Recent Developments and Trends in High-Performance PMSM for Aeronautical Applications
Abstract
1. Introduction
| Subsystem | Commercial Aircraft |
|---|---|
| Flight Control | 80 kW |
| Fuel Pumps | 10 kW |
| Environmental Control System | 400 kW |
| Avionics | 10 kW |
| Payloads/Passenger | 40 kW |
| Misc subsystem | 310 kW |
| Total | 850 kW |

2. Characteristics and Topologies of PM Machines
- Capability of operating at high speed with the help of high-strength retaining sleeves which enables them to be directly coupled to high-speed turbines and compressors.
- Higher power density and faster dynamic response can be achieved when more PM materials are used [41,42] since the cost of magnets is not the priority in aeronautic applications [43]. When an optimized coreless Halbach array rotor is used, intensified air gap flux density [44], reduced rotor yoke thickness, and low flux harmonics can be achieved simultaneously.
- A lower torque ripple can be expected [45] since SPM machines are less sensitive to the slotting effect and saturation caused by the armature reaction.
3. Key Design Considerations of PM Machines in Aeronautics Application
3.1. Actuators
3.2. Fuel Pumps
3.3. High-Speed Air Compressor
3.4. Engine Starter and Power Generation
- The rotating rectifier is unable to withstand the centrifugal force caused by high rotating speed, prohibiting the SG from direct coupling to the engine shaft.
- The complex control strategies and the additional AC power sources needed during the starting mode increase the risk of electrical fault and reduce the overall compactness.
- Windings and rotating rectifier on the rotor lead to significant rotor losses which can be difficult to dissipate, posing as a major threat to the operating safety [102].


3.5. Electric Propulsion
4. Emerging Techniques and Enablers of High-Performance PM Machines
4.1. Materials
4.1.1. Electromagnetic Materials
4.1.2. Structural Materials
4.1.3. Insulation Materials
4.2. Addictive Manufacturing Techniques
4.3. Thermal Management
- Additional weight introduced by the liquid channels (usually made of metal), pumps, and heat exchangers are eliminated.
- The risk of liquid leakage is eliminated and the cooling system is simplified therefore maintenance costs can be reduced.
- The possibility of cooling the rotor surface without significantly increasing the air friction losses since they are proportional to the mass density of the fluid.
5. Summary
Author Contributions
Funding
Conflicts of Interest
Acronyms
| AEA | All-Electric Aircraft |
| AM | Additive Manufacturing |
| APU | Auxiliary Power Unit |
| back-EMF | Back Electromotive Force |
| BLI | boundary layer ingestion |
| CNT | Carbon Nanotube |
| EHA | Electro-hydraulic Actuator |
| EMA | Electro-mechanical Actuator |
| FSCW | Fractional Slot Concentrated Winding |
| HEFS | Hybrid-excited Flux Switching |
| IDG | Integrated Drive Generator |
| IPM | Interior Permanent Magnet |
| LH2 | Liquid Hydrogen |
| ME | Main Exciter |
| MEA | More Electric Aircraft |
| OR | Outer Rotor |
| PEMFC | Polymer Electrolyte Membrane Fuel Cells |
| PM | Permanent Magnet |
| PMG | Permanent Magnet Generator |
| PMSM | Permanent Magnet Synchronous Machine |
| PMSG | PM Starter Generator |
| SIPM | Surface-inset Permanent Magnet |
| SMC | Soft Magnetic Composite |
| SOA | State-of-the-art |
| SPM | Surface-mounted Permanent Magnet |
| SG | Starter Generator |
References
- Weimer, J. Past, Present and Future of Aircraft Electrical Power Systems. In Proceedings of the 39th Aerospace Sciences Meeting and Exhibit, Reno, NV, USA, 8–11 January 2001; American Institute of Aeronautics and Astronautics: Reno, NV, USA, 2001. [Google Scholar]
- Weimer, J.A. Electrical Power Technology for the More Electric Aircraft. In Proceedings of the AIAA/IEEE Digital Avionics Systems Conference, Fort Worth, TX, USA, 25–28 October 1993; pp. 445–450. [Google Scholar]
- Spencer, K.M.; Martin, C.A. More Electric Aircraft; Investigation of Potential Fuel Cell Use in Aircraft; Institute for Defense Analyses: Alexandria, VA, USA, 2013; pp. 8–10. [Google Scholar]
- Felder, J.L. NASA Electric Propulsion System Studies. 2015. Available online: https://ntrs.nasa.gov/citations/20160009274 (accessed on 23 July 2024).
- Penner, J.E.; Lister, D.; Griggs, D.J.; Dokken, D.J.; McFarland, M. Aviation and the Global Atmosphere: A Special Report of the Intergovernmental Panel on Climate Change; Cambridge University Press: Cambridge, UK, 1999. [Google Scholar]
- Hepperle, M. Electric Flight—Potential and Limitations. In Proceedings of the Energy Efficient Technologies and Concepts of Operation, Lisbon, Portugal, 22–24 October 2012. [Google Scholar]
- Rohacs, J.; Rohacs, D. Energy Coefficients for Comparison of Aircraft Supported by Different Propulsion Systems. Energy 2020, 191, 116391. [Google Scholar] [CrossRef]
- Bolam, R.C.; Vagapov, Y.; Anuchin, A. A Review of Electrical Motor Topologies for Aircraft Propulsion. In Proceedings of the 2020 55th International Universities Power Engineering Conference (UPEC), Turin, Italy, 1–4 September 2020; IEEE: Torino, Italy, 2020; pp. 1–6. [Google Scholar]
- Misra, D.A. Technical Challenges and Barriers Affecting Turbo-Electric and Hybrid Electric Aircraft Propulsion. Available online: https://ntrs.nasa.gov/api/citations/20180004252/downloads/20180004252.pdf (accessed on 28 July 2024).
- Committee on Propulsion and Energy Systems to Reduce Commercial Aviation Carbon Emissions; Aeronautics and Space Engineering Board; Division on Engineering and Physical Sciences; National Academies of Sciences, Engineering, and Medicine. Commercial Aircraft Propulsion and Energy Systems Research: Reducing Global Carbon Emissions; National Academies Press: Washington, DC, USA, 2016; p. 23490. ISBN 978-0-309-44096-7. [Google Scholar]
- Welstead, J.; Felder, J.; Guynn, M.; Haller, B.; Tong, M.; Jones, S.; Ordaz, I.; Quinlan, J.; Mason, B. Overview of the NASA STARC-ABL (Rev. B) Advanced Concept. 2017. Available online: https://ntrs.nasa.gov/citations/20170005612 (accessed on 28 July 2024).
- Spakovszky, Z.S.; Chen, Y.; Greitzer, E.M.; Cordero, Z.C.; Lang, J.H.; Kirtley, J.L.; Perreault, D.J.; Andersen, H.N.; Qasim, M.M.; Cuadrado, D.G.; et al. A Megawatt-Class Electrical Machine Technology Demonstrator For Turbo-Electric Propulsion. In Proceedings of the AIAA AVIATION 2023 Forum, San Diego, CA, USA, 12–16 June 2023. [Google Scholar]
- Gao, Y.; Jausseme, C.; Huang, Z.; Yang, T. Hydrogen-Powered Aircraft: Hydrogen–Electric Hybrid Propulsion for Aviation. IEEE Electrif. Mag. 2022, 10, 17–26. [Google Scholar] [CrossRef]
- Brand, J.; Sampath, S.; Shum, F.; Bayt, R.; Cohen, J. Potential Use of Hydrogen In Air Propulsion. In Proceedings of the AIAA International Air and Space Symposium and Exposition: The Next 100 Years, Reston, VA, USA, 14 July 2003; American Institute of Aeronautics and Astronautics: Orlando, FL, USA, 2003. [Google Scholar]
- Sosounov, V.; Orlov, V. Experimental Turbofan Using Liquid Hydrogen and Liquid Natural Gas as Fuel. In Proceedings of the 26th Joint Propulsion Conference, Orlando, FL, USA, 16–18 July 1990; American Institute of Aeronautics and Astronautics: Orlando, FL, USA, 1990. [Google Scholar]
- Brewer, G.D. LH2 Airport Requirements Study. 1976. Available online: https://ntrs.nasa.gov/api/citations/19770003090/downloads/19770003090.pdf (accessed on 28 July 2024).
