Next Article in Journal
Energy Transformation Within the Framework of Sustainable Development and Consumer Behavior
Previous Article in Journal
Renewable Energy Consumption Strategies for Electric Vehicle Aggregators Based on a Two-Layer Game
 
 
Font Type:
Arial Georgia Verdana
Font Size:
Aa Aa Aa
Line Spacing:
Column Width:
Background:
Article

Enhancement of Heat Transfer Using Water/Graphene Nanofluid and the Impact of Passive Techniques—Experimental, Numerical, and ML Approaches

Department of Mechanical Engineering, King Khalid University, Abha 61421, Saudi Arabia
Energies 2025, 18(1), 77; https://doi.org/10.3390/en18010077
Submission received: 9 December 2024 / Revised: 25 December 2024 / Accepted: 26 December 2024 / Published: 28 December 2024
(This article belongs to the Topic Heat and Mass Transfer in Engineering)

Abstract

This study examines heat transfer characteristics by employing a combined augmentation technique that utilises nozzle-type inserts to induce swirling in water/graphene nanofluids at different concentrations. The assessment evaluates its influence on heat transfer, Nusselt number, and thermal performance factor, emphasising its applicability in industrial contexts. This research aims to create a numerical model designed to improve the performance of heat exchangers by employing passive techniques, particularly through the implementation of a convergent–divergent nozzle insert, without the need for experimental validation. The accuracy of the model is confirmed through experimental data, and it is subsequently employed to simulate various Reynolds numbers, generating datasets for training and testing machine learning models. This study also highlights the potential aggregation and flow resistance limitations when combining nanoparticles with passive inserts. The experimental outcomes for the convergent nozzle insert are employed to validate the supervised machine learning model. Subsequently, a numerical analysis of the convergent–divergent nozzle insert is conducted using approximately 220 samples for training and testing purposes. The convergent–divergent nozzle insert improves heat transfer efficiency in heat exchangers by generating high-velocity flow and enhancing temperature gradients. Optimising nozzle geometry through numerical simulations can determine the ideal dimensions for better heat transfer rates. Nanofluids show a thermal performance factor increase of up to 13.2% at higher inlet temperatures than water. The thermal performance factor for nanofluid at inlet higher temperatures is 8.5%, 9.3%, 11.6%, 12.8%, and 13.2% compared to water.

1. Introduction

The pressing need for alternative energy sources results from dwindling energy resources, altering conditions, and an increasing population. The emphasis is on advancing heat exchangers to boost efficiency, reliability, and cost-effectiveness, primarily using renewable energy for environmental advantages. The objective is to minimise the dimensions of heat exchangers while enhancing their performance capabilities. A passive approach is emphasised, improving heat transfer and reducing friction losses without additional energy, thereby offering energy and cost efficiencies. This approach employs swirl devices, including twisted bands, turbulators, and helical wires, to enhance fluid mixing [1,2,3,4]. Combining active and passive techniques in heat exchangers can improve thermohydraulic performance and efficiency. Inserts can enhance convective heat transfer, facilitate solar thermal systems, and minimise fouling, requiring exploration for large-scale thermal systems [5]. Active methods require energy from external sources and are limited to specific situations. Passive methods like twisted tape and vortex makers speed up fluid movement.
Nanofluids are mixtures of liquids and nanoparticles, which can be metallic, non-metallic, or non-metal oxides [6,7,8,9,10]. Recent advancements have enhanced the heat transfer efficiency within multi-stream plate-fin heat exchangers by implementing fractal-shaped fins and utilising nanofluids. Analyses were performed on triple concentric pipe heat exchangers and four noncircular orifice-supporting baffle longitudinal flow heat exchangers, focusing on improving heat transfer using nanoparticles [4,11,12,13]. Twisted tape inserts utilised in turbulent flow heat exchangers enhance heat transfer rates but concurrently increase pressure drop [14,15,16]. They alter fluid flow and enhance mixing, with perforated twisted tapes achieving an up to 208% enhancement [17,18,19]. Twisted tape, a narrow-shaped tape used in in-tube flow, has increased heat transfer performance by 12.5% compared to conventional twisted tape. Twisted tape inserts improve heat transmission, while wire coil inserts are more effective for pressure drop constraints. Dimple-twisted tapes enhance heat transfer performance due to enhanced turbulent mixing strength. Perforated vortex generators can create swirls and enhance turbulent kinetic energy [20,21,22,23]. The best performance index is registered at Reynolds number 3000. Renewable energy system inserts impact solar collectors’ thermal efficiency and performance improvement, emphasising the importance of hybrid systems. Cross-twisted tape enhances swirling flow and reduces the pressure drop, making inserts like baffles, wire coils, vortex generators, and twisted tapes effective in improving thermal efficiency in solar thermal energy systems [24,25,26]. Graphene nanoparticles have been found to enhance the thermophysical properties of base fluids, particularly in heat exchanger tubes, when combined with wire coil inserts [4,27]. A laboratory study on a helical tube three-fluid heat exchanger using graphene/water nanofluid has shown significant improvements in heat transfer coefficient, effectiveness, and Nusselt number with increased fluid flow rates. The performance is enhanced with higher flow rates of hot water or nanofluid and air, particularly at elevated concentrations [28,29]. Researchers found that conical wire coils increase the heat transfer rate and friction factor in a heat exchanger tube, with diverging coils providing the highest performance [27,30]. The thermrmohydraulic properties of a biologically produced fluid with graphene nanoplatelets have been optimised using genetic algorithms and compromise programming methods to achieve the highest Nusselt number and lowest friction coefficient [16,31]. The hydrothermal properties and energy efficiency of a hybrid nanofluid made from graphene nanoplatelet–platinum composite powder in a ribbed triple-tube heat exchanger have been investigated [32]. It was found that optimal performance is influenced by the nanoparticle concentration, with increased concentrations improving heat transfer and energy efficiency, as do a greater rib height and reduced ribs. Researchers have investigated improving the efficiency of shell and tube heat exchangers by using numerical simulations to compare the flow and heat transfer characteristics of a Cu–water nanofluid in wavy-walled tube heat exchangers versus conventional straight-walled tube heat exchangers [33,34]. The research highlights the thermal performance of a helical tube three-fluid heat exchanger using graphene/water nanofluid, demonstrating significant improvements in heat transfer coefficients, effectiveness, and Nusselt numbers with increased fluid flow rates. However, there is a gap in understanding the specific mechanisms behind these enhancements, particularly regarding the interplay of different fluid flow rates and nanofluid concentrations on overall performance and entropy generation. Additionally, the potential for developing semi-empirical correlations to predict better fluid flow and thermal interactions remains underexplored, indicating a need for further investigation in this field.
Researchers have used nanofluids and passive methods to improve heat transfer in thermal devices, such as twisted tapes, vortex generators, and wire coils. The performance of these devices depends on the type and volume fraction of nanoparticles. Graphene-based hybrid nanofluids and carbon-based nanoparticles have also been explored for industrial applications. Hybrid nanofluids made of graphene have been shown to transfer heat 200% better than base fluid. Similarly, carbon nanoparticles like MWCNT and GNP have also been shown to transfer heat 200% better [32,35,36]. Hybrid nanofluids have potential applications in various disciplines, including automotive, electro-mechanical, and manufacturing processes, HVAC, and solar energy. They have been found to improve cooling performance in photovoltaic panels by adjusting fin numbers, hollow fin radius, the Reynolds number, wavy channel amplitude, and nanoparticle volume proportion. Hybrid nanofluids are a promising alternative to mono nanofluids for cooling electronic circuits, but limited experimentation has been conducted in microchannel heat sinks [37,38,39,40]. Artificial neural networks (ANNs), gene expression programming, and response surface methodology (RSM) are some of the more advanced machine learning techniques that have been looked into to predict engineering problems correctly [41,42,43]. Xu et al. [44] employed Lagrangian–Eulerian approaches to predict heat transfer outcomes, achieving high accuracy. The findings suggest that machine learning offers a more efficient and cost-effective approach than traditional numerical simulations. The objective is to explore the effectiveness of hybrid nanofluids, particularly those based on graphene and carbon nanoparticles, in enhancing heat transfer in various thermal devices and applications. This includes investigating their performance in cooling systems, such as photovoltaic panels and electronic circuits, while assessing the potential of advanced machine learning techniques to accurately predict heat transfer outcomes and improve the efficiency of thermal management solutions.
The present work explores heat transfer characteristics using a combined augmentation technique. It uses nozzle-type inserts to generate swirls in water/graphene nanofluids at different concentrations. The novelty of the research lies in developing and applying a sophisticated numerical model to predict the heat transfer characteristics of graphene-based hybrid nanofluids using a convergent–divergent nozzle insert as a passive enhancement technique without the need for experimental validation. This approach integrates advanced machine learning models, specifically support vector regression (SVR) and random forest (RF), to analyse data generated from simulations at various Reynolds numbers. This study highlights the potential of hybrid nanofluids in improving thermal performance in industrial applications, while also demonstrating the efficiency of machine learning methods over traditional numerical simulations in predicting engineering outcomes. This study examines the effects on heat transfer, Nusselt number, and thermal performance factor, indicating potential for further investigation in industrial applications. Indeed, the current work aims to develop a sophisticated numerical model to design passive techniques to enhance heat exchangers’ thermal performance. As a part of the numerical model, experimental results are validated with numerical simulations. Later, the developed numerical model is used to conduct simulations at various Reynolds numbers to generate a dataset to train and test the two machine learning models, support vector regression (SVR) and random forest (RF).

