Abstract
We examine a 25 km resolution climate model dataset to evaluate how regional climate change impacts solar and wind energy under a high-emission scenario. Our study considers the Western Electricity Coordinating Council (WECC) region, which covers the western United States and southwestern Canada, focusing specifically on locations with existing solar and wind infrastructure. First, we conduct a historical model comparison of solar and wind energy capacity factors to highlight model uncertainties across the study area. Using future climate projections, we then assess the seasonal patterns of solar and wind capacity factors for three timeframes: historical, mid-century, and end of century. Additionally, we estimate the frequency of solar and wind resource droughts during these periods for the entire WECC and its five operational subregions, finding that certain subregions are more susceptible to energy droughts due to limited renewable resources. Finally, we present day-ahead capacity factor forecasts to support energy storage planning and provide estimates of offshore wind energy capacity within the WECC. Our results indicate that offshore wind capacity factors are nearly twice as high as onshore values, with less seasonal variation, which suggests that offshore wind could offer a more consistent renewable energy supply in the future.
1. Introduction
The bulk electric power system includes electricity demand, transmission, and power generation by both renewable and non-renewable generators. Nonstationary trends in air temperature, precipitation, solar radiation, and wind speed due to climate change may present power systems with new challenges in the coming decades [1]. On the demand side, Auffhammer et al. [2] analyzed multiyear electricity load data and daily weather patterns from global climate models, finding moderate but varied changes in electricity demand by the end of the century, with an average increase of 2.8% under a business-as-usual scenario. Sathaye et al. [3] estimated that the impacts of high ambient temperature and associated electricity demand could require 38% additional peak generation capacity and up to 31% additional transmission capacity in California, based on either the A2 (i.e., high population) or B1 (i.e., declining population) Intergovernmental Panel on Climate Change (IPCC) emission scenario.
On the supply side, renewable energy sources rely directly on the Earth’s natural systems to generate power, making them more susceptible to climate-driven uncertainties than conventional fossil fuel-based sources. In the past decade, many studies have investigated the impacts of climate change on solar [4,5,6,7,8] and wind generation [4,8,9,10,11,12,13]. Climate threats to solar photovoltaic (PV) generation include changes in mean temperature, which reduce PV efficiency, as well as changes in solar irradiation due to cloudiness and atmospheric aerosols. Climate threats to wind generation include shifts in average wind speeds and changes in daily or seasonal wind patterns [14].
Gernaat et al. [8] used climate and integrated assessment models to estimate climate change impacts on solar and wind energy. Based on the climatic parameters during the historical period 1970–2000 and the future period 2070–2100 from four global climate models (GCMs), they found that impacts on wind energy are variable, with wind generation declining in some regions (e.g., Japan) and increasing in others (e.g., Southeast Asia). Because of this regional variability, numerous studies have examined climate change impacts on renewable energy in different regions worldwide, especially North America [4,9,10,12,15,16], Europe [17,18,19,20,21], and Africa [22,23].
Many previous studies of climate impacts on the energy system rely on data from the Fifth Coupled Model Intercomparison Project (CMIP5), which aggregates data from various GCMs. However, the GCMs included in CMIP5 often lack sufficient spatiotemporal resolution (50–350 km spatial and mostly monthly outputs) for renewable energy applications. Pryor et al. [13] highlighted biases in wind resource estimates due to differences in GCM resolution or formulation. For instance, substantial wind resources in the U.S. Southern Great Plains are absent in a ~25 km Model for Prediction Across Scales (MPAS) simulation but captured in a 12 km Weather Research and Forecasting (WRF) simulation. They recommend GCM resolutions of 25–50 km or finer, especially for accurately modeling complex orography. Higher model resolution can reduce uncertainty and better represent regional climate variability.
Leveraging improvements in computational efficiency in recent years, climate models are being developed for and run with increasingly higher resolution. The application of these models to the energy sector has the potential to transform energy infrastructure planning [24]. With this in mind, the present study uses a high-resolution climate model dataset to evaluate how regional climate change might impact solar and wind energy in a high-emission future. In particular, we analyze a 25 km GCM run with 3-hourly output from the Meteorological Research Institute (MRI) [25,26] in Japan, which was part of the High-Resolution Model Intercomparison Project (HighResMIP) [27], a subset of the Sixth Coupled Model Intercomparison Project (CMIP6). Like CMIP5, CMIP6 simulations generally use coarse horizontal grid spacing with mostly monthly output, but the HighResMIP includes datasets with 25 km horizontal grid spacing and daily or sub-daily output.
Additionally, we contextualize the MRI GCM results using three datasets with similar resolution but for which only historical simulations with daily output are available. First, we consider an additional HighResMIP dataset from the Research Center for Environmental Changes (AS-RCEC) [28] in Taiwan. Second, we consider the U.S. Department of Energy’s (DOE) Energy Exascale Earth System Model version two (E3SMv2) North American Regionally Refined Model (NARRM) [29,30], which features ~25 km horizontal grid spacing over North America. Lastly, we consider historical reanalysis data from the fifth-generation European Centre for Medium-Range Weather Forecast (ECMWF) reanalysis (ERA5) [31,32], which has a 31 km horizontal resolution globally.
Our analysis focuses on the region monitored by the Western Electricity Coordinating Council (WECC). We chose the WECC region due to its climatically diverse footprint, including the western United States and southwestern Canada, and ambitious goals for renewables deployment [33,34]. Based on state and regional energy policies, renewable energy commitments cover more than 90% of the population in the WECC region. For example, Utah and Arizona have goals of reaching 15–20% renewable energy in their portfolios by 2025, while six other states in the WECC plan to eliminate carbon emissions by 2050 [34].
The objectives of this study are to (1) examine the seasonality of solar and wind energy capacity factors across historical, mid-century, and end-of-century periods to assess the impacts of regional climate change on renewable energy resources in western North America; (2) evaluate mean trends in solar and wind resource droughts during these periods for the WECC and its five subregions to identify regions that may be vulnerable to limited resource availability; and (3) explore additional applications of climate data to energy infrastructure planning by estimating offshore wind energy capacity factors and day-ahead capacity factor predictions to guide energy storage needs.
An overall description of the model datasets used in this study, the locations of existing solar and wind farms, and the methods of calculating solar and wind capacity factors are given in Section 2. The results of the analysis, including a model intercomparison over the historical period, future predictions, and estimates of resource droughts, are shown in Section 3. Applications of day-ahead capacity factor prediction and potential offshore wind energy are presented in Section 4. Discussion and summary are provided in Section 5.
2. Data and Methods
2.1. Future Projection Dataset
We consider future projections from a high-resolution global climate model simulation included in HighResMIP [27]. Participants in HighResMIP were required to have a resolution of 50 km or finer in the atmosphere and 0.25° in the ocean. The complete set of HighResMIP experiments is divided into three tiers: Tier 1 includes forced-atmosphere experiments between 1950 and 2014 (named highresSST-present); Tier 2 includes coupled experiments between 1950 and 2050 (including control-1950, hist-1950, highres-future, and spinup-1950); and Tier 3 includes forced-atmosphere experiments extending to 2100 (highresSST-future), as well as a number of additional targeted experiments. Note that some Tier 3 experiments are restricted to the mid-century (2050) due to computational limitations. Here, we use Tier 1 experiments for historical forced atmosphere runs during the period 1950–2014 and a Tier 3 experiment for future atmosphere-only simulations during the period 2015–2100. Future climate experiments in Tier 3 use the climate change signal from CMIP5 Representative Concentration Pathway 8.5 (RCP8.5) models for SST and sea ice forcing.
In this study, we focus on climate change over three time periods of equal length (36 years): historical (1979–2014), mid-century (2015–2050), and end of century (2062–2097). In order to investigate regional climate response, one model simulation is selected from HighResMIP with 25 km horizontal grid spacing and 3-hourly output: the MRI-AGCM3-2-S climate model, released in 2017 [25,26] (see Table 1). In this dataset, horizontal wind speed (U and V) and temperature (T) are instantaneous values taken at the end of each 3 h period, while radiation (rsds) is averaged over the 3 h interval. This is the only dataset from HighResMIP that meets the future time coverage and output frequency requirements for this study. Given this limitation, this study is designed as a demonstration of how high-resolution climate data can be used to estimate changes in renewable resources in the future climate.
Table 1.
A summary of the model datasets analyzed in this study.