- O’Hayre, R.P.; Cha, S.-W.; Colella, W.G.; Prinz, F.B. Fuel Cell Fundamentals, 3rd ed.; John Wiley & Sons Inc.: Hoboken, NY, USA, 2016; ISBN 978-1-119-11415-4. [Google Scholar]
- Adler, E.J.; Martins, J.R.R.A. Hydrogen-Powered Aircraft: Fundamental Concepts, Key Technologies, and Environmental Impacts. Prog. Aerosp. Sci. 2023, 141, 100922. [Google Scholar] [CrossRef]
- Saufi Sulaiman, M.; Singh, B.; Mohamed, W.A.N.W. Experimental and Theoretical Study of Thermoelectric Generator Waste Heat Recovery Model for an Ultra-Low Temperature PEM Fuel Cell Powered Vehicle. Energy 2019, 179, 628–646. [Google Scholar] [CrossRef]
- Finken, T.; Felden, M.; Hameyer, K. Comparison and Design of Different Electrical Machine Types Regarding Their Applicability in Hybrid Electrical Vehicles. In Proceedings of the 2008 18th International Conference on Electrical Machines, Vilamoura, Portugal, 6–9 September 2008; pp. 1–5. [Google Scholar]
- Podmiljšak, B.; Saje, B.; Jenuš, P.; Tomše, T.; Kobe, S.; Žužek, K.; Šturm, S. The Future of Permanent-Magnet-Based Electric Motors: How Will Rare Earths Affect Electrification? Materials 2024, 17, 848. [Google Scholar] [CrossRef]
- Gieras, J.F. Permanent Magnet Motor Technology: Design and Applications, 3rd ed.; CRC Press: Boca Raton, FL, USA, 2009; ISBN 978-0-429-29273-6. [Google Scholar]
- Ford, A.W. Brushless Generators for Aircraft—A Review of Current Developments. Proc. IEE-Part Power Eng. 1962, 109, 437–452. [Google Scholar] [CrossRef]
- Pardo-Vicente, M.A.; Guerrero, J.M.; Platero, C.A.; Sánchez-Férnandez, J.A. Contactless Rotor Ground Fault Detection Method for Brushless Synchronous Machines Based on an AC/DC Rotating Current Sensor. Sensors 2023, 23, 9065. [Google Scholar] [CrossRef]
- Jahns, T.M.; Soong, W.L. Pulsating Torque Minimization Techniques for Permanent Magnet AC Motor Drives—A Review. IEEE Trans. Ind. Electron. 1996, 43, 321–330. [Google Scholar] [CrossRef]
- Mun, J.-M.; Park, G.-J.; Seo, S.; Kim, D.-W.; Kim, Y.-J.; Jung, S.-Y. Design Characteristics of IPMSM With Wide Constant Power Speed Range for EV Traction. IEEE Trans. Magn. 2017, 53, 1–4. [Google Scholar] [CrossRef]
- Huynh, T.A.; Hsieh, M.-F. Comparative Study of PM-Assisted SynRM and IPMSM on Constant Power Speed Range for EV Applications. IEEE Trans. Magn. 2017, 53, 1–6. [Google Scholar] [CrossRef]
- Sarlioglu, B.; Morris, C.T.; Han, D.; Li, S. Benchmarking of Electric and Hybrid Vehicle Electric Machines, Power Electronics, and Batteries. In Proceedings of the 2015 International Aegean Conference on Electrical Machines & Power Electronics (ACEMP), 2015 International Conference on Optimization of Electrical & Electronic Equipment (OPTIM) & 2015 International Symposium on Advanced Electromechanical Motion Systems (ELECTROMOTION), Side, Turkey, 2–4 September 2015; pp. 519–526. [Google Scholar]
- Gerada, C.; Galea, M.; Kladas, A. Electrical Machines for Aerospace Applications. In Proceedings of the 2015 IEEE Workshop on Electrical Machines Design, Control and Diagnosis (WEMDCD), Turin, Italy, 26–27 March 2015; pp. 79–84. [Google Scholar]
- Murakami, H.; Honda, Y.; Kiriyama, H.; Morimoto, S.; Takeda, Y. The Performance Comparison of SPMSM, IPMSM and SynRM in Use as Air-Conditioning Compressor. In Proceedings of the Conference Record of the 1999 IEEE Industry Applications Conference. Thirty-Forth IAS Annual Meeting (Cat. No. 99CH36370), Phoenix, AZ, USA, 3–7 October 1999; Volume 2, pp. 840–845. [Google Scholar]
- Burress, T.A.; Coomer, C.L.; Campbell, S.L.; Seiber, L.E.; Marlino, L.D.; Staunton, R.H.; Cunningham, J.P. Evaluation of the 2007 Toyota Camry Hybrid Synergy Drive System; Oak Ridge National Lab. (ORNL): Oak Ridge, TN, USA, 2008; p. 928684. [Google Scholar]
- Ayers, C.W. Evaluation of 2004 Toyota Prius Hybrid Electric Drive System Interim Report; Oak Ridge National Lab. (ORNL): Oak Ridge, TN, USA, 2004; p. 885776. [Google Scholar]
- Burress, T.A.; Campbell, S.L.; Coomer, C.; Ayers, C.W.; Wereszczak, A.A.; Cunningham, J.P.; Marlino, L.D.; Seiber, L.E.; Lin, H.-T. Evaluation of the 2010 Toyota Prius Hybrid Synergy Drive System; Oak Ridge National Lab. (ORNL): Oak Ridge, TN, USA, 2011; p. 1007833. [Google Scholar]
- Goli, C.S.; Manjrekar, M.; Essakiappan, S.; Sahu, P.; Shah, N. Landscaping and Review of Traction Motors for Electric Vehicle Applications. In Proceedings of the 2021 IEEE Transportation Electrification Conference & Expo (ITEC), Chicago, IL, USA, 21–25 June 2021; pp. 162–168. [Google Scholar]
- Hsu, J.S. Report on Toyota/Prius Motor Torque-Capability, Torque-Property, No-Load Back EMF, and Mechanical Losses; Oak Ridge National Lab. (ORNL): Oak Ridge, TN, USA, 2004; p. 885669. [Google Scholar]
- Burress, T. Electrical Performance, Reliability Analysis, and Characterization. Available online: https://www.energy.gov/sites/prod/files/2017/06/f34/edt087_burress_2017_o.pdf (accessed on 1 September 2024).
- Burress, T. Benchmarking EV and HEV Technologies. Available online: https://energy.gov/sites/prod/files/2014/07/f17/ape006_burress_2014_p.pdf (accessed on 1 September 2024).
- Gierczynski, M.; Grzesiak, L.M. Comparative Analysis of the Steady-State Model Including Non-Linear Flux Linkage Surfaces and the Simplified Linearized Model When Applied to a Highly-Saturated Permanent Magnet Synchronous Machine—Evaluation Based on the Example of the BMW I3 Traction Motor. Energies 2021, 14, 2343. [Google Scholar] [CrossRef]
- Quoc, V.D.; Minh, D.B. Analysis of Power and Torque for the IPM Motors with High Flux Density in Stator. Adv. Electr. Electron. Eng. 2023, 21, 59. [Google Scholar]
- Zheng, S.; Zhu, X.; Xiang, Z.; Xu, L.; Zhang, L.; Lee, C.H.T. Technology Trends, Challenges, and Opportunities of Reduced-Rare-Earth PM Motor for Modern Electric Vehicles. Green Energy Intell. Transp. 2022, 1, 100012. [Google Scholar] [CrossRef]
- Ocak, O.; Gulec, M.; Aydin, M. Performance Comparison of Different IPM Motor Topologies for Spindle Motor Drives. In Proceedings of the IECON 2021—47th Annual Conference of the IEEE Industrial Electronics Society, Toronto, ON, Canada, 13–16 October 2021; pp. 1–6. [Google Scholar]
- Swanke, J.; Bobba, D.; Jahns, T.M.; Sarlioglu, B. Comparison of Modular PM Propulsion Machines for High Power Density. In Proceedings of the 2019 IEEE Transportation Electrification Conference and Expo (ITEC), Detroit, MI, USA, 19–21 June 2019; pp. 1–7. [Google Scholar]
- Jordan, S.; Baker, N.J. Air-Cooled, High Torque Machines for Aerospace Applications. In Proceedings of the 8th IET International Conference on Power Electronics, Machines and Drives (PEMD 2016), Glasgow, UK, 19–21 April 2016; pp. 1–6. [Google Scholar]
- Ito, M.; Suto, T.; Takahashi, A.; Hara, T.; Iwano, R. Development of a High Power Density In-Wheel Motor Using Halbach Array Magnets. In Proceedings of the 2022 International Conference on Electrical Machines (ICEM), Valencia, Spain, 5–8 September 2022; pp. 355–360. [Google Scholar]