2. Materials

Graphene nanoplatelets of a purity of 95% carbon and a 50–140 nm size were purchased from Sigma Aldrich company (Mumbai, India). Surfactants play a vital role in ensuring stability; in the present work, gum arabic surfactant is used. Other characterisation techniques like XRD help in understanding microstructural changes, interface interactions, and the overall morphology that influences the performance of these advanced materials. The crystal structure was confirmed at crystal plan (002), and bonding was confirmed by FTIR at a 400–4000 cm−1 wavelength, with peaks at 1008.77 cm−1, indicating carboxylic solid group presence, as shown in Figure 1. Also, the SP2 group affirms the presence of peaks at 1317.38 cm−1, that result from vibrations. The functional group in the structure is observed.
Morphological characterisation is essential for evaluating the distribution and dispersion of graphene nanoplatelets within the water. The SEM images in Figure 2a,b depict the flake structure of GNP, and the EDS analysis revealed the presence of carbon at 95% and oxygen at 5%, respectively. Transmission electron microscopy (TEM-JEOL, Tokyo, Japan) is a critical tool for studying the internal microstructure of materials at the nanoscale. The TEM images of graphene flakes in Figure 2c provide detailed morphological insights. They reveal the presence of wrinkles, ripples, and scrolls in the graphene powder, indicating the presence of few-layered graphene sheets.

2.1. Nanofluid Preparation and Stability

The graphene nanoparticles were combined with deionised double-distilled water after their processing by ball milling. The nanoparticle distribution was obtained through ultrasonication for various concentrations, namely, G0.1 vol%, G0.2 vol%, G0.3 vol%, G0.4 vol%, and G0.5 vol% by volume. Nanofluids are first made as a dry substance and mixed with a base fluid using physical methods like ultrasonication and magnetic force stirring. Nanoparticles tend to stick together because they have a large surface area and strong van der Waal forces that hold them together. This method can be used for large-scale production. However, the nanoparticles will have to be dried, stored, and moved. To achieve the desired volumetric concentration of nanofluid, the appropriate mass of previously prepared graphene nano powder in mg and as measured by a semi-micro balance (Mettler Toledo, MS205DU, Mumbai, India) was mixed into the base fluid. The nanofluid was prepared by dispersing graphene, and gum arabic surfactant, 10% of the combined mass of the graphene, was added to the nanofluid. To maintain the pH of the nanofluid between 8.0 and 9.0, which results in good stability, the required amount of 0.1 M NaOH was added drop by drop after checking the pH value repeatedly. The stability of nanofluids is significantly influenced by the time of sonication, which is directly linked to their thermophysical properties. Sonication is used for deagglomeration, size reduction, and dispersion in the base fluid. Sonication was performed through the dispersion of the nanoparticles in the nanofluid using an ultrasonic processor. Initially, all the samples were stirred using bath sonication for 2 h. Subsequently, each sample was again stirred using a probe sonicator for 6 h. All the nanofluid samples were left undisturbed for 30 days before they were subjected to analyses. The nanofluid properties were measured with temperature, and correlation Equations (1) and (2) were used to estimate the other properties.
ρ g n f = 1 ( ρ ) b f + ( ρ ) g n p
C p , g n f = 1 ( ρ C p ) b f + ( ρ C p ) g n p 1 ρ b f + ρ g n p
where ρgnf and Cp,gnf represent the density (kg/m3) and specific heat (J/kg K) of the graphene nanofluid.
Beer–Lambert’s law suggests that a higher absorbance intensity indicates stability in nanofluids. Surfactant lowers the surface tension and prevents the graphene sheets from sticking together. A UV–visible absorption analysis of nanofluids shows steady sedimentation over time, with UV–vis spectroscopy used to monitor solution absorption changes. A 1:20 ratio was diluted in water to provide optimal light transmission for all samples. After one day, the particles in the 0.05 vol% nanofluid measured 232.1 nm, and after thirty days, they measured 343.3 nm. The average particle sizes of G0.05 wt% and G0.3 wt% exhibited a more pronounced difference. Following one day and thirty days of dispersion, the results for G0.1 vol% were 234.2 nm and 313.3 nm, whereas the values for G0.2 vol% were 223 nm and 334 nm, as presented in Figure 3. These measurements were 224.6 nm and 303.4 nm in the case of G0.3 vol%. A suspension was more stable when a 0.3 vol% nanofluid was dispersed than when the nanofluid was utilised. The most significant peak shows the presence of graphene platelets for G0.3% at 250 nm. Compared to other nanofluids, the 0.3 vol% nanofluid produced extremely high stability findings.

2.2. Variation in Properties

The effective thermal conductivity of water/graphene nanofluid is crucial for optimising the performance of heat exchangers. A hot wire’s transient response assesses a nanofluid’s thermal conductivity. This study employs correlation analysis to quantify thermal conductivity at 318 K across various volume percentages [45]. The results are then compared with the numbers shown in Table 1, which are predicted with an average of ± 12.97% accuracy.
It is observed how thermal conductivity changes with temperature, and any possible errors are ruled out before the experiment. To find the difference, a 40 mL sample was put in a water bath with a vertical KS-1 needle to stop the measurement. This process was repeated for all set temperatures. Five examples of readings were taken to make sure the data were correct. Table 2 shows the most common characteristics. Graphene is an excellent addition to water-based nanofluids because it has a lot of surface area, a 2D structure, and is very stable. Graphene in these nanofluids makes them very good at conducting heat, which makes them perfect for cooling systems, particularly while implementing passive techniques. It establishes continuous thermal pathways in the fluid due to its exceptional thermal conductivity and high aspect ratio. It also covers the spaces between the platelets, ensuring a more uniform thermal network. Collectively, they establish a more effective heat transmission network than either could independently. Graphene nanofluid properties are presented in Table 2.
From Figure 4a, it can be seen that thermal conductivity increases with temperature. The reason is that Brownian motion improves, particles and fluids interact better, and phonons move more quickly. The growth rate, on the other hand, relies on things like the quantity of nanoparticles, the features of the base fluid, and how well the graphene particles are spread out. More graphene nanoplatelets in the base fluid make them contactless-resistant, which makes it better at conducting heat. As the nanofluid’s temperature rises, the nanoparticles’ kinetic energy also increases, leading to significant vigorous Brownian motion, which can improve the micro-convection within the fluid. Enhanced heat transfer between the nanoparticles and the base fluid is facilitated by increased motion. Nanofluid stability presents a significant challenge at elevated volume concentrations; the research [4,6,46,47] demonstrates that low-weight graphene concentrations are preferable. Graphene nanofluids G0.1%, G0.2%, G0.3%, G0.4%, and G0.5% have been reported to exhibit increases in thermal conductivity of 7.36%, 26.35%, 36.85%, 47.38, and 61.5%, respectively. High-energy free electrons at elevated temperatures, frequent collisions, and the crystalline arrangement of liquids enhance thermal conductivity. Graphene sheets possess a structure that enhances the surface area and facilitates heat transfer within graphene nanofluids by moving free electrons and phonons. G0.5% nanofluid has a thermal conductivity of 61.4% at 318 K, which is 12% higher than at 298 K.
Viscosity is vital in proposing novel techniques to enhance the heat exchanger’s effectiveness. Also, its variation with temperature needs to be estimated as a part of the economic analysis due to the resistance between fluid layers. This research employs a rheometer to assess viscosity changes with temperature, demonstrating that heightened resistance between fluid layers correlates with the increased viscosity of the nanofluid. Nevertheless, the increased viscosity does not significantly influence the required pumping power relative to other metal nanoparticles. Figure 4b shows how viscosity and thermal conductivity change as the temperature changes. The effectiveness of stabilisers or surfactants in maintaining dispersion in nanofluid can be temperature-dependent, potentially reducing viscosity due to higher temperatures.

3. Experimental Methodology

The copper tube diameter (outer) is 31.6 mm and 28.8 mm (inner), and it is 2.4 m in length, and a Nichrome wire is wound around the tube to supply constant heating. Ceramic beads and power supply connectors are supplied to maintain surface heat flux. Figure 5 shows the lab setup. The tube’s outside surface has a 12 K-type thermocouple at an equal distance to detect the temperature. RTD PT100 temperature sensors are installed to detect water outflow and intake temperatures. Using a pressure transducer, the pressure drop along the tube is recorded to minimise the amount of thermal losses that occur. The data acquisition system (DAQ) is connected to the experimental setup, and at a regular interval, all the data at salient points are noted. The fluid from the test section is cooled down by allowing it through the shell and tube heat exchanger. The setup is facilitated with a rotameter to vary the flow rate from 300 L/h to 1200 L/h. Firstly, experiments are conducted with water to check the repeatability and accuracy of the test section. The obtained readings are inserted in the standard correlations to estimate the Nusselt number. Furthermore, the friction factor and Nusselt number values of Sajadi et al. [48] are compared. For the friction factor and Nusselt number, the mean percentage error is ±18.5% and ±28.5%, respectively. Convergent and divergent nozzle inserts in the tube are tested for water/graphene nanofluids at varied steady flow conditions and a constant temperature. The DAQ records the readings, and Equations (3) and (6) evaluate the heat exchanger performance and calculate the mean convective heat transfer coefficient (W/m2 K). Heat losses from uncertainty and insulation losses are included in the total heat transfer (QTot) from the test section, and the heat flux given is QEle = V × I. Convective heat transfer equals total heat transmission at a steady state, whereas heat loss is around 10% of the electrical power provided.
h ¯ = m ˙ C p ( T O u t T i n ) A S ( T W T b )
The tube surface’s average temperature is Tw,
T W = ( T 1 + T 2 + T 3 T 12 ) 11
The bulk mean temperature is Tb
T b = T o u t + T i n 2
Then, the average Nusselt number is
N u ¯ = h ¯ D h k f
The friction factor (f) is
f = 2 × D × P ρ × V 2 × L