2.2. Historical Comparison Datasets
To examine model variability in solar and wind energy predictions, we also use three historical datasets with similar resolution to the MRI GCM. First, we consider the High Resolution Atmospheric Model—Spectral Interactive Transport—High Resolution (HiRAM-SIT-HR) climate model, released in 2018, which was run by the Research Center for Environmental Changes, Academia Sinica (AS-RCEC), in Taiwan [28] and includes the Geophysical Fluid Dynamics Laboratory (GFDL) HiRAM atmosphere component. This dataset also has 25 km horizontal grid spacing with daily output and is included in HighResMIP as a Tier 1 experiment. Second, we consider a dataset from the U.S. Department of Energy (DOE) Energy Exascale Earth System Model (E3SM) version two [29] released in 2021. The North American (NA) Regionally Refined Model (RRM) of E3SMv2 [30] has a refined grid with ~25 km grid spacing over North America and daily outputs. E3SMv2 historical simulations cover the historical record (1850–2014).
Additionally, we consider the historical reanalysis dataset ERA5. Covering the period from 1950 to the present, ERA5 features a horizontal grid spacing of approximately 31 km. Known for its enhanced accuracy and temporal consistency compared to earlier reanalysis datasets, ERA5 benefits from advanced data assimilation techniques and a state-of-the-art numerical weather prediction model. This reanalysis dataset is widely utilized in climate research, weather forecasting, and energy applications, as it provides detailed information on atmospheric processes such as temperature, wind, humidity, and radiation, as well as surface and boundary layer dynamics. Its high spatial and temporal resolution makes it particularly valuable for analyzing regional climate variability, extreme weather events, and long-term climate trends. In this study, we use daily ERA5 post-processed statistical data from 1979 to 2014 as the reference standard for comparison [31,32]. It is important to note that the study by Wilczak et al. [35] found that ERA5-derived solar power tends to be biased high, while ERA5-derived wind power is biased low when compared to the ground-based observations.
Since most datasets are only available at a daily resolution, we use daily data to calculate energy capacity factors for the historical model intercomparison (Section 3.1). We recognize that daily averages lead to underestimates of down-welling irradiance and wind speed compared to instantaneous values, because daily peak values are not well represented. For the remainder of this study, we, therefore, use 3-hourly MRI data to generate solar and wind capacity factors, analyze the seasonality of energy capacity factors across three study periods, and evaluate mean trends in energy resource droughts. Figure S1 illustrates the discrepancies between capacity factors derived from daily versus 3-hourly data. Overall, while the correlation between daily and 3-hourly capacity factors is high (0.99), mean capacity factors are consistently higher when 3-hourly data is used by roughly 40% for solar and 20% for wind.
2.3. Site Locations of Onshore Wind Farms and Solar Farms
The WECC region includes 11 states in the western United States and two provinces of southwestern Canada (British Columbia and Alberta). In this study, we use site locations of solar and onshore wind farms provided by the U.S. Energy Information Administration (EIA) through survey Form EIA-860 (https://www.eia.gov/electricity/data/eia860/, accessed on 27 June 2025) for calendar year 2022. The wind farm locations in Canada are from the Canadian Wind Turbine Database (https://open.canada.ca/data/en/dataset/79fdad93-9025-49ad-ba16-c26d718cc070, accessed on 27 June 2025), which is jointly compiled by researchers at CanmetENERGY-Ottawa and by the Centre for Applied Business Research in Energy and the Environment at the University of Alberta, under contract from Natural Resources Canada. Because the data on solar farm locations in Canada is relatively scattered, we collect the information of the solar farm sites from Wikipedia (https://en.wikipedia.org/wiki/List_of_generating_stations_in_Alberta#Solar and https://en.wikipedia.org/wiki/List_of_generating_stations_in_British_Columbia#Solar_photovoltaic, accessed on 27 June 2025).
For further analyses based on regional differences, we choose five operational subregions (i.e., Northwest Power Pool-Northwest (NWPP-NW), Northwest Power Pool-Northeast (NWPP-NE), Northwest Power Pool-Central (NWPP-C), California (CAMX), and Desert Southwest (DSW)) suggested by the 2022 WECC report [34] to capture geographic, operational, and system diversity. Figure 1a,b present the solar farm and wind farm locations in the five WECC subregions, respectively. Note that all analyses in this study are based on the locations of existing solar and onshore wind farms, using the nearest-neighbor method to select the closest model grid point. However, to reduce potential bias toward present-day deployment levels, calculations are not weighted by the generation capacity in the given cell. Rather, each grid cell containing solar or wind generation is weighted equally.
Figure 1.
(a) Solar and (b) onshore wind farm locations in the five WECC subregions. Five subregions represent the Northwest Power Pool-Northwest region (NWPP-NW), the Northwest Power Pool-Northeast region (NWPP-NE), the Northwest Power Pool-Central region (NWPP-C), California (CAMX), and the Desert Southwest region (DSW). The orange color in (b) indicates the selected grid cells for offshore wind energy analysis.
2.4. Solar and Wind Capacity Factors
The definition of capacity factor (CF) given by the U.S. EIA is “the ratio of the electrical energy produced by a generating unit for the period of time considered to the electrical energy that could have been produced at continuous full power operation during the same period” (https://www.eia.gov/tools/glossary/index.php, accessed on 27 June 2025). To calculate capacity factors in this study, we adopt the power output calculations in Bett and Thornton [36] to convert model predictions of solar irradiance and wind speed into estimates of power output.
The electricity generated by a solar PV panel is influenced by two key factors: the total incident downwelling irradiance G and the ambient air temperature T. Based on Huld et al. [37] and Bett and Thornton [36], the power generated from a solar PV panel is as follows:
where ƞSTC is the rated module efficiency under “standard testing conditions”, ƞe is the efficiency of other connected equipment (such as inverters), ƞrel(G,T) is the relative efficiency, and A is the panel area. The “standard testing conditions” (STC) refer to an irradiance of GSTC = 1000 W m−2 and a PV module temperature of TSTC = 25 °C, at which the PV module generates a power of PSTC.
The relative efficiency is given by an empirical function:
where and . The unit of temperature is in degrees Celsius, and the constants are , , , and . Here, under standard test conditions, ƞrel = 1 by construction. The PV module temperature is also empirically related to the air temperature through
where the reference temperature T0 = 20 °C for the ambient temperature, and G0 = 800 W m−2 for the irradiance. TNOCT = 20 °C is a nominal operating cell temperature of the PV module.
Then, we avoid specifying PV module details (ƞSTC, ƞe, and A) by defining a solar capacity factor CFs as follows:
Wind turbine power generation is based on a simple power curve with three wind speed thresholds: the “cut-in” wind speed (Uci) at which the turbine begins producing power, the “rated” wind speed (Ur) at which it reaches its peak power production, and the “cut-out” wind speed (Uco) at which the turbine is shut off to prevent damage. The wind power output can therefore be calculated as follows:
Based on Brayshaw et al. [38], Uci is 3 m s−1, Ur is 15 m s−1, and Uco is 25 m s−1. PU is the power generated by a wind turbine, which is a function of the energy flux of an air mass moving horizontally through the rotor-swept area with speed U. Pr is the rated power when U = Ur. Thus, the wind energy capacity factor is defined as .
Here, U in Equation (5) is set to the hub-height wind speed Uhub. However, because most GCMs only store wind speed output at the surface (10 m above ground level), the wind speed is extrapolated to turbine hub height based on the power law method [39]:
where Ug is the wind speed near the ground, hg is the height where Ug was simulated (10 m in this study), hhub is the turbine hub height (100 m in this study), and E is the power law exponent, most often considered to be 0.143 for onshore wind power plants.
While the power law extrapolation is common practice in wind resource assessment studies (see, e.g., the study of Hsu et al. [40] based on climate projections), we note that the approximation is based on a standard flow profile assumption that does not account for atmospheric stability, terrain effects, etc. Furthermore, in this study, we use daily wind speeds from HighResMIP and E3SM to estimate wind power, whereas the thresholds in the power curve are defined for instantaneous wind speeds. Given the cubic dependency of power on wind speed in Equation (5), the use of daily wind speeds introduces a low bias [17,41] in the estimate of daily power production; however, the use of 3-hourly data helps to reduce this bias.
2.5. Definition of Energy Resource Drought
Based on the method in Rinaldi et al. [42], we define a “resource drought” as a day for which the daily mean capacity factor for solar and/or wind is less than 50% of the mean capacity factor over the 36-year period for that day of the year. For example, the solar mean CF on January 1 over the 36-year historical period is 0.1, so 50% of the mean is 0.05. We then count how many times the daily solar capacity factor on January 1 is less than 0.05 and denote these as “drought days”. Note that the threshold value for each day is based on 50% of the average capacity factor over the historical 36-year period at existing solar and wind sites in the study region (i.e., the WECC or other subregions). Thus, these droughts are based on mean variability, rather than extreme events such as wildfires. The same historical threshold values apply to the resource drought calculation in the mid-century and end-of-century periods as well. This assumption was made with infrastructure planning purposes in mind. More strict drought threshold values of 25% and 10% are also discussed.