- Bianchini, C.; Immovilli, F.; Lorenzani, E.; Bellini, A.; Davoli, M. Review of Design Solutions for Internal Permanent-Magnet Machines Cogging Torque Reduction. IEEE Trans. Magn. 2012, 48, 2685–2693. [Google Scholar] [CrossRef]
- Sitapati, K.; Krishnan, R. Performance Comparisons of Radial and Axial Field, Permanent-Magnet, Brushless Machines. IEEE Trans. Ind. Appl. 2001, 37, 1219–1226. [Google Scholar] [CrossRef]
- Cavagnino, A.; Lazzari, M.; Profumo, F.; Tenconi, A. A Comparison between the Axial Flux and the Radial Flux Structures for PM Synchronous Motors. IEEE Trans. Ind. Appl. 2002, 38, 1517–1524. [Google Scholar] [CrossRef]
- Zhang, B.; Seidler, T.; Dierken, R.; Doppelbauer, M. Development of a Yokeless and Segmented Armature Axial Flux Machine. IEEE Trans. Ind. Electron. 2016, 63, 2062–2071. [Google Scholar] [CrossRef]
- Nishanth, F.; Van Verdeghem, J.; Severson, E.L. A Review of Axial Flux Permanent Magnet Machine Technology. IEEE Trans. Ind. Appl. 2023, 59, 3920–3933. [Google Scholar] [CrossRef]
- Zhang, Z.; Yan, Y.; Yang, S.; Bo, Z. Principle of Operation and Feature Investigation of a New Topology of Hybrid Excitation Synchronous Machine. IEEE Trans. Magn. 2008, 44, 2174–2180. [Google Scholar] [CrossRef]
- Chen, Z.; Wang, B.; Chen, Z.; Yan, Y. Comparison of Flux Regulation Ability of the Hybrid Excitation Doubly Salient Machines. IEEE Trans. Ind. Electron. 2014, 61, 3155–3166. [Google Scholar] [CrossRef]
- Geng, W.; Zhang, Z.; Jiang, K.; Yan, Y. A New Parallel Hybrid Excitation Machine: Permanent-Magnet/Variable-Reluctance Machine With Bidirectional Field-Regulating Capability. IEEE Trans. Ind. Electron. 2015, 62, 1372–1381. [Google Scholar] [CrossRef]
- Nasr, A.; Hlioui, S.; Gabsi, M.; Mairie, M.; Lalevee, D. Design Optimization of a Hybrid-Excited Flux-Switching Machine for Aircraft-Safe DC Power Generation Using a Diode Bridge Rectifier. IEEE Trans. Ind. Electron. 2017, 64, 9896–9904. [Google Scholar] [CrossRef]
- Hua, W.; Cheng, M.; Zhang, G. A Novel Hybrid Excitation Flux-Switching Motor for Hybrid Vehicles. IEEE Trans. Magn. 2009, 45, 4728–4731. [Google Scholar] [CrossRef]
- Xiong, L.; Ge, H.; Zhou, B.; Wang, K.; Jiang, S.; Zhou, X.; Shi, H. Torque Ripple Reduction Strategy for Doubly Salient Electromagnetic Machine Based on Current Given Function. IEEE J. Emerg. Sel. Top. Power Electron. 2022, 10, 7486–7501. [Google Scholar] [CrossRef]
- Mazzoleni, M.; Di Rito, G.; Previdi, F. Electro-Mechanical Actuators for the More Electric Aircraft; Advances in Industrial Control; Springer International Publishing: Cham, Switzerland, 2021; ISBN 978-3-030-61798-1. [Google Scholar]
- Qiao, G.; Liu, G.; Shi, Z.; Wang, Y.; Ma, S.; Lim, T.C. A Review of Electromechanical Actuators for More/All Electric Aircraft Systems. Proc. Inst. Mech. Eng. Part C J. Mech. Eng. Sci. 2018, 232, 4128–4151. [Google Scholar] [CrossRef]
- Boglietti, A.; Cavagnino, A.; Tenconi, A.; Vaschetto, S.; di Torino, P. The Safety Critical Electric Machines and Drives in the More Electric Aircraft: A Survey. In Proceedings of the 2009 35th Annual Conference of IEEE Industrial Electronics, Porto, Portugal, 3–5 November 2009; pp. 2587–2594. [Google Scholar]
- Maré, J.-C.; Fu, J. Review on Signal-by-Wire and Power-by-Wire Actuation for More Electric Aircraft. Chin. J. Aeronaut. 2017, 30, 857–870. [Google Scholar] [CrossRef]
- Huang, L.; Yu, T.; Jiao, Z.; Li, Y. Active Load-Sensitive Electro-Hydrostatic Actuator for More Electric Aircraft. Appl. Sci. 2020, 10, 6978. [Google Scholar] [CrossRef]
- Garcia, A.; Cusido, I.; Rosero, J.A.; Ortega, J.A.; Romeral, L. Reliable Electro-Mechanical Actuators in Aircraft. IEEE Aerosp. Electron. Syst. Mag. 2008, 23, 19–25. [Google Scholar] [CrossRef]
- Atallah, K.; Caparrelli, F.; Bingham, C.M.; Schofield, N.; Howe, D.; Mellor, P.H.; Maxwell, C.; Moorhouse, D.; Whitley, C. Permanent Magnet Brushless Drives for Aircraft Flight Control Surface Actuation. In Proceedings of the IEE Colloquium on Electrical Machines and Systems for the More Electric Aircraft (Ref. No. 1999/180), London, UK, 9 November 1999; pp. 8/1–8/5. [Google Scholar]
- Maré, J.-C. Review and Analysis of the Reasons Delaying the Entry into Service of Power-by-Wire Actuators for High-Power Safety-Critical Applications. Actuators 2021, 10, 233. [Google Scholar] [CrossRef]
- Bartlett, H.L.; Lawson, B.E.; Goldfarb, M. Optimal Transmission Ratio Selection for Electric Motor Driven Actuators With Known Output Torque and Motion Trajectories. J. Dyn. Syst. Meas. Control 2017, 139, 101013. [Google Scholar] [CrossRef]
- Ismagilov, F.R.; Vavilov, V.E.; Sayakhov, I.F. High-Torque Motor for a Gearless Electromechanical Actuator. In Proceedings of the 2019 26th International Workshop on Electric Drives: Improvement in Efficiency of Electric Drives (IWED), Moscow, Russia, 30 January–2 February 2019; pp. 1–5. [Google Scholar]
- Gerada, C.; Bradley, K.J. Integrated PM Machine Design for an Aircraft EMA. IEEE Trans. Ind. Electron. 2008, 55, 3300–3306. [Google Scholar] [CrossRef]
- Huang, X.; Gerada, C.; Goodman, A.; Bradley, K.; Zhang, H.; Fang, Y. A Brushless DC Motor Design for an Aircraft Electro-Hydraulic Actuation System. In Proceedings of the 2011 IEEE International Electric Machines & Drives Conference (IEMDC), Niagara Falls, ON, Canada, 15–18 May 2011; pp. 1153–1158. [Google Scholar]
- Villani, M.; Tursini, M.; Fabri, G.; Castellini, L. High Reliability Permanent Magnet Brushless Motor Drive for Aircraft Application. IEEE Trans. Ind. Electron. 2012, 59, 2073–2081. [Google Scholar] [CrossRef]
- Bianchi, N.; Bolognani, S. Fault -Tolerant PM Motors in Automotive Applications. In Proceedings of the 2005 IEEE Vehicle Power and Propulsion Conference, Chicago, IL, USA, 7–9 September 2005; pp. 747–755. [Google Scholar]
- EL-Refaie, A.M. Fractional-Slot Concentrated-Windings Synchronous Permanent Magnet Machines: Opportunities and Challenges. IEEE Trans. Ind. Electron. 2010, 57, 107–121. [Google Scholar] [CrossRef]
- Sarigiannidis, A.G.; Beniakar, M.E.; Kakosimos, P.E.; Kladas, A.G.; Papini, L.; Gerada, C. Fault Tolerant Design of Fractional Slot Winding Permanent Magnet Aerospace Actuator. IEEE Trans. Transp. Electrif. 2016, 2, 380–390. [Google Scholar] [CrossRef]
- Ismagilov, F.R.; Vavilov, V.Y.; Karimov, R.D.; Ayguzina, V.V.; Kammermann, J.; Bolvashenkov, I.; Herzog, H.-G. Design of a Six-Phase Fault-Tolerant Electric Motor for an Aircraft Fuel Pump. In Proceedings of the 2019 Fourteenth International Conference on Ecological Vehicles and Renewable Energies (EVER), Monte-Carlo, Monaco, 8–10 May 2019; pp. 1–6. [Google Scholar]