4. Numerical Methodology

The computational model, i.e., a circular pipe without inserts and convergent or divergent nozzles, is generated using ICEM CFD. The present work considers two cases: convergent and divergent nozzles placed at 100 mm throughout the pipe. The pipe has a diameter of 28.6 mm, a pipe thickness of 0.6 mm, and a length of 2600 mm. The nozzle diameters are 10 mm and 20 mm, and their length is 20 mm. The non-uniform structured mesh is generated using ICEM CFD software(Version 19.0), and near pipe wall boundary layer growth is created to capture turbulent features. It is observed that the generated mesh has a quality between 0.95 and 0.98. The geometry modelling of the convergent nozzle (CNi), divergent nozzle (DNi), and convergent–divergent nozzle (CDNi) inserts are presented in Figure 6a, and their meshes are presented in Figure 6b.
The present work assumes turbulent and steady fluid flow, the temperature-dependent thermophysical characteristics of graphene nanofluids, and Newtonian fluid behaviour. (Hydrodynamic, single-phase, incompressible fluid flows. Temperature does not affect density.). To solve the turbulent behaviour of the hybrid nanofluid, a realisable k-ε turbulence model with enhanced wall treatment is considered, and the y+ parameter is varied between 0.12 and 0.41. It is perceived from the literature [16,27,49] that no significant difference in output is observed by considering the nanofluid as a multi-phase flow. Hence, numerical simulations are conducted while maintaining the pipe’s outer wall with a constant heat flux under steady operating conditions. CFD simulations are performed over a range of Reynolds numbers, with the fluid temperature held constant at the input and the pressure exit considered. The governing equations of mass, momentum, and energy are solved using FLUENT software (Version 19.0). Methods utilising second-order upwind scheme techniques are selected. The SIMPLE algorithm addresses mass and momentum equations, with residuals established at 10−6 for mass and momentum and 10−8 for energy. The governing equations for continuity, momentum, energy, and the k-ε turbulence model are outlined below in Equations (8)–(14).
ρ t + ρ u j X j = 0
ρ u i t + ρ U j u i X j = P X i + μ t u i X j + u j X i
ρ T t + ρ u i T t = P u i X i + k X j u i X j + u j X i
The turbulent flow modelling equations are
t k + X i k u i = X i v + v t σ k k x j + P k ϵ
t + X i u i = X j v + v t σ x j + C 1 k P k C 2 2 k
where turbulent viscosity μt defined as
μ t = ρ C μ k 2 ϵ
P k = ρ u i u j ¯ u j x i  
The constants are
C 1 ϵ = 1.44 ,   C 2 ϵ = 1.92 ,   C μ = 0.09 ,   σ k = 1 ,   σ ϵ = 1.3
A preliminary experiment evaluates the consistency and repeatability of the measured values using water. Heat transfer performance is determined by varying the Reynolds number, which spans from 3000 to 16,000. Both friction factor and Nusselt number values are calculated using standard correlation Equations (6) and (7). Additionally, the results from Sajadi et al. [48] with a plain tube are juxtaposed with those derived from the current experimental setup. The mean percentage deviation (MPD) is calculated using Equation (15).
M P D = X i X r e f X r e f × 100 n
Xi denotes the measured quantity, while Xref represents the theoretical reference values derived from correlations, with the total data being n. Upon comparison of the current findings with theoretical correlations, the predicted values for MPD are ±27.35% for the Nusselt number and 20.51% for the friction factor.
Dittus–Boelter correlation:
N u = 0.023 R e 0.8 P r 0.3
Petukhov correlation:
f = ( 0.79 ln R e 1.64 ) 2
The convective heat transfer coefficient is given by
h ¯ = m ˙ C p ( T O T i ) A ( T s T b u l k )
Ti is the inlet temperature and To the outlet temperature, A is the surface area, and Ts, is the average temperature of the surface, calculated as the mean of temperatures T1 through T12. The mean value of Ti and To is anticipated to represent the bulk mean temperature Tb.
The mean Nusselt number is articulated as
N u ¯ = h ¯ D h k f
Dh is the hydraulic diameter, kf is the thermal conductivity of the working fluid; the pressure drop calculation is articulated through the friction factor, as Equation (20) outlines.
f = 2 × D × P ρ × V 2 × L

5. Results and Discussions

This section explains the validation of the experimental results with numerical simulations when the tube is incorporated with passive techniques such as convergent and divergent nozzle inserts. The performance of various passive techniques is compared, and thus, the finite volume method-based numerical model will be applied to the convergent–divergent (CDi) insert technique. In this model, the effect of the inlet temperature of the nanofluid is analysed, and experimentally predicted graphene/water nanofluid properties with temperature-dependent properties are utilised to predict the performance of the heat exchanger.

5.1. Performance Comparison of Nanofluid with Different Inserts

Numerical simulations have been conducted to obtain the heat transfer performance of water/graphene nanofluids, and these results have been compared with the experimental findings. Numerical simulations have been conducted at various Reynolds number ranges and nanofluid flows at a constant temperature.

5.1.1. Nusselt Number

The average Nusselt number variation with Reynolds number for various graphene nanofluids is investigated using two passive techniques: a convergent nozzle insert (CNi) and divergent nozzle insert (DNi). The analysis encompasses experimental and numerical simulations, demonstrating a close alignment, thereby validating the simulation model, as shown in Figure 7. The results demonstrate a consistent rise in the Nusselt number as Reynolds numbers increase, regardless of the passive technique. This phenomenon arises from heightened turbulence at elevated Reynolds numbers, which disturbs the thermal boundary layer and improves heat transfer. Graphene nanoparticles improve the Nusselt number due to their exceptional thermal conductivity, which aids in better energy transfer within the fluid.
When examining the effect of inserts, it is observed that the convergent design accelerates fluid flow, resulting in a more significant shear and mixing near the tube walls, intensifying thermal boundary layer disturbance and heat transfer rates. Additionally, CNi induces a higher velocity gradient, enhancing the convective heat transfer mechanism. The divergent nozzle insert (DNi) setup also boosts the Nusselt number compared to the plain tube and to a somewhat higher extent than CNi. DNi’s design decelerates fluid flow but contributes to heat transfer by creating secondary flows that enhance mixing. However, the deceleration effect in DNi is less efficient at boundary layer disruption compared to the acceleration in CNi. The plain tube setup has the lowest Nusselt number, indicating that the lack of flow-modifying inserts leads to relatively low turbulence levels and less effective boundary layer disruption. Overall, adding graphene nanoparticles and nozzle inserts, particularly CNi, effectively improves convective heat transfer, making these configurations optimal for applications requiring an enhanced thermal performance. The enhancement in heat transfer with the CNi insert is observed to be 12.5%, 13.2%, 14.9%, 18.8%, and 23.9% for G0.1%, G0.2%, G0.3%, G0.4%, and G0.5% when compared to the plain tube. In the case of the DNi insert, the recorded values are 14.9%, 15.03%, 16.12%, 19.9%, and 25.03%, respectively. Inserts enhance the heat exchanger thermal efficiency by promoting particle dispersion and random motion and providing an ample contact surface area for thermal energy exchange.

5.1.2. Friction Factor

Figure 8 illustrates the variation in the friction factor in relation to the Reynolds number across various concentrations of graphene nanofluid. These data are presented for a plain tube, a plain tube equipped with a convergent nozzle insert (CNi), and a plain tube featuring a divergent nozzle insert (DNi). The data are provided for both experimental and numerical simulations, demonstrating a strong alignment that indicates the accuracy of the numerical model. Typically, the friction factor diminishes with an increase in the Reynolds number, irrespective of the design. The proportional influence of wall friction diminishes in more turbulent flow regimes as Reynolds numbers increase, a typical tendency of tube flow. Because graphene nanoparticles raise fluid viscosity and shear stresses close to the wall, adding them at varying volume concentrations increases friction at all Reynolds numbers. The arrangement with the most significant friction factor is the convergent nozzle insert (CNi).
The convergent design enhances fluid flow, leading to an elevated velocity gradient and increased shear forces on the tube walls. This acceleration improves boundary layer interaction and markedly elevates flow resistance, resulting in an increased friction factor. This design enhances heat transfer but results in a more substantial pressure drop due to increased friction. The divergent nozzle insert (DNi) configuration exhibits a higher friction factor than the plain tube, although it remains lower than that of the convergent nozzle insert (CNi). The DNi design reduces flow velocity and wall friction relative to CNi, while still generating adequate secondary flows that marginally elevate resistance. Due to additional secondary flows, the friction factor in DNi is higher than that of the plain tube, yet it is still lower than that observed in the CNi configuration. The plain tube configuration has the lowest friction factor, lacks flow-modifying features, and allows for the least resistance. However, this setup provides a less effective heat transfer than other configurations. In summary, while including graphene nanoparticles and using inserts such as CNi and DNi enhance thermal performance, they also lead to higher friction factors. CNi causes the most significant pressure drop due to its flow-accelerating design. Graphene nanofluids demonstrate average friction factors of 1.5%, 20.3%, 25.4%, 28.9%, and 31.8% for the CNi insert, and 1.9%, 21.8%, 25.9%, 29.3%, and 36.9% for the DNi insert, showing an increase relative to the base fluid. The passive technique does not lead to a notable increase in pressure drop, as the design enhances turbulence in the flow while maintaining an adequate speed. It is observed that the friction factor decreases as the fluid moves towards the entire turbulent flow region.
Graphene nanofluids play a critical role in heat transfer applications by enhancing thermal properties and increasing flow resistance. However, their higher viscosity and particle interaction can increase friction, requiring careful selection and balance. Hybrid nanofluid enhances heat transfer, but an increased friction factor necessitates a system design to accommodate pressure drops without excessive pumping energy consumption. The friction factor, a crucial factor in fluid properties, significantly impacts the pressure drop in laminar flow, where it enhances heat transfer. However, the friction factor in turbulent flow is more significant due to higher Reynolds numbers, affecting pumping power and the thermal performance factor. The friction factor is higher for G0.5 vol% fluid in various cases than compared to water. The friction factor is increased by 3.5%, 26.4%, and 28.12% for G0.3 vol%, G0.4 vol%, and G0.5 vol%, respectively, compared to water when the tube consists of a convergent nozzle insert. For the divergent nozzle insert, the values are 4.9%, 27.62%, and 28.5%, respectively.