3. Results
3.1. Model Intercomparison
Four datasets are used in this study for demonstrating the spatiotemporal variability of solar and wind energy resources as well as model-to-model discrepancies. Historical (1979–2014) data is used for model intercomparison due to the increased availability of this time period across models. While we acknowledge other sources of uncertainty in GCMs, including the choice of future scenario [43], internal variability [44], and downscaling method (if used), we focus here on model-to-model uncertainty to provide context for the future projections analyzed below. We refer the reader to the studies of Evin et al. [45], Hingray et al. [46], and Aitken et al. [47] for additional discussion of uncertainty in climate projections. Note also that bias correction (as in, e.g., Wilczak et al. [35] for ERA5) is not considered in the present study. Unlike commonly bias-corrected variables such as temperature and precipitation, which have widely accepted baseline observational datasets [48,49], there is no such dataset for wind speed and solar irradiance with full spatial coverage of the WECC region; Wilczak et al. [35] use data with limited coverage. Therefore, this potentially important component of predicting climate impacts on renewable energy is a topic for future work.
Figure 2a,c,e,g show mean solar CFs derived from ERA5, MRI, AS_RCEC, and E3SM, respectively, based on Equations (1)–(4). In general, the solar CFs decrease with increasing latitude due to the decreasing solar irradiance angle. The spatial distribution of solar CFs in the four datasets is similar, but the magnitude varies. Figure 3a shows annual and seasonal boxplots of daily solar CF at existing solar farm locations in the WECC region (Figure 1a) from ERA5, MRI, AS_RCEC, and E3SM. The solar CFs derived from MRI are generally higher than those from the other datasets across all seasons. The mean of the solar CFs in ERA5 is 0.19 ± 0.07, while the value is 0.21 ± 0.08 in MRI, 0.20 ± 0.08 in AS_RCEC, and 0.20 ± 0.08 in E3SM. The solar CFs show the expected seasonal variability—higher in summer (JJA) and lower in winter (DJF)—and the variation in amplitude is around 0.2.
Figure 2.
Mean solar capacity factors derived from the (a) ERA5, (c) MRI, (e) AS_RCEC, and (g) E3SM datasets. Wind capacity factors for the same models are shown in (b,d,f,h). Data are averaged over the recent historical (1979 to 2014) time period. Contour lines on the plots indicate terrain height from 700 m to 3500 m with 700 m interval.
Figure 3.
(a) Boxplots of solar capacity factors from the ERA5 (black), MRI (green), AS_RCEC (blue), and E3SM (magenta) datasets. Data are gathered from the locations of existing solar farms in the WECC region (Figure 1a). Results are shown for the full recent historical (1979–2014) time period (ANN) and seasonally: winter (DJF), spring (MAM), summer (JJA), and fall (SON). The horizontal lines of the boxplot indicate the lower quartile, the median, and the upper quartile of daily capacity factor. (b) The ratio of each dataset to ERA5 solar capacity factors in WECC. Multi-year averages are calculated using data between the 10th and 90th percentiles. Black dots represent the entire time period of each dataset (ANN), while blue, magenta, green, and orange dots correspond to winter (DJF), spring (MAM), summer (JJA), and fall (SON), respectively.
To minimize the impact of extreme values, mean solar capacity factors are calculated using daily data constrained between the 10th and 90th percentiles. This approach ensures a more robust representation of typical conditions by excluding outliers that could skew the analysis. Figure 3b further illustrates these comparisons, highlighting the relative performance of each model against the ERA5 benchmark. As previously mentioned, the MRI model consistently overestimates solar capacity factors compared to ERA5, with discrepancies ranging from approximately 7% to 11% across all seasons (Figure 3b). This overestimation during both summer and winter months indicates consistent discrepancies in how MRI simulates solar radiation or associated factors. By contrast, the E3SM model demonstrates the closest agreement with ERA5, with deviations limited to within 5%, indicating better alignment with the reference dataset. Despite these differences, it is important to note that the solar capacity factors derived from all models generally exhibit close agreement with each other. This similarity suggests that despite differences in magnitude, the models capture comparable seasonal variations in solar energy potential.
The wind CFs in Figure 2b,d,f,h, based on Equation (5), show topographic effects in the spatial distribution. All datasets show high onshore wind CFs in the eastern WECC region, including Alberta, Montana, Wyoming, and New Mexico. However, the wind CFs vary among the four datasets. The mean of the wind CFs in ERA5 is 0.12 ± 0.08, while the value is 0.13 ± 0.07 in MRI, 0.13 ± 0.08 in AS_RCEC, and 0.10 ± 0.09 in E3SM. Compared to the solar CFs, the boxplots in Figure 4a show that the wind CFs have a lower mean value and increased intra-seasonal variability. The lower mean wind CFs are due in part to the use of daily mean wind speeds, which leads to underestimates of daily power production. Figure 4a also shows a clear seasonal variation in wind CFs—lower in summer (JJA) and higher in winter (DJF)—which is opposite of the solar CF seasonal cycle.
Figure 4.
(a) Boxplots of wind capacity factors from the ERA5 (black), MRI (green), AS_RCEC (blue), and E3SM (magenta) datasets. Data are gathered from the locations of existing wind farms in the WECC region (Figure 1b). Results are shown for the full recent historical (1979–2014) time period (ANN) and seasonally: winter (DJF), spring (MAM), summer (JJA), and fall (SON). The horizontal lines of the boxplot indicate the lower quartile, the median, and the upper quartile of daily capacity factor. (b) The ratio of each dataset to ERA5 wind capacity factors in WECC. Multi-year averages are calculated using data between the 10th and 90th percentiles. Black dots represent the entire time period of each dataset (ANN), while blue, magenta, green, and orange dots correspond to winter (DJF), spring (MAM), summer (JJA), and fall (SON), respectively.
Unlike solar CFs, wind CFs derived from MRI, AS_RCEC, and E3SM exhibit greater discrepancies when compared to ERA5 data, as shown in Figure 4b. Specifically, MRI continues to show a 10% overestimation in annual mean wind CFs, while AS_RCEC and E3SM display biases of 6% and −16%, respectively, relative to ERA5. From a seasonal perspective, wind CFs perform best during winter (DJF), with biases remaining within 3%. This suggests that the models are able to effectively capture the dominant winter synoptic systems in the WECC region, which is consistent with the higher wind CFs typically observed during this season. However, the largest biases occur during summer (JJA), reaching as high as 35–40% in each model. This discrepancy indicates that the models struggle more to simulate the low wind CFs characteristic of summer, resulting in greater divergence from ERA5 data during this period.
3.2. Renewable Energy Resources in the Future
Despite limitations in data availability, the comparative analysis across models provides confidence in the MRI dataset as a tool for projecting future capacity factors, particularly given its ability to capture key seasonal trends and broad spatial patterns in renewable energy generation across the WECC region. We, therefore, proceed with the MRI 3-hourly dataset for the analysis of solar and wind resources in the future under a high-emission scenario. As discussed in the previous section, both solar and wind capacity factors derived from MRI exhibit approximately 10% overestimation compared to ERA5 data. This overestimation highlights certain biases inherent in the MRI dataset that should be considered when interpreting the results.
