Operational Environment Effects on Energy Consumption and Reliability in Mine Truck Haulage
Abstract
1. Introduction
Literature Review
2. Materials and Methods
- Road network: Featuring varying conditions and configurations for different operational scenarios.
- Loaders and excavators: Responsible for material extraction and loading.
- Haul trucks: Facilitating material transport within the mine.
- Plant facilities: Including the mine workings, waste dumps, and processing plant.
- Deposits: Representing the extracted material and its classification by quality.
- The bucket capacity of the loader.
- The payload and body capacity.
- Maneuvering time for loading and unloading.
- Actual fuel consumption during return transport and maneuvering while loading and unloading.
- Failure rate/failure intensity function λ(t).
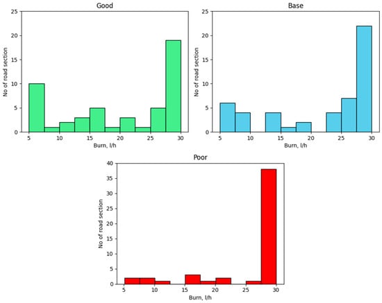
3. Results of Analysis of Haul Truck Energy Consumption in Operation Environment
4. Results of Analysis Haul Truck Failure Intensity Function in Operation Environment
5. Modifications to Existing Operating Conditions at the Mine Site and Their Impact on the Analyzed Parameters of Haulers
6. Discussion
7. Conclusions
Author Contributions
Funding
Data Availability Statement
Conflicts of Interest
References
- Bodziony, P.; Patyk, M. The Influence of the Mining Operation Environment on the Energy Consumption and Technical Availability of Truck Haulage Operations in Surface Mines. Energies 2024, 17, 2654. [Google Scholar] [CrossRef]
- Kecojevic, V.; Komljenovic, D. Haul truck fuel consumption and CO2 emission under various engine load conditions. In Proceedings of the SME Annual Meeting and Exhibit and CMA 113th National Western Mining Conference 2011, Denver, CO, USA, 28 February–2 March 2011. [Google Scholar]
- Kecojevic, V.; Vukotic, I.; Komljenovic, D. Production, consumption and cost of energy for surface mining of bituminous coal. Min. Eng. 2014, 66, 51–57. [Google Scholar]
- Curi, A.; Felsch, W.S.; Rodovalho, E.C.; Meireles, B.P. Evaluation of Haul Trucks Performance in a CSN Mine. In Proceedings of the Mine Planning and Equipment Selection, Dresden, Germany, 14–19 October 2013. [Google Scholar] [CrossRef]
- Bodziony, P.; Kasztelewicz, Z.; Sawicki, P. The Problem of Multiple Criteria Selection of the Surface Mining Haul Trucks. Arch. Min. Sci. 2016, 61, 223–243. [Google Scholar] [CrossRef]
- Sahoo, L.K.; Bandyopadhyay, S.; Banerjee, R. Benchmarking energy consumption of truck haulage. In Green Energy and Technology; Springer: Cham, Switzerland, 2018. [Google Scholar] [CrossRef]
- Krysa, Z.; Bodziony, P.; Patyk, M. Discrete simulations in analyzing the effectiveness of raw materials transportation during extraction of low-quality deposits. Energies 2021, 14, 5884. [Google Scholar] [CrossRef]
- Golbasi, O.; Kina, E. Haul truck fuel consumption modeling under random operating conditions: A case study. Transp. Res. Part D Transp. Environ. 2022, 102, 103135. [Google Scholar] [CrossRef]
- Dindarloo, S.R.; Siami-Irdemoosa, E. Determinants of fuel consumption in mining trucks. Energy 2016, 112, 232–240. [Google Scholar] [CrossRef]
- Straka, M.; Rosová, A.; Lenort, R.; Besta, P.; Šaderová, J. Principles of computer simulation design for the needs of improvement of the raw materials combined transport system. Acta Montan. Slovaca 2018, 23, 163–174. [Google Scholar]
- Soofastaei, A.; Aminossadati, S.M.; Kizil, M.S.; Knights, P. A comprehensive investigation of loading variance influence on fuel consumption and gas emissions in mine haulage operation. Int. J. Min. Sci. Technol. 2016, 26, 995–1001. [Google Scholar] [CrossRef]
- Soofastaei, A.; Karimpour, E.; Knights, P.; Kizil, M. Energy-efficient loading and hauling operations. In Green Energy and Technology; Springer: Cham, Switzerland, 2018. [Google Scholar] [CrossRef]
- Soofastaei, A.; Fouladgar, M. Advanced analytics for haul trucks energy-efficiency improvement in surface mines. In Advanced Analytics in Mining Engineering: Leverage Advanced Analytics in Mining Industry to Make Better Business Decisions; Springer: Cham, Switzerland, 2022. [Google Scholar] [CrossRef]