5.2. Influence of Nanofluid Inlet Temperature on CDNi Insert

The numerical model developed is utilised to forecast the performance of graphene nanofluid when the plain tube integrates the convergent–divergent nozzle insert (CDNi) passive technique. The effect of inlet temperature is considered in the numerical simulations to envisage the nanofluid potential. The following sections detail the effect of the nanofluid inlet temperature on graphene nanofluid’s heat transfer performance in the CDNi insert obtained through numerical simulations.

5.2.1. Nusselt Number

Figure 9 illustrates how the average Nusselt number changes with the Reynolds number for graphene nanofluids at various volume concentrations and for pure water derived from numerical simulations. The data explore the effects of inlet temperatures (35 °C, 40 °C, and 45 °C) and a CDNi insert. The Nusselt number rises alongside the Reynolds number, signifying improved heat transfer attributed to increased flow turbulence, particularly pronounced in graphene nanofluids because of their superior thermal conductivity. As the inlet temperature rises from 35 °C to 45 °C, the Nusselt number also increases, and it is attributed to the higher thermal energy at increased temperatures, facilitating a more effective energy exchange between the tube walls and the fluid. Additionally, higher temperatures reduce the fluid viscosity, further enhancing convective flow and improving heat transfer rates. The CDNi insert plays a critical role in elevating the Nusselt number. The convergent section accelerates the flow, causing an increase in turbulence and shear near the wall, which disrupts the thermal boundary layer. Following this, the divergent section decelerates the flow slightly, which, combined with the preceding acceleration, promotes secondary flow patterns that intensify the mixing. The combination enhances the heat transfer, resulting in higher Nusselt numbers than configurations without the CDNi insert. The presence of graphene nanoparticles at higher concentrations improves the thermal conductivity and density of the fluid, increasing its ability to carry heat away from the tube wall. As a result, the highest Nusselt numbers are observed at the highest Reynolds numbers, graphene concentrations, and inlet temperatures in the CDNi insert configuration, demonstrating the combined benefits of nanoparticle-enhanced fluids, optimised flow inserts, and an elevated temperature. It is observed that a 0.5 vol% concentration of graphene heat transfer enhancement at 35 °C, 40 °C, and 45 °C is 20.3%, 30.2%, and 32.6% compared to water while the CDNi technique is employed.

5.2.2. Friction Factor

Numerical simulations demonstrate the correlation between the friction factor and the Reynolds number for pure water and graphene nanofluids across different volume concentrations. This analysis investigates the impact of inlet temperatures (35 °C, 40 °C, and 45 °C) in conjunction with a CDNi insert, highlighting the correlation between these factors and flow resistance, as depicted in Figure 10. The friction factor generally diminishes as the Reynolds number increases, indicating a transition to turbulent flow, where inertial forces dominate over viscous forces, thereby reducing the relative influence of wall friction. Graphene nanofluids exhibit greater friction compared to water across all Reynolds numbers. The increase results from the higher viscosity of nanofluids containing suspended graphene particles, which produces more shear stress next to the tube wall. As the input temperature rises from 35 °C to 45 °C, a little decrease in the friction factor is seen. This results from the temperature-dependent drop in fluid viscosity, which decreases flow resistance and the friction factor. At elevated temperatures, the fluid’s viscosity decreases, promoting a smoother flow and resulting in a slightly reduced friction factor. The CDNi insert has a pronounced impact on the friction factor across all fluids and temperature ranges.
During the convergent section, the fluid experiences acceleration, increasing the velocity gradient and shear stress at the wall, thereby elevating the friction factor. The fluid experiences flow deceleration as it traverses the divergent section; however, the friction factor remains high due to secondary flow patterns and enhanced mixing within the tube. The modifications to the flow result in the CDNi insert exhibiting increased friction factors compared to the plain tube, while simultaneously improving heat transfer efficiency. In the CDNi insert arrangement, elevated concentrations of graphene nanofluids yield the most pronounced friction factors. The increased viscosity and density of the nanofluids result in enhanced flow resistance, thereby amplifying the shear and turbulence effects generated by the CDNi insert. Significant friction factor values are observed at high Reynolds numbers and graphene concentrations, especially within the CDNi insert configuration. This trade-off demonstrates that while the CDNi insert and graphene nanoparticles significantly improve heat transfer, they also increase the energy required to maintain flow due to heightened frictional resistance.

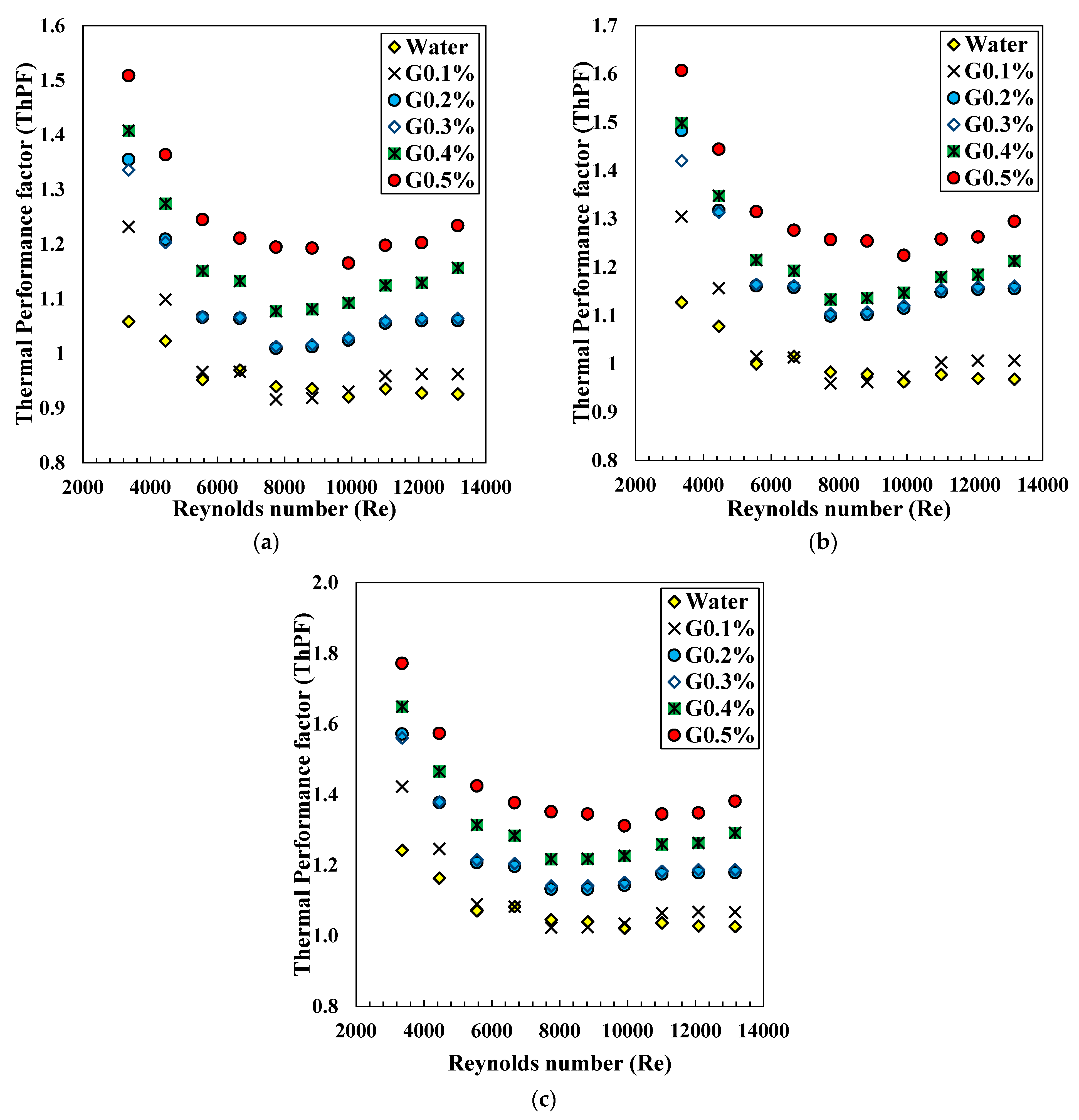
5.3. Comparison of Thermal Performance Factor (ThPF)