- Atkinson, G.J.; Mecrow, B.C.; Jack, A.G.; Atkinson, D.J.; Sangha, P.; Benarous, M. The Analysis of Losses in High-Power Fault-Tolerant Machines for Aerospace Applications. IEEE Trans. Ind. Appl. 2006, 42, 1162–1170. [Google Scholar] [CrossRef]
- Jiang, X.; Huang, W.; Cao, R.; Hao, Z.; Jiang, W. Electric Drive System of Dual-Winding Fault-Tolerant Permanent-Magnet Motor for Aerospace Applications. IEEE Trans. Ind. Electron. 2015, 62, 7322–7330. [Google Scholar] [CrossRef]
- Mecrow, B.C.; Jack, A.G.; Atkinson, D.J.; Green, S.R.; Atkinson, G.J.; King, A.; Green, B. Design and Testing of a Four-Phase Fault-Tolerant Permanent-Magnet Machine for an Engine Fuel Pump. IEEE Trans. Energy Convers. 2004, 19, 671–678. [Google Scholar] [CrossRef]
- Huang, L.; Hao, S.; Li, D.; Wang, C.; Cheng, Y. Analysis and Design of a Flat Wire PM Machine with Module-Combined and Hollowed-out Stator for Aviation Electric Pump. In Proceedings of the 2023 26th International Conference on Electrical Machines and Systems (ICEMS), Zhuhai, China, 5–8 November 2023; pp. 3221–3226. [Google Scholar]
- Zhang, F.; Du, G.; Wang, T.; Liu, G.; Cao, W. Rotor Retaining Sleeve Design for a 1.12-MW High-Speed PM Machine. IEEE Trans. Ind. Appl. 2015, 51, 3675–3685. [Google Scholar] [CrossRef]
- Gao, P.; Gu, Y.; He, Y.; Gerada, D.; Wang, X.; Gerada, C. Mechanical Strength Analysis and Ptimization of Metallic Sleeve in High-Speed Permanent Magnet Synchronous Machines. Int. J. Appl. Electromagn. Mech. 2020, 63, 343–359. [Google Scholar] [CrossRef]
- Binder, A.; Schneider, T.; Klohr, M. Fixation of Buried and Surface-Mounted Magnets in High-Speed Permanent-Magnet Synchronous Machines. IEEE Trans. Ind. Appl. 2006, 42, 1031–1037. [Google Scholar] [CrossRef]
- Wang, W.; Li, Y.; Huan, D.; Chen, X.; Liu, H.; Li, Y.; Li, L. Research on Stress Design and Manufacture of the Fiber-Reinforced Composite Sleeve for the Rotor of High-Speed Permanent Magnet Motor. Energies 2022, 15, 2467. [Google Scholar] [CrossRef]
- Xie, X.; Liao, C.; Zhang, Z. Design Considerations of High-Speed PMSM with Nonuniform Two-Segment Halbach Magnet Array. IEEE Trans. Magn. 2024, 60, 1–6. [Google Scholar] [CrossRef]
- Tong, W.; Sun, R.; Zhang, C.; Wu, S.; Tang, R. Loss and Thermal Analysis of a High-Speed Surface-Mounted PMSM With Amorphous Metal Stator Core and Titanium Alloy Rotor Sleeve. IEEE Trans. Magn. 2019, 55, 8102104. [Google Scholar] [CrossRef]
- Zhang, C.; Chen, L.; Yu, S.; Ma, X.; Wang, X.; Tang, R. Performance Characteristics of High Speed Permanent Magnet Machine with Different Rotor Retaining Sleeve. In Proceedings of the 2019 22nd International Conference on Electrical Machines and Systems (ICEMS), Harbin, China, 11–14 August 2019; pp. 1–5. [Google Scholar]
- Li, W.; Qiu, H.; Zhang, X.; Cao, J.; Yi, R. Analyses on Electromagnetic and Temperature Fields of Superhigh-Speed Permanent-Magnet Generator with Different Sleeve Materials. IEEE Trans. Ind. Electron. 2014, 61, 3056–3063. [Google Scholar] [CrossRef]
- Zhang, Z.; Deng, Z.; Sun, Q.; Peng, C.; Gu, Y.; Pang, G. Analytical Modeling and Experimental Validation of Rotor Harmonic Eddy-Current Loss in High-Speed Surface-Mounted Permanent Magnet Motors. IEEE Trans. Magn. 2019, 55, 1–11. [Google Scholar] [CrossRef]
- Bianchi, N.; Fornasiero, E. Index of Rotor Losses in Three-Phase Fractional-Slot Permanent Magnet Machines. IET Electr. Power Appl. 2009, 3, 381–388. [Google Scholar] [CrossRef]
- Zhou, F.; Shen, J.; Fei, W.; Lin, R. Study of Retaining Sleeve and Conductive Shield and Their Influence on Rotor Loss in High-Speed PM BLDC Motors. IEEE Trans. Magn. 2006, 42, 3398–3400. [Google Scholar] [CrossRef]
- Wang, Y.; Ma, J.; Liu, C.; Lei, G.; Guo, Y.; Zhu, J. Reduction of Magnet Eddy Current Loss in PMSM by Using Partial Magnet Segment Method. IEEE Trans. Magn. 2019, 55, 8105105. [Google Scholar] [CrossRef]
- Gerada, D.; Mebarki, A.; Brown, N.L.; Gerada, C.; Cavagnino, A.; Boglietti, A. High-Speed Electrical Machines: Technologies, Trends, and Developments. IEEE Trans. Ind. Electron. 2014, 61, 2946–2959. [Google Scholar] [CrossRef]
- Wang, Y.; Zhu, Z.-Q.; Feng, J.; Guo, S.; Li, Y.; Wang, Y. Rotor Stress Analysis of High-Speed Permanent Magnet Machines With Segmented Magnets Retained by Carbon-Fibre Sleeve. IEEE Trans. Energy Convers. 2021, 36, 971–983. [Google Scholar] [CrossRef]
- Hu, Y.; Zhu, S.; Xu, L.; Jiang, B. Reduction of Torque Ripple and Rotor Eddy Current Losses by Closed Slots Design in a High-Speed PMSM for EHA Applications. IEEE Trans. Magn. 2022, 58, 1–6. [Google Scholar] [CrossRef]
- Huang, Z.; Fang, J. Multiphysics Design and Optimization of High-Speed Permanent-Magnet Electrical Machines for Air Blower Applications. IEEE Trans. Ind. Electron. 2016, 63, 2766–2774. [Google Scholar] [CrossRef]
- Kluyskens, V.; Dehez, B.; Ahmed, H.B. Dynamical Electromechanical Model for Magnetic Bearings. IEEE Trans. Magn. 2007, 43, 3287–3292. [Google Scholar] [CrossRef]
- Hong, D.-K.; Woo, B.-C.; Lee, J.-Y.; Koo, D.-H. Ultra High Speed Motor Supported by Air Foil Bearings for Air Blower Cooling Fuel Cells. IEEE Trans. Magn. 2012, 48, 871–874. [Google Scholar] [CrossRef]
- Li, S.; Li, Y.; Choi, W.; Sarlioglu, B. High-Speed Electric Machines: Challenges and Design Considerations. IEEE Trans. Transp. Electrif. 2016, 2, 2–13. [Google Scholar] [CrossRef]
- Du, G.; Zhou, Q.; Liu, S.; Huang, N.; Chen, X. Multiphysics Design and Multiobjective Optimization for High-Speed Permanent Magnet Machines. IEEE Trans. Transp. Electrif. 2020, 6, 1084–1092. [Google Scholar] [CrossRef]
- Uzhegov, N.; Kurvinen, E.; Nerg, J.; Pyrhönen, J.; Sopanen, J.T.; Shirinskii, S. Multidisciplinary Design Process of a 6-Slot 2-Pole High-Speed Permanent-Magnet Synchronous Machine. IEEE Trans. Ind. Electron. 2016, 63, 784–795. [Google Scholar] [CrossRef]
- Xie, B.; Zhang, Y.; Xu, Z.; Zhang, F. Rotor Multidisciplinary Optimization of High Speed PMSM Based on Multi-Fidelity Surrogate Model and Gradient Sequential Sampling. IEEE Trans. Energy Convers. 2023, 38, 859–868. [Google Scholar] [CrossRef]
- Xu, Y.; Xu, Z.; Wang, H.; Liu, W. Research on Magnetic-Fluid-Thermal-Stress Multi-Field Bidirectional Coupling of High Speed Permanent Magnet Synchronous Motors. Case Stud. Therm. Eng. 2024, 54, 104012. [Google Scholar] [CrossRef]
- Hong, D.-K.; Woo, B.-C.; Jeong, Y.-H.; Koo, D.-H.; Ahn, C.-W. Development of an Ultra High Speed Permanent Magnet Synchronous Motor. Int. J. Precis. Eng. Manuf. 2013, 14, 493–499. [Google Scholar] [CrossRef]
- Jiao, N.; Liu, W.; Meng, T.; Peng, J.; Mao, S. Design and Control of a Two-Phase Brushless Exciter for Aircraft Wound-Rotor Synchronous Starter/Generator in the Starting Mode. IEEE Trans. Power Electron. 2016, 31, 4452–4461. [Google Scholar] [CrossRef]
- Wang, Y.; Nuzzo, S.; Zhang, H.; Zhao, W.; Gerada, C.; Galea, M. Challenges and Opportunities for Wound Field Synchronous Generators in Future More Electric Aircraft. IEEE Trans. Transp. Electrif. 2020, 6, 1466–1477. [Google Scholar] [CrossRef]