- Siami-Irdemoosa, E.; Dindarloo, S.R. Prediction of fuel consumption of mining dump trucks: A neural networks approach. Appl. Energy 2015, 151, 77–84. [Google Scholar] [CrossRef]
- Bousonville, T.; Dirichs, M.; Kruger, T. Estimating truck fuel consumption with machine learning using telematics, topology and weather data. In Proceedings of the 2019 International Conference on Industrial Engineering and Systems Management, IESM 2019, Shanghai, China, 25–27 September 2019. [Google Scholar] [CrossRef]
- Terpstra, V.J.; Lara-Yejas, O.; Mokhtari, K.; Cruz, J.F.H.S.; de Mattos, M.P. Fuel optimization in mining trucks using machine learning. In Proceedings of the IISE Annual Conference and Expo 2021, Online, 22–25 May 2021. [Google Scholar]
- Alamdari, S.; Hossein Basiri, M.; Mousavi, A.; Soofastaei, A. Application of Machine Learning Techniques to Predict Haul Truck Fuel Consumption in Open-Pit Mines. J. Min. Environ. 2022, 13, 69–85. [Google Scholar] [CrossRef]
- Nurić, A.; Nurić, S. Numerical modeling of transport roads in open pit mines. J. Sustain. Min. 2019, 18, 25–30. [Google Scholar] [CrossRef]
- Douglas, R.A.; Lawrence, K. Optimizing haul road design—A challenge for resource development in Northern Canada. In Proceedings of the 2014 Transportation Association of Canada Conference and Exhibition: Past, Present, Future, ATC 2014, Montreal, QC, Canada, 28 September 2014. [Google Scholar]
- Richardson, S.; McIver, J. Improving Mine Haul Road Roughness to Reduce Haul Truck Fuel Consumption; SAE Technical Papers; SAE International: Warrendale, PA, USA, 2015. [Google Scholar] [CrossRef]
- Coffey, J.; Nikraz, H.; Leek, C. Haul road rolling resistance and pavement condition. Aust. J. Civ. Eng. 2018, 16, 12–22. [Google Scholar] [CrossRef]
- Coffey, J.; Nikraz, H.; Leek, C. An investigation into opportunities for improvement of surface mine haul road functional design, construction and maintenance. Aust. Geomech. J. 2018, 53, 129–139. [Google Scholar]
- Li, X.; Gu, Q.; Ruan, S.; Feng, Z. Optimal transportation path planning of truck in open-pit mine under dynamic energy consumption. Meitan Xuebao/J. China Coal Soc. 2021, 46 (Suppl. S1), 590–600. [Google Scholar] [CrossRef]
- Hasan, H.; Octariando, R. The Effect of Road Grade on Dump Truck Fuel Consumption; SAE Technical Papers; SAE International: Warrendale, PA, USA, 2022. [Google Scholar] [CrossRef]
- Saderova, J.; Rosova, A.; Kacmary, P.; Sofranko, M.; Bindzar, P.; Malkus, T. Modelling as a tool for the planning of the transport system performance in the conditions of a raw material mining. Sustainability 2020, 12, 8051. [Google Scholar] [CrossRef]
- Pascual, R.; Román, M.; López-Campos, M.; Hitch, M.; Rodovalho, E. Reducing mining footprint by matching haul fleet demand and route-oriented tire types. J. Clean. Prod. 2019, 227, 645–651. [Google Scholar] [CrossRef]
- Peralta, S.; Sasmito, A.P.; Kumral, M. Reliability effect on energy consumption and greenhouse gas emissions of mining hauling fleet towards sustainable mining. J. Sustain. Min. 2016, 15, 85–94. [Google Scholar] [CrossRef]
- Hall, R.A.; Daneshmend, L.K.; Lipsett, M.G.; Wong, J. Reliability analysis as a tool for surface mining equipment evaluation and selection. C. Bull. 2000, 93, 78–82. [Google Scholar]
- Yu, H.; Solvang, W.D.; Sun, X. A decision-support model for operational planning of surface coal mining considering equipment failure. In Proceedings of the 2016 International Symposium on Small-Scale Intelligent Manufacturing Systems, SIMS 2016, Narvik, Norway, 21–24 June 2016. [Google Scholar] [CrossRef]
- Paithankar, A.; Chatterjee, S. Forecasting time-to-failure of machine using hybrid Neuro-genetic algorithm–a case study in mining machinery. Int. J. Min. Reclam. Environ. 2018, 32, 182–195. [Google Scholar] [CrossRef]