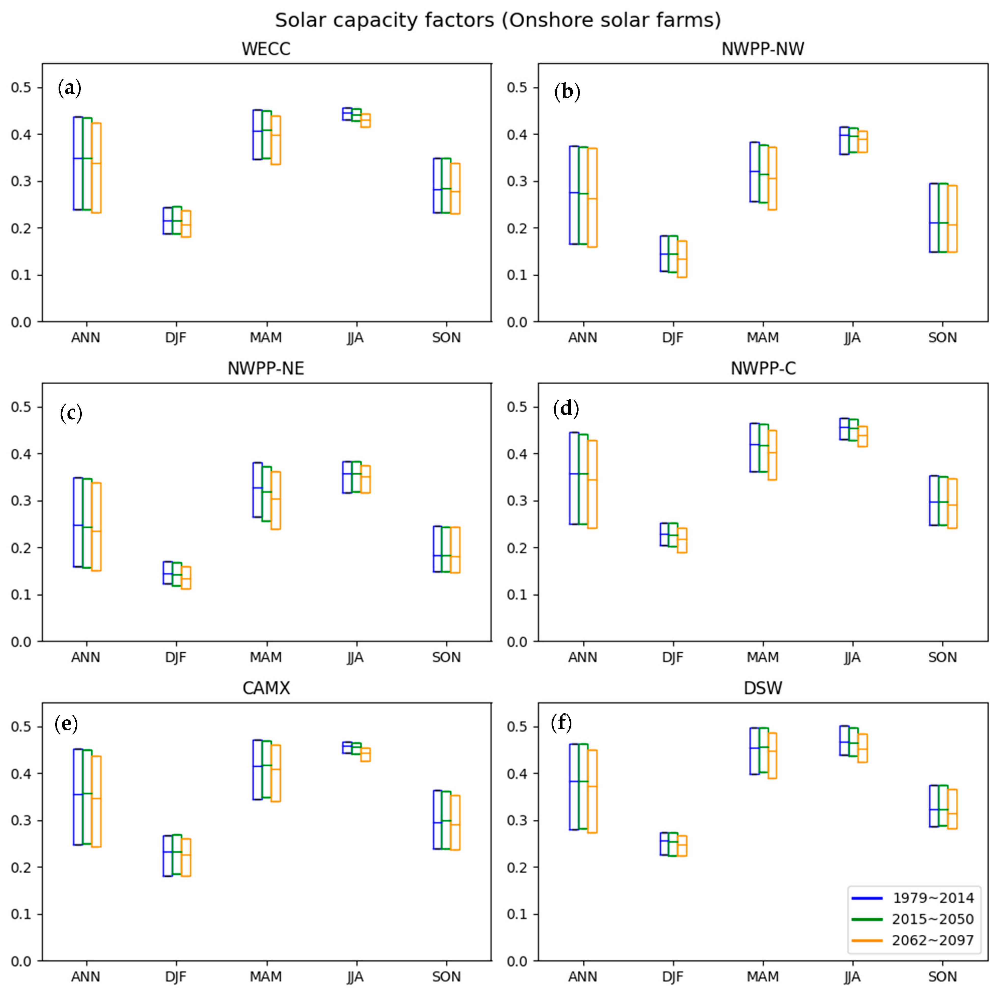
Based on the MRI dataset, the mean solar CF in the WECC region remains relatively stable between the historical period (0.34 ± 0.13) and mid-century (0.34 ± 0.12). However, by the end-of-century period, it experiences a modest decline to 0.33 ± 0.12 (~3%), both annually and consistently across seasons (Figure 5a). As discussed in Section 2.3, the relative efficiency of solar power (Equation (2)) is influenced by two key factors: downwelling irradiance and ambient air temperature. Under the future climate scenario considered in this study, the decrease in downwelling irradiance (−3%) and the increase in ambient air temperature (+1.5% in Kelvin) collectively result in lower solar CFs by the end-of-century period. The dominant driver of this decline is the reduction in downwelling irradiance, which accounts for 62% of the change in solar CF across the WECC region.
Figure 5.
Boxplots of daily solar capacity factors for recent historical (1979 to 2014; blue), mid-century (2015 to 2050; green), and end-of-century (2062 to 2097; orange) time periods. Data are gathered from the locations of existing solar farms in (a) the WECC region and the five subregions: (b) the Northwest Power Pool-Northwest region (NWPP-NW), (c) the Northwest Power Pool-Southeast region (NWPP-SE), (d) the Northwest Power Pool-Central region (NWPP-C), (e) California (CAMX), and (f) the Desert Southwest region (DSW) (Figure 1a). Results are shown for the full time period (ANN) and seasonally: winter (DJF), spring (MAM), summer (JJA), and fall (SON). The horizontal lines of the boxplot indicate the lower quartile, the median, and the upper quartile of daily capacity factor.
The solar CFs show consistent seasonal variability across the WECC subregions, with the highest mean solar CFs in summer (JJA) and the lowest in winter (DJF) (Figure 5; Table 2). Compared to the other three regions, the mean solar CFs in NWPP-NW (Figure 5b) and NWPP-NE (Figure 5c) are understandably lower, around 0.26 in the historical period, due to their locations at higher latitudes, while the mean solar CFs in the other three subregions are all above 0.34 (Table 2). In the future, the mean solar CFs in NWPP-NW, NWPP-NE, and NWPP-C exhibit declines by the mid-century and again by the end-of-century period, especially in winter (DJF) and spring (MAM). In CAMX and DSW, the mean solar CFs also show a decreasing trend with time, but the maximum decreases happen in summer (JJA) (Table 2).
Table 2.
Mean solar capacity factors for recent historical (1979 to 2014), mid-century (2015 to 2050), and end-of-century (2062 to 2097) time periods. The data are spatially averaged over the locations of existing solar farms in the WECC region and the five subregions: the Northwest Power Pool-Northwest region (NWPP-NW), the Northwest Power Pool-Southeast region (NWPP-SE), the Northwest Power Pool-Central region (NWPP-C), California (CAMX), and the Desert Southwest region (DSW) (Figure 1a). The data are temporally averaged over the whole year (ANN) and seasonally: winter (DJF), spring (MAM), summer (JJA), and fall (SON). The value in parentheses denotes the percentage difference relative to the historical mean.
The mean wind CF in the WECC region is 0.16 ± 0.18 in the historical period, 0.16 ± 0.18 in the mid-century period, and 0.15 ± 0.17 in the end-of-century period (Table 3). Similar to solar CFs, the mean wind CFs do not exhibit any significant change in the mid-century period; however, they show a noticeable decline (−7.5%) by the end-of-century period that is consistent across seasons (Figure 6).
Table 3.
As in Table 2, but for mean wind capacity factors.
Figure 6.
Boxplots of daily onshore wind capacity factors for recent historical (1979 to 2014; blue), mid-century (2015 to 2050; green), and end-of-century (2062 to 2097; orange) time periods. Data are gathered from the locations of existing wind farms in (a) the WECC region and the five subregions: (b) the Northwest Power Pool-Northwest region (NWPP-NW), (c) the Northwest Power Pool-Southeast region (NWPP-SE), (d) the Northwest Power Pool-Central region (NWPP-C), (e) California (CAMX), and (f) the Desert Southwest region (DSW) (Figure 1a). Results are shown for the full time period (ANN) and seasonally: winter (DJF), spring (MAM), summer (JJA), and fall (SON). The horizontal lines of the boxplot indicate the lower quartile, the median, and the upper quartile of daily capacity factor.
Over the five subregions, NWPP-NE (Figure 6c) has the largest wind energy resources, with a mean CF of 0.21 in the historical period, followed by DSW (Figure 6f) with 0.18 and NWPP-C with 0.16 (Table 3). These regions, which cover the eastern portion of the WECC, are particularly well-suited for wind energy because the relatively flat terrain allows for unobstructed wind flow (Figure 2b), and the position and strength of the jet stream contributes to consistently strong westerly wind. However, the seasonal cycle is different among the five subregions. In NWPP-NW (Figure 6b) and NWPP-NE (Figure 6c), the highest mean wind CF happens in winter (DJF), while in the other three subregions, the highest value is in spring (MAM) (Table 3). The lowest mean wind CF normally occurs in summer (JJA) except for in CAMX and NWPP-C, which have the lowest mean CF in fall (SON).
In the future, the mean wind CFs in NWPP-NW (Figure 6b) consistently decrease in the mid-century and end-of-century periods, especially in spring (MAM) (Table 3). In NWPP-NE (Figure 6c), NWPP-C (Figure 6d), and DSW (Figure 6e), the mean wind CF slightly increases in the mid-century period but decreases in the end-of-century period. Unlike other subregions, the wind energy resources in CAMX increase in the future, especially in spring (MAM) and summer (JJA). Based on the dataset used here, CAMX is the only region with a consistent future increase in wind energy potential; all other subregions show a decrease by the end-of-century period.
3.3. Energy Resource Drought Assessment
Figure 7 illustrates the occurrence of solar and onshore wind drought days over the entire WECC region across three time periods: historical, mid-century, and end of century. There are no solar drought days observed in the historical or mid-century periods. In the end-of-century period, there are only five total solar drought days recorded, and they all occur in winter.
Figure 7.
Solar (right column), onshore wind (middle column), and compound (solar and onshore wind; right column) drought days in WECC during the historical (1979–2014; top row; blue), mid-century (2015–2050; middle row; green). and end-of-century (2062–2097; bottom row; orange) time periods. The grey lines represent 50% of daily mean capacity factors during the historical period for solar (right column), onshore wind (middle column), and compound (solar and onshore wind; right column).
Because of high interannual variability in the wind capacity factor for each calendar day, wind drought days are significantly more frequent than solar drought days. There are 806 wind drought days (~22 days per year) in the historical period, increasing to 810 days (~22 days per year) in the mid-century period and 1214 days (~34 days per year) in the end-of-century period. The wind drought days (second column of Figure 7) also show a seasonal pattern: high in spring and fall and low in summer. Thus, wind drought days are the most frequent in the transition seasons between the high wind resource season (winter) and low wind resource season (summer).
To create a compound capacity factor, we calculate a combined average of solar and onshore wind capacity factors over the given study region (i.e., the WECC or subregion). As above, we treat solar and onshore wind energy equally, without weighting model grid cells by present-day capacity. Since, in general, the solar CFs are higher than wind CFs (grey lines in Figure 7), the resource droughts are dominated by the solar power sufficiency in the region. Thus, compound drought days usually occur in winter, as do solar-only resource droughts (Figure 7). The compound resource droughts also increase in the mid-future, from 1 day in the historical period to 3 days in the mid-century period, but decrease again to 1 day in the end-of-century period.