- Secunde, R. Integrated Engine-Generator for Aircraft Secondary Power. In Proceedings of the 8th Joint Propulsion Specialist Conference, New Orleans, LA, USA, 29 November–1 December 1972. [Google Scholar] [CrossRef]
- Richter, E.; Neumann, T.W. Jet Engine Integrated Generator. J. Energy 1982, 6, 45–48. [Google Scholar] [CrossRef]
- Royce, R. The Jet Engine; Rolls-Royce Plc: London, UK, 2005; ISBN 978-0-902121-23-2. [Google Scholar]
- Franco, A.; McGarvey, J.; Kane, D.; Salata, M. Flux Shunt Wave Shape Control Arrangement for Permanent Magnet Machines. U.S. Patent No. 6,750,628, 15 June 2004. [Google Scholar]
- el-Rafaie, A.M.F.; Kern, J.M.; Shah, M.R. Fault-Tolerant Permanent Magnet Machine with Reconfigurable Stator Core Slot Flux Paths. U.S. Patent No. 7,605,503, 20 October 2010. [Google Scholar]
- Wang, B.; Liu, Y.; Vakil, G.; Yang, T.; Zhang, Z. Feasibility of Permanent Magnet Fault Tolerant Machines for Aircraft Starter/Generator Systems. In Proceedings of the 2020 International Conference on Electrical Machines (ICEM), Gothenburg, Sweden, 23–26 August 2020; Volume 1, pp. 2104–2110. [Google Scholar]
- He, Y.; Zhao, W.; Tang, H.; Ji, J. Auxiliary Teeth Design to Reduce Short-Circuit Current in Permanent Magnet Generators. CES Trans. Electr. Mach. Syst. 2020, 4, 198–205. [Google Scholar] [CrossRef]
- Papini, L.; Gerada, C.; Goodman, A. Analysis of a Closed-Slot PM Machine. In Proceedings of the 2013 International Electric Machines & Drives Conference, Chicago, IL, USA, 12–15 May 2013; pp. 578–585. [Google Scholar]
- Wu, S.; Chen, Q.; Li, Q.; Liu, X.; Zhang, H.; Lin, L. Design of Aviation High Impedance Permanent Magnet Synchronous Generator. Math. Probl. Eng. 2021, 2021, 6667877. [Google Scholar] [CrossRef]
- Jiang, Y.; Zhang, Z.; Jiang, W.; Geng, W.; Huang, J. Three-Phase Current Injection Method for Mitigating Turn-to-Turn Short-Circuit Fault in Concentrated-Winding Permanent Magnet Aircraft Starter Generator. IET Electr. Power Appl. 2018, 12, 566–574. [Google Scholar] [CrossRef]
- Sun, L.; Zhang, Z.; Yu, L.; Gu, X.; Vansompel, H.; Sergeant, P. Design and Analysis of Hybrid Excitation Generators for Aircraft Applications Under Limiting Open-Circuit Voltage. IEEE Trans. Transp. Electrif. 2022, 8, 3390–3400. [Google Scholar] [CrossRef]
- Zhu, Z.Q.; Pothi, N.; Xu, P.L.; Ren, Y. Uncontrolled Generator Fault Protection of Novel Hybrid-Excited Doubly Salient Synchronous Machines With Field Excitation Current Control. IEEE Trans. Ind. Appl. 2019, 55, 3598–3606. [Google Scholar] [CrossRef]
- Hoang, E.; Lecrivain, M.; Gabsi, M. A New Structure of a Switching Flux Synchronous Polyphased Machine with Hybrid Excitation. In Proceedings of the 2007 European Conference on Power Electronics and Applications, Aalborg, Denmark, 2–5 September 2007; pp. 1–8. [Google Scholar]
- Afinowi, I.A.A.; Zhu, Z.Q.; Guan, Y.; Mipo, J.C.; Farah, P. Hybrid-Excited Doubly Salient Synchronous Machine With Permanent Magnets Between Adjacent Salient Stator Poles. IEEE Trans. Magn. 2015, 51, 1–9. [Google Scholar] [CrossRef]
- Pothi, N.; Zhu, Z.Q.; Afinowi, I.A.A.; Lee, B.; Ren, Y. Control Strategy for Hybrid-Excited Switched-Flux Permanent Magnet Machines. IET Electr. Power Appl. 2015, 9, 612–619. [Google Scholar] [CrossRef]
- Wang, Q.; Niu, S.; Luo, X. A Novel Hybrid Dual-PM Machine Excited by AC With DC Bias for Electric Vehicle Propulsion. IEEE Trans. Ind. Electron. 2017, 64, 6908–6919. [Google Scholar] [CrossRef]
- Li, J.; Zhang, Z.; Lu, J.; Liu, Y.; Chen, Z. Design and Characterization of a Single-Phase Main Exciter for Aircraft Wound-Rotor Synchronous Starter–Generator. IEEE Trans. Magn. 2018, 54, 1–5. [Google Scholar] [CrossRef]
- Gu, X.; Zhang, Z.; Bianchi, N.; Jiang, W. Enhanced Power Multi Excitation Brushless DC Generator Using Parallel Magnetic Circuits. IEEE Trans. Transp. Electrif. 2024, 1. [Google Scholar] [CrossRef]
- Brown, G. Weights and Efficiencies of Electric Components of a Turboelectric Aircraft Propulsion System. In Proceedings of the 49th AIAA Aerospace Sciences Meeting including the New Horizons Forum and Aerospace Exposition, Orlando, FL, USA, 4–7 January 2011; American Institute of Aeronautics and Astronautics: Reno, NV, USA, 2011. [Google Scholar]
- Golovanov, D.; Gerada, D.; Sala, G.; Degano, M.; Trentin, A.; Connor, P.H.; Xu, Z.; Rocca, A.L.; Galassini, A.; Tarisciotti, L.; et al. 4-MW Class High-Power-Density Generator for Future Hybrid-Electric Aircraft. IEEE Trans. Transp. Electrif. 2021, 7, 2952–2964. [Google Scholar] [CrossRef]
- Yoon, A.; Arastu, F.; Lohan, D.; Xiao, J.; Haran, K. Direct-Drive Electric Motor for STARC-ABL Tail-Cone Propulsor. In Proceedings of the 2019 AIAA/IEEE Electric Aircraft Technologies Symposium (EATS), Indianapolis, IN, USA, 22–24 August 2019; pp. 1–10. [Google Scholar]
- Zhang, X.; Bowman, C.L.; O’Connell, T.C.; Haran, K.S. Large Electric Machines for Aircraft Electric Propulsion. IET Electr. Power Appl. 2018, 12, 767–779. [Google Scholar] [CrossRef]
- Yoon, A.; Yi, X.; Martin, J.; Chen, Y.; Haran, K. A High-Speed, High-Frequency, Air-Core PM Machine for Aircraft Application. In Proceedings of the 2016 IEEE Power and Energy Conference at Illinois (PECI), Urbana, IL, USA, 19–20 February 2016; pp. 1–4. [Google Scholar]
- Yoon, A.; Xiao, J.; Lohan, D.; Arastu, F.; Haran, K. High-Frequency Electric Machines for Boundary Layer Ingestion Fan Propulsor. IEEE Trans. Energy Convers. 2019, 34, 2189–2197. [Google Scholar] [CrossRef]
- Felder, J.L. NASA N3-X with Turboelectric Distributed Propulsion. 2014. Available online: https://ntrs.nasa.gov/api/citations/20150002081/downloads/20150002081.pdf (accessed on 28 July 2024).
- Fard, M.T.; He, J.; Huang, H.; Cao, Y. Aircraft Distributed Electric Propulsion Technologies—A Review. IEEE Trans. Transp. Electrif. 2022, 8, 4067–4090. [Google Scholar] [CrossRef]
- Gao, H.; Zhang, Z.; Liu, Y.; Huang, W.; Xue, H. Development and Analysis of Dual Three-Phase PMSM With Phase-Shifted Hybrid Winding for Aircraft Electric Propulsion Application. IEEE Trans. Transp. Electrif. 2024, 10, 6497–6508. [Google Scholar] [CrossRef]
- Felder, J.; Kim, H.; Brown, G. Turboelectric Distributed Propulsion Engine Cycle Analysis for Hybrid-Wing-Body Aircraft. In Proceedings of the 47th AIAA Aerospace Sciences Meeting Including the New Horizons Forum and Aerospace Exposition, Orlando, FL, USA, 5–8 January 2009. [Google Scholar]
- Felder, J.L.; Brown, G.V.; DaeKim, H.; Chu, J. Turboelectric Distributed Propulsion in a Hybrid Wing Body Aircraft. In Proceedings of the 20th International Society for Airbreathing Engines (ISABE 2011), Gothenburg, Sweden, 12–16 September 2011; Available online: https://ntrs.nasa.gov/citations/20120000856 (accessed on 28 July 2024).