- Morad, A.M.; Pourgol-Mohammad, M.; Sattarvand, J. Application of reliability-centered maintenance for productivity improvement of open pit mining equipment: Case study of Sungun Copper Mine. J. Cent. South Univ. 2014, 21, 2372–2382. [Google Scholar] [CrossRef]
- Upadhyay, S.; Tabesh, M.; Badiozamani, M.; Askari-Nasab, H. A Simulation Model for Estimation of Mine Haulage Fleet Productivity. In Springer Series in Geomechanics and Geoengineering, Proceedings of the 28th International Symposium on Mine Planning and Equipment Selection—MPES 2019; Springer: Berlin/Heidelberg, Germany, 2020; pp. 42–50. [Google Scholar]
- Angeles, E.; Kumral, M. Optimal Inspection and Preventive Maintenance Scheduling of Mining Equipment. J. Fail. Anal. Prev. 2020, 20, 1408–1416. [Google Scholar] [CrossRef]
- Topal, E.; Ramazan, S. A new MIP model for mine equipment scheduling by minimizing maintenance cost. Eur. J. Oper. Res. 2010, 207, 1065–1071. [Google Scholar] [CrossRef]
- Kristjanpoller, F.; Viveros, P.; Zio, E.; Pascual, R.; Aranda, O. Equivalent availability index for the performance measurement of haul truck fleets. Eksploat. I Niezawodn. 2020, 22, 583–591. [Google Scholar] [CrossRef]
- Feng, Y.; Dong, Z.; Yang, J.; Cheng, R. Performance modeling and cost-benefit analysis of hybrid electric mining trucks. In Proceedings of the MESA 2016—12th IEEE/ASME International Conference on Mechatronic and Embedded Systems and Applications—Conference Proceedings, Auckland, New Zealand, 29–31 August 2016. [Google Scholar] [CrossRef]
- Baek, J.; Choi, Y. A new method for haul road design in open-pit mines to support efficient truck haulage operations. Appl. Sci. 2017, 7, 747. [Google Scholar] [CrossRef]
- Dimitrakopoulos, R.; Lamghari, A. Simultaneous stochastic optimization of mining complexes—Mineral value chains: An overview of concepts, examples and comparisons. Int. J. Min. Reclam. Environ. 2022, 36, 443–460. [Google Scholar] [CrossRef]
- Frydrýšek, K. Monte carlo probabilistic approach applied for solving problems in mining engineering. In Intelligent Systems for Computer Modelling. Advances in Intelligent Systems and Computing; Springer: Cham, Switzerland, 2016; Volume 423. [Google Scholar] [CrossRef]
- Gaurav, K.; Agrawal, A.K.; Chattopadhyaya, S.; Siddiqui, M.A.H. Reliability and maintainability analysis of universal drill machine at Saoner mines, Nagpur, India. IOP Conf. Ser. Mater. Sci. Eng. 2019, 691, 012014. [Google Scholar] [CrossRef]
- Kaboli, A.S.; Carmichael, D.G. Optimum scraper load time and fleet size for minimum emissions. Int. J. Constr. Manag. 2014, 14, 209–226. [Google Scholar] [CrossRef]
- Kishorilal, D.B. Cost modelling of overhauled engines used in dumpers. Int. J. Appl. Eng. Res. 2016, 11, 5516–5518. [Google Scholar]
- Kishorilal, D.B.; Mukhopadhyay, A.K. Reliability analysis of overhauled engines of dumpers. Appl. Mech. Mater. 2014, 592–594, 1756–1760. [Google Scholar] [CrossRef]
- Kittipongvises, S.; Chavalparit, O.; Sutthirat, C. Greenhouse gases and energy intensity of granite rock mining operations in Thailand: A case of industrial rock-construction. Environ. Clim. Technol. 2016, 18, 64–75. [Google Scholar] [CrossRef]
- Ngwangwa, H.M.; Heyns, P.S. Application of an ANN-based methodology for road surface condition identification on mining vehicles and roads. J. Terramechanics 2014, 53, 59–74. [Google Scholar] [CrossRef]
- Ozdemir, B.; Kumral, M. Appraising production targets through agent-based Petri net simulation of material handling systems in open pit mines. Simul. Model. Pract. Theory 2018, 87, 138–154. [Google Scholar] [CrossRef]
- Ozdemir, B.; Kumral, M. Analysing human effect on the reliability of mining equipment. Int. J. Heavy Veh. Syst. 2019, 26, 872–887. [Google Scholar] [CrossRef]
- Salama, A. Optimization Using Discrete Event Simulation and Mixed Integer Programming: Application on Haulage Systems for Deep Underground Mines. Licentiate Thesis, Luleå University of Technology, Luleå, Sweden, 2013. [Google Scholar]
- HaulSim: Haulage Simulation Software, version 3.0; HaulSim Company: Brisbane, Australia, 2018.