The research indicates that applying graphene nanofluids with elevated particle concentrations in heat exchangers improves the thermal performance factor (ThPF). The advantages of this enhancement surpass the rise in friction loss. This study demonstrates that inserts create recirculation zones and improve convective heat transfer by increasing velocities. Nanofluids exhibit a more significant impact owing to their elevated effective thermal conductivity and increased viscosity. The swift alteration in velocities resulting from inserts aids in sustaining nanoparticle suspension, thereby averting aggregation. Well-dispersed nanoparticles improve thermal conductivity, facilitating energy transfer between the nanoparticles and fluid molecules. Furthermore, ThPF exceeds unity in most instances, thereby improving thermal performance. With an increase in the concentration of graphene nanoparticles within a plain tube featuring passive inserts like CNi and DNi, it generally enhances thermal performance by improving heat transfer, as shown in Figure 11. This effect arises from the high thermal conductivity of graphene, which works synergistically with the inserts to disrupt boundary layers further and boost heat transfer. Combining graphene nanoparticles and inserts amplifies the heat transfer effect, potentially more than using each method alone. There might be a limit to the benefits of increasing the graphene concentration, as very high levels could lead to diminishing returns due to aggregation or flow resistance. CNi and DNi inserts might respond differently to increased graphene levels; one insert could show a tremendous performance boost at a specific concentration, i.e., CNi at G0.5%. CNi shows a 20% improvement in the thermal performance factor at G0.5%, while DNi only improves by 15%, which suggests CNi is more effective with smaller amounts of graphene. Comparing thermal performance factors at various graphene concentrations for both inserts reveals if one insert benefits more from an increasing graphene concentration. The thermal performance factor may show diminishing returns at higher graphene concentrations due to limitations in fluid flow properties or the aggregation issues of the nanoparticles. Passive techniques like CNi and DNi inserts are designed to disrupt boundary layers and enhance heat transfer. Combined with graphene nanoparticles, which have a high thermal conductivity, a synergistic effect can amplify the overall performance more than either method alone. Higher concentrations of graphene nanoparticles generally improve thermal conductivity. When incorporated into a plain tube with passive techniques, the overall heat transfer capability should increase, which could result in an enhanced thermal performance factor. For instance, a G0.5% concentration might show a moderate increase in the thermal performance factor, while higher concentrations like G1.0% could have a more pronounced effect. Observing how thermal performance changes from G0.5% to G1.0% and beyond can clarify at which point the concentration achieves an optimal heat transfer efficiency. Passive techniques, such as incorporating graphene nanoparticles, can improve heat transfer rates by increasing turbulence and the contact area between the fluid and the tube wall. This synergistic effect allows the nanoparticles to move freely within the flow, enhancing heat transfer. However, the effect of nanoparticle concentration on heat transfer diminishes beyond an optimal concentration, typically between 0.1% and 2% by weight. Beyond this, the performance may decrease due to nanoparticle clustering or an increased pressure drop. Passive techniques can help mitigate pressure drop effects.
The highest thermal performance factor is 1.313, achieved by G0.5 vol% nanofluid when the divergent nozzle insert receives fluid at the laminar region. The effect of CNi and DNi inserts can be seen as significant on the performance of the heat exchanger, as shown in Figure 11. It can be perceived that the ThPF range is observed as 0.98–0.99 and 0.97–1.01 for the convergent nozzle insert and divergent nozzle insert, respectively, when the fluid is water. These values are enhanced to 0.97–1.24, 0.98–1.23, 1.04–1.19, and 1.15–1.298 for G0.1%, G0.2%, G0.3%, G0.4% and G0.5%, respectively, when the tube employs the CNi insert. The thermal performance factor exceeding one suggests that the enhancement of heat transfer from the tube is more significant than the increase in friction, and the opposite holds true as well. The performance factors for the divergent nozzle are more significant at the same Reynolds number and decrease with an increasing Reynolds number.
The CDNi insert creates high-velocity flow in the convergent section, promoting a better flow distribution and mixing in heat exchangers, enhancing temperature gradients and an efficient heat transfer. The nozzle’s geometry affects pressure and temperature, increasing the temperature gradient across heat exchanger surfaces, enhancing heat transfer efficiency and contributing to thermal performance. The heat transfer enhancement ratio to pressure drop often measures the thermal performance factor (ThPF). The effect of the nanofluid inlet temperature on the performance of the passive technique is presented in Figure 12. ThPF decreases with the Reynolds number and then increases as the fluid flow becomes a fully turbulent flow. Moreover, performance is enhanced with fluid inlet temperature. The CDNi insert can enhance ThPF by providing higher heat transfer rates without significantly increasing the pressure drop, thereby increasing system efficiency. Optimising the nozzle geometry, including the angle of convergence, throat diameter, and length, can significantly impact thermal performance. Numerical simulations can help identify the optimal dimensions for heat transfer rates and pressure losses, contributing to heat exchanger design. The thermal performance factor for nanofluid at inlet higher temperatures is 8.5%, 9.3%, 11.6%, 12.8%, and 13.2% compared to water.

5.4. Machine Learning Modelling of CDNi Performance

The following section explores different supervised machine learning regression models, such as support vector regression and random forest, to develop a mapping function that connects the input features (Re, Ti, To, Ts, Tb) with the output features (Nu, f), to create a machine learning method that can reliably predict experimental data outcomes. The data are first gathered via empirical trials and CFD analysis for preprocessing before their use in machine learning analysis. Approximately 220 samples of gathered data train the machine learning model. As stated, SVR and RF machine learning models are constructed and trained with the aforementioned sample data. The Standard Scaler (SS) operation must be executed during preprocessing. It facilitates high accuracy by ensuring the machine learning models are optimally calibrated and the data are sufficiently prepared for analysis. The machine learning models are evaluated using 10 experimental data samples (CNi and DNi experimental data) to assess their performance against statistical tool metrics (R2, MSE, MAE).
The SVR model is a linear regression technique that uses support vectors to define boundary lines. It aims to minimise the error between actual and predicted values by fitting the best line within a specified threshold, i.e., the distance between the hyperplane and the boundary line. The model uses these points to make predictions. Therefore, the SVR model aims to satisfy the condition (−a < y − wx + b < a). It uses the points within this boundary to make predictions. The RF algorithm is a method that integrates several decision trees to enhance the accuracy of predictions. Each tree in the forest is built using a different subset of the data and features [50,51], allowing it to make diverse predictions. Each tree uses different data and features, and the final prediction is averaging or majority voting, reducing overfitting and enhancing model robustness. Random forest combines decision trees to form a final prediction, reducing overfitting and enhancing model robustness. It is more accurate when complex data are available, outperforming the decision tree ML model.
y x = 1 M 1 M h m ( x )
M denotes the aggregate count of trees, while hm signifies a singular decision tree. The quantity of trees in the forest, the features evaluated at each split, and the maximum depth of each tree are hyperparameters that require optimisation.
The coefficient of determination is
R 2 = 1 i = 1 n ( y i ^ y i ) 2 i = 1 n ( y i y i ¯ ) 2
The root mean square error (RMSE) is estimated as
R M S E = M S E
where the mean square error (MSE) is M S E = i = 1 n ( y i y i ¯ ) 2 n
The mean absolute error (MAE) is
M A E = 1 n i = 1 n y i y i ^
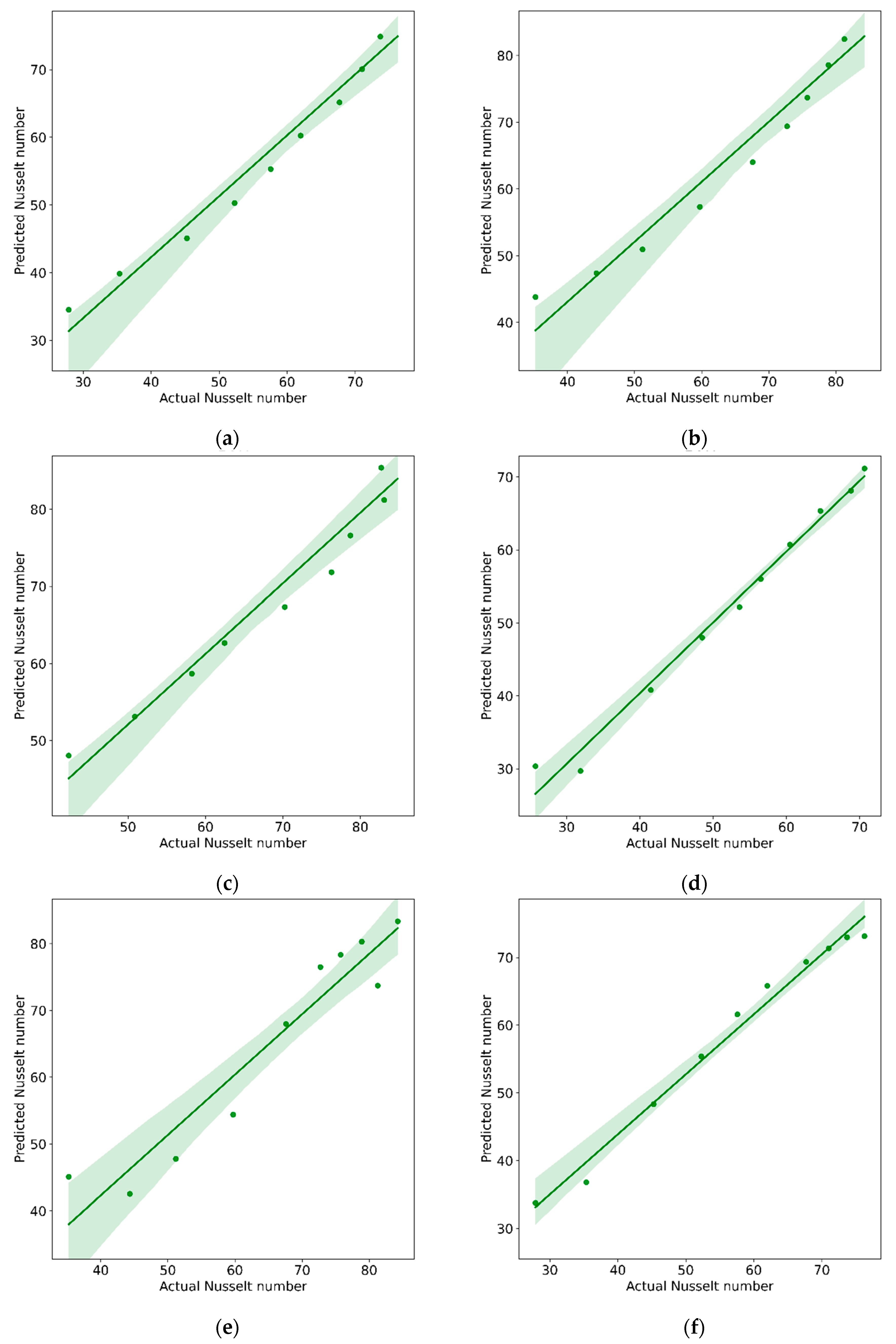
The inferences from the test demonstrated that the nanoparticle concentration enhances the Nusselt number along with the flow rate. The data were used to develop a prediction model using SVR and RF techniques. Initially, 80% of the test data was used for all techniques model training, and the training outcomes are recorded as follows. Figure 13 demonstrates the best comparison among most data points between actual values and values predicted using the model. The values are approaching the best-fit line, resulting in a firm prediction.
Table 3 presents the R2 values obtained for the case of a tube without an insert. When the working fluids are water and graphene nanofluids, the R2 values are registered as 0.975, 0.98, 0.945, 0.956, 0.96, 0.97 and 0.961, respectively, when the SVR model is employed. During the training, the R2 values for RF were 0.9945 and 0.9987, respectively. Higher R2 values during the model test show that the models were not overtrained. During training, the MAEs of the SVR and RF were 1.104 and 0.939 for the water case. It is perceived that the models are accurate and reliable because they have high association values and low mistakes. Similarly, the model training and testing for convergent–divergent nozzle inserts are presented in Table 4.