As mentioned above, the choice of historical threshold values for resource drought calculations in the mid-century and end-of-century periods was made with infrastructure planning purposes in mind. However, for research interests, Figure S2 shows the resource drought days in the WECC but with threshold values calculated separately for each study period. The trends in solar and compound resources remain the same regardless of which threshold values are used. The wind energy resource drought slightly decreases with different threshold values (Figure S3).
The purpose of the resource drought calculation is to estimate the projected energy shortage in an operational region that would need to be mitigated by either energy storage in the region or increased transmission capacity to the region. Given the geographic span and climatic variability across the WECC, it is useful to analyze the frequency of region-specific resource droughts. The first row of Figure 8 shows the average number of resource drought days per year in each operational subregion of the WECC during the historical period (1979–2014), mid-century period (2015–2050), and end-of-century period (2062–2097) based on a region-specific 50% historical threshold value. In general, each subregion has more drought days than the WECC as a whole for solar, wind, and compound resources. Among the five subregions, NWPP-NW has the highest number of solar drought days (8 days per year) in the historical period, and the solar droughts increase to 11 days per year in the mid-century period and 16 days per year in the end-of-century period. CAMX also has a high number of solar droughts but differs from other subregions; its solar drought days decrease in the near future, from 7 days per year in the historical period to 6 days per year in the mid-century period, but increase again to 8 days per year in the end-of-century period. NWPP-C has higher solar energy capacity factors (Figure 5d), and very few solar energy droughts occur, which shows resource stability in the region.
Figure 8.
The averaged solar (left column), onshore wind (middle column), and compound (solar and onshore wind; right column) resource drought days per year based on thresholds of 50% (top row), 25% (middle row), and 10% (bottom row) of the historical 36-year daily mean capacity factor in WECC and the five subregions. Results are shown for the historical (1979–2014; blue), mid-century (2015–2050; green), and end-of-century (2062–2097; orange) time periods. Note that a log scale is used on the y-axis to highlight variations over several orders of magnitude.
As mentioned previously, because wind power generation shows higher interannual variability for each calendar day, wind resource droughts are generally more common than solar droughts. Over the five subregions, wind drought days are generally between 2400 and 2700 days during 1979–2014, which is around 67 to 74 days per year. In the mid-century period, wind energy droughts do not show significant changes, but in the end-of-century period, drought days increase by 15–35% in most subregions, except CAMX, which is relatively stable over time (Figure 8).
As presented in Table 2 and Table 3, solar energy has a higher capacity factor in most subregions. Therefore, the occurrence of compound solar and wind resource droughts is similar to that of resource droughts for solar alone (Figure 8). However, in NWPP-NE, the renewable energy resources from solar and wind are roughly similar, with a mean solar CF of 0.25 and a mean wind CF of 0.21 in the historical period. Thus, resource drought days are influenced by wind generation in NWPP-NE. The compound resource droughts in NWPP-NE are about 750 days in the historical and mid-century periods, or roughly 21 days per year. In the end-of-century period, the drought days increase to ~1100 days, which is about 31 days per year.
Up to this point, we have used a 50% threshold of the mean capacity factor over the 36-year period to define a resource drought. However, we can also choose a stricter threshold to define more severe resource droughts. The second (third) row of Figure 8 shows solar, onshore wind, and compound resource drought days based on a threshold value of 25% (10%) of the historical 36-year daily mean in the WECC and its five subregions. As the threshold for resource droughts becomes stricter, the frequency of droughts decreases. For example, solar energy is relatively consistent when averaged over a region due to low interannual variability on each calendar day. Overall, the number of severe solar energy drought days (<25% of the mean capacity factor) is less than 1 per year in both the historical period and the future. Interestingly, CAMX has a higher chance of experiencing severe solar energy droughts in the historical and the future periods compared to NWPP-NW, an opposite trend to that with the original 50% threshold. This is because most solar energy droughts in NWPP-NW and CAMX occur in winter, likely related to cloud cover and precipitation from atmospheric rivers. In the future climate, less precipitation is expected in CAMX by the end-of-century period, which could potentially result in a decrease in solar resource droughts in the future. None of the WECC subregions experience solar energy droughts when the threshold is decreased to 10% of the mean capacity factor.
CAMX experiences a high number of extreme wind energy droughts, roughly 12 (0.5) days per year based on the 25% (10%) of the mean wind capacity factor in the historical period. Since CAMX has more and relatively reliable solar energy, the occurrence of severe compound resource droughts is much smaller, less than 10 total days in the mid-century period. Conversely, because wind capacity factors dominate in NWPP-NE, severe compound drought days (based on 25% of the threshold value) are still high, with 401 days (~11 days per year) in the historical period, increasing to 484 days by the mid-century period and 603 days (~17 days per year) by the end-of-century period.
4. Applications
4.1. Day-Ahead Capacity Factor Prediction
Conditional probability distributions for solar or wind CFs on successive days can help inform decisions about using available energy today or storing it for use tomorrow. In general, high renewable CFs tend to reduce the wholesale power price on the grid. If the capacity factor is high today but is expected to be low tomorrow, wholesale power prices would tend to be higher tomorrow than today. Under such circumstances, it would be advantageous to store the energy for use the next day.
Estimates of conditional probability distributions of capacity factors are needed to support these energy storage decisions. Given an observed capacity factor on day 1 (D1), we calculate the conditional probability distribution over possible capacity factors on day 2 (D2). Figure 9 shows the conditional probability distribution on day 2 ({D2|D1}) [50] for solar and wind CFs in the historical period over the five WECC subregions. The interval (i.e., t1, t2, …, t10) is defined by every 10th percentile of solar and wind CFs. The pattern of the probability distribution of solar CFs shows diagonal dominance, indicating that solar CFs on the second day have similar values to those on the first day. Figure 9 also shows that when solar CFs reach the 90th percentile on day 1, there is more than a 60% probability of 90th percentile solar energy on the second day for every subregion. Similarly, the probability distribution of wind CFs follows a comparable pattern to solar CFs, though the diagonal dominance is less pronounced, except at the 10th and 90th percentiles. The peak on each end indicates that when the capacity factor is high (low) on the first day, the second day tends to have high (low) wind energy as well (over 30% probability).

Figure 9.
Heatmap plots of conditional probability distribution for the capacity factor on day 2 given the capacity factor on day 1 ({D2|D1}) for solar (left column) and onshore wind (right column) in the historical period over the five WECC subregions. The probability distribution is calculated using capacity factors binned every 10th percentile, denoted by t1, t2, …, t10.
The conditional probability data in Figure 9 are averaged over the year. However, the distributions are likely to vary by season, and representing this seasonal variation would improve energy storage decisions. In addition, one could extend this analysis to longer time horizons to support multiday energy storage decisions. This is a topic for future work.
4.2. Offshore Wind Potential
The 100 Percent Clean Energy Act of 2018 (https://leginfo.legislature.ca.gov/faces/billTextClient.xhtml?bill_id=201720180SB100, accessed on 27 June 2025) increases California’s Renewables Portfolio Standard (RPS) to 60% by 2030. Furthermore, it requires that 100% of California’s electricity retail sales and electricity used by state agencies be supplied by RPS-eligible or zero-carbon resources by 2045. To reach this goal, California is beginning to focus on its plentiful offshore wind resources. Figure 2b shows that offshore wind CFs along the U.S. west coast are much higher than onshore wind CFs in the WECC region.
The power generated at offshore wind farms must travel to onshore substations via underwater cables. Bresesti et al. [51] indicated that transmission through underwater cables becomes less effective over longer distances due to power losses. They observed that conventional AC cable lines are generally limited to distances of approximately 50–60 km offshore, as power losses and the resulting investment costs beyond this range make them less economically viable. Thus, to quantify offshore wind resources, we select GCM grid cells that are adjacent to the WECC region and located between the coastline and 50 km offshore (Figure 1b). Compared to the onshore wind CFs (0.16 ± 0.18) in the historical period, the mean of the offshore wind CFs is 0.35 ± 0.13 (Figure 10). The offshore wind CFs also show a weak seasonal cycle, which indicates minimal variation in wind energy production across different seasons. This consistency suggests that offshore wind has the potential to serve as a more reliable and stable renewable energy source throughout the year, as it is less affected by seasonal fluctuations compared to other renewable sources. However, despite this seasonal stability, offshore wind still experiences significant daily variability, which highlights the need for complementary energy storage or grid management solutions to address short-term fluctuations in power generation.
Figure 10.