- Terao, Y.; Akasaka, K.; Ohsaki, H.; Okai, K.; Taguchi, H. Electromagnetic Analysis of Fully Superconducting Motors Employing Dilute Gas Rotor and Liquid Hydrogen Stator Cooling Structure. J. Phys. Conf. Ser. 2023, 2545, 012027. [Google Scholar] [CrossRef]
- Thuries, E.; Pham, V.D.; Laumond, Y.; Verhaege, T.; Fevrier, A.; Collet, M.; Bekhaled, M. Towards the Superconducting Fault Current Limiter. IEEE Trans. Power Deliv. 1991, 6, 801–808. [Google Scholar] [CrossRef]
- Masson, P.J.; Tixador, P.; Luongo, C.A. Safety Torque Generation in HTS Propulsion Motor for General Aviation Aircraft. IEEE Trans. Appl. Supercond. 2007, 17, 1619–1622. [Google Scholar] [CrossRef]
- Constantinides, S.; Maybury, D.; Wyss, U.; Martinek, G. Extending the Limits of the Sm2Co17 System. Available online: https://www.magmatllc.com/PDF/Extending%20the%20limits%20of%20the%20Sm2Co17%20System%20-%20160629sc%20-%20Final%20edit.pdf (accessed on 1 October 2024).
- Rom, C.L.; Smaha, R.W.; O’Donnell, S.; Dugu, S.; Bauers, S.R. Emerging Magnetic Materials for Electric Vehicle Drive Motors. MRS Bull. 2024, 49, 738–750. [Google Scholar] [CrossRef]
- Cui, J.; Kramer, M.; Zhou, L.; Liu, F.; Gabay, A.; Hadjipanayis, G.; Balasubramanian, B.; Sellmyer, D. Current Progress and Future Challenges in Rare-Earth-Free Permanent Magnets. Acta Mater. 2018, 158, 118–137. [Google Scholar] [CrossRef]
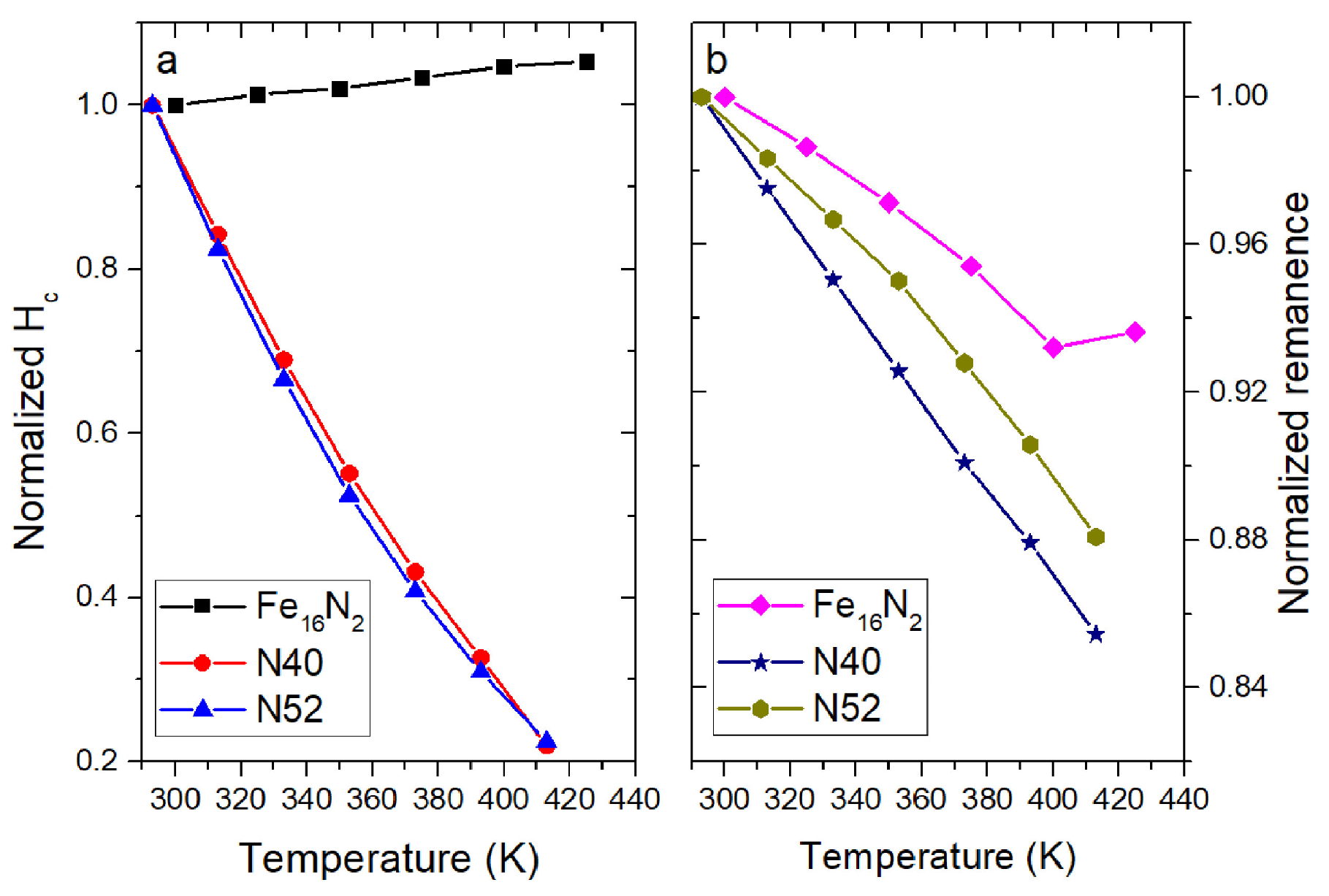
- Sugita, Y.; Mitsuoka, K.; Komuro, M.; Hoshiya, H.; Kozono, Y.; Hanazono, M. Giant Magnetic Moment and Other Magnetic Properties of Epitaxially Grown Fe16N2 Single-Crystal Films (Invited). J. Appl. Phys. 1991, 70, 5977–5982. [Google Scholar] [CrossRef]
- Liu, J.; Guo, G.; Zhang, X.; Zhang, F.; Ma, B.; Wang, J.-P. Synthesis of A″-Fe16N2 Foils with an Ultralow Temperature Coefficient of Coercivity for Rare-Earth-Free Magnets. Acta Mater. 2020, 184, 143–150. [Google Scholar] [CrossRef]
- Electrical Resistivity and Conductivity. Wikipedia 2024. Available online: https://en.wikipedia.org/wiki/Electrical_resistivity_and_conductivity (accessed on 28 July 2024).
- Selema, A.; Ibrahim, M.N.; Sergeant, P. Electrical Machines Winding Technology: Latest Advancements for Transportation Electrification. Machines 2022, 10, 563. [Google Scholar] [CrossRef]
- Manolopoulos, C.D.; Iacchetti, M.F.; Smith, A.C.; Miller, P.; Husband, M. Litz Wire Loss Performance and Optimization for Cryogenic Windings. IET Electr. Power Appl. 2023, 17, 487–498. [Google Scholar] [CrossRef]
- Wei, B.Q.; Vajtai, R.; Ajayan, P.M. Reliability and Current Carrying Capacity of Carbon Nanotubes. Appl. Phys. Lett. 2001, 79, 1172–1174. [Google Scholar] [CrossRef]
- Pyrhönen, J.; Montonen, J.; Lindh, P.; Vauterin, J.J.; Otto, M. Replacing Copper with New Carbon Nanomaterials in Electrical Machine Windings. Int. Rev. Electr. Eng. IREE 2015, 10, 12. [Google Scholar] [CrossRef][Green Version]
- Rallabandi, V.; Taran, N.; Ionel, D.M.; Eastham, J.F. On the Feasibility of Carbon Nanotube Windings for Electrical Machines—Case Study for a Coreless Axial Flux Motor. In Proceedings of the 2016 IEEE Energy Conversion Congress and Exposition (ECCE), Milwaukee, WI, USA, 18–22 September 2016; pp. 1–7. [Google Scholar]
- Landi, B.; Cress, C.; Zeira, E.; Schauer, M.; Kukowski, T.; Leggiero, A.; McIntyre, D. Nanometal-Interconnected Carbon Conductors (NICCS) for Advanced Electric Machines (RIT Final Technical Report); Rochester Inst. of Technology: Rochester, NY, USA, 2020. [Google Scholar]
- Jiang, H.; Cooke, L.; Srivilliputhur, K.; McGuire, M.A.; Meyer, H.M.I.; Yoon, M.; Haynes, J.; Nawaz, K.; Lupini, A.R.; Li, K.; et al. Copper–Carbon Nanotube Composites Enabled by Brush Coating for Advanced Conductors. ACS Appl. Nano Mater. 2024, 7, 11176–11183. [Google Scholar] [CrossRef]
- O’Donnell, D.; Bartos, S.; Tjong, J.; Kar, N.C. Utilization of Innovative Materials toward Permanent Magnet Synchronous E-Motors for Traction Application: A Review. In Proceedings of the 2020 2nd International Conference on Smart Power & Internet Energy Systems (SPIES), Bangkok, Thailand, 15–18 September 2020; pp. 380–385. [Google Scholar]
- Boubaker, N.; Matt, D.; Enrici, P.; Nierlich, F.; Durand, G. Measurements of Iron Loss in PMSM Stator Cores Based on CoFe and SiFe Lamination Sheets and Stemmed From Different Manufacturing Processes. IEEE Trans. Magn. 2019, 55, 1–9. [Google Scholar] [CrossRef]
- Cossale, M.; Krings, A.; Soulard, J.; Boglietti, A.; Cavagnino, A. Practical Investigations on Cobalt–Iron Laminations for Electrical Machines. IEEE Trans. Ind. Appl. 2015, 51, 2933–2939. [Google Scholar] [CrossRef]
- Prabhu, M.A.; Loh, J.Y.; Joshi, S.C.; Viswanathan, V.; Ramakrishna, S.; Gajanayake, C.J.; Gupta, A.K. Magnetic Loading of Soft Magnetic Material Selection Implications for Embedded Machines in More Electric Engines. IEEE Trans. Magn. 2016, 52, 1–6. [Google Scholar] [CrossRef]
- Krings, A.; Cossale, M.; Tenconi, A.; Soulard, J.; Cavagnino, A.; Boglietti, A. Characteristics Comparison and Selection Guide for Magnetic Materials Used in Electrical Machines. In Proceedings of the 2015 IEEE International Electric Machines & Drives Conference (IEMDC), Coeur d’Alene, ID, USA, 10–13 May 2015; pp. 1152–1157. [Google Scholar]
- Stanley, J.K.; Yensen, T.D. Hiperco—A Magnetic Alloy. Trans. Am. Inst. Electr. Eng. 1947, 66, 714–718. [Google Scholar] [CrossRef]