6. Conclusions

Researchers have used nanofluids and passive methods to enhance heat transfer in thermal devices, such as twisted tapes and vortex generators. Graphene-based nanofluids and carbon-based nanoparticles have shown significant improvements in heat transfer. These hybrid nanofluids have potential applications in various industries, including automotive, electro-mechanical, and manufacturing processes, HVAC, and solar energy. This study explores heat transfer characteristics using nozzle-type inserts to generate swirls in water/graphene nanofluids, aiming to develop a numerical model to design passive techniques to enhance heat exchangers’ thermal performance.
  • This study explores the Nusselt number variation in graphene nanofluids using convergent and divergent nozzle insert techniques. The results show a steady increase with increasing Reynolds numbers, attributed to graphene nanoparticles’ superior thermal conductivity. The CNi design accelerates fluid flow, causing more shear and mixing near tube walls. The DNi design decelerates fluid flow but still contributes to heat transfer;
  • Adding graphene nanoparticles and nozzle inserts, particularly CNi, improves convective heat transfer, making them ideal for applications requiring enhanced thermal performance. The CNi insert enhances heat transfer by 12.5%, 13.2%, 14.9%, 18.8%, and 23.9% for G0.1%, G0.2%, G0.3%, G0.4%, and G0.5%, while the DNi insert improves thermal efficiency by promoting particle dispersion and random motion;
  • The CDNi insert is crucial in elevating the Nusselt number, promoting secondary flow patterns, and intensifying mixing. The highest Nusselt numbers are observed at the highest Reynolds numbers, graphene concentrations, and inlet temperatures in the CDNi insert configuration. Using a 0.5 vol% graphene concentration, the heat transfer enhancement is 20.3%, 30.2%, and 32.6% compared to water;
  • In conclusion, graphene nanofluids with high particle concentrations significantly enhance the thermal performance factor in heat exchangers, despite an increased friction loss. Their superior thermal conductivity and viscosity aid in maintaining nanoparticle suspension. Additionally, the combination of graphene nanoparticles with passive inserts can further improve heat transfer, although challenges such as aggregation and flow resistance may limit these benefits. The optimal thermal performance is observed with CNi nozzle inserts;
  • The CDNi insert enhances heat transfer efficiency in heat exchangers by creating high-velocity flow, enhancing temperature gradients, and improving system efficiency. Optimising the nozzle geometry and numerical simulations can help identify optimal dimensions for optimal heat transfer rates. The thermal performance factor for nanofluid at inlet higher temperatures is 8.5%, 9.3%, 11.6%, 12.8%, and 13.2% compared to water;
  • The investigation into supervised machine learning regression models, including support vector regression and random forest, demonstrates their effectiveness in predicting experimental data outcomes. Utilising a dataset derived from empirical trials and CFD analysis, the models were trained on around 220 samples and validated with 10 experimental data samples.

Funding

Author extend his appreciation to Deanship of Research and Graduate Studies at King Khalid University for funding this work through the Large Research Project under grant number RGP2/386/45.

Informed Consent Statement

All authors agreed with the content, and no one objected to submitting the article to the journal. All authors affirm that all listed authors have studied and accepted the article. We affirm that all the authors mentioned in the article have been approved by us. All authors agreed with the content, and no one has an objection to publishing the work in a journal.

Data Availability Statement

Data generated during the research work are available in the manuscript.

Conflicts of Interest

The author declares no conflict of interest.