- Thompson, R.J.; Visser, A.T. Selection and maintenance of mine haul road wearing course materials. Inst. Min. Metallurgy. Transactions. Sect. A Min. Technol. 2006, 115, 140–153. [Google Scholar] [CrossRef]
- Barabady, J.; Kumar, U. Reliability analysis of mining equipment: A case study of a crushing plant at Jajarm Bauxite Mine in Iran. Reliab. Eng. Syst. Saf. 2008, 93, 341–361. [Google Scholar] [CrossRef]
- Bebbington, M.; Lai, C.D.; Zitikis, R. A flexible Weibull extension. Reliab. Eng. Syst. Saf. 2007, 92, 719–726. [Google Scholar] [CrossRef]
- Bodziony, P.; Patyk, M. Analysis of Utilisation States and Reliability Parameters of Process-Line Configuration for Low-Quality Rock Deposits. Adv. Sci. Technol. Res. J. 2021, 15, 126–133. [Google Scholar] [CrossRef]
- Caterpillar Inc. Caterpillar Performance Handbook, 45th ed.; Caterpillar Inc.: Peoria, IL, USA, 2020. [Google Scholar]
- ModelRisk Software (Akaike, Schwartz and Hannan-Quinn Information Criterion). Available online: https://www.vosesoftware.com/ (accessed on 27 April 2025).










| Parameter | Value |
|---|---|
| Engine power [hp] Mercedes Benz OM471LA (EU Stage IV) | 510 |
| Empty vehicle weight [kg] | 31,800 |
| Payload [kg] | 39,000 |
| Heaped capacity [m3] | 24.5 |
| Fuel tank volume [L] | 352 |
| Maximum speed [km/h] | 51 |
| Turning radius [m] | 9.235 |
| Truck | Breakdown | Maintenance | Loading/Unloading | Travel Empty | Travel Loaded | Refueling and Others |
|---|---|---|---|---|---|---|
| Bell_01 | 27,504 | 4762 | 65,786 | 46,170 | 58,851 | 5679 |
| Bell_02 | 16,502 | 3300 | 70,881 | 48,938 | 62,742 | 6389 |
| Bell_03 | 18,336 | 4592 | 68,545 | 48,947 | 62,423 | 5910 |
| Bell_04 | 21,086 | 3454 | 68,303 | 48,224 | 61,688 | 5997 |
| Bell_05 | 21,086 | 3977 | 69,064 | 47,612 | 60,905 | 6109 |
| Bell_06 | 25,670 | 3676 | 67,713 | 46,657 | 59,488 | 5548 |
| Total | 130,186 | 23,761 | 410,291 | 286,547 | 366,096 | 35,631 |
| Operating Conditions | Route Rolling Resistance * | Total Travel Time [min] | Total Cycle Time [min] | Transportation Productivity [t/h] |
|---|---|---|---|---|
| Poor | 7.31 | 7:40 | 12:52 | 166.71 |
| Base | 4.98 | 6:53 | 12:13 | 178.56 |
| Good | 3.63 | 6:24 | 11:37 | 185.80 |
| Truck | Breakdown | Maintenance | Loading/Unloading | Travel Empty | Travel Loaded | Refueling and Others |
|---|---|---|---|---|---|---|
| Bell_01 | 36,672 | 3638 | 66,403 | 51,302 | 70,182 | 6170 |
| Bell_02 | 33,922 | 5079 | 67,217 | 50,930 | 70,548 | 6671 |
| Bell_03 | 26,587 | 4710 | 70,160 | 52,923 | 73,304 | 6681 |
| Bell_04 | 30,254 | 3723 | 71,233 | 51,704 | 71,080 | 6371 |
| Bell_05 | 32,088 | 4819 | 66,073 | 52,576 | 72,332 | 6478 |
| Bell_06 | 27,504 | 5339 | 69,855 | 52,395 | 72,649 | 6624 |
| Total | 187,027 | 27,309 | 410,942 | 311,829 | 430,095 | 38,994 |
| Truck | Breakdown | Maintenance | Loading/Unloading | Travel Empty | Travel Loaded | Refueling and Others |
|---|---|---|---|---|---|---|
| Bell_01 | 21,086 | 4226 | 75,466 | 46,501 | 54,962 | 5960 |
| Bell_02 | 19,253 | 4132 | 75,485 | 47,536 | 56,045 | 5751 |
| Bell_03 | 22,003 | 4016 | 76,887 | 45,679 | 53,960 | 5657 |
| Bell_04 | 15,586 | 4142 | 77,838 | 47,845 | 56,388 | 6402 |
