoushy, H. On the Performance of a Cascade of Turbine Rotor Tip Section Blading in Wet Steam. Part 5: Theoretical Treatment. Proc. Inst. Mech. Eng. Part C 2006, 220, 457–472. [Google Scholar] [CrossRef]
- Teymourtash, A.R.; Esfahani, J.A.; Mousavi Shaegh, S.A. The Effects of Rate of Expansion and Injection of Water Droplets on the Entropy Generation of Nucleating Steam Flow in a Laval Nozzle. Heat Mass Transf. 2009, 45, 1185–1198. [Google Scholar] [CrossRef]
- Niu, L.; Hou, Y.; Sun, W.; Chen, S. The Measurement of Thermodynamic Performance in Cryogenic Two-Phase Turbo-Expander. Cryogenics 2015, 70, 76–84. [Google Scholar] [CrossRef]
- Sun, W.; Chen, S.; Niu, L.; Hou, Y. Wetness Loss Prediction for a Wet-Type Cryogenic Turbo-Expander Based on 3-D Numerical Simulation. Appl. Therm. Eng. 2015, 91, 1032–1039. [Google Scholar] [CrossRef]
- Sun, W.; Chen, S.; Hou, Y.; Bu, S.; Ma, Z.; Zhang, L.; Pan, L. Numerical Studies on Two-Phase Flow in Cryogenic Radial-Inflow Turbo-Expander Using Varying Condensation Models. Appl. Therm. Eng. 2019, 156, 168–177. [Google Scholar] [CrossRef]
- Niu, L.; Zhong, Z.; Hong, X.; Chen, S.; Hou, Y. Numerical Study on Two-Phase Expansion Performance and Quantitative Analysis of Wetness Loss in Cryogenic Turbo-Expander. Cryogenics 2020, 110, 103123. [Google Scholar] [CrossRef]
- Sun, W.; Chen, S.; Hou, Y.; Bu, S.; Ma, Z.; Zhang, L. Numerical Studies of Nitrogen Spontaneous Condensation Flow in Laval Nozzles Using Varying Droplet Growth Models. Int. J. Multiph. Flow 2019, 121, 103118. [Google Scholar] [CrossRef]
- Chen, S.; Sun, W.; Niu, L.; Chen, L.; Hou, Y. Effect of Impeller Blade Profile on the Cryogenic Two-Phase Turbo-Expander Performance. Appl. Therm. Eng. 2017, 126, 884–891. [Google Scholar] [CrossRef]
- Yang, Y.; Peng, H.; Wen, C. A Novel Dehumidification Strategy to Reduce Liquid Fraction and Condensation Loss in Steam Turbines. Entropy 2021, 23, 1225. [Google Scholar] [CrossRef]
- Hu, P.; Zhao, P.; Li, Q.; Hou, T.; Wang, S.; Cao, L.; Wang, Y. Performance of Non-Equilibrium Condensation Flow in Wet Steam Zone of Steam Turbine Based on Modified Model. Energy 2023, 267, 126571. [Google Scholar] [CrossRef]
- Witlox, H.; Harper, M.; Bowen, P.; Cleary, V. Flashing Liquid Jets and Two-Phase Droplet Dispersion: II. Comparison and Validation of Droplet Size and Rainout Formulations. J. Hazard. Mater. 2007, 142, 797–809. [Google Scholar] [CrossRef]
- Lee, M.S.; Lee, H.; Hwang, Y.; Radermacher, R.; Jeong, H.-M. Optimization of Two-Phase R600a Ejector Geometries Using a Non-Equilibrium CFD Model. Appl. Therm. Eng. 2016, 109, 272–282. [Google Scholar] [CrossRef]
- Weres, O. Integrated Studies of Electrophysical Processes in Steam Turbines. J. Mech. Eng. 2023, 26, 33–41. [Google Scholar]
- Tarelin, A.O.; Annopolska, I.Y. Wet Steam Flow Ionization and Prospects to Practically Apply Electrical Discharge Devices in Turbo Installation. J. Mech. Eng. 2019, 22, 4–13. [Google Scholar] [CrossRef]


















Disclaimer/Publisher’s Note: The statements, opinions and data contained in all publications are solely those of the individual author(s) and contributor(s) and not of MDPI and/or the editor(s). MDPI and/or the editor(s) disclaim responsibility for any injury to people or property resulting from any ideas, methods, instructions or products referred to in the content. |
© 2025 by the authors. Licensee MDPI, Basel, Switzerland. This article is an open access article distributed under the terms and conditions of the Creative Commons Attribution (CC BY) license (https://creativecommons.org/licenses/by/4.0/).
Share and Cite
Syaukani, M.; Lech, S.; Daniarta, S.; Kolasiński, P. A Systematic Review of Two-Phase Expansion Losses: Challenges, Optimization Opportunities, and Future Research Directions. Energies 2025, 18, 3504. https://doi.org/10.3390/en18133504
Syaukani M, Lech S, Daniarta S, Kolasiński P. A Systematic Review of Two-Phase Expansion Losses: Challenges, Optimization Opportunities, and Future Research Directions. Energies. 2025; 18(13):3504. https://doi.org/10.3390/en18133504
Chicago/Turabian StyleSyaukani, Muhammad, Szymon Lech, Sindu Daniarta, and Piotr Kolasiński. 2025. "A Systematic Review of Two-Phase Expansion Losses: Challenges, Optimization Opportunities, and Future Research Directions" Energies 18, no. 13: 3504. https://doi.org/10.3390/en18133504
APA StyleSyaukani, M., Lech, S., Daniarta, S., & Kolasiński, P. (2025). A Systematic Review of Two-Phase Expansion Losses: Challenges, Optimization Opportunities, and Future Research Directions. Energies, 18(13), 3504. https://doi.org/10.3390/en18133504