Boxplots of daily offshore wind capacity factors for the historical (1979 to 2014; blue), mid-century (2015 to 2050; green), and end-of-century (2062 to 2097; orange) time periods. The horizontal lines of the boxplot indicate the lower quartile, the median, and the upper quartile of daily capacity factor.
Under future climate impacts in a high-emission scenario, the mean offshore wind CF changes from 0.35 ± 0.13 in the recent historical period to 0.35 ± 0.12 in the mid-century period and 0.34 ± 0.13 in the end-of-century period. In general, the offshore wind CFs have a trend similar to that of the onshore wind CFs in the WECC region, with no significant changes in the mid-century period and about a 3% drop in the end-of-century period (Figure 10). Overall, based on the dataset analyzed here, the offshore wind resources show a high capacity factor, low interseasonal variability, and small change under future climate impacts.
Figure 11 shows offshore wind drought days during the historical, mid-century, and end-of-century periods based on 50%, 25%, and 10% thresholds of the historical 36-year daily mean. Similar to the onshore wind droughts, the offshore wind droughts in the historical period mostly occur in spring and fall (Figure 10). The fewest offshore wind droughts occur in summer, which is also a season with high wind CFs but with low daily wind variability. There are 30 offshore wind drought days per year in the historical period, with a slight decrease to 27 days per year in the mid-century period. In the end-of-century period, the offshore wind droughts increase again to 33 days per year. However, overall, offshore wind drought days only change by ~10% under future climate impacts, which is much less than the change in onshore wind droughts (~50% drought day increase over the full WECC region).
Figure 11.
Offshore wind drought days based on thresholds of 50% (left column), 25% (middle column), and 10% (right column) of the historical 36-year daily mean capacity factor. Results are shown for the historical (1979–2014; top row; blue), mid-century (2015–2050; middle row; green), and end-of-century (2062–2097; bottom row; orange) time periods. The grey lines represent 50% (right column), 25% (middle column), and 10% (right column) of daily mean capacity factors.
The frequency of offshore wind droughts drops substantially when a stricter drought threshold is used. Severe offshore wind droughts (<25% of the mean capacity factor) occur 4 days per year in the historical period, 3 days per year in the mid-century period, and 5 days per year in the end-of-century period. However, note that severe offshore wind drought days are still 6–8 times more frequent than those onshore in the WECC region. As with the 50% threshold, severe drought days also occur most frequently in spring and fall. When the drought threshold is reduced to 10% of the mean capacity factor, the number of drought days per year remains consistently low (less than 1) during the historical, mid-century, and end-of-century periods. Conversely, for onshore wind, there are no severe drought days when a 10% threshold is applied. This difference is due to higher mean CFs and higher daily CF variability for offshore wind.
5. Discussion
This paper aims to assess potential regional climate change impacts on renewable solar and wind energy resources using a high-resolution climate model dataset, with a focus on the seasonality of renewable capacity factors (CFs). We perform a model intercomparison using historical (1979–2014) data and investigate changes in two future time periods: mid-century (2015–2050) and end of century (2062–2097). Furthermore, we estimate solar and wind resource droughts during these time periods, both for the Western Electricity Coordinating Council (WECC) region and five operational subregions: the Northwest Power Pool-Northwest region (NWPP-NW), the Northwest Power Pool-Northeast region (NWPP-NE), the Northwest Power Pool-Central region (NWPP-C), California (CAMX), and the Desert Southwest region (DSW).
A model intercomparison using historical data shows that the MRI model has a seasonally consistent high bias relative to ERA5, with annual mean differences in both solar and wind CFs of about 10%, making MRI a reliable dataset for this study and future analyses. While AS_RCEC and E3SM have smaller mean biases for solar CFs, their seasonal biases vary. Wind CFs show larger biases, especially in E3SM, which has an annual mean deviation of −16% compared to ERA5. Despite differences in magnitude, all models display similar seasonal trends in solar and wind energy. This seasonal complementarity between high solar and high wind energy can help balance renewable supply throughout the year, though wind’s greater variability may increase generation uncertainty.
Under future climate impacts in a high-emission scenario, solar CFs show no substantial change in the mid-century period but experience a 3% decrease by the end-of-century period across the WECC region. Some subregions or seasons can show decreases in solar CF as large as 9%. Wind CFs exhibit slightly larger variability, with annual mean changes of approximately ±2% by the mid-century period and declines of 4–13% by the end-of-century period across most subregions, with the exception of CAMX, which shows increased wind energy potential in the future.
Estimated resource drought days in the WECC region occur more frequently for wind energy than for solar energy. Under future climate impacts, the frequency of wind droughts increases from 22 days per year in the historical period to 34 days per year in the end-of-century period. Although the frequency of solar drought days increases slightly, it remains less than 1 day per year by the end-of-century period. The same is true for compound droughts, which, assuming solar and wind energy are treated equally, follow the same trend as solar droughts due to relatively higher solar capacity factors across the WECC.
Since the proportion of solar and onshore wind energy varies across subregions, the resulting frequency of resource droughts is also different. Generally speaking, wind energy has higher spatial and temporal variability than solar energy, leading to greater uncertainty in energy supply. Solar energy is a more reliable renewable energy resource in most southern states. Understanding the dominant renewable energy resource in a region and its seasonal and interannual variabilities is important for long-term infrastructure planning.
In addition to evaluating renewable resources and droughts in the future climate, we also demonstrate the application of high-resolution climate model results to two important energy infrastructure planning applications: storage and offshore wind. Historical data reveals strong day-to-day correlations in solar CFs, while wind CFs show greater variability. Extending the proposed conditional probability analysis to incorporate seasonal patterns or longer time horizons could provide avenues for future research and ultimately enhance energy storage strategies. The offshore wind CFs estimated for this region are close to two times higher than the onshore wind CFs in the WECC while also showing smaller seasonal variability and reduced climate change impacts. This suggests that offshore wind could be a more stable renewable energy resource over the course of the year, although the daily variability is still high.
While the present findings provide valuable insights into potential climate impacts on renewable resources in the WECC, the generalizability of the results is limited by the dataset used. The MRI dataset was chosen due to its unique combination of high spatial resolution (25 km) and sub-daily (3-hourly) output, but only a high-emission scenario was available for analysis. The MRI dataset also demonstrates consistent biases relative to ERA5 but remains a strong candidate for renewable energy resource assessments compared to other available models.
In future work, the methodologies used in this study could be extended to consider additional datasets as they become available or to focus on different regions. Future studies could also incorporate additional emissions scenarios to assess the uncertainty in climate impacts on renewable resources. Finally, bias correction techniques could be implemented to increase confidence in future projections. However, the application of bias correction depends on a well-accepted baseline dataset for solar and wind resources in the given region of interest.
6. Conclusions
This study addresses the critical need for understanding how regional climate change impacts renewable energy resources. By leveraging high-resolution climate model data, we have examined potential future variability in solar and wind energy resources across the WECC region. These findings underscore the importance of integrating climate-informed resource assessments into energy planning frameworks to ensure long-term sustainability and reliability.
The results reveal that solar energy, despite its seasonal variability, offers greater reliability and stability compared to wind energy, which is subject to higher spatial and temporal variability. This distinction has implications for infrastructure planning, particularly in regions where wind resources may decline under future climate scenarios. Moreover, the study highlights the potential of offshore wind energy as a stable and high-capacity resource, suggesting that increased offshore wind development could help to mitigate the impacts of climate change on renewable energy supply.
Supplementary Materials
The following supporting information can be downloaded at: https://www.mdpi.com/article/10.3390/en18133467/s1, Figure S1: (a) Histogram of daily and 3-hourly solar capacity factors from 1979 to 2014; (b) Mean monthly variation in solar capacity factors over the same period; (c) and (d) show the corresponding histogram and monthly variation for wind capacity factors, respectively. Figure S2: Solar (right column), onshore wind (middle column), and compound (solar and onshore wind; right column) drought days in WECC during the historical (1979–2014; top row), mid-century (2015–2050; middle row), and end-of-century (2062–2097; bottom row) periods using a study-period-specific drought threshold. The grey lines represent the 50% daily mean capacity factor threshold for the given resource (right column: solar; middle column: onshore wind; right column: compound) during the given study period (top row: 1979–2014; middle row: 2015–2050; bottom row: 2062–2097). Figure S3: (a) Solar, onshore wind, and compound (solar and onshore wind) resource drought days per year based on thresholds of 50% of the historical 36-year daily mean in WECC; (b) Resource drought days based on the thresholds of 50% of the study-period-specific 36-year daily mean in WECC.
Author Contributions
H.-H.L. and all co-authors provided ideas for this study. H.-H.L. led and coordinated the manuscript with input from the coauthors. All authors have read and agreed to the published version of the manuscript.