References

  1. Eiamsa-ard, S.; Nivesrangsan, P.; Chokphoemphun, S.; Promvonge, P. Influence of combined non-uniform wire coil and twisted tape inserts on thermal performance characteristics. Int. Commun. Heat Mass Transf. 2010, 37, 850–856. [Google Scholar] [CrossRef]
  2. Gunes, S.; Ozceyhan, V.; Buyukalaca, O. Heat transfer enhancement in a tube with equilateral triangle cross sectioned coiled wire inserts. Exp. Therm. Fluid Sci. 2010, 34, 684–691. [Google Scholar] [CrossRef]
  3. Babar, H.; Wu, H.; Zhang, W.; Shah, T.R.; McCluskey, D.; Zhou, C. The promise of nanofluids: A bibliometric journey through advanced heat transfer fluids in heat exchanger tubes. Adv. Colloid Interface Sci. 2024, 325, 103112. [Google Scholar] [CrossRef]
  4. Dagdelen, O.H.; Ozceyhan, V. Experimental investigation of the effects of graphene nano particle added water fluid on heat transfer in a smooth tube with double inserts. Int. J. Therm. Sci. 2024, 203, 109125. [Google Scholar] [CrossRef]
  5. Ponnada, S.; Subrahmanyam, T.; Naidu, S.V. A comparative study on the thermal performance of water in a circular tube with twisted tapes, perforated twisted tapes and perforated twisted tapes with alternate axis. Int. J. Therm. Sci. 2019, 136, 530–538. [Google Scholar] [CrossRef]
  6. Nagaraju, D.; Mohammad, A.R. Effect of graphene-based nanofluid on heat transfer performance of alternate elliptical axis oval tube heat exchanger. Appl. Nanosci. 2022, 12, 1839–1858. [Google Scholar] [CrossRef]
  7. Nagaraju, D.; Mohammad, A.R.; Santhosi, B.V.S.R.N.; Kolla, N.K.; Tota, R.K. Experimental and numerical analysis of convective heat transfer and entropy generation of graphene/water nanofluid in AEAOT heat exchanger. J. Taiwan Inst. Chem. Eng. 2023, 150, 105022. [Google Scholar] [CrossRef]
  8. Mahbubul, I.M.; Saidur, R.; Amalina, M.A. Latest developments on the viscosity of nanofluids. Int. J. Heat Mass Transf. 2012, 55, 874–885. [Google Scholar] [CrossRef]
  9. Nagaraju, D.; Mohammad, A.R.; Mendu, S.S.; Uma Maheswararao, G. Examining the potential of sigma-thermic heat transfer fluid and its nanofluid in a natural circulation loop through CFD studies. Eng. Res. Express 2024, 6, 025540. [Google Scholar] [CrossRef]
  10. Razack Mohammad, A.; Prasad, V.V.S.; Vadapalli, S.; Nagaraju, D.; Raju, B.H.L.P. Design and numerical investigation of heat transfer characteristics in annular cooking bowl using food graded heat transfer fluid for NCCS. Therm. Sci. Eng. Prog. 2023, 46, 102249. [Google Scholar] [CrossRef]
  11. Liao, Y.; Cai, Q.; He, S.; Wang, M.; Xiao, H.; Gong, Z.; Wang, C.; Jia, Z.; Feng, T.; Qiu, S. Study on three-dimensional numerical simulation of shell and tube heat exchanger of the surface ship under marine conditions. Nucl. Eng. Technol. 2023, 55, 1233–1243. [Google Scholar] [CrossRef]
  12. Li, Q.; Zhu, X.; Dong, C.; Cao, R.; Gu, H.; Li, D.; Ye, Y.; Yang, Y. Investigation of noncircular orifice supporting baffle longitudinal flow heat exchangers. Case Stud. Therm. Eng. 2023, 47, 103104. [Google Scholar] [CrossRef]
  13. Dora, N.; Mendu, S.S.; Lakshmipati Raju, B. Comparative Study of Conjugate Heat Transfer Characteristics in Chevron Corrugated Plate Heat Exchanger Using CuO Nanocoolant. Arab. J. Sci. Eng. 2020, 45, 8955–8967. [Google Scholar] [CrossRef]
  14. Montazerifar, F.; Amidpour, M.; Abedi, Z. Numerical investigation of turbulent nanofluid flow behavior in a multi-stream plate-fin heat exchanger with a novel design of fractal fins. Alexandria Eng. J. 2023, 72, 431–449. [Google Scholar] [CrossRef]
  15. Saleh, B.; Sundar, L.S. Experimental study on heat transfer, friction factor, entropy and exergy efficiency analyses of a corrugated plate heat exchanger using Ni/water nanofluids. Int. J. Therm. Sci. 2021, 165, 106935. [Google Scholar] [CrossRef]
  16. Rezaei Miandoab, A.; Bagherzadeh, S.A.; Meghdadi Isfahani, A.H. Numerical study of the effects of twisted-tape inserts on heat transfer parameters and pressure drop across a tube carrying Graphene Oxide nanofluid: An optimization by implementation of Artificial Neural Network and Genetic Algorithm. Eng. Anal. Bound. Elem. 2022, 140, 1–11. [Google Scholar] [CrossRef]
  17. Manglik, R.M.; Bergles, A.E. Heat transfer enhancement and pressure drop in viscous liquid flows in isothermal tubes with twisted-tape inserts. Wärme-und Stoffübertragung 1992, 27, 249–257. [Google Scholar] [CrossRef]
  18. Alzghoul, A.; Alhalaweh, A.; Mahlin, D.; Bergström, C.A.S. Experimental and computational prediction of glass transition temperature of drugs. J. Chem. Inf. Model. 2014, 54, 3396–3403. [Google Scholar] [CrossRef]
  19. Li, Q.; Li, Q.; Han, Y. A Numerical Investigation on Kick Control with the Displacement Kill Method during a Well Test in a Deep-Water Gas Reservoir: A Case Study. Processes 2024, 12, 2090. [Google Scholar] [CrossRef]
  20. Kulkarni, D.P.; Das, D.K.; Vajjha, R.S. Application of nanofluids in heating buildings and reducing pollution. Appl. Energy 2009, 86, 2566–2573. [Google Scholar] [CrossRef]
  21. Li, P.; Liu, Z.; Liu, W.; Chen, G. Numerical study on heat transfer enhancement characteristics of tube inserted with centrally hollow narrow twisted tapes. Int. J. Heat Mass Transf. 2015, 88, 481–491. [Google Scholar] [CrossRef]
  22. Zheng, L.; Xie, Y.; Zhang, D. Numerical investigation on heat transfer performance and flow characteristics in circular tubes with dimpled twisted tapes using Al2O3-water nanofluid. Int. J. Heat Mass Transf. 2017, 111, 962–981. [Google Scholar] [CrossRef]
  23. Liu, D.; Kong, Q.Q.; Jia, H.; Xie, L.J.; Chen, J.; Tao, Z.; Wang, Z.; Jiang, D.; Chen, C.M. Dual-functional 3D multi-wall carbon nanotubes/graphene/silicone rubber elastomer: Thermal management and electromagnetic interference shielding. Carbon N. Y. 2021, 183, 216–224. [Google Scholar] [CrossRef]
  24. Chamoli, S.; Lu, R.; Yu, P. Thermal characteristic of a turbulent flow through a circular tube fitted with perforated vortex generator inserts. Appl. Therm. Eng. 2017, 121, 1117–1134. [Google Scholar] [CrossRef]
  25. Rashidi, S.; Hossein Kashefi, M.; Hormozi, F. Potential applications of inserts in solar thermal energy systems—A review to identify the gaps and frontier challenges. Sol. Energy 2018, 171, 929–952. [Google Scholar] [CrossRef]
  26. He, Y.; Liu, L.; Li, P.; Ma, L. Experimental study on heat transfer enhancement characteristics of tube with cross hollow twisted tape inserts. Appl. Therm. Eng. 2018, 131, 743–749. [Google Scholar] [CrossRef]
  27. Mirzaei, M.; Azimi, A. Heat Transfer and Pressure Drop Characteristics of Graphene Oxide/Water Nanofluid in a Circular Tube Fitted with Wire Coil Insert. Exp. Heat Transf. 2016, 29, 173–187. [Google Scholar] [CrossRef]
  28. Afzal, A.; Islam, M.T.; Kaladgi, A.R.; Manokar, A.M.; Samuel, O.D.; Mujtaba, M.A.; Soudagar, M.E.M.; Fayaz, H.; Ali, H.M. Experimental investigation on the thermal performance of inserted helical tube three-fluid heat exchanger using graphene/water nanofluid. J. Therm. Anal. Calorim. 2022, 147, 5087–5100. [Google Scholar] [CrossRef]
  29. Jeon, Y.H.; Kang, H.C. Experimental and numerical analysis of the pressure drop and convective heat transfer in the three-period spirally fluted tubes. Int. J. Heat Mass Transf. 2025, 236, 126267. [Google Scholar] [CrossRef]
  30. Keklikcioglu, O.; Ozceyhan, V. Thermohydraulic performance evaluation for horizontal tube by using combination of modified coiled wire inserts and graphene nanoplatelet-water nanouids. Int. Commun. Heat Mass Transf. 2021, 123, 105206. [Google Scholar] [CrossRef]
  31. Bahiraei, M.; Rahimi, Z.; Nazari, F. A combined multi-criterion optimization to determine optimum geometrical parameters for flow of an ecofriendly graphene-based nanofluid inside tube enhanced with twisted conical strip inserts. Powder Technol. 2021, 377, 336–349. [Google Scholar] [CrossRef]
  32. Bahiraei, M.; Mazaheri, N.; Rizehvandi, A. Application of a hybrid nanofluid containing graphene nanoplatelet–platinum composite powder in a triple-tube heat exchanger equipped with inserted ribs. Appl. Therm. Eng. 2019, 149, 588–601. [Google Scholar] [CrossRef]
  33. Zhang, L.; Wang, S.; Qu, P.; Song, J.; Zhang, H.; Lu, T.; Liu, H.; Wang, H. Analysis of nanofluid flow and heat transfer characteristics in a wavy-walled tube heat exchanger. Int. J. Heat Fluid Flow 2024, 108, 109488. [Google Scholar] [CrossRef]
  34. Alqaed, S.; Mustafa, J.; Sajadi, S.M.; Almehmadi, F.A.; Sharifpur, M. The effect of turbulator holes diameter on heat transfer optimization of a geothermal heat exchanger by using nanofluid. Geothermics 2024, 119, 102967. [Google Scholar] [CrossRef]
  35. Anvari, A.R.; Lotfi, R.; Rashidi, A.M.; Sattari, S. Experimental research on heat transfer of water in tubes with conical ring inserts in transient regime. Int. Commun. Heat Mass Transf. 2011, 38, 668–671. [Google Scholar] [CrossRef]
  36. Tahmasebi, A.; Abed, A.M.; Aghaei, A.; Izadi, F.; Malekshah, E.H.; Aybar, H. Investigation into the effect of twisted tape on the thermo-hydraulic performance and entropy generation of turbulent flow of mono and hybrid magnetic nanofluids inside a parabolic solar collector absorber tube by applying two-phase analysis. Eng. Anal. Bound. Elem. 2023, 150, 318–328. [Google Scholar] [CrossRef]
  37. Syam Sundar, L. Heat transfer, friction factor and exergy efficiency analysis of nanodiamond-Fe3O4/water hybrid nanofluids in a tube with twisted tape inserts. Ain Shams Eng. J. 2023, 14, 102068. [Google Scholar] [CrossRef]
  38. Kshirsagar, D.P.; Venkatesh, M.A. A review on hybrid nanofluids for engineering applications. Mater. Today Proc. 2021, 44, 744–755. [Google Scholar] [CrossRef]
  39. Singh, S.K.; Sarkar, J. Thermohydraulic behavior of concentric tube heat exchanger inserted with conical wire coil using mono/hybrid nanofluids. Int. Commun. Heat Mass Transf. 2021, 122, 105134. [Google Scholar] [CrossRef]