| Bell_05 | 22,920 | 3222 | 73,512 | 47,073 | 55,646 | 5829 |
| Bell_06 | 23,837 | 4459 | 74,796 | 45,469 | 53,702 | 5939 |
| Total | 124,685 | 24,196 | 453,983 | 280,103 | 330,703 | 35,537 |
| Truck | Breakdown | Maintenance | Loading/Unloading | Travel Empty | Travel Loaded | Refueling and Others |
|---|---|---|---|---|---|---|
| Bell_01 | 33% | −24% | 1% | 11% | 19% | 9% |
| Bell_02 | 106% | 54% | −5% | 4% | 12% | 4% |
| Bell_03 | 45% | 3% | 2% | 8% | 17% | 13% |
| Bell_04 | 43% | 8% | 4% | 7% | 15% | 6% |
| Bell_05 | 52% | 21% | −4% | 10% | 19% | 6% |
| Bell_06 | 7% | 45% | 3% | 12% | 22% | 19% |
| Total | 44% | 15% | 0% | 9% | 17% | 9% |
| Truck | Breakdown | Maintenance | Loading/Unloading | Travel Empty | Travel Loaded | Refueling and Others |
|---|---|---|---|---|---|---|
| Bell_01 | −23% | −11% | 15% | 1% | −7% | 5% |
| Bell_02 | 17% | 25% | 6% | −3% | −11% | −10% |
| Bell_03 | 20% | −13% | 12% | −7% | −14% | −4% |
| Bell_04 | −26% | 20% | 14% | −1% | −9% | 7% |
| Bell_05 | 9% | −19% | 6% | −1% | −9% | −5% |
| Bell_06 | −7% | 21% | 10% | −3% | −10% | 7% |
| Total | −4% | 2% | 11% | −2% | −10% | 0% |
| Environment Variant | Change in Failure Rate | Breakdown [min] | Maintenance [min] | Technological Operations [min] | Total Operation Time [h] |
|---|---|---|---|---|---|
| Poor | −30% | 235,618 | 29,278 | 1,170,220 | 23,919 |
| −20% | 229,200 | 26,676 | 1,223,160 | 24,651 | |
| −10% | 179,693 | 27,288 | 1,223,160 | 23,836 | |
| 0% | 165,941 | 26,789 | 1,169,642 | 22,706 | |
| Base | 0% | 130,186 | 23,762 | 1,098,565 | 20,875 |
| Good | 0% | 140,270 | 25,924 | 1,047,551 | 20,229 |
| 10% | 149,438 | 26,252 | 1,049,348 | 20,417 | |
| 20% | 134,770 | 22,639 | 1,047,638 | 20,084 | |
| 30% | 128,352 | 22,856 | 1,039,444 | 19,844 |
Disclaimer/Publisher’s Note: The statements, opinions and data contained in all publications are solely those of the individual author(s) and contributor(s) and not of MDPI and/or the editor(s). MDPI and/or the editor(s) disclaim responsibility for any injury to people or property resulting from any ideas, methods, instructions or products referred to in the content. |
© 2025 by the authors. Licensee MDPI, Basel, Switzerland. This article is an open access article distributed under the terms and conditions of the Creative Commons Attribution (CC BY) license (https://creativecommons.org/licenses/by/4.0/).
Share and Cite
Bodziony, P.; Krysa, Z.; Patyk, M. Operational Environment Effects on Energy Consumption and Reliability in Mine Truck Haulage. Energies 2025, 18, 3022. https://doi.org/10.3390/en18123022
Bodziony P, Krysa Z, Patyk M. Operational Environment Effects on Energy Consumption and Reliability in Mine Truck Haulage. Energies. 2025; 18(12):3022. https://doi.org/10.3390/en18123022
Chicago/Turabian StyleBodziony, Przemysław, Zbigniew Krysa, and Michał Patyk. 2025. "Operational Environment Effects on Energy Consumption and Reliability in Mine Truck Haulage" Energies 18, no. 12: 3022. https://doi.org/10.3390/en18123022
APA StyleBodziony, P., Krysa, Z., & Patyk, M. (2025). Operational Environment Effects on Energy Consumption and Reliability in Mine Truck Haulage. Energies, 18(12), 3022. https://doi.org/10.3390/en18123022