Funding
This study was supported by LLNL LDRD project 23-ERD-010, “Forecasting and mitigating the impacts of climate change on renewable energy resources and grid reliability”. This work was also supported in part by the Energy Exascale Earth System Model (E3SM) project funded by the U.S. Department of Energy, Office of Science, Office of Biological and Environmental Research. Performed under the auspices of the U.S. DOE by Lawrence Livermore National Laboratory under contract DE-AC52-07NA27344. LLNL IM: LLNL-JRNL-860334.
Data Availability Statement
The entire HighResMIP data archive can be accessed via ESGF (the LLNL node https://esgf-node.llnl.gov/search/cmip6/, accessed on 27 June 2025). The E3SMv2 simulated outputs for this study are available at https://doi.org/10.5281/zenodo.10456751.
Conflicts of Interest
The authors declare no conflicts of interest.
Abbreviations
The following abbreviations in alphabetical order are used in this manuscript:
| CAMX | California (electrical grid region) |
| CF | Capacity factor |
| CMIP5 | The Fifth Coupled Model Intercomparison Project |
| CMIP6 | The Sixth Coupled Model Intercomparison Project |
| DOE | Department of Energy |
| DSW | Desert Southwest (electrical grid region) |
| E3SM | Energy Exascale Earth System Model |
| ECMWF | European Centre for Medium-Range Weather Forecast |
| EIA | Energy Information Administration |
| ERA5 | The fifth-generation European Centre for Medium-Range Weather Forecast reanalysis |
| GCM | Global climate model |
| GFDL | Geophysical Fluid Dynamics Laboratory |
| HighResMIP | High-Resolution Model Intercomparison Project |
| IPCC | Intergovernmental Panel on Climate Change |
| MPAS | Model for Prediction Across Scales |
| MRI | Meteorological Research Institute |
| NARRM | North American Regionally Refined Model |
| NWPP-C | Northwest Power Pool-Central (electrical grid region) |
| NWPP-NE | Northwest Power Pool-Northeast (electrical grid region) |
| NWPP-NW | Northwest Power Pool-Northwest (electrical grid region) |
| PV | Photovoltaic |
| RCEC | Research Center for Environmental Changes |
| RCP8.5 | Representative Concentration Pathway 8.5 |
| WECC | Western Electricity Coordinating Council |
| WRF | Weather Research and Forecasting |
References
- Craig, M.T.; Cohen, S.; Macknick, J.; Draxl, C.; Guerra, O.J.; Sengupta, M.; Haupt, S.E.; Hodge, B.-M.; Brancucci, C. A review of the potential impacts of climate change on bulk power system planning and operations in the United States. Renew. Sustain. Energy Rev. 2018, 98, 255–267. [Google Scholar] [CrossRef]
- Auffhammer, M.; Baylis, P.; Hausman, C.H. Climate change is projected to have severe impacts on the frequency and intensity of peak electricity demand across the United States. Proc. Natl. Acad. Sci. USA 2017, 114, 1886–1891. [Google Scholar] [CrossRef] [PubMed]
- Sathaye, J.A.; Dale, L.L.; Larsen, P.H.; Fitts, G.A.; Koy, K.; Lewis, S.M.; de Lucena, A.F.P. Estimating impacts of warming temperatures on California’s electricity system. Glob. Environ. Change 2013, 23, 499–511. [Google Scholar] [CrossRef]
- Haupt, S.E.; Copeland, J.; Cheng, W.Y.Y.; Zhang, Y.; Ammann, C.; Sullivan, P. A Method to Assess the Wind and Solar Resource and to Quantify Interannual Variability over the United States under Current and Projected Future Climate. J. Appl. Meteorol. Climatol. 2016, 55, 345–363. (In English) [Google Scholar] [CrossRef]
- Huber, I.; Bugliaro, L.; Ponater, M.; Garny, H.; Emde, C.; Mayer, B. Do climate models project changes in solar resources? Sol. Energy 2016, 129, 65–84. [Google Scholar] [CrossRef]
- Wild, M.; Folini, D.; Henschel, F.; Fischer, N.; Müller, B. Projections of long-term changes in solar radiation based on CMIP5 climate models and their influence on energy yields of photovoltaic systems. Sol. Energy 2015, 116, 12–24. [Google Scholar] [CrossRef]
- Crook, J.A.; Jones, L.A.; Forster, P.M.; Crook, R. Climate change impacts on future photovoltaic and concentrated solar power energy output. Energy Environ. Sci. 2011, 4, 3101–3109. [Google Scholar] [CrossRef]
- Gernaat, D.E.H.J.; de Boer, H.S.; Daioglou, V.; Yalew, S.G.; Müller, C.; van Vuuren, D.P. Climate change impacts on renewable energy supply. Nat. Clim. Change 2021, 11, 119–125. [Google Scholar] [CrossRef]
- Johnson, D.L.; Erhardt, R.J. Projected impacts of climate change on wind energy density in the United States. Renew. Energy 2016, 85, 66–73. [Google Scholar] [CrossRef]
- Kulkarni, S.; Huang, H.-P. Changes in Surface Wind Speed over North America from CMIP5 Model Projections and Implications for Wind Energy. Adv. Meteorol. 2014, 2014, 292768. [Google Scholar] [CrossRef]
- Liu, B.; Costa, K.B.; Xie, L.; Semazzi, F.H.M. Dynamical Downscaling of Climate Change Impacts on Wind Energy Resources in the Contiguous United States by Using a Limited-Area Model with Scale-Selective Data Assimilation. Adv. Meteorol. 2014, 2014, 897246. [Google Scholar] [CrossRef]
- Coburn, J.; Pryor, S.C. Projecting Future Energy Production from Operating Wind Farms in North America. Part II: Statistical Downscaling. J. Appl. Meteorol. Climatol. 2023, 62, 81–101. (In English) [Google Scholar] [CrossRef]
- Pryor, S.C.; Barthelmie, R.J.; Bukovsky, M.S.; Leung, L.R.; Sakaguchi, K. Climate change impacts on wind power generation. Nat. Rev. Earth Environ. 2020, 1, 627–643. [Google Scholar] [CrossRef]
- Solaun, K.; Cerdá, E. Climate change impacts on renewable energy generation. A review of quantitative projections. Renew. Sustain. Energy Rev. 2019, 116, 109415. [Google Scholar] [CrossRef]
- Pryor, S.C.; Coburn, J.J.; Barthelmie, R.J.; Shepherd, T.J. Projecting Future Energy Production from Operating Wind Farms in North America. Part I: Dynamical Downscaling. J. Appl. Meteorol. Climatol. 2023, 62, 63–80. (In English) [Google Scholar] [CrossRef]
- Brown, P.T.; Farnham, D.J.; Caldeira, K. Meteorology and climatology of historical weekly wind and solar power resource droughts over western North America in ERA5. SN Appl. Sci. 2021, 3, 814. [Google Scholar] [CrossRef]
- François, B.; Hingray, B.; Raynaud, D.; Borga, M.; Creutin, J.D. Increasing climate-related-energy penetration by integrating run-of-the river hydropower to wind/solar mix. Renew. Energy 2016, 87, 686–696. [Google Scholar] [CrossRef]
- Jacob, D.; Petersen, J.; Eggert, B.; Alias, A.; Christensen, O.B.; Bouwer, L.M.; Braun, A.; Colette, A.; Déqué, M.; Georgievski, G.; et al. EURO-CORDEX: New high-resolution climate change projections for European impact research. Reg. Environ. Change 2014, 14, 563–578. [Google Scholar] [CrossRef]
- Raynaud, D.; Hingray, B.; François, B.; Creutin, J.D. Energy droughts from variable renewable energy sources in European climates. Renew. Energy 2018, 125, 578–589. [Google Scholar] [CrossRef]
- Jerez, S.; Tobin, I.; Vautard, R.; Montávez, J.P.; López-Romero, J.M.; Thais, F.; Bartok, B.; Christensen, O.B.; Colette, A.; Déqué, M.; et al. The impact of climate change on photovoltaic power generation in Europe. Nat. Commun. 2015, 6, 10014. [Google Scholar] [CrossRef]
- Tobin, I.; Vautard, R.; Balog, I.; Bréon, F.-M.; Jerez, S.; Ruti, P.M.; Thais, F.; Vrac, M.; Yiou, P. Assessing climate change impacts on European wind energy from ENSEMBLES high-resolution climate projections. Clim. Change 2015, 128, 99–112. [Google Scholar] [CrossRef]