- Bozorth, R.M. Ferromagnetism; IEEE Press: Piscataway, NJ, USA, 1993; ISBN 978-0-7803-1032-2. [Google Scholar]
- Mehedi, M.; Jiang, Y.; Suri, P.K.; Flannigan, D.J.; Wang, J.-P. Minnealloy: A New Magnetic Material with High Saturation Flux Density and Low Magnetic Anisotropy. J. Phys. Appl. Phys. 2017, 50, 37LT01. [Google Scholar] [CrossRef]
- Sundar, R.S.; Deevi, S.C.; Reddy, B.V. High Strength FeCo–V Intermetallic Alloy: Electrical and Magnetic Properties. J. Mater. Res. 2005, 20, 1515–1522. [Google Scholar] [CrossRef]
- Thao, N.G.M.; Fujisaki, K.; Mamiya, H.; Kuroda, S.; Yamabe-Mitarai, Y.; Motohashi, N. Magnetic Characterization of 4 μm-Thick Steel Made by Continuous Rolling Process for Power Electronic Applications in High Frequency. IEEJ J. Ind. Appl. 2021, 10, 731–739. [Google Scholar] [CrossRef]
- Zhao, H.; Lin, N.; Zhang, J.; Wang, D.; Wang, Y.; Yu, X.; Chen, J. A Low-Loss High Saturation Fe-Co Alloy for High Power Density Aircraft Electric Motors. IEEE Trans. Appl. Supercond. 2024, 34, 1–6. [Google Scholar] [CrossRef]
- Trnka, N.; Schleicher, A.; Lorenz, F.; Werner, R. Reduction of Eddy Current Losses in Stacked Laminations via Electrochemical Deburring. In Proceedings of the IKMT 2022; 13. GMM/ETG-Symposium, Linz, Austria, 14–15 September 2022; pp. 1–6. [Google Scholar]
- El-Refaie, A. Role of Advanced Materials in Electrical Machines. CES Trans. Electr. Mach. Syst. 2019, 3, 124–132. [Google Scholar] [CrossRef]
- Gloria, A.; Montanari, R.; Richetta, M.; Varone, A. Alloys for Aeronautic Applications: State of the Art and Perspectives. Metals 2019, 9, 662. [Google Scholar] [CrossRef]
- D’Errico, F.; Tauber, M.; Just, M. Magnesium Alloys for Sustainable Weight-Saving Approach: A Brief Market Overview, New Trends, and Perspectives. In Current Trends in Magnesium (Mg) Research; IntechOpen: London, UK, 2022; ISBN 978-1-80355-481-5. [Google Scholar]
- Kurzynowski, T.; Pawlak, A.; Smolina, I. The Potential of SLM Technology for Processing Magnesium Alloys in Aerospace Industry. Arch. Civ. Mech. Eng. 2020, 20, 23. [Google Scholar] [CrossRef]
- Koch, S.-F.; Peter, M.; Fleischer, J. Lightweight Design and Manufacturing of Composites for High-Performance Electric Motors. Procedia CIRP 2017, 66, 283–288. [Google Scholar] [CrossRef]
- Reuter, S.; Langheck, A.; Liebertseder, J.; Doppelbauer, M. Influence of Lightweight Plastic Stator Housing on the NVH Behavior of High-Performance Electric Machines. In Proceedings of the Electromechanical Drive Systems 2021, ETG Symposium, Online, 9–10 November 2021; pp. 1–7. [Google Scholar]
- Oliver, J.A.; Guerrero, G.; Goldman, J. Ceramic Bearings for Electric Motors: Eliminating Damage with New Materials. IEEE Ind. Appl. Mag. 2017, 23, 14–20. [Google Scholar] [CrossRef]
- Iosif, V.; Roger, D.; Takorabet, N.; Duchesne, S.; Meibody-Tabar, F. Technological Assessments for Designing Machines Able to Work at Very High Internal Temperatures (450–500 °C). In Proceedings of the 2016 XXII International Conference on Electrical Machines (ICEM), Lausanne, Switzerland, 4–7 September 2016; pp. 2682–2687. [Google Scholar]
- Cozonac, D.; Babicz, S.; Ait-Amar-Djennad, S.; Velu, G.; Cavalini, A.; Wang, P. Study on Ceramic Insulation Wires for Motor Windings at High-Temperature. In Proceedings of the 2014 IEEE Conference on Electrical Insulation and Dielectric Phenomena (CEIDP), Des Moines, IA, USA, 19–22 October 2014; pp. 172–175. [Google Scholar]
- Kadim, E.J.; Noorden, Z.A.; Adzis, Z.; Azis, N. Nanoparticles Application in High Voltage Insulation Systems. IEEE Trans. Dielectr. Electr. Insul. 2021, 28, 1380–1399. [Google Scholar] [CrossRef]
- Shin, E.-S.E. Development of High Voltage Micro-Multilayer Multifunctional Electrical Insulation (MMEI) System. In Proceedings of the 2019 AIAA/IEEE Electric Aircraft Technologies Symposium (EATS), Indianapolis, IN, USA, 22–24 August 2019; pp. 1–14. [Google Scholar]
- Pang, Y.; Hodgson, S.N. Nanocomposite Coatings for High Temperature Insulation of Electrical Wires. 2018. Available online: https://research.tees.ac.uk/files/8653886/AEM2018_abstract.pdf (accessed on 6 July 2024).
- Miersch, S.; Schubert, R.; Schuhmann, T.; Schuffenhauer, U.; Buddenbohm, M.; Beyreuther, M.; Kuhn, J.; Lindner, M.; Cebulski, B.; Jung, J. Ceramic-like Composite Systems for Winding Insulation of Electrical Machines. In Proceedings of the 2020 International Conference on Electrical Machines (ICEM), Gothenburg, Sweden, 23–26 August 2020; Volume 1, pp. 1540–1546. [Google Scholar]
- Yin, W.; Yakimov, A.; Comanzo, H.; Siclovan, O.; Smigelski, P.; Gao, J.; Bodla, K.; Duggal, A. Highly Thermally Conductive Insulation for High Power Density Electric Machines. In Proceedings of the 2019 AIAA/IEEE Electric Aircraft Technologies Symposium (EATS), Indianapolis, IN, USA, 22–24 August 2019; pp. 1–7. [Google Scholar]
- Pan, X.-F.; Bao, Z.; Xu, W.; Gao, H.-L.; Wu, B.; Zhu, Y.; Yu, G.-H.; Chen, J.; Zhang, S.-C.; Li, L.; et al. Recyclable Nacre-Like Aramid-Mica Nanopapers with Enhanced Mechanical and Electrical Insulating Properties. Adv. Funct. Mater. 2023, 33, 2210901. [Google Scholar] [CrossRef]
- Properties of Nomex® 410|DuPontTM Nomex® Insulation|DuPont USA. Available online: https://www.dupontdenemours.be/fr/news/nomex-410.html (accessed on 3 October 2024).