  40. Hamza, N.F.A.; Aljabair, S. Evaluation of thermal performance factor by hybrid nanofluid and twisted tape inserts in heat exchanger. Heliyon 2022, 8, e11950. [Google Scholar] [CrossRef] [PubMed]
  41. Godasiaei, S.H.; Chamkha, A.J. Advancing heat transfer modeling through machine learning: A focus on forced convection with nanoparticles. Numer. Heat Transf. Part A Appl. 2023, 1–23. [Google Scholar] [CrossRef]
  42. Lee, J.; Wang, W.; Harrou, F.; Sun, Y. Reliable solar irradiance prediction using ensemble learning-based models: A comparative study. Energy Convers. Manag. 2020, 208, 112582. [Google Scholar] [CrossRef]
  43. Zhou, Y.; Liu, Y.; Wang, D.; De, G.; Li, Y.; Liu, X.; Wang, Y. A novel combined multi-task learning and Gaussian process regression model for the prediction of multi-timescale and multi-component of solar radiation. J. Clean. Prod. 2021, 284, 124710. [Google Scholar] [CrossRef]
  44. Xu, L.; Khalifeh, A.; Khandakar, A.; Vaferi, B. Numerical investigating the effect of Al2O3-water nanofluids on the thermal efficiency of flat plate solar collectors. Energy Rep. 2022, 8, 6530–6542. [Google Scholar] [CrossRef]
  45. Hamilton, R.L. Thermal conductivity of heterogeneous two-component systems. Ind. Eng. Chem. Fundam. 1962, 1, 187–191. [Google Scholar] [CrossRef]
  46. Ahammed, N.; Asirvatham, L.G.; Titus, J.; Bose, J.R.; Wongwises, S. Measurement of thermal conductivity of graphene-water nanofluid at below and above ambient temperatures. Int. Commun. Heat Mass Transf. 2016, 70, 66–74. [Google Scholar] [CrossRef]
  47. Esfahani, M.R.; Languri, E.M. Exergy analysis of a shell-and-tube heat exchanger using graphene oxide nanofluids. Exp. Therm. Fluid Sci. 2017, 83, 100–106. [Google Scholar] [CrossRef]
  48. Sajadi, A.R.; Yamani Douzi Sorkhabi, S.; Ashtiani, D.; Kowsari, F. Experimental and numerical study on heat transfer and flow resistance of oil flow in alternating elliptical axis tubes. Int. J. Heat Mass Transf. 2014, 77, 124–130. [Google Scholar] [CrossRef]
  49. Fares, M.; AL-Mayyahi, M.; AL-Saad, M. Heat transfer analysis of a shell and tube heat exchanger operated with graphene nanofluids. Case Stud. Therm. Eng. 2020, 18, 100584. [Google Scholar] [CrossRef]
  50. Breiman, L. Random forests. Mach. Learn. 2001, 45, 5–32. [Google Scholar] [CrossRef]
  51. Hastie, T.; Tibshirani, R.; Friedman, J. Random Forests; Springer: New York, NY, USA, 2009; pp. 587–604. [Google Scholar] [CrossRef]
Figure 1. Graphene analysis: (a) XRD, (b) FTIR.
Figure 1. Graphene analysis: (a) XRD, (b) FTIR.
Energies 18 00077 g001
Figure 2. Graphene analysis using (a) FESEM, (b) EDS, (c) TEM.
Figure 2. Graphene analysis using (a) FESEM, (b) EDS, (c) TEM.
Energies 18 00077 g002
Figure 3. (a) UV–vis stability analysis and (b) particle-size distribution.
Figure 3. (a) UV–vis stability analysis and (b) particle-size distribution.
Energies 18 00077 g003
Figure 4. Variation in (a) thermal conductivity and (b) viscosity with temperature.
Figure 4. Variation in (a) thermal conductivity and (b) viscosity with temperature.
Energies 18 00077 g004
Figure 5. Experimental preparation setup to water/graphene nanofluids.
Figure 5. Experimental preparation setup to water/graphene nanofluids.
Energies 18 00077 g005
Figure 6. Plain tube with CN insert, DN insert, and CDN insert. (a) Geometry, (b) mesh.
Figure 6. Plain tube with CN insert, DN insert, and CDN insert. (a) Geometry, (b) mesh.
Energies 18 00077 g006
Figure 7. Nusselt number variation for various passive techniques. (a) Plain tube. (b) Plain tube with CNi insert. (c) Plain tube with DNi insert.
Figure 7. Nusselt number variation for various passive techniques. (a) Plain tube. (b) Plain tube with CNi insert. (c) Plain tube with DNi insert.
Energies 18 00077 g007
Figure 8. Friction variation for various passive techniques. (a) Plain tube. (b) Plain tube with CNi insert. (c) Plain tube with DNi insert.
Figure 8. Friction variation for various passive techniques. (a) Plain tube. (b) Plain tube with CNi insert. (c) Plain tube with DNi insert.
Energies 18 00077 g008
Figure 9. Performance of CDNi insert at various inlet temperatures: (a) 35 °C, (b) 40 °C, (c) 45 °C.
Figure 9. Performance of CDNi insert at various inlet temperatures: (a) 35 °C, (b) 40 °C, (c) 45 °C.
Energies 18 00077 g009
Figure 10. Pressure drop due to CDNi insert at various inlet temperatures: (a) 35 °C, (b) 40 °C, (c) 45 °C.
Figure 10. Pressure drop due to CDNi insert at various inlet temperatures: (a) 35 °C, (b) 40 °C, (c) 45 °C.
Energies 18 00077 g010
Figure 11. Variation in thermal performance factor of passive techniques: (a) CNi insert, (b) DNi insert.
Figure 11. Variation in thermal performance factor of passive techniques: (a) CNi insert, (b) DNi insert.
Energies 18 00077 g011aEnergies 18 00077 g011b
Figure 12. Variation in ThPF for CDNi insert when fluid is at (a) 35 °C, (b) 40 °C, (c) 45 °C temperatures.
Figure 12. Variation in ThPF for CDNi insert when fluid is at (a) 35 °C, (b) 40 °C, (c) 45 °C temperatures.
Energies 18 00077 g012
Figure 13. Nusselt number for CNi insert case: (a) water, (b) G0.1%, (c) G0.2%, (d) G0.3%, (e) G0.4%, (f) G0.5%.
Figure 13. Nusselt number for CNi insert case: (a) water, (b) G0.1%, (c) G0.2%, (d) G0.3%, (e) G0.4%, (f) G0.5%.
Energies 18 00077 g013
Table 1. Nanofluid thermal conductivity at 318 K.
Table 1. Nanofluid thermal conductivity at 318 K.
NanofluidExp (kexp)Correlation (kcorr)% Error
G0.1%0.610.6810.29
G0.2%0.750.8814.77
G0.3%0.840.9511.57
G0.4%0.921.0613.20
G0.5%0.961.1315.04
Table 2. Water/graphene nanofluid properties at 35 °C.
Table 2. Water/graphene nanofluid properties at 35 °C.
PropertyGraphene NanoplateletsG0.1%G0.2%G0.3%G0.4%G0.5%
ρ (kg/m3)22091065.121112.011141.011143.21152.09
Cp (J/kg·K)0.653992.923881.873813.13817.33820.9
k (W/m·K)30180.6120.7220.7810.8430.924
μ (Pa·s)-0.000810.000840.000870.000910.00093
Table 3. ML model comparison in terms of statistical performance metric on validation of experimental data about water and graphene nanofluids without inserts.
Table 3. ML model comparison in terms of statistical performance metric on validation of experimental data about water and graphene nanofluids without inserts.
FluidOutput ParameterML ModelStatistical Performance Metrics
R 2 MSEMAE
WaterNuSVR0.9557175543.0260240551.203996757
RF0.9722643942.6858054380.90233463
fSVR0.9562390040.0001238780.000683534
RF0.9921935840.0001232740.000364451
G0.1%NuSVR0.9085985449.6364056022.531491249
RF0.9951587849.9671877412.719092717
fSVR0.9279207240.0001240870.000809763
RF0.9234706520.0001237780.000773267
G0.2%NuSVR0.95024147413.993036262.937556678
RF0.93015907422.13821663.70058342
fSVR0.9503739240.0001242110.000826109
RF0.9103074440.0001242690.000887329
G0.3%NuSVR0.96920776410.531806942.755841989
RF0.9713726944.1410723361.471515197
fSVR0.9457873640.0001239420.000773717
RF0.9588528410.0001237120.00061149
G0.4%NuSVR0.99448828810.579263642.803298689
RF1.0267047814.1885290361.518971897
fSVR0.9901462480.0475806420.048230417
RF1.0063095410.0475804120.04806819
G0.5%NuSVR0.95934428810.544119642.768154689
RF0.9915607814.1533850361.483827897
fSVR0.9550022480.0124366420.013086417
RF0.9711655410.0124364120.01292419
Table 4. ML model comparison in terms of statistical performance metric on numerical analysis data for nanofluids with CDNi insert.
Table 4. ML model comparison in terms of statistical performance metric on numerical analysis data for nanofluids with CDNi insert.
FluidOutput ParameterML ModelStatistical Performance Metrics
R 2 MSEMAE
G0.1%NuSVR0.9931584611.1004337290.826476645
RF0.9915928051.4835622210.97714588
fSVR0.9919853410.0023543140.002616843
RF0.9907186460.0023543320.002536666
G0.2%NuSVR0.995814970.5073379080.609125508
RF0.9941570080.9646490950.745496038
fSVR0.9928582550.0023543030.002579024
RF0.9939064190.0023542880.002543606
G0.3%NuSVR0.9905791681.7792195461.093384489
RF0.9946534530.7547583610.679396493
fSVR0.941620550.00235840.004020714
RF0.9860270740.0023550980.003062821
G0.4%NuSVR0.9931676361.7770995451.091264488
RF0.9972419210.752638360.677276492
fSVR0.9442090180.00023840.001900713
RF0.9886155420.0002350980.00094282
G0.5%NuSVR0.9926991681.7768886531.091053596
RF0.9967734530.7524274680.6770656
fSVR0.943740552.75079 × 10−50.001689821
RF0.9881470742.42062 × 10−50.000731928
Disclaimer/Publisher’s Note: The statements, opinions and data contained in all publications are solely those of the individual author(s) and contributor(s) and not of MDPI and/or the editor(s). MDPI and/or the editor(s) disclaim responsibility for any injury to people or property resulting from any ideas, methods, instructions or products referred to in the content.

Share and Cite

MDPI and ACS Style

Syed, J. Enhancement of Heat Transfer Using Water/Graphene Nanofluid and the Impact of Passive Techniques—Experimental, Numerical, and ML Approaches. Energies 2025, 18, 77. https://doi.org/10.3390/en18010077

AMA Style

Syed J. Enhancement of Heat Transfer Using Water/Graphene Nanofluid and the Impact of Passive Techniques—Experimental, Numerical, and ML Approaches. Energies. 2025; 18(1):77. https://doi.org/10.3390/en18010077

Chicago/Turabian Style

Syed, Javed. 2025. "Enhancement of Heat Transfer Using Water/Graphene Nanofluid and the Impact of Passive Techniques—Experimental, Numerical, and ML Approaches" Energies 18, no. 1: 77. https://doi.org/10.3390/en18010077

APA Style

Syed, J. (2025). Enhancement of Heat Transfer Using Water/Graphene Nanofluid and the Impact of Passive Techniques—Experimental, Numerical, and ML Approaches. Energies, 18(1), 77. https://doi.org/10.3390/en18010077

Note that from the first issue of 2016, this journal uses article numbers instead of page numbers. See further details here.

Article Metrics

Back to TopTop