- Plain, N.; Hingray, B.; Mathy, S. Accounting for low solar resource days to size 100% solar microgrids power systems in Africa. Renew. Energy 2019, 131, 448–458. [Google Scholar] [CrossRef]
- Bichet, A.; Hingray, B.; Evin, G.; Diedhiou, A.; Kebe, C.M.F.; Anquetin, S. Potential impact of climate change on solar resource in Africa for photovoltaic energy: Analyses from CORDEX-AFRICA climate experiments. Environ. Res. Lett. 2019, 14, 124039. [Google Scholar] [CrossRef]
- Arthur, R.S.; Golaz, J.C.; Lee, H.H.; Wert, J.; Signorotti, M.; Watson, J.P. Perspective: High-resolution climate model datasets for energy infrastructure planning in a renewable-dependent future. J. Renew. Sustain. Energy 2025, 17, 032301. [Google Scholar] [CrossRef]
- Mizuta, R.; Yoshimura, H.; Ose, T.; Hosaka, M.; Yukimoto, S. MRI MRI-AGCM3-2-S Model Output Prepared for CMIP6 HighResMIP highresSST-Present; Earth System Grid Federation, 2019. [Google Scholar] [CrossRef]
- Mizuta, R.; Yoshimura, H.; Ose, T.; Hosaka, M.; Yukimoto, S. MRI MRI-AGCM3-2-S Model Output Prepared for CMIP6 HighResMIP highresSST-Future; Earth System Grid Federation, 2019. [Google Scholar] [CrossRef]
- Haarsma, R.J.; Roberts, M.J.; Vidale, P.L.; Senior, C.A.; Bellucci, A.; Bao, Q.; Chang, P.; Corti, S.; Fučkar, N.S.; Guemas, V.; et al. High Resolution Model Intercomparison Project (HighResMIP v1.0) for CMIP6. Geosci. Model Dev. 2016, 9, 4185–4208. [Google Scholar] [CrossRef]
- Tu, C.-Y. AS-RCEC HiRAM-SIT-HR Model Output Prepared for CMIP6 HighResMIP highresSST-Present; Earth System Grid Federation, 2020. [Google Scholar] [CrossRef]
- Golaz, J.-C.; Van Roekel, L.P.; Zheng, X.; Roberts, A.F.; Wolfe, J.D.; Lin, W.; Bradley, A.M.; Tang, Q.; Maltrud, M.E.; Forsyth, R.M.; et al. The DOE E3SM Model Version 2: Overview of the Physical Model and Initial Model Evaluation. J. Adv. Model. Earth Syst. 2022, 14, e2022MS003156. [Google Scholar] [CrossRef]
- Tang, Q.; Golaz, J.C.; Van Roekel, L.P.; Taylor, M.A.; Lin, W.; Hillman, B.R.; Ullrich, P.A.; Bradley, A.M.; Guba, O.; Wolfe, J.D.; et al. The fully coupled regionally refined model of E3SM version 2: Overview of the atmosphere, land, and river results. Geosci. Model Dev. 2023, 16, 3953–3995. [Google Scholar] [CrossRef]
- Hersbach, H.; Bell, B.; Berrisford, P.; Hirahara, S.; Horányi, A.; Muñoz-Sabater, J.; Nicolas, J.; Peubey, C.; Radu, R.; Schepers, D.; et al. The ERA5 global reanalysis. Q. J. R. Meteorol. Soc. 2020, 146, 1999–2049. [Google Scholar] [CrossRef]
- Hersbach, H.; Comyn-Platt, E.; Bell, B.; Berrisford, P.; Biavati, G.; Horányi, A.; Muñoz Sabater, J.; Nicolas, J.; Peubey, C.; Radu, R.; et al. ERA5 Post-Processed Daily-Statistics on Pressure Levels from 1940 to Present; Copernicus Climate Change Service (C3S) Climate Data Store (CDS), 2023. [Google Scholar] [CrossRef]
- IEA. World Energy Investment 2023. IEA. 2023. Available online: https://www.iea.org/reports/world-energy-investment-2023 (accessed on 27 June 2025).
- WECC. Western Assessment of Resource Adequacy. 2022. Available online: https://www.wecc.org/sites/default/files/documents/program/2024/WARA%202021.pdf (accessed on 27 June 2025).
- Wilczak, J.M.; Akish, E.; Capotondi, A.; Compo, G.P. Evaluation and Bias Correction of the ERA5 Reanalysis over the United States for Wind and Solar Energy Applications. Energies 2024, 17, 1667. [Google Scholar] [CrossRef]
- Bett, P.E.; Thornton, H.E. The climatological relationships between wind and solar energy supply in Britain. Renew. Energy 2016, 87, 96–110. [Google Scholar] [CrossRef]
- Huld, T.; Šúri, M.; Dunlop, E.D. Geographical variation of the conversion efficiency of crystalline silicon photovoltaic modules in Europe. Prog. Photovolt. Res. Appl. 2008, 16, 595–607. [Google Scholar] [CrossRef]
- Brayshaw, D.J.; Troccoli, A.; Fordham, R.; Methven, J. The impact of large scale atmospheric circulation patterns on wind power generation and its potential predictability: A case study over the UK. Renew. Energy 2011, 36, 2087–2096. [Google Scholar] [CrossRef]
- Peterson, E.W.; Hennessey, J.P. On the Use of Power Laws for Estimates of Wind Power Potential. J. Appl. Meteorol. Climatol. 1978, 17, 390–394. (In English) [Google Scholar] [CrossRef]
- Hsu, S.A.; Meindl, E.A.; Gilhousen, D.B. Determining the Power-Law Wind-Profile Exponent under Near-Neutral Stability Conditions at Sea. J. Appl. Meteorol. Climatol. 1994, 33, 757–765. [Google Scholar] [CrossRef]
- Veronesi, F.; Grassi, S. Comparison of hourly and daily wind speed observations for the computation of Weibull parameters and power output. In Proceedings of the 2015 3rd International Renewable and Sustainable Energy Conference (IRSEC), Marrakech, Morocco, 10–13 December 2015; pp. 1–6. [Google Scholar]
- Rinaldi, K.Z.; Dowling, J.A.; Ruggles, T.H.; Caldeira, K.; Lewis, N.S. Wind and Solar Resource Droughts in California Highlight the Benefits of Long-Term Storage and Integration with the Western Interconnect. Environ. Sci. Technol. 2021, 55, 6214–6226. [Google Scholar] [CrossRef]
- Hawkins, E.; Sutton, R. The Potential to Narrow Uncertainty in Regional Climate Predictions. Bull. Am. Meteorol. Soc. 2009, 90, 1095–1108. (In English) [Google Scholar] [CrossRef]
- Deser, C.; Phillips, A.; Bourdette, V.; Teng, H. Uncertainty in climate change projections: The role of internal variability. Clim. Dyn. 2012, 38, 527–546. [Google Scholar] [CrossRef]
- Evin, G.; Somot, S.; Hingray, B. Balanced estimate and uncertainty assessment of European climate change using the large EURO-CORDEX regional climate model ensemble. Earth Syst. Dynam. 2021, 12, 1543–1569. [Google Scholar] [CrossRef]
- Hingray, B.; Blanchet, J.; Evin, G.; Vidal, J.-P. Uncertainty component estimates in transient climate projections. Clim. Dyn. 2019, 53, 2501–2516. [Google Scholar] [CrossRef]
- Aitken, G.; Beevers, L.; Parry, S.; Facer-Childs, K. Partitioning model uncertainty in multi-model ensemble river flow projections. Clim. Change 2023, 176, 153. [Google Scholar] [CrossRef]
- Hempel, S.; Frieler, K.; Warszawski, L.; Schewe, J.; Piontek, F. A trend-preserving bias correction – the ISI-MIP approach. Earth Syst. Dynam. 2013, 4, 219–236. [Google Scholar] [CrossRef]
- Teutschbein, C.; Seibert, J. Bias correction of regional climate model simulations for hydrological climate-change impact studies: Review and evaluation of different methods. J. Hydrol. 2012, 456–457, 12–29. [Google Scholar] [CrossRef]
- Campos, R.M.; Gramcianinov, C.B.; de Camargo, R.; da Silva Dias, P.L. Assessment and Calibration of ERA5 Severe Winds in the Atlantic Ocean Using Satellite Data. Remote Sens. 2022, 14, 4918. [Google Scholar] [CrossRef]
- Bresesti, P.; Kling, W.L.; Hendriks, R.L.; Vailati, R. HVDC Connection of Offshore Wind Farms to the Transmission System. IEEE Trans. Energy Convers. 2007, 22, 37–43. [Google Scholar] [CrossRef]
Disclaimer/Publisher’s Note: The statements, opinions and data contained in all publications are solely those of the individual author(s) and contributor(s) and not of MDPI and/or the editor(s). MDPI and/or the editor(s) disclaim responsibility for any injury to people or property resulting from any ideas, methods, instructions or products referred to in the content. |
© 2025 by the authors. Licensee MDPI, Basel, Switzerland. This article is an open access article distributed under the terms and conditions of the Creative Commons Attribution (CC BY) license (https://creativecommons.org/licenses/by/4.0/).