- Wrobel, R.; Hussein, A. Design Considerations of Heat Guides Fabricated Using Additive Manufacturing for Enhanced Heat Transfer in Electrical Machines. In Proceedings of the 2018 IEEE Energy Conversion Congress and Exposition (ECCE), Portland, OR, USA, 23–27 September 2018; pp. 6506–6513. [Google Scholar]
- Wong, M.; Owen, I.; Sutcliffe, C.J.; Puri, A. Convective Heat Transfer and Pressure Losses across Novel Heat Sinks Fabricated by Selective Laser Melting. Int. J. Heat Mass Transf. 2009, 52, 281–288. [Google Scholar] [CrossRef]
- Lammers, S.; Adam, G.; Schmid, H.J.; Mrozek, R.; Oberacker, R.; Hoffmann, M.J.; Quattrone, F.; Ponick, B. Additive Manufacturing of a Lightweight Rotor for a Permanent Magnet Synchronous Machine. In Proceedings of the 2016 6th International Electric Drives Production Conference (EDPC), Nuremberg, Germany, 30 November–1 December 2016; pp. 41–45. [Google Scholar]
- Wrobel, R.; Mecrow, B. Additive Manufacturing in Construction of Electrical Machines—A Review. In Proceedings of the 2019 IEEE Workshop on Electrical Machines Design, Control and Diagnosis (WEMDCD), Athens, Greece, 22–23 April 2019; Volume 1, pp. 15–22. [Google Scholar]
- Tomlin, M.; Meyer, J. Topology Optimization of an Additive Layer Manufactured (ALM) Aerospace Part. Available online: https://www.additivemanufacturing.media/cdn/cms/uploadedFiles/Topology-Optimization-of-an-Additive-Layer-Manufactured-Aerospace-Part.pdf (accessed on 5 October 2024).
- Volegov, A.S.; Andreev, S.V.; Selezneva, N.V.; Ryzhikhin, I.A.; Kudrevatykh, N.V.; Mädler, L.; Okulov, I.V. Additive Manufacturing of Heavy Rare Earth Free High-Coercivity Permanent Magnets. Acta Mater. 2020, 188, 733–739. [Google Scholar] [CrossRef]
- Gargalis, L.; Madonna, V.; Giangrande, P.; Rocca, R.; Hardy, M.; Ashcroft, I.; Galea, M.; Hague, R. Additive Manufacturing and Testing of a Soft Magnetic Rotor for a Switched Reluctance Motor. IEEE Access 2020, 8, 206982–206991. [Google Scholar] [CrossRef]
- Wang, J.; Yuan, X.; Riipinen, T.; Pippuri-Mäkeläinen, J.; Metsä-Kortelainen, S.; Lindroos, T. Evaluation of 3D Printed Cobalt Iron Cores for Filter Inductors. IEEE Trans. Magn. 2020, 56, 1–5. [Google Scholar] [CrossRef]
- Garibaldi, M.; Gerada, C.; Ashcroft, I.; Hague, R. Free-Form Design of Electrical Machine Rotor Cores for Production Using Additive Manufacturing. J. Mech. Des. 2019, 141, 071401. [Google Scholar] [CrossRef]
- Wu, F.; EL-Refaie, A.M.; Al-Qarni, A. Minimization of Winding AC Losses Using Inhomogeneous Electrical Conductivity Enabled by Additive Manufacturing. IEEE Trans. Ind. Appl. 2022, 58, 3447–3458. [Google Scholar] [CrossRef]
- Lorenz, F.; Rudolph, J.; Wemer, R. Design of 3D Printed High Performance Windings for Switched Reluctance Machines. In Proceedings of the 2018 XIII International Conference on Electrical Machines (ICEM), Alexandroupoli, Greece, 3–6 September 2018; pp. 2451–2457. [Google Scholar]
- Kapuściński, J.; Domański, R. Method for Efficient Feasibility Study of Air Cooling Systems for Modern PMSM Electric Motors in All-Electric Aviation. J. Mech. Energy Eng. 2020, 4, 89–96. [Google Scholar] [CrossRef]
- Madonna, V.; Walker, A.; Giangrande, P.; Serra, G.; Gerada, C.; Galea, M. Improved Thermal Management and Analysis for Stator End-Windings of Electrical Machines. IEEE Trans. Ind. Electron. 2019, 66, 5057–5069. [Google Scholar] [CrossRef]
- Wrobel, R.; Mecrow, B.; Benarous, M. Thermal Evaluation of a Short-Operating-Duty Dual-Lane Fault-Tolerant Actuator for Aerospace Applications. IEEE Trans. Ind. Appl. 2023, 59, 4083–4094. [Google Scholar] [CrossRef]
- Liao, C.; Zhang, Z.; Han, J.; Zhang, J.; Wang, C.; Wang, P. Analysis and Efficient Calculation of the Magnet Eddy Current Loss of PMSM. IEEE Trans. Ind. Appl. 2024, 60, 8797–8806. [Google Scholar] [CrossRef]
- Wang, H.; Liu, X.; Kang, M.; Guo, L.; Li, X. Oil Injection Cooling Design for the IPMSM Applied in Electric Vehicles. IEEE Trans. Transp. Electrif. 2022, 8, 3427–3440. [Google Scholar] [CrossRef]
- Jones, E.G.; Balster, W.J.; Balster, L.M. Aviation Fuel Recirculation and Surface Fouling. Energy Fuels 1997, 11, 1303–1308. [Google Scholar] [CrossRef]
- Ferreira, C.A.; Richter, E. Detailed Design of a 250-kW Switched Reluctance Starter/Generator for an Aircraft Engine; SAE International: Warrendale, PA, USA, 1993. [Google Scholar]
- Wrobel, R.; MGlen, R.J. Heat Pipes in Thermal Management of Electrical Machines—A Review. Therm. Sci. Eng. Prog. 2021, 26, 101053. [Google Scholar] [CrossRef]
- Wan, Z.; Sun, B.; Wang, X.; Wen, W.; Tang, Y. Improvement on the Heat Dissipation of Permanent Magnet Synchronous Motor Using Heat Pipe. Proc. Inst. Mech. Eng. Part J. Automob. Eng. 2020, 234, 1249–1259. [Google Scholar] [CrossRef]
- Putra, N.; Ariantara, B. Electric Motor Thermal Management System Using L-Shaped Flat Heat Pipes. Appl. Therm. Eng. 2017, 126, 1156–1163. [Google Scholar] [CrossRef]
- Wrobel, R. A Technology Overview of Thermal Management of Integrated Motor Drives—Electrical Machines. Therm. Sci. Eng. Prog. 2022, 29, 101222. [Google Scholar] [CrossRef]



















| PMSM Topology | Key Features | Reluctance Torque Contribution | Inter-Pole Flux Leakage | Airgap Flux Harmonic |
|---|---|---|---|---|
| Interior PM | Thin magnetic bridges | High | Low | Low |
| PM-assisted synchronous reluctance | Low PM usage | Very High | Low | Low |
| Surface-mounted PM | Thick retaining sleeve | None | Low | Medium |
| Surface-inset PM | Rotor slot for magnets | Medium | High | Medium |
| Surface-mounted Halbach PM array | Multiple PM segments per pole | None | Low | Very low |
| Consequent pole | Asymmetrical poles | * | Low | Very high |
| Material | N40EH | N52 | Sm2Co17 | |
|---|---|---|---|---|
| Mass density [kg/m3] | 7600 | 7600 | 8300~8500 | |
| Average price [CNY/kg] | 350 | 181 | 300~350 | |
| Curie temperature [°C] | 310 | 800–850 | ||
| Maximum working temperature [°C] | 200 | 60 | 350 | |
| Temperature Coefficients [%/°C] | α, Residual Induction | −0.12 | −0.12 | −0.03 |
| Β, Intrinsic Coercivity | −0.47 | −0.62 | −0.20 | |
Disclaimer/Publisher’s Note: The statements, opinions and data contained in all publications are solely those of the individual author(s) and contributor(s) and not of MDPI and/or the editor(s). MDPI and/or the editor(s) disclaim responsibility for any injury to people or property resulting from any ideas, methods, instructions or products referred to in the content. |
© 2024 by the authors. Licensee MDPI, Basel, Switzerland. This article is an open access article distributed under the terms and conditions of the Creative Commons Attribution (CC BY) license (https://creativecommons.org/licenses/by/4.0/).
Share and Cite
Liao, C.; Bianchi, N.; Zhang, Z. Recent Developments and Trends in High-Performance PMSM for Aeronautical Applications. Energies 2024, 17, 6199. https://doi.org/10.3390/en17236199
Liao C, Bianchi N, Zhang Z. Recent Developments and Trends in High-Performance PMSM for Aeronautical Applications. Energies. 2024; 17(23):6199. https://doi.org/10.3390/en17236199
Chicago/Turabian StyleLiao, Chendong, Nicola Bianchi, and Zhuoran Zhang. 2024. "Recent Developments and Trends in High-Performance PMSM for Aeronautical Applications" Energies 17, no. 23: 6199. https://doi.org/10.3390/en17236199
APA StyleLiao, C., Bianchi, N., & Zhang, Z. (2024). Recent Developments and Trends in High-Performance PMSM for Aeronautical Applications. Energies, 17(23), 6199. https://doi.org/10.3390/en17236199